Next Article in Journal
Robust Control Design for an Off-Board EV Charger Considering Grid Impedance Variation
Previous Article in Journal
Assessing the Ageing Effect of Green Organic Coatings Under-Development on Bronze Alloy Substrate
 
 
Font Type:
Arial Georgia Verdana
Font Size:
Aa Aa Aa
Line Spacing:
Column Width:
Background:
Proceeding Paper

A Smart Glove-Based System for Dynamic Sign Language Translation Using LSTM Networks †

1
University Institute of Information Technology, PMAS-University of Arid Agriculture, Rawalpindi 46000, Pakistan
2
Department of Information Engineering Technology, National Skills University, Islamabad 44000, Pakistan
*
Author to whom correspondence should be addressed.
Presented at the 12th International Electronic Conference on Sensors and Applications, 12–14 November 2025; Available online: https://sciforum.net/event/ECSA-12.
Eng. Proc. 2025, 118(1), 45; https://doi.org/10.3390/ECSA-12-26530
Published: 7 November 2025

Abstract

This research presents a novel, real-time Pakistani Sign Language (PSL) recognition system utilizing a custom-designed sensory glove integrated with advanced machine learning techniques. The system aims to bridge communication gaps for individuals with hearing and speech impairments by translating hand gestures into readable text. At the core of this work is a smart glove engineered with five resistive flex sensors for precise finger flexion detection and a 9-DOF Inertial Measurement Unit (IMU) for capturing hand orientation and movement. The glove is powered by a compact microcontroller, which processes the analog and digital sensor inputs and transmits the data wirelessly to a host computer. A rechargeable 3.7 V Li-Po battery ensures portability, while a dynamic dataset comprising both static alphabet gestures and dynamic PSL phrases was recorded using this setup. The collected data was used to train two models: a Support Vector Machine with feature extraction (SVM-FE) and a Long Short-Term Memory (LSTM) deep learning network. The LSTM model outperformed traditional methods, achieving an accuracy of 98.6% in real-time gesture recognition. The proposed system demonstrates robust performance and offers practical applications in smart home interfaces, virtual and augmented reality, gaming, and assistive technologies. By combining ergonomic hardware with intelligent algorithms, this research takes a significant step toward inclusive communication and more natural human–machine interaction.

1. Introduction

Many deaf and speech-impaired Pakistanis struggle to communicate and socialize. Technologies that make communication easier and more inclusive are needed to reduce social isolation and access to services and opportunities [1].
More than 120 sign languages exist, including American, Indian, Italian, and Pakistan Sign Language (PSL) [2]. Most Sign Language Recognition (SLR) systems interpret hand motions based on their attributes. In PSL, the SLR system may produce text on a screen or speech on a speaker device, improving communication for Pakistan’s deaf and hard-of-hearing population [3,4,5,6].
Recently, deep learning architectures have achieved state-of-the-art performance on several computer vision problems [7,8]. SLR system design using a Convolutional Neural Network (CNN) may be adjusted for Pakistan Sign Language to increase identification accuracy and usability [3].
Most Sign Language Recognition (SLR) systems use sensor-based, image-based, or hybrid techniques [2,3,4,5,6]. The first method fails to capture the hand’s location relative to the other hand and body, which is crucial for comprehending PSL movements. The second option requires the camera to be in front of the user, which might hinder mobility. This limitation might make it difficult for users to manage the camera while doing signs in real life. Due to illumination and field of vision issues that might impact accuracy and consistency, this technique is unsuitable. Users may find the hybrid technique impractical for real-life talks since it requires a glove and camera. This configuration is both expensive and computationally intensive, limiting its acceptance and development.
Our unique Pakistan Sign Language (PSL) identification system uses a sensory glove and machine learning. This strategy makes communication more natural and effective than previous methods. The proposed SLR system recognizes static and dynamic PSL gestures, incorporating a wider range of signs and supporting the development of a real-time application that predicts signs, improves sentence grammar, and converts them into spoken Urdu sentences.
The device uses a sensory glove with an Inertial Measurement Unit (IMU) sensor (MPU9250) product of TDK Invensense (San Jose, CA, USA) to track hand motions and orientation and flex sensors to quantify finger bending. The wireless glove transmits data to a processing unit without physical connections to allow user movement. PSL gestures are predicted using SVM-FE and LSTM machine learning models on the obtained data. Gemini 2.5 is used to fix grammatical problems and mispredictions in the produced phrases, and Google Text-to-Speech (gTTS) in Urdu reads the result.
This paper’s structure is as follows: SLR systems are reviewed in Section 2. Section 3 describes the Pakistan Sign Language motions used to build the dataset. This study’s hardware and machine learning architectures are described in Section 4. Section 5 analyzes the dataset and reviews the machine learning models. Section 6 explains the real-time translation of PSL motions into spoken words. In Section 7, we evaluate our architecture, models, and real-time implementation and suggest improvements. Section 8 ends with observations.

2. Related Work

As illustrated in Figure 1, a Sign Language Recognition (SLR) system may be implemented utilizing a sensor-based, image-based, or hybrid technique [2,3,4,5,6].
A glove with many sensors and connections is worn in the sensor-based system approach. The system tracks and records hand and finger motions with these sensors. The computer receives finger bending, motions, orientation, rotation, and hand position data for interpretation. This method is mobile and accurate in gesture recognition. It lacks facial expressions and emotional clues, which Pakistan Sign Language (PSL) uses to convey complex meanings and improve communication.
A glove full of sensors and cables is not needed in the image-based method. This technology captures photos with a camera and recognizes PSL motions using computer vision and image processing. This method, which uses only a camera and CPU to construct a recognition system, is popular due to its simplicity and implementation. But continual camera alignment can disrupt the natural flow of discussion and negatively impact the user experience, especially in dynamic, real-world environments.
The third way, the hybrid strategy, combines glove- and camera-based benefits. Mutual error correction improves recognition accuracy and system dependability. However, like the image-based system, this solution has mobility issues and may not be suitable for Pakistani daily conversation.
A new Pakistan Sign Language (PSL) recognition method is presented here. This suggested system addresses the gestures, structure, and communication demands of Pakistan’s deaf and hard-of-hearing population, making it more practical, real-time, and efficient than current methods.

3. Urdu Signs Overview

This section introduces the Pakistan Sign Language (PSL) movements used to build the dataset, which comprise static gestures for letters and dynamic gestures for words. For real-time recognition and phrase creation, many new control gestures were included. These are ‘n’ to signal a resting hand, ‘space’ (‘ ’) to combine letters into words, and ‘p’ to concatenate words into a phrase and speak it. The package comprises the PSL alphabet, three control signs (‘space’, ‘n’, and ‘p’), and sixteen dynamic signs for typical PSL words. This yields 47 distinct indications, as shown in Figure 2.

4. Methodology

4.1. Block Diagram

The sensory glove system efficiently translates Pakistan Sign Language (PSL) into spoken Urdu using sensors and microcontrollers. Pakistani deaf and hard-of-hearing people can better communicate by interpreting PSL signals, creating grammatically accurate words, and speaking them.
Figure 3 shows the transmitter and receiver, which make up this work’s system. The transmitter system uses a lightweight glove with sensors to record PSL hand gestures and motions. The receiver receives this data wirelessly and utilizes machine learning techniques to properly forecast the user’s sign. The algorithm then generates logical phrases from these signals and speaks them in real time in Urdu.

4.2. Sensory Glove or Transmitter System

Figure 4 shows the sensory glove system’s main components for Pakistan Sign Language (PSL) identification. An Arduino microcontroller [9] interacts with five flex sensors to detect finger flexing and deliver finger locations, which is needed for recognizing static PSL movements.
The glove uses an MPU9250 IMU to track hand orientation and movement. This sensor’s accelerometer, gyroscope, and magnetometer data are essential for dynamic PSL sign recognition. This study tracks hand mobility with accelerometer data. Euler angles can affect hand orientation, but axis alignment can cause gimbal lock. Instead of gimbal lock, quaternions express 3D rotations with four components (one scalar and three imaginary), ensuring stability and accuracy.
Startup calibration ensures that the IMU sensor works correctly and provides accurate results. After turning on the glove, the user must calibrate the magnetometer with a figure-of-eight motion. The user lays their hand flat and motionless on the surface to calibrate the accelerometer and gyroscope. This method keeps the PSL gesture recognition orientation and motion data constant. The Arduino IDE’s FastIMU package automates this calibration, making it simple and dependable.
Manufacturing and finger features can affect flex sensors, which detect finger bending. Flex sensor calibration standardizes readings. First, the user must completely flex their fingers for 5 s. Arduino takes many measurements and calculates the median to determine if the fingers are flexed. Next, the user completely expands their fingers and holds for 5 s while further readings are taken. The minimum and maximum reference points for each finger are then determined using the median values for flexed and stretched states.
The calibrated sensor value is calculated using the following formula after recording these reference values:
Calibrated   Svalue = Raw   Value Raw min Raw max Raw min
Raw Value is the raw sensor measurement, and Rawmax and Rawmin are the median values for fully stretched and flexed positions, respectively. This algorithm normalizes flex sensor data from 0 to 1023 to a defined range of −1 to 1, guaranteeing uniform readings across all sensors, independent of finger or sensor differences.
The five calibrated flex sensors now give precise and consistent finger position data, which is important for Pakistan Sign Language gesture detection. The whole data format contains the following parameters.
The data includes quaternion components (q0, q1, q2, q3) for 3D hand orientation, accelerometer readings (ax, ay, az) for hand movement along the X, Y, and Z axes, and standardized measurements (s1, s2, s3, s4, s5) for each finger’s flex sensors.
The receiver module receives these sensor data wirelessly from an NRF24L01 transceiver (Figure 5). Due to the NRF24L01’s 32-byte payload constraint, the data is formatted into a string and delivered in three packets: the quaternion, accelerometer, and flex sensor. The transmitter delivers this structured data string at set intervals via the RF connection to the receiver, providing real-time hand gesture data.
A tiny 3.7 V battery powers the glove-based device, making it portable and easy to use for real-world PSL applications, including daily communication, teaching, and public engagement.

4.3. Receiver System

The receiver mechanism in Figure 3 continually listens for transmitter data packets. Initialized to listen for signals, the NRF24L01 wireless module stays active until it gets all the data. The receiver algorithm waits until all three data batches—quaternion (orientation), accelerometer (movement), and flex sensor (finger position)—are received before merging them into a data packet.
Pakistan Sign Language (PSL) gesture recognition requires synchronized and reliable incoming data, which this structured reception provides. The processing unit analyzes the complete dataset to forecast PSL indications using machine learning methods. After recognizing signs, a text-to-speech technology converts a statement into spoken Urdu, allowing deaf and hard-of-hearing people to communicate.

4.4. Proposed SVM with Feature Extraction (SVM-FE) Model

SVM [10] and feature extraction (FE) are successful classification methods for Pakistan Sign Language (PSL) gesture recognition. This combination compresses complex sensor streams into informative descriptors, which strengthens the SVM’s ability to discriminate PSL signs. By reducing input dimensionality and emphasizing the most salient gesture attributes, the FE stage helps the SVM learn clearer decision boundaries and achieve higher classification accuracy. For sequential PSL data, summarizing features over time also enables the model to capture motion patterns and temporal trends in both static and dynamic signals. The complete SVM-FE pipeline, including feature design, normalization and classifier configuration, is summarized in Table 1.
To categorize PSL signals, the SVM-FE model uses a linear kernel to produce a straight-line (or hyperplane) decision boundary in feature space. The model outputs probability estimates for each class instead of only the most likely label. This probabilistic output aids ambiguous gesture decision-making.
StandardScaler scales input characteristics to 0 and 1 for the mean and standard deviation. Normalization balances features (e.g., accelerometer vs. flex sensor readings) and speeds up model convergence during training, boosting identification performance.

4.5. Proposed LSTM Model

LSTM networks [11,12] handle sequential data, which is essential for identifying Pakistan Sign Language (PSL), especially dynamic motions. They excel in time-series applications like gesture sequences, speech recognition, and natural language processing because their design learns and retains long-term relationships.
The LSTM model architecture for PSL gesture prediction in our study is shown in Figure 6.
The sequential neural network model uses bidirectional LSTMs. The initial input layer has 75 time steps and 12 characteristics per time step. Quaternion components (q0, q1, q2, q3), accelerometer measurements (ax, ay, az), and flex sensor data (s1, s2, s3, s4, s5) capture PSL hand gesture motion and orientation.
A 128-unit bidirectional LSTM layer returns sequences after the input. This design lets the model learn gesture patterns in both forward and backward temporal directions, improving context awareness. After that, a 10% dropout layer randomly disables a percentage of neurons during training to minimize overfitting and promote generalization.
Next, a second 128-unit bidirectional LSTM layer is added, designed to not return sequences and output a single final state summing the input sequence’s learnt information. Another 10% dropout layer reduces the overfitting risk.
Non-linearity from a dense layer with 128 units and a tanh activation function lets the model record complicated gesture data correlations. The output layer is a thick softmax layer with the same number of units as PSL gesture classes. For multiclass classification and interpretable PSL sign predictions, the softmax function converts the final output into a probability distribution.
Training was stopped early to prevent overfitting. This method stops training if the model’s validation loss does not improve after a certain number of epochs. This method stops the model from remembering noise or highly particular patterns in the training data and enhances its generalization to fresh PSL inputs.
Layer sizes and dropout rates were chosen to balance complexity and generalization in the model architecture to achieve consistent performance on unseen data during validation.

5. Experiments and Results

5.1. Dataset

Data from one participant was used to record dynamic movements for 47 Pakistan Sign Language (PSL) letters and words the definitions of which are provided in Appendix A (Table A1). The participant purposefully altered hand speed and location while completing gestures to simulate real-world variability in PSL usage by distinct users under varying ambient and physical situations to guarantee the system can generalize across users. This technique and a comprehensive calibration method reduce individual-specific variability and improve recognition performance.
The IMU sensor data provides normalized quaternion measurements (−1 to 1), indicating 3D hand orientation. Accelerometer data, often ranging from −2 to +2, was kept unnormalized to retain important information like abrupt hand movements or impacts during complicated PSL motions. These inherent changes in accelerometer data help the algorithm learn and distinguish swift or powerful motions that normalization would reduce.
Flex sensor data is calibrated and standardized within a −1 to 1 range to account for finger variations and sensor discrepancies. This standardization allows the algorithm to focus on gesture patterns rather than signal fluctuations, enhancing gesture recognition across users.
No data augmentation was performed on this dataset. This was carried out to retain PSL gestures’ naturalness. Artificial data may provide inconsistencies or abnormalities that hinder model learning. The dataset provides a clean, realistic basis for PSL gesture recognition model training.
For each PSL sign, 75 time steps were captured at 50 Hz, recording a 1.5 s gesture frame (75 time steps ÷ 50 Hz = 1.5 s). Each time step saves 12 features’ quaternion orientation (q0, q1, q2, q3), accelerometer measurements (ax, ay, az), and calibrated flex sensor values (s1–s5) as a single row in a CSV file labeled with the PSL sign.
There are 130 readings per sign: 100 for training, 15 for testing, and 15 for validation. The dataset is balanced over all 47 PSL classes, preventing gesture bias. This structure yields 6110 gesture examples (130 readings × 47 signs), providing a broad dataset that accurately captures the dynamic and expressive nature of PSL motions. Table 2 shows a dataset sample with the data format and labels.
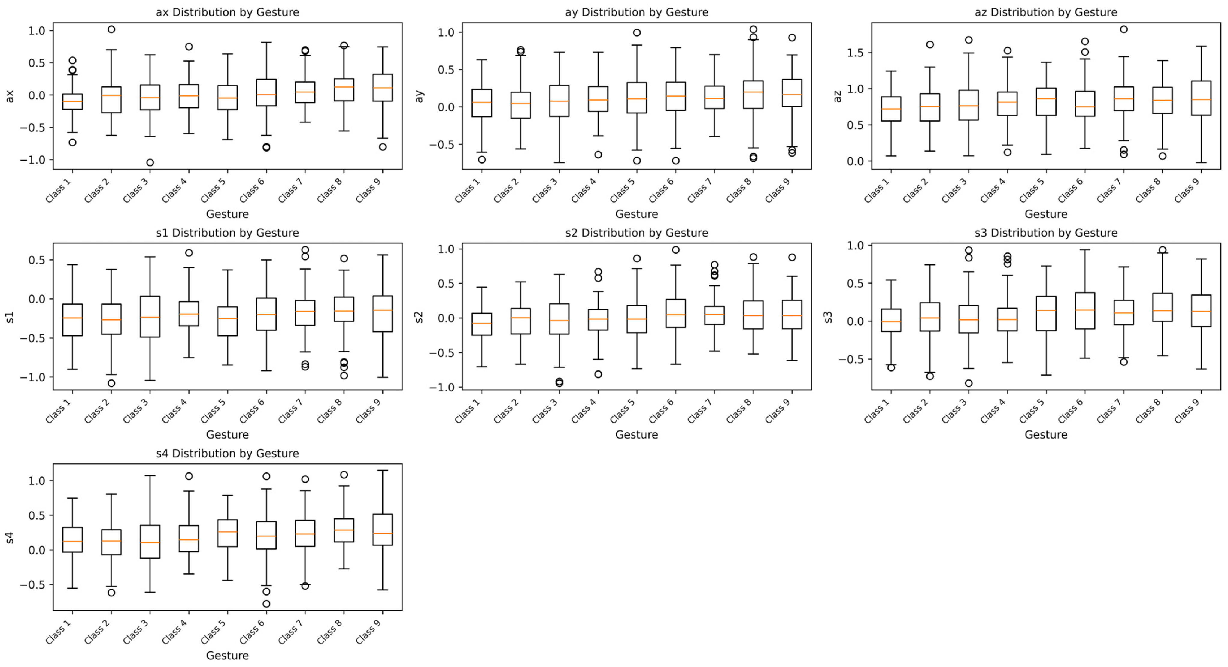
The box plot in Figure 7 shows the accelerometer and flex sensor data-based PSL gesture class distribution. A box plot (sometimes called a box-and-whisker plot) uses five summary statistics—minimum, first quartile (Q1), median, third quartile (Q3), and maximum—to show the data distribution and symmetry. The central box contains the interquartile range (IQR), the middle 50% of the data, from Q1 to Q3. The smallest and greatest values within 1.5 times the IQR are “whiskers”; data points beyond this range are outliers.
The box plot shows each gesture’s sensor reading distribution and variability in this PSL dataset. It shows how motions create discrete sensor patterns, helping the model categorize them.
A crucial discovery from the plots is that broader or taller boxes in either the accelerometer or flex sensor data imply a higher standard deviation, frequently linked with greater movement or unpredictability in the gesture. The accelerometer plots of static PSL movements like letter representations reveal no or very narrow boxes, indicating negligible hand movement. Dynamic gestures, like as the PSL sign for “السلام علیکم” (peace be upon you), have bigger boxes in accelerometer data because of their strong motion.
Commonly, motions with little sensor reading fluctuation (like static signals) have more outliers. The very sensitive sensors catch slight involuntary hand movements or user changes that cause these outliers.
Note that all gesture class box plots reveal no abnormal data patterns, indicating constant and reliable sensor performance throughout data collection. No unexpected results or dramatic deviations demonstrate that sensor calibration and system integrity were maintained throughout the recording procedure, boosting dataset trustworthiness.

5.2. SVM-FE Model Results

5.2.1. Data Preprocessing for SVM-FE Model

To summarize time-series data from the dynamic gesture dataset and provide sequential PSL gesture data for SVM training, feature extraction is essential. Statistical and frequency-based characteristics are derived from raw sensor sequences to create a compact, learnable format.
Feature extraction for the PSL dataset involves determining the mean, standard deviation, minimum, and maximum for each sensor signal over 75 time steps. Each signal is Fast Fourier-Transformed (FFT) to extract the amplitude and standard deviation of frequency components to reflect hand movement pattern variations over time. These features show PSL gestures’ temporal and spectral properties, which are essential for SVM classification.
After collecting 75 gesture data points, the system computes the median, standard deviation, minimum, maximum, FFT magnitude, and FFT standard deviation for each of the 12 sensor channels (q0–q3, ax–az, s1–s5). The gesture sequence is summarized into a compact, useful 72-dimensional feature vector (6 features × 12 sensors) for SVM input.
This feature engineering method helps the SVM model discover unique PSL gesture patterns and changes, enhancing classification performance and resilience across static and dynamic sign inputs.

5.2.2. Results

Table 3 shows the SVM-FE model’s accuracy on training, test, and validation datasets. The confusion matrices for this model’s training and validation datasets are shown in Figure 8.
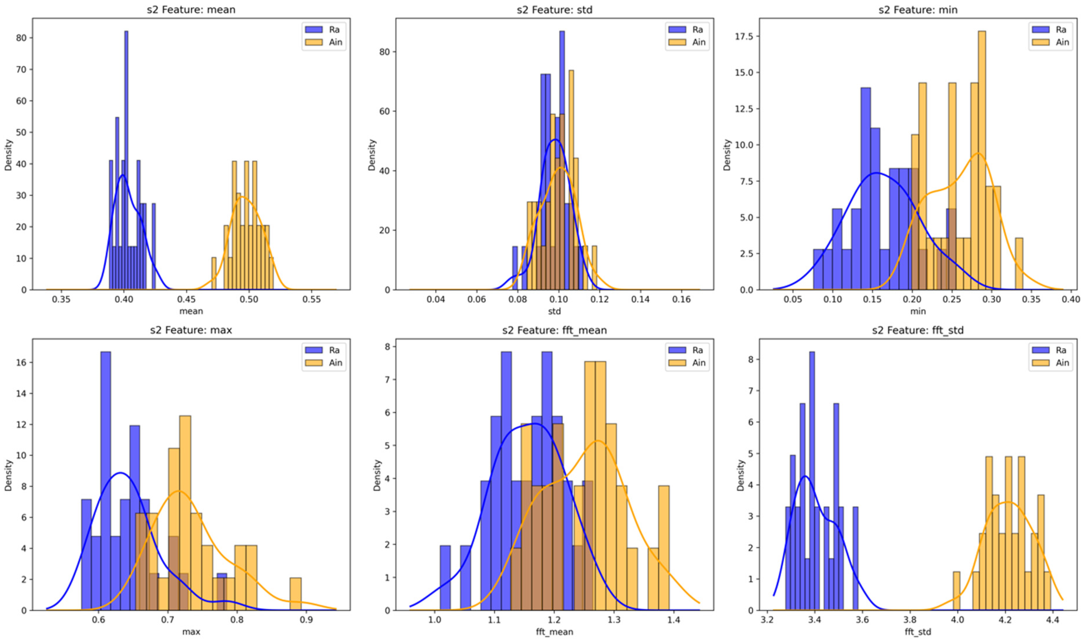
The SVM-FE model has high accuracy and a balanced confusion matrix on the validation dataset. The model’s ability to mistake static PSL motions was a major drawback. Often, “ر” is misinterpreted as “؂” in the test dataset and “ح” as “ج” in the validation dataset.
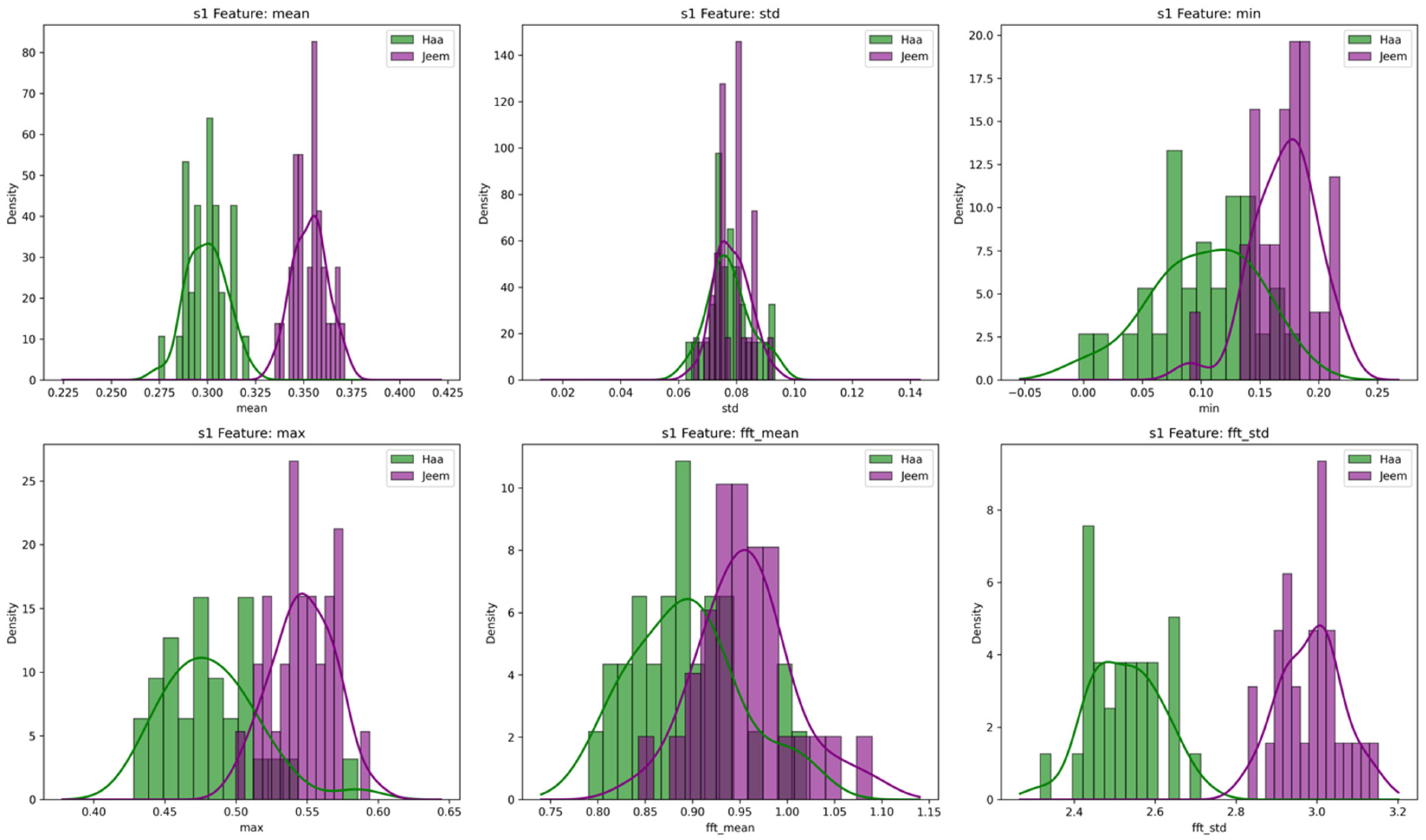
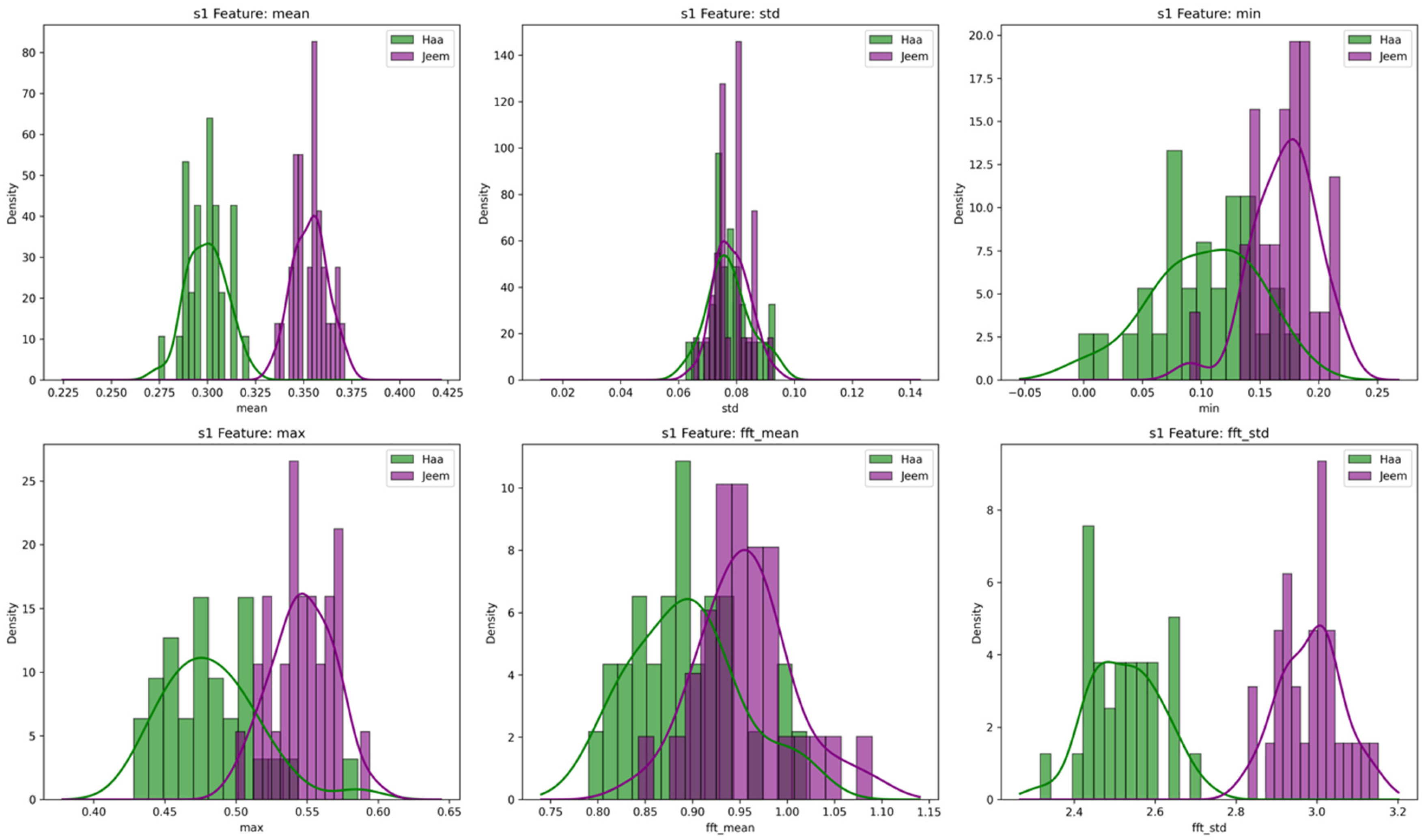
These movements are motionless and have identical hand angles, which provides comparable quaternion data and reduces accelerometer activity, causing misunderstanding. Flex sensor data is the main differentiator here. Examining SVM-extracted feature histograms, flex sensor readings (particularly flexes 2 and 3 for “ر” and “ع” in Figure 9 and flex 1 for “ح” and “ج” in Figure 10) show overlap. This overlap seems to cause most categorization errors for these motions.
More training data can increase variability and help the model learn finer differences. An improved sensor system that captures more accurate and consistent finger locations is the better and longer-term option. Flex sensors include bending sensitivity, poor angular resolution, and inability to directly monitor finger orientation, which limits their accuracy.
More sophisticated sensing technologies, including capacitive sensors, optical bend sensors, and multi-axis finger joint trackers, might record tiny finger motions and gesture information. This will greatly enhance PSL gesture recognition accuracy, especially for static signals distinguishable just by finger location, improving system performance and robustness.

5.3. LSTM Model Results

5.3.1. Data Preprocessing for LSTM Model

Data preparation prepares the dataset for training the LSTM model, which learns temporal relationships from sequential data. Section 5.1 describes each gesture instance in the dataset as 75 time steps with 12 attributes and a single label describing the motion.
To train the LSTM model, raw data is molded into a 75 × 12 matrix for gesture samples. Each row represents a time step, and each column represents one of twelve sensor characteristics (quaternions, accelerometer data, and flex sensor readings). This modification preserves gesture data’s temporal structure, allowing the model to capture dynamic patterns. Each matrix is coupled with its gesture label to create a dataset for supervised LSTM training.

5.3.2. LSTM Model Training

Figure 11 shows the accuracy and loss variation for the training and validation datasets during LSTM model training. For multiclass classification problems with integer labels, the model was created using the Adam optimizer, which is efficient with sparse gradients and non-stationary goals, and the sparse categorical cross-entropy loss function. Training focused on accuracy, a major performance parameter [10,11].
Training lasted 18 epochs with early pausing to prevent overfitting. If the model’s validation performance did not improve after five epochs, training would end. By keeping the algorithm from learning noise or extremely particular patterns from the training set, it generalizes effectively to unknown PSL gesture data.

5.3.3. Results

Table 4 shows the LSTM model’s accuracy and loss throughout the training, test, and validation datasets. Figure 12 shows the training and validation confusion matrices.
The LSTM model classified the validation dataset with good accuracy and balanced predictions. The model may mistake the PSL sign for “ذ“ → ”ظ” or “ز”. These signals are distinguished by subtle finger configurations, making flex sensors’ accuracy difficult.
Figure 13 shows overlapping gesture distributions and outliers, which may lead to categorization uncertainty. Adding a more advanced finger-tracking sensor system that can capture fine-grained finger positions to the hardware is the same method as for the SVM model (Section 5.3.2). This would greatly enhance the model’s capacity to distinguish signals with identical hand orientations but different finger articulations.
Despite being trained and validated on the identical PSL gesture dataset, the SVM and LSTM models misclassified data differently. The SVM uses feature-extracted summaries from time-series data, while the LSTM uses the complete sequential input, which may explain this mismatch. Thus, each model learns from separate temporal and spatial gesture inputs, resulting in complementing PSL recognition strengths and limitations.

6. Real-Time Applications

The learned machine learning model was incorporated into a real-time PSL identification system. Figure 14 shows the whole real-time implementation pipeline flow.
The algorithm loops until stopped by the user. Initial sensor data capture from the Arduino-based glove comprises flex sensor and IMU measurements. To guarantee dependability, incoming data is examined for mistakes and missing information.
After validation, the LSTM model predicts the PSL alphabet letter or word in real time using sensor inputs. These predictions are processed to produce words and sentences based on sign sequence and timing.
Next, the raw output is transferred to Gemini [13], a text-refinement module that corrects grammatical and structural errors in deaf sign language communication, including direct translation artifacts from PSL to Urdu or English syntax.
The improved text is then transferred to a text-to-speech (TTS) system [14] to vocalize the statement. This end-to-end architecture allows real-time translation from Pakistan Sign Language to spoken language, helping Pakistani deaf and hard-of-hearing people communicate.
This flow’s algorithms and processing stages are discussed in the next section.

6.1. Arduino Error Handling and Machine Learning Prediction

By collecting sensor data from the receiver Arduino module, the laptop processing unit is crucial to the PSL identification system. Flex sensor (finger positions) and IMU (hand orientation and movement) measurements from the sensory glove worn by the PSL sign performer are wirelessly communicated.
This technique checks for 12 comma-separated float values in a data packet to ensure its completion. They represent the four quaternion components (q0–q3), three accelerometer components (ax, ay, az), and five calibrated flex sensor values (s1–s5).
The system discards incomplete or faulty data packets and waits for the next valid reading. After confirming a successful reading, the program collects 75 full and valid readings, representing 1.5 s of signing activity at 50 Hz.
The data is reorganized into a 75 × 12 matrix to meet the LSTM model’s input criteria. This redesigned matrix lets the model determine PSL gesture timing patterns and predict the signed letter or word.

6.2. Constructing Sentences

The system verifies sign confidence after the LSTM model processes the input matrix and makes predictions. The prediction is reliable and utilized to create Pakistan Sign Language words and phrases if the confidence level is greater than 0.85. These validated signals are sequenced to help the system comprehend continuous signing as text.
If the confidence score drops below 0.85, the algorithm discards the prediction and starts over to collect sensor data. This method improves PSL identification accuracy and reliability, especially in real-time situations where misclassification might impair communication.

6.2.1. Constructing Words from Letters

The letter buffer stores expected gestures that are PSL letters, not control signs like ‘space’, ‘p’ for pause, or ‘n’ for noise. This buffer stores recognized letters that comprise a word.
If the expected gesture is ‘space’ and the letter buffer is not empty, the algorithm connects the letters to form a word. That word goes into the word buffer, which organizes words into sentences. The letter buffer is cleaned after storing the word to receive the next anticipated letters.

6.2.2. Constructing Sentences from Words

The word buffer stores expected gestures that are not control signs (‘ ’, ‘p’, or ‘n’) and do not represent a single letter as whole word gestures.
If the expected gesture is ‘p’ (pause) and the word buffer is not empty, the algorithm concatenates the words to produce a sentence. Gemini then polishes this statement. Clearing the word buffer prepares it for the following phrase.

6.2.3. Hand Resting

The projected gesture of ‘n’ is eliminated since it indicates a resting or neutral hand. The system does not save the forecast and returns to the Arduino input stage for new sensor data.

6.3. Sentence Correction with Gemini

Google’s Gemini LLM understands and generates human-like text from numerous inputs [13]. It provides grammatically accurate and relevant replies using powerful natural language processing. Gemini’s open API makes it appropriate for many applications, including deaf aids.
Gemini supports Urdu, which is important for this Pakistan Sign Language project. Sign language conveys meaning well, but its translation into written or spoken language typically lacks grammatical structure. PSL uses “I go market”, whereas Urdu uses “ میں بازار جا رہی ہوں”.
Gemini helps refine translated outputs into well-structured, flowing language. This eliminates communication failures and stops deaf people feeling ashamed or misunderstood. After correction, a text-to-speech generator reads the statement.
This project for Gemini uses an Urdu prompt:
آپ اپنے بہرے ساتھی کے لیے ترجمہ کرتے ہیں۔ آپ کو اُس کے ضروری الفاظ سے ایک مربوط اور بامعنی جملہ بنانا ہوگا۔ براہِ کرم نوٹ کریں کہ الفاظ میں املا کی غلطیاں یا نامناسب الفاظ ہو سکتے ہیں، لہٰذا آپ کو معنی کی بنیاد پر درست جملہ تیار کرنا ہوگا۔”.
Which in English translates as follows. The definitions of each word are provided in Appendix A (Table A2):
“You are acting as a translator for your deaf colleague. They will provide you with a set of key words. Using only these words, you must construct one coherent and meaningful sentence. Please note that some words may contain spelling mistakes or may be inappropriate, so you must infer the correct meaning and write a final sentence with corrected spelling and suitable word choices.”.

6.4. Text-to-Speech Generator

This document uses Google’s gTTS service for TTS conversion [14]. Urdu support made this service ideal for a Pakistan Sign Language (PSL)-based communication system. Free and limitless access is another benefit of gTTS for systems that need constant use.
Other TTS systems generate more lifelike and expressive voices, although most charge or have restricted usage options.
After the machine learning model identifies PSL motions and the Gemini language model corrects the phrase for syntax and clarity, gTTS outputs the sentence as spoken audio. Deaf people can clearly converse with hearing people. The system then returns to input to accept more gestures, generate new phrases, and continue the discussion in real time.

6.5. Timing Analysis

The time efficiency of each gesture recognition step may be determined using statistical data from repeated user trials of the Pakistan Sign Language (PSL) recognition system in real time.
The median Arduino data collection time (75 data points) is 1.586 s. Wireless transmission delays and packet loss cause small differences from the predicted 1.5 s.
The LSTM model processes input and predicts gestures in 0.14 s after data collection. To ensure clarity and system readiness, the following motion is captured after a 0.5 s wait to tell the user.
A typical PSL gesture recognition cycle takes 2.226 s.
Take the example of a user signing “Hello, my name is Tabassum. I am going to market” ہیلو ، میرا نام تبسم ہے۔ میں بازار جا رہی ہوں
The PSL gesture-based system requires the user to do the following sequence: “p, Hello, name, T, A, B, A, S, U, M me, market, p” where “p” is the punctuation or sentence-completion gesture.
Ten motions take 22.26 s (based on an average of 2.226 s per gesture). This estimate assumes a smooth process without Gemini-filtered low-confidence predictions or misclassifications.
The last ‘p’ gesture activates text-to-speech (TTS) translation after the gesture sequence. For a brief statement, the system requires ~3.62 s to comprehend and speak it. However, sentence length and complexity may affect its time.

7. Discussion

We outperformed previous research in model performance and evaluation. Unlike many earlier studies, our system was trained using 47 PSL gestures, including static (letter) and dynamic (word) signals. Our technique works better in real life with additional data.
Our real-time sensory glove technology transforms PSL motions into spoken Urdu, expanding prior studies. A glove-based technique avoids cameras and cumbersome hardware. Its light weight, simplicity of use, and natural hand movement let deaf individuals communicate daily.
The system uses IMU and flex sensor data and deep learning models like LSTM and SVM-FE for good recognition accuracy. Flex sensors can miss small finger motions; thus, there are still some restrictions. Misclassifications may ensue. EMG (Electromyography) sensors for muscle signals or MPU9250 sensors on each finger for orientation tracking may help.
This method does not monitor hand location relative to the body or other hand, which is essential for capturing PSL’s grammatical structure. Some PSL signals use hand location or two-hand interactions for context.
Both the test and validation accuracies were marginally higher for the LSTM model than the SVM-FE model. SVM-FE is still an excellent choice for resource-constrained applications due to its decreased computing load. Table 5 summarizes the results.
LSTM is more scalable and suitable for adding more complicated movements and terminology. However, the SVM-FE model may work for low-power devices like mobile phones and embedded systems.
Despite its high real-time performance and precise gesture-to-speech translation, the system only offers one-way communication from deaf to hearing users. Future systems should use voice recognition and animated PSL avatars or video-based interpretation for speech-to-sign translation to facilitate two-way communication.
For improved system effectiveness in Pakistan, future studies should aim to
  • Increase PSL dataset quantity and variety to reduce latency.
  • Improve recognition using Transformer-based models.
  • Enhance hardware ergonomics for daily usage.
  • Support Urdu linguistic subtleties and regional PSL variants.
This research establishes a good foundation for PSL-based communication tools but requires additional refinement to properly overcome the communication gap between deaf and hearing Pakistanis.

8. Conclusions

This study tries to solve communication hurdles for deaf people. This research describes a real-time Urdu Sign Language Recognition (SLR) system using a sensory glove and machine learning algorithms. We discuss contemporary SLR technologies, our dataset’s Urdu sign motions, and the system’s hardware architecture and model design. The dataset and models are assessed for real-time gesture-to-spoken language translation. We also address system enhancements, including hardware restrictions and model upgrades, and future development. This study lays the groundwork for practical SLR systems, but it may be expanded and refined to better serve users and enhance Sign Language Recognition technology.

Author Contributions

T.K. and S.A.; methodology, T.K. and K.S.; software, T.K. and K.S.; validation, T.K., S.A. and R.M.Y.; formal analysis, T.K. and K.S.; investigation, T.K.; resources, K.S.; data curation, R.M.Y.; writing, original draft preparation, T.K.; writing, review and editing, T.K., S.A., R.M.Y. and K.S.; visualization, R.M.Y.; supervision, S.A. and K.S.; project administration, T.K.; funding acquisition, S.A. All authors have read and agreed to the published version of the manuscript.

Funding

This research received no external funding.

Institutional Review Board Statement

Our study was reviewed and approved by the Institutional Research Ethics Committee of PMAS-Arid Agriculture University, Rawalpindi.

Informed Consent Statement

Informed consent was obtained from all subjects involved in the study.

Data Availability Statement

The dataset generated and analyzed during this study is available from the corresponding author upon reasonable request.

Conflicts of Interest

The authors declare no conflicts of interest.

Appendix A

Table A1. Glossary of Urdu alphabet symbols used in the PSL gesture set.
Table A1. Glossary of Urdu alphabet symbols used in the PSL gesture set.
Urdu LetterTransliterationApproximate English SoundDescription in This Study
اAlifa as in “arm”Urdu letter Alif gesture
بBeb as in “bat”Urdu letter Be gesture
پPep as in “pen”Urdu letter Pe gesture
تTet as in “top”Urdu letter Te gesture
ٹTtayretroflex tUrdu letter Ttay gesture
ثSes as in “sun”Urdu letter Se gesture
جJeemj as in “jam”Urdu letter Jeem gesture
چChech as in “chair”Urdu letter Che gesture
حHe (heavy)strong h soundUrdu letter He gesture
خKhekh as in “Khan”Urdu letter Khe gesture
دDaald as in “dog”Urdu letter Daal gesture
ڈDdaalretroflex dUrdu letter Ddaal gesture
ذZaalz as in “zoo”Urdu letter Zaal gesture
رRer as in “run”Urdu letter Re gesture
زZez as in “zoo”Urdu letter Ze gesture
ژZhezh as in “measure”Urdu letter Zhe gesture
سSeens as in “see”Urdu letter Seen gesture
شSheensh as in “ship”Urdu letter Sheen gesture
صSwademphatic sUrdu letter Swad gesture
ضZwademphatic zUrdu letter Zwad gesture
طToeinemphatic tUrdu letter Toein gesture
ظZoeinemphatic zUrdu letter Zoein gesture
عAinvoiced throat soundUrdu letter Ain gesture
غGhaingh as in “ghazal”Urdu letter Ghain gesture
فFef as in “fun”Urdu letter Fe gesture
قQafdeep q soundUrdu letter Qaf gesture
ك / کKaafk as in “kite”Urdu letter Kaaf gesture
گGaafg as in “go”Urdu letter Gaaf gesture
لLaaml as in “lamp”Urdu letter Laam gesture
مMeemm as in “man”Urdu letter Meem gesture
نNoonn as in “net”Urdu letter Noon gesture
وWaow as in “wow” or long oUrdu letter Wao gesture
ہHeh as in “hat”Urdu letter He gesture
یYey as in “yes”Urdu letter Ye gesture
Table A2. Word-by-word English glossary of the Urdu instruction for translating for a deaf partner.
Table A2. Word-by-word English glossary of the Urdu instruction for translating for a deaf partner.
UrduTransliterationEnglish Definition
آپaapyou, the person being addressed, polite form
اپنےapneyour, belonging to you
بہرےbehredeaf, a person who cannot hear
ساتھیsaathicolleague, companion, fellow member
کے لیےke liyefor, on behalf of
ترجمہtarjumatranslation, converting from one language to another
کرتے ہیںkarte hainyou do, you perform (present tense, polite)
آپaapyou
کوkoto you, indicates the person who must do something
اُس کےus kehis or her, belonging to that person
ضروریzaroorinecessary, important, essential
الفاظalfaazwords, vocabulary items
سےsefrom, using, by means of
ایکaikone, a single
مربوطmarbootcoherent, logically connected, well linked
اورaurand
بامعنیba maenimeaningful, having clear sense or meaning
جملہjumlasentence, a complete statement
بناناbananato make, to form, to create
ہوگاhogawill have to, must (future obligation)
براہ کرمbarah e karamplease, kindly
نوٹ کریںnote kareinplease note, kindly pay attention to this point
کہkehthat (introducing a clause)
الفاظalfaazwords
میںmeinin, inside
املاimlaspelling, the way a word is written
کی غلطیاںki ghaltiyanspelling mistakes, errors in writing
یاyaor
نامناسبnaamunasibinappropriate, not suitable, not proper
الفاظalfaazwords
ہو سکتے ہیںho sakte hainmay exist, can be, are possible
لہٰذاlehazatherefore, so, as a result
آپaapyou
کوkomust, have to (here as part of obligation construction)
معنیmaenimeaning, sense of the words
کی بنیاد پرki bunyaad paron the basis of, based on
درستdurustcorrect, accurate, proper
جملہjumlasentence
تیار کرناtayyar karnato prepare, to compose, to write out
ہوگاhogawill have to, must

References

  1. World Health Organization. Deafness and Hearing Loss. 2021. Available online: https://www.who.int/news-room/fact-sheets/detail/deafness-and-hearing-loss (accessed on 3 October 2025).
  2. Kothadiya, D.; Bhatt, C.; Sapariya, K.; Patel, K.; Gil-Gonzalez, A.B.; Corchado, J.M. Deepsign: Sign language detection and recognition using deep learning. Electronics 2022, 11, 1780. [Google Scholar] [CrossRef]
  3. Zhang, Y.; Jiang, X. Recent advances on deep learning for sign language recognition. Comput. Model. Eng. Sci. (CMES) 2024, 139, 2399–2450. [Google Scholar] [CrossRef]
  4. Saeed, Z.R.; Zainol, Z.B.; Zaidan, B.B.; Almoodi, A.H. A systematic review on systems-based sensory gloves for sign language pattern recognition: An update from 2017 to 2022. IEEE Access 2022, 10, 123358–123377. [Google Scholar] [CrossRef]
  5. Alsharif, B.; Altaher, A.S.; Altaher, A.; Liyas, M.; Alalwany, E. Deep learning technology to recognize american sign language alphabet. Sensors 2023, 23, 7970. [Google Scholar] [CrossRef] [PubMed]
  6. Abdullahi, S.B.; Chamnongthai, K. American sign language words recognition of skeletal videos using processed video driven multi-stacked deep LSTM. Sensors 2022, 22, 1406. [Google Scholar] [CrossRef] [PubMed]
  7. Chai, J.; Zeng, H.; Li, A.; Ngai, E.W.T. Deep learning in computer vision: A critical review of emerging techniques and application scenarios. Mach. Learn. Appl. 2021, 6, 100134. [Google Scholar] [CrossRef]
  8. Bengio, Y.; LeCun, Y.; Hinton, G. Deep learning for AI. Commun. ACM (CACM) 2021, 64, 58–65. [Google Scholar] [CrossRef]
  9. Monk, S. Programming Arduino: Getting Started with Sketches, 3rd ed.; McGraw Hill TAB: Columbus, OH, USA, 2022. [Google Scholar]
  10. Christianini, N.; Shawe-Taylor, J. An Introduction to Support Vector Machines and Other Kernel-Based Learning Methods, 1st ed.; Cambridge University Press: Cambridge, UK, 2020. [Google Scholar]
  11. Kelleher, J.D.; Namee, B.M.; D’Arcy, A. Fundamentals of Machine Learning for Predictive Data Analytics: Algorithms, Worked Examples, and Case Studies, 2nd ed.; The MIT Press: Cambridge, UK, 2020. [Google Scholar]
  12. Geron, A. Hands-On Machine Learning with Scikit-Learn, Keras, and Tensorflow, 3rd ed.; O’Reilly Media Inc.: Sebastopol, CA, USA, 2022. [Google Scholar]
  13. Google Gemini API Documentation. 2024. Available online: https://ai.google.dev/api?lang=python (accessed on 6 September 2025).
  14. Google Text-to-Speech Documentation. 2024. Available online: https://gtts.readthedocs.io/en/latest/ (accessed on 6 September 2025).
Figure 1. Main approaches for SLR system.
Figure 1. Main approaches for SLR system.
Engproc 118 00045 g001
Figure 2. Sample Urdu signs used in the dynamic dataset.
Figure 2. Sample Urdu signs used in the dynamic dataset.
Engproc 118 00045 g002
Figure 3. Transmitter–receiver block diagram.
Figure 3. Transmitter–receiver block diagram.
Engproc 118 00045 g003
Figure 4. Picture of the actual sensory glove.
Figure 4. Picture of the actual sensory glove.
Engproc 118 00045 g004
Figure 5. NRF24L01 transceiver.
Figure 5. NRF24L01 transceiver.
Engproc 118 00045 g005
Figure 6. LSTM model architecture.
Figure 6. LSTM model architecture.
Engproc 118 00045 g006
Figure 7. Box plot of multiple sensor values across different gestures.
Figure 7. Box plot of multiple sensor values across different gestures.
Engproc 118 00045 g007
Figure 8. Confusion matrices of the SVM-FE model.
Figure 8. Confusion matrices of the SVM-FE model.
Engproc 118 00045 g008
Figure 9. Histogram of feature-extracted data from flex sensors 2 and 3 for gestures.
Figure 9. Histogram of feature-extracted data from flex sensors 2 and 3 for gestures.
Engproc 118 00045 g009
Figure 10. Histogram of feature-extracted data from flex sensor 1 for gestures.
Figure 10. Histogram of feature-extracted data from flex sensor 1 for gestures.
Engproc 118 00045 g010
Figure 11. LSTM model accuracy (left) and loss variation (right) during the training process.
Figure 11. LSTM model accuracy (left) and loss variation (right) during the training process.
Engproc 118 00045 g011
Figure 12. Confusion matrices for LSTM model.
Figure 12. Confusion matrices for LSTM model.
Engproc 118 00045 g012
Figure 13. Overlapping of flex sensor data for gestures.
Figure 13. Overlapping of flex sensor data for gestures.
Engproc 118 00045 g013
Figure 14. Flowchart of the real-time prediction application.
Figure 14. Flowchart of the real-time prediction application.
Engproc 118 00045 g014
Table 1. Presents the architecture of the SVM-FE model.
Table 1. Presents the architecture of the SVM-FE model.
ComponentDescription
Input FeaturesRaw sensor data from 12 channels: q0–q3, ax–az, s1–s5
Feature ExtractionFor each channel: mean, Std, Min, Max, FFT magnitude, FFT Std → 72 features total
NormalizationStandardScaler applied to all features (zero mean, unit variance)
ClassifierSupport Vector Machine (SVM) with linear kernel
OutputGesture class probabilities (47 PSL classes)
Table 2. Sample of the dynamic dataset.
Table 2. Sample of the dynamic dataset.
q0q1q2q3axayazs1s2s3s4s5
0.980.050.020.180.10−0.020.98−0.4−0.20.10.30.0
0.970.060.010.200.12−0.010.95−0.4−0.20.10.30.0
0.980.040.010.190.11−0.030.97−0.4−0.20.10.30.0
0.970.050.020.210.13−0.020.96−0.4−0.20.10.30.0
0.980.060.010.180.10−0.020.99−0.4−0.20.10.30.0
Table 3. SVM-FE model performance.
Table 3. SVM-FE model performance.
Metric/ObservationResult/Description
Training Accuracy97.8%
Validation Accuracy94.2%
Test Accuracy93.6%
Misclassified Static Gesturesر“ → ”؂“ ,”ح“ → ”ج
Cause of ConfusionSimilar hand angles, overlapping quaternion and accelerometer values
Sensor Overlap ExampleFlexes 2–3 overlap for “ر“/”؂”; Flex 1 overlap for “ح“/”ج
Table 4. LSTM model performance.
Table 4. LSTM model performance.
Metric/ObservationResult/Description
Training Accuracy98.4%
Validation Accuracy95.6%
Test Accuracy94.9%
Training Loss0.08
Validation Loss0.12
Misclassified Gesturesذ“ → ”ظ” or “ز” (due to similar finger shapes)
Cause of ConfusionLow resolution of flex sensors for subtle finger configurations
Sensor Overlap Observeds1/s2 values overlapping; some sensor outliers
Table 5. Summary of results.
Table 5. Summary of results.
CriteriaSVM-FE ModelLSTM Model
Model TypeSupport Vector MachineRecurrent Neural Network (LSTM)
Input Format72-dimensional feature vector75 × 12 time-series matrix
Training Accuracy97.8%98.4%
Validation Accuracy94.2%95.6%
Test Accuracy93.6%94.9%
Prediction SpeedFastModerate
Computational LoadLowMedium to High
Temporal Context HandlingNoYes
Best Use CaseMobile, low-power devicesReal-time, dynamic gesture understanding
Sensitivity to NoiseHigher (smooth features)Moderate (benefits from temporal smoothing)
ScalabilityLimitedHigh
Disclaimer/Publisher’s Note: The statements, opinions and data contained in all publications are solely those of the individual author(s) and contributor(s) and not of MDPI and/or the editor(s). MDPI and/or the editor(s) disclaim responsibility for any injury to people or property resulting from any ideas, methods, instructions or products referred to in the content.

Share and Cite

MDPI and ACS Style

Kanwal, T.; Altaf, S.; Yousaf, R.M.; Sattar, K. A Smart Glove-Based System for Dynamic Sign Language Translation Using LSTM Networks. Eng. Proc. 2025, 118, 45. https://doi.org/10.3390/ECSA-12-26530

AMA Style

Kanwal T, Altaf S, Yousaf RM, Sattar K. A Smart Glove-Based System for Dynamic Sign Language Translation Using LSTM Networks. Engineering Proceedings. 2025; 118(1):45. https://doi.org/10.3390/ECSA-12-26530

Chicago/Turabian Style

Kanwal, Tabassum, Saud Altaf, Rehan Mehmood Yousaf, and Kashif Sattar. 2025. "A Smart Glove-Based System for Dynamic Sign Language Translation Using LSTM Networks" Engineering Proceedings 118, no. 1: 45. https://doi.org/10.3390/ECSA-12-26530

APA Style

Kanwal, T., Altaf, S., Yousaf, R. M., & Sattar, K. (2025). A Smart Glove-Based System for Dynamic Sign Language Translation Using LSTM Networks. Engineering Proceedings, 118(1), 45. https://doi.org/10.3390/ECSA-12-26530

Article Metrics

Back to TopTop