Sign in to use this feature.

Years

Between: -

Subjects

remove_circle_outline
remove_circle_outline
remove_circle_outline
remove_circle_outline
remove_circle_outline
remove_circle_outline
remove_circle_outline
remove_circle_outline
remove_circle_outline

Journals

remove_circle_outline
remove_circle_outline
remove_circle_outline
remove_circle_outline
remove_circle_outline
remove_circle_outline
remove_circle_outline

Article Types

Countries / Regions

remove_circle_outline
remove_circle_outline
remove_circle_outline

Search Results (119)

Search Parameters:
Keywords = machine readable data

Order results
Result details
Results per page
Select all
Export citation of selected articles as:
19 pages, 3686 KB  
Article
Symptom-Based Lung Cancer Prediction Using Ensemble Learning with Threshold Optimization and Interpretability
by Yousuf Al Husaini
Information 2026, 17(2), 172; https://doi.org/10.3390/info17020172 - 9 Feb 2026
Abstract
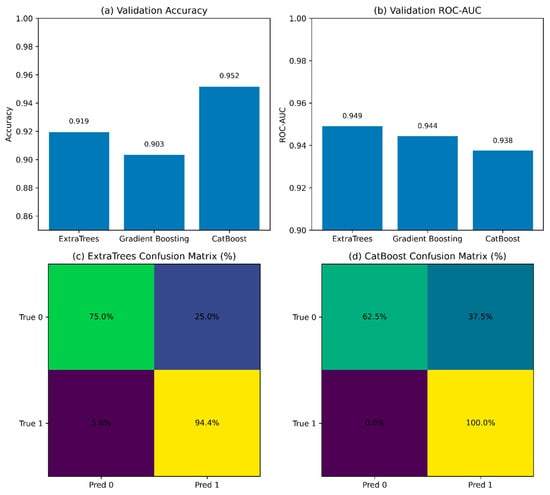
Lung cancer can be discovered at an early stage to enhance patient survival. However, existing screening tools are both resource-intensive and inaccessible in low-resource countries. This paper introduces a machine learning model that uses an ensemble approach to predict lung cancer from a [...] Read more.
Lung cancer can be discovered at an early stage to enhance patient survival. However, existing screening tools are both resource-intensive and inaccessible in low-resource countries. This paper introduces a machine learning model that uses an ensemble approach to predict lung cancer from a survey-based dataset of individuals based on symptoms. The suggested method leverages imbalanced data by using class-weighted learning and a stratified train-validation-test split to prevent data leakage and optimizing the decision threshold on the validation set to maximize clinical sensitivity. Several ensemble models were tested, and CatBoost achieved the best validation performance. The optimized model reached an accuracy and ROC-AUC of 95.16 and 93.75, respectively, on the held-out test set, with perfect recall and no false negatives. Extensive analyses, including calibration, subgroup analyses, performance analyses, feature importance analyses, and risk-stratification evidence, demonstrate the soundness and readability of the proposed framework. The above findings suggest that symptom-based ensemble learning models may be useful as supplementary measures for the initial risk evaluation and clinical triage of lung cancer. Full article
(This article belongs to the Special Issue Artificial Intelligence for Signal, Image and Video Processing)
Show Figures

Graphical abstract

3 pages, 157 KB  
Data Descriptor
Normative Physical Fitness Profiles and Sex Differences in University Students of Sport Sciences: An Open Dataset of Anthropometrics, Flexibility, Strength, and Jump Performance
by Julio Martín-Ruiz and Laura Ruiz-Sanchis
Data 2026, 11(2), 34; https://doi.org/10.3390/data11020034 (registering DOI) - 7 Feb 2026
Viewed by 42
Abstract
This Data Descriptor provides an open, anonymized dataset describing anthropometric and physical fitness outcomes in undergraduate students enrolled in a Physical Activity and Sport Sciences degree program. The dataset included 156 participants (28 females and 128 males) and reported sex, age, body mass, [...] Read more.
This Data Descriptor provides an open, anonymized dataset describing anthropometric and physical fitness outcomes in undergraduate students enrolled in a Physical Activity and Sport Sciences degree program. The dataset included 156 participants (28 females and 128 males) and reported sex, age, body mass, stature, and body mass index, alongside standardized field-based tests covering flexibility, muscular endurance, strength, and jump performance. Hip flexibility was assessed using the Thomas test on both sides. Trunk extensor endurance was measured using the Biering–Sørensen test, and upper-body strength–endurance was assessed using a dead-hang test. Upper limb strength was recorded as elbow flexion strength. Lower limb power was evaluated using vertical jump tests, including Abalakov, squat jump, and countermovement jump, and a derived indicator (IE) was provided to facilitate comparisons across jump modalities. The data are distributed as a machine-readable CSV file accompanied by a detailed data dictionary describing the variables, units, and missingness. The dataset is intended to support the reproducible reporting of normative fitness profiles in sports science students, facilitate teaching and benchmarking in exercise science contexts, and enable secondary analyses exploring associations between anthropometry and physical performance. For reproducible inferential comparisons, users may apply Welch’s two-sample t-test for sex-based differences. Full article
(This article belongs to the Special Issue Big Data and Data-Driven Research in Sports)
32 pages, 4251 KB  
Article
Context-Aware ML/NLP Pipeline for Real-Time Anomaly Detection and Risk Assessment in Cloud API Traffic
by Aziz Abibulaiev, Petro Pukach and Myroslava Vovk
Mach. Learn. Knowl. Extr. 2026, 8(1), 25; https://doi.org/10.3390/make8010025 - 22 Jan 2026
Viewed by 312
Abstract
We present a combined ML/NLP (Machine Learning, Natural Language Processing) pipeline for protecting cloud-based APIs (Application Programming Interfaces), which works both at the level of individual HTTP (Hypertext Transfer Protocol) requests and at the access log file reading mode, linking explicitly technical anomalies [...] Read more.
We present a combined ML/NLP (Machine Learning, Natural Language Processing) pipeline for protecting cloud-based APIs (Application Programming Interfaces), which works both at the level of individual HTTP (Hypertext Transfer Protocol) requests and at the access log file reading mode, linking explicitly technical anomalies with business risks. The system processes each event/access log through parallel numerical and textual branches: a set of anomaly detectors trained on traffic engineering characteristics and a hybrid NLP stack that combines rules, TF-IDF (Term Frequency-Inverse Document Frequency), and character-level models trained on enriched security datasets. Their results are integrated using a risk-aware policy that takes into account endpoint type, data sensitivity, exposure, and authentication status, and creates a discrete risk level with human-readable explanations and recommended SOC (Security Operations Center) actions. We implement this design as a containerized microservice pipeline (input, preprocessing, ML, NLP, merging, alerting, and retraining services), orchestrated using Docker Compose and instrumented using OpenSearch Dashboards. Experiments with OWASP-like (Open Worldwide Application Security Project) attack scenarios show a high detection rate for injections, SSRF (Server-Side Request Forgery), Data Exposure, and Business Logic Abuse, while the processing time for each request remains within real-time limits even in sequential testing mode. Thus, the pipeline bridges the gap between ML/NLP research for security and practical API protection channels that can evolve over time through feedback and retraining. Full article
(This article belongs to the Section Safety, Security, Privacy, and Cyber Resilience)
Show Figures

Figure 1

18 pages, 12523 KB  
Article
Automatic Generation of NGSI-LD Data Models from RDF Ontologies: Developmental Studies of Children and Adolescents Use Case
by Franc Drobnič, Gregor Starc, Gregor Jurak, Andrej Kos and Matevž Pustišek
Appl. Sci. 2026, 16(2), 992; https://doi.org/10.3390/app16020992 - 19 Jan 2026
Viewed by 165
Abstract
In the era of ever-greater data production and collection, public health research is often limited by the scarcity of data. To improve this, we propose data sharing in the form of Data Spaces, which provide technical, business, and legal conditions for an easier [...] Read more.
In the era of ever-greater data production and collection, public health research is often limited by the scarcity of data. To improve this, we propose data sharing in the form of Data Spaces, which provide technical, business, and legal conditions for an easier and trustworthy data exchange for all the participants. The data must be described in a commonly understandable way, which can be assured by machine-readable ontologies. We compared the semantic interoperability technologies used in the European Data Spaces initiatives and adopted them in our use case of physical development in children and youth. We propose an ontology describing data from the Analysis of Children’s Development in Slovenia (ACDSi) study in the Resource Description Framework (RDF) format and a corresponding Next Generation Systems Interface-Linked Data (NGSI-LD) data model. For this purpose, we have developed a tool to generate an NGSI-LD data model using information from an ontology in RDF format. The tool builds on the declaration from the standard that the NGSI-LD information model follows the graph structure of RDF, so that such translation is feasible. The source RDF ontology is analyzed using the standardized SPARQL Protocol and RDF Query Language (SPARQL), specifically using Property Path queries. The NGSI-LD data model is generated from the definitions collected in the analysis. The translation has been verified on Smart Applications REFerence (SAREF) ontology SAREF4BLDG and its corresponding Smart Data Models (52 models at the time). The generated artifacts have been tested on a Context Broker reference implementation. The tool supports basic ontology structures, and for it to translate more complex structures, further development is needed. Full article
Show Figures

Figure 1

26 pages, 1632 KB  
Article
ZebraMap: A Multimodal Rare Disease Knowledge Map with Automated Data Aggregation & LLM-Enriched Information Extraction Pipeline
by Md. Sanzidul Islam, Amani Jamal and Ali Alkhathlan
Diagnostics 2026, 16(1), 107; https://doi.org/10.3390/diagnostics16010107 - 29 Dec 2025
Viewed by 470
Abstract
Background: Rare diseases often lead to delayed diagnosis because clinical knowledge is fragmented across unstructured research, individual case reports, and heterogeneous data formats. This study presents ZebraMap, a multimodal knowledge map created to consolidate rare disease information and transform narrative case evidence into [...] Read more.
Background: Rare diseases often lead to delayed diagnosis because clinical knowledge is fragmented across unstructured research, individual case reports, and heterogeneous data formats. This study presents ZebraMap, a multimodal knowledge map created to consolidate rare disease information and transform narrative case evidence into structured, machine-readable data. Methods: Using Orphanet as the disease registry, we identified 1727 rare diseases and linked them to PubMed case reports. We retrieved 36,131 full-text case report articles that met predefined inclusion criteria and extracted publication metadata, patient demographics, clinical narratives (cases), and associated images. A central methodological contribution is an automated large language model (LLM) structuring pipeline, in which free-text case reports are parsed into standardized fields, such as symptoms, diagnostic methods, differential diagnoses, treatments, and outcome that produce structured case representations and image metadata matching the schema demonstrated in our extended dataset. In parallel, a retrieval-augmented generation (RAG) component generates concise summaries of epidemiology, etiology, clinical symptoms, and diagnostic techniques by retrieving peer-reviewed research to enhance missing disease-level descriptions. Results: The final dataset contains 69,146 structured patient-level case texts and 98,038 clinical images, each linked to a particular patient ID, disease entry, and publication. Overall cosine similarity between curated and generated text is 94.5% and performance in information extraction and structured data generation is satisfactory. Conclusions: ZebraMap provides the largest openly accessible multimodal resource for rare diseases and enables data-driven research by converting narrative evidence into computable knowledge. Full article
(This article belongs to the Special Issue Explainable Machine Learning in Clinical Diagnostics)
Show Figures

Figure 1

15 pages, 1841 KB  
Article
RFID Tag-Integrated Multi-Sensors with AIoT Cloud Platform for Food Quality Analysis
by Zeyu Cao, Zhipeng Wu and John Gray
Electronics 2026, 15(1), 106; https://doi.org/10.3390/electronics15010106 - 25 Dec 2025
Viewed by 1286
Abstract
RFID (Radio Frequency Identification) technology has become an essential instrument in numerous industrial sectors, enhancing process efficiency and streamlining operations, allowing for the automated tracking of goods and equipment without the need for manual intervention. Nevertheless, the deployment of industrial IoT systems necessitates [...] Read more.
RFID (Radio Frequency Identification) technology has become an essential instrument in numerous industrial sectors, enhancing process efficiency and streamlining operations, allowing for the automated tracking of goods and equipment without the need for manual intervention. Nevertheless, the deployment of industrial IoT systems necessitates the establishment of complex sensor networks to enable detailed multi-parameter monitoring of items. Despite these advancements, challenges remain in item-level sensing, data analysis, and the management of power consumption. To mitigate these shortcomings, this study presents a holistic AI-assisted, semi-passive RFID-integrated multi-sensor system designed for robust food quality monitoring. The primary contributions are threefold: First, a compact (45 mm ∗ 38 mm) semi-passive UHF RFID tag is developed, featuring a rechargeable lithium battery to ensure long-term operation and extend the readable range up to 10 m. Second, a dedicated IoT cloud platform is implemented to handle big data storage and visualization, ensuring reliable data management. Third, the system integrates machine learning algorithms (LSTM) to analyze sensing data for real-time food quality assessment. The system’s efficacy is validated through real-world experiments on food products, demonstrating its capability for low-cost, long-distance, and intelligent quality control. This technology enables low-cost, timely, and sustainable quality assessments over medium and long distances, with battery life extending up to 27 days under specific conditions. By deploying this technology, quantified food quality assessment and control can be achieved. Full article
Show Figures

Figure 1

35 pages, 3117 KB  
Review
Scoped Review and Evaluation of Ontologies in Operation and Maintenance of Bridge Facilities
by Piotr Smolira and Jan Karlshøj
Buildings 2026, 16(1), 81; https://doi.org/10.3390/buildings16010081 - 24 Dec 2025
Viewed by 270
Abstract
Operation and maintenance of civil infrastructure facilities such as bridges is the most extended period of the entire lifetime of the structures. This phase provides many opportunities that benefit society. However, such a wide span of operation also exposes bridges to various threats [...] Read more.
Operation and maintenance of civil infrastructure facilities such as bridges is the most extended period of the entire lifetime of the structures. This phase provides many opportunities that benefit society. However, such a wide span of operation also exposes bridges to various threats and risks. Therefore, knowledge domains such as Bridge Management System and life-cycle management are crucial ingredients for maintaining the level of performance of bridges and their components. Bridge Management System (BMS), since its emergence in 1975, has been constantly evolving to meet the needs of the industry with advancements in technology through new paradigms. To accelerate the process of creating and managing the data and information about bridge structures, the terms Bridge Information Modeling (BRiM) and Civil Information Modeling have appeared more frequently. Inspired by Building Information Modeling, the incentive is to manage the information better, from the concept until the end-of-life. The amount of created data is extensive and versatile. To address the issue of potential unstructured and heterogeneous information, academic and industrial researchers have been developing classifications, categories, and taxonomies. Given the advancements and growth of Semantic Web technologies, and qualities such as interoperability, machine-readable format, and extensibility, ontology development has become prominent. Current experience and success in creating and adapting ontologies into BIM workflow set examples for other branches in the built environment like civil engineering. Ontologies describing various areas of the bridge domain have been developed. However, proposals of how such information models could be aligned and integrated are seldom seen. This paper presents scoped evaluation of ontologies from bridge operation and maintenance domain. It gives an overview of how well different subjects are compliment entire topic, and it provides recommendations on modeling and evaluating ontologies related to a particular use case. It proposes a methodology that can be used for further development, alignment, and finding ontology gaps in the bridge domain. Full article
(This article belongs to the Section Construction Management, and Computers & Digitization)
Show Figures

Figure 1

19 pages, 450 KB  
Article
Heuristics Analyses of Smart Contracts Bytecodes and Their Classifications
by Chibuzor Udokwu, Seyed Amid Moeinzadeh Mirhosseini and Stefan Craß
Electronics 2026, 15(1), 41; https://doi.org/10.3390/electronics15010041 - 22 Dec 2025
Viewed by 326
Abstract
Smart contracts are deployed and represented as bytecodes in blockchain networks, and these bytecodes are machine-readable codes. Only a small number of deployed smart contracts have their verified human-readable code publicly accessible to blockchain users. To improve the understandability of deployed smart contracts, [...] Read more.
Smart contracts are deployed and represented as bytecodes in blockchain networks, and these bytecodes are machine-readable codes. Only a small number of deployed smart contracts have their verified human-readable code publicly accessible to blockchain users. To improve the understandability of deployed smart contracts, we explored rule-based classification of smart contracts using iterative integration of fingerprints of relevant function interfaces and keywords. Our classification system included categories for standard contracts such as ERC20, ERC721, and ERC1155, and non-standard contracts like FinDApps, cross-chain, governance, and proxy. To do this, we first identified the core function fingerprints for all ERC token contracts. We then used an adapted header extractor tool to verify that these fingerprints occurred in all of the implemented functions within the bytecode. For the non-standard contracts, we took an iterative approach, identifying contract interfaces and relevant fingerprints for each specific category. To classify these contracts, we created a rule that required at least two occurrences of a relevant fingerprint keyword or interface. This rule was stricter for standard contracts: the 100% occurrence requirement ensures that we only identify compliant token contracts. For non-standard contracts, we required a minimum of two relevant fingerprint occurrences to prevent hash collisions and the unintentional use of keywords. After developing the classifier, we evaluated its performance on sample datasets. The classifier performed very well, achieving an F1 score of over 99% for standard contracts and a solid 93% for non-standard contracts. We also conducted a risk analysis to identify potential vulnerabilities that could reduce the classifier’s performance, including hash collisions, an incomplete rule set, manual verification bottlenecks, outdated data, and semantic misdirection or obfuscation of smart contract functions. To address these risks, we proposed several solutions: continuous monitoring, continuous data crawling, and extended rule refinement. The classifier’s modular design allows for these manual updates to be easily integrated. While semantic-based risks cannot be completely eliminated, symbolic execution can be used to verify the expected behavior of ERC token contract functions with a given set of inputs to identify malicious contracts. Lastly, we applied the classifier on contracts deployed Ethereum main network. Full article
Show Figures

Figure 1

13 pages, 1349 KB  
Article
ForestFoodKG: A Structured Dataset and Knowledge Graph for Forest Food Taxonomy and Nutrition
by Rongen Yan, Zhidan Chen, Shengqi Zhou, Guoxing Niu, Yan Li, Zehui Liu, Jun Wang, Xinwan Wu, Qi Luo, Yibin Zhou, Yanting Jin, Keyan Liu, Weilong Yuan, Jingyi Xu and Fu Xu
Foods 2025, 14(24), 4186; https://doi.org/10.3390/foods14244186 - 5 Dec 2025
Viewed by 637
Abstract
Forest foods play a vital role in enhancing dietary diversity, human health, and the sustainable use of forest ecosystems. However, structured and machine-readable resources that systematically describe their taxonomic and nutritional attributes remain scarce. To fill this gap, we introduce ForestFoodKG, a comprehensive [...] Read more.
Forest foods play a vital role in enhancing dietary diversity, human health, and the sustainable use of forest ecosystems. However, structured and machine-readable resources that systematically describe their taxonomic and nutritional attributes remain scarce. To fill this gap, we introduce ForestFoodKG, a comprehensive resource that integrates taxonomic hierarchy and nutritional composition of 1191 forest food items. The resource consists of two components—(i) the ForestFoodKG dataset, containing standardized taxonomic and nutritional records across seven biological levels, and (ii) the ForestFoodKG Knowledge Graph (ForestFoodKG-KG), which semantically links forest food entities using named entity recognition and relation extraction. The constructed graph comprises 4492 entities and 14,130 semantic relations, providing a structured foundation for intelligent querying, nutrition analytics, and ecological informatics. All data were manually verified and made publicly available in CSV format on GitHub. ForestFoodKG serves as the first structured knowledge base for forest foods, promoting data-driven research in nutrition science, sustainable forestry, and knowledge-based decision-making. Full article
(This article belongs to the Section Food Nutrition)
Show Figures

Figure 1

19 pages, 46547 KB  
Article
Enhancing Medical Diagnosis Document Analysis with Layout-Aware Multitask Models
by Hung-Jen Tu and Jia-Lien Hsu
Diagnostics 2025, 15(23), 3039; https://doi.org/10.3390/diagnostics15233039 - 28 Nov 2025
Viewed by 738
Abstract
Background and Objectives: Medical diagnosis documents often exhibit diverse layouts and formats, posing significant challenges for automated information extraction. Ensuring the privacy of sensitive medical data further complicates the development of effective analysis systems. This study aims to develop a robust and privacy-compliant [...] Read more.
Background and Objectives: Medical diagnosis documents often exhibit diverse layouts and formats, posing significant challenges for automated information extraction. Ensuring the privacy of sensitive medical data further complicates the development of effective analysis systems. This study aims to develop a robust and privacy-compliant system for analyzing medical diagnosis documents. Methods: We designed an integrated Optical Character Recognition (OCR) system that processes medical documents regardless of their layout or format. The system first converts bitmap images into machine-readable text using OCR. A document-understanding model is then applied to identify and extract key information. To improve adaptability and accuracy, we employed a mutual learning approach. To address privacy concerns, we generated training data using generative techniques, ensuring compliance with privacy regulations while maintaining dataset quality. Results: The proposed system demonstrated strong performance across a wide variety of document layouts, effectively extracting critical information while adhering to privacy requirements. Conclusions: Our approach offers a practical and efficient solution for processing complex medical diagnosis documents, advancing the field of medical informatics while safeguarding patient privacy. Full article
Show Figures

Figure 1

22 pages, 504 KB  
Article
A Comparison of Cyber Intelligence Platforms in the Context of IoT Devices and Smart Homes
by Mohammed Rashed, Iván Torrejón-Del Viso and Ana I. González-Tablas
Electronics 2025, 14(22), 4503; https://doi.org/10.3390/electronics14224503 - 18 Nov 2025
Viewed by 638
Abstract
Internet of Things (IoT) devices are increasingly deployed in homes and enterprises, yet they face a rising rate of cyberattacks. High-quality Cyber Threat Intelligence (CTI) is essential for data-driven, deep learning (DL)-based cybersecurity, as structured intelligence enables faster, automated detection. However, many CTI [...] Read more.
Internet of Things (IoT) devices are increasingly deployed in homes and enterprises, yet they face a rising rate of cyberattacks. High-quality Cyber Threat Intelligence (CTI) is essential for data-driven, deep learning (DL)-based cybersecurity, as structured intelligence enables faster, automated detection. However, many CTI platforms still use unstructured or non-standard formats, hindering integration with ML systems.This study compares CTI from one commercial platform (AlienVault OTX) and public vulnerability databases (NVD’s CVE and CPE) in the IoT/smart home context. We assess their adherence to the Structured Threat Information Expression (STIX) v2.1 standard and the quality and coverage of their intelligence. Using 6.2K IoT-related CTI objects, we conducted syntactic and semantic analyses. Results showed that OTX achieved full STIX compliance. Based on our coverage metric, OTX demonstrated high intelligence completeness, whereas the NVD sources showed partial contextual coverage. IoT threats exhibited an upward trend, with Network as the dominant attack vector and Gain Access as the most common objective. The limited use of STIX-standardized vocabulary reduced machine readability, constraining data-driven applications. Our findings inform the design and selection of CTI feeds for intelligent intrusion detection and automated defense systems. Full article
(This article belongs to the Special Issue Novel Approaches for Deep Learning in Cybersecurity)
Show Figures

Figure 1

25 pages, 3160 KB  
Article
Revisiting Text-Based CAPTCHAs: A Large-Scale Security and Usability Analysis Against CNN-Based Solvers
by Mevlüt Uysal
Electronics 2025, 14(22), 4403; https://doi.org/10.3390/electronics14224403 - 12 Nov 2025
Viewed by 1605
Abstract
Text-based CAPTCHAs remain a widely deployed mechanism for mitigating automated attacks across web platforms. However, the increasing effectiveness of convolutional neural networks (CNNs) and advanced computer vision models poses significant challenges to their reliability as a security measure. This study presents a comprehensive [...] Read more.
Text-based CAPTCHAs remain a widely deployed mechanism for mitigating automated attacks across web platforms. However, the increasing effectiveness of convolutional neural networks (CNNs) and advanced computer vision models poses significant challenges to their reliability as a security measure. This study presents a comprehensive forensic and security-oriented analysis of text-based CAPTCHA systems, focusing on how individual and combined visual distortion features affect human usability and machine solvability. A real-world dataset comprising 45,166 CAPTCHA samples was generated under controlled conditions, integrating diverse anti-recognition, anti-segmentation, and anti-classification features. Recognition performance was systematically evaluated using both a CNN-based solver and actual human interaction data collected through an online exam platform. Results reveal that while traditional features such as warping and distortion still degrade machine accuracy to some extent, newer features like the hollow scheme and multi-layer structures offer better resistance against CNN-based attacks while maintaining human readability. Correlation and SHAP-based analyses were employed to quantify feature influence and identify configurations that optimize human–machine separability. This work contributes a publicly available dataset and a feature-impact framework, enabling deeper investigations into adversarial robustness, CAPTCHA resistance modeling, and security-aware human interaction systems. The findings underscore the need for adaptive CAPTCHA mechanisms that are both human-centric and resilient against evolving AI-based attacks. Full article
(This article belongs to the Section Computer Science & Engineering)
Show Figures

Figure 1

20 pages, 3729 KB  
Proceeding Paper
A Smart Glove-Based System for Dynamic Sign Language Translation Using LSTM Networks
by Tabassum Kanwal, Saud Altaf, Rehan Mehmood Yousaf and Kashif Sattar
Eng. Proc. 2025, 118(1), 45; https://doi.org/10.3390/ECSA-12-26530 - 7 Nov 2025
Viewed by 672
Abstract
This research presents a novel, real-time Pakistani Sign Language (PSL) recognition system utilizing a custom-designed sensory glove integrated with advanced machine learning techniques. The system aims to bridge communication gaps for individuals with hearing and speech impairments by translating hand gestures into readable [...] Read more.
This research presents a novel, real-time Pakistani Sign Language (PSL) recognition system utilizing a custom-designed sensory glove integrated with advanced machine learning techniques. The system aims to bridge communication gaps for individuals with hearing and speech impairments by translating hand gestures into readable text. At the core of this work is a smart glove engineered with five resistive flex sensors for precise finger flexion detection and a 9-DOF Inertial Measurement Unit (IMU) for capturing hand orientation and movement. The glove is powered by a compact microcontroller, which processes the analog and digital sensor inputs and transmits the data wirelessly to a host computer. A rechargeable 3.7 V Li-Po battery ensures portability, while a dynamic dataset comprising both static alphabet gestures and dynamic PSL phrases was recorded using this setup. The collected data was used to train two models: a Support Vector Machine with feature extraction (SVM-FE) and a Long Short-Term Memory (LSTM) deep learning network. The LSTM model outperformed traditional methods, achieving an accuracy of 98.6% in real-time gesture recognition. The proposed system demonstrates robust performance and offers practical applications in smart home interfaces, virtual and augmented reality, gaming, and assistive technologies. By combining ergonomic hardware with intelligent algorithms, this research takes a significant step toward inclusive communication and more natural human–machine interaction. Full article
Show Figures

Figure 1

36 pages, 1090 KB  
Article
Integrating Linguistic and Eye Movements Features for Arabic Text Readability Assessment Using ML and DL Models
by Ibtehal Baazeem, Hend Al-Khalifa and Abdulmalik Al-Salman
Computation 2025, 13(11), 258; https://doi.org/10.3390/computation13110258 - 3 Nov 2025
Viewed by 1300
Abstract
Evaluating text readability is crucial for supporting both language learners and native readers in selecting appropriate materials. Cognitive psychology research, leveraging behavioral data such as eye-tracking and electroencephalogram (EEG) signals, has demonstrated effectiveness in identifying cognitive activities associated with text difficulty during reading. [...] Read more.
Evaluating text readability is crucial for supporting both language learners and native readers in selecting appropriate materials. Cognitive psychology research, leveraging behavioral data such as eye-tracking and electroencephalogram (EEG) signals, has demonstrated effectiveness in identifying cognitive activities associated with text difficulty during reading. However, the distinctive linguistic characteristics of Arabic present unique challenges for applying such data in readability assessments. While behavioral signals have been explored for this purpose, their potential for Arabic remains underutilized. This study aims to advance Arabic readability assessments by integrating eye-tracking features into computational models. It presents a series of experiments that utilize both text-based and gaze-based features within machine learning (ML) and deep learning (DL) frameworks. The gaze-based features were extracted from the AraEyebility corpus, which contains eye-tracking data collected from 15 native Arabic speakers. The experimental results show that ensemble ML models, particularly AdaBoost with linguistic and eye-tracking handcrafted features, outperform ML models using TF-IDF and DL models employing word embedding vectorization. Among the DL models, convolutional neural networks (CNNs) achieved the best performance with combined linguistic and eye-tracking features. These findings underscore the value of cognitive data and emphasize the need for exploration to fully realize its potential in Arabic readability assessment. Full article
Show Figures

Figure 1

33 pages, 4649 KB  
Systematic Review
Semantic Web Technologies in Construction Facility Management: A Bibliometric Analysis and Future Directions
by Rafay Ali Bukhari Syed, Rosa Agliata, Ippolita Mecca and Luigi Mollo
Buildings 2025, 15(21), 3845; https://doi.org/10.3390/buildings15213845 - 24 Oct 2025
Cited by 1 | Viewed by 1032
Abstract
The Facility Management (FM) sector is often hampered by data fragmentation and poor interoperability, hindering operational efficiency. To overcome these challenges, Semantic Web Technologies (SWTs) offer a robust framework by enabling machine-readable data integration. However, the application of SWTs in FM is underexplored. [...] Read more.
The Facility Management (FM) sector is often hampered by data fragmentation and poor interoperability, hindering operational efficiency. To overcome these challenges, Semantic Web Technologies (SWTs) offer a robust framework by enabling machine-readable data integration. However, the application of SWTs in FM is underexplored. Therefore, this study systematically analyzes the structure, evolution, and emerging trends of SWT applications in FM to provide a clear research roadmap. A systematic literature review and bibliometric analysis were conducted on a final dataset of 107 academic articles using co-citation and keyword co-occurrence analysis. The results reveal that research in this domain has experienced exponential growth since 2021, with publications concentrated in high-impact journals. While a core group of influential authors has emerged, international collaboration remains fragmented. Thematic analysis identified a clear evolutionary trajectory from foundational concepts like BIM and ontologies toward applied Digital Twins and, most recently, advanced automation using Knowledge Graphs. This study provides a comprehensive roadmap for future inquiry, highlighting the need to mature technology integration, advance applied digital twins, and develop domain-specific ontologies to create more intelligent facilities. Ultimately, this study provides managers and policy-makers with a data-driven reference for strategically prioritizing investments in digitalization to achieve sustainable facility operation. Full article
Show Figures

Figure 1

Back to TopTop