Sign in to use this feature.

Years

Between: -

Subjects

remove_circle_outline
remove_circle_outline
remove_circle_outline
remove_circle_outline
remove_circle_outline
remove_circle_outline
remove_circle_outline
remove_circle_outline
remove_circle_outline

Journals

remove_circle_outline
remove_circle_outline
remove_circle_outline
remove_circle_outline
remove_circle_outline
remove_circle_outline
remove_circle_outline
remove_circle_outline
remove_circle_outline
remove_circle_outline
remove_circle_outline

Article Types

Countries / Regions

remove_circle_outline
remove_circle_outline
remove_circle_outline
remove_circle_outline

Search Results (1,125)

Search Parameters:
Keywords = low energy electron diffraction

Order results
Result details
Results per page
Select all
Export citation of selected articles as:
10 pages, 5251 KB  
Article
Temperature-Dependent Sn Incorporation and Defect Formation in Pseudomorphic SiSn Layers on Si (001) via Molecular Beam Epitaxy
by Diandian Zhang, Nirosh M. Eldose, Dinesh Baral, Hryhorii Stanchu, Mourad Benamara, Wei Du, Gregory J. Salamo and Shui-Qing Yu
Crystals 2026, 16(4), 262; https://doi.org/10.3390/cryst16040262 - 13 Apr 2026
Abstract
SiSn alloys have attracted growing interest for group-IV bandgap engineering, although their epitaxial growth remains challenging due to the extremely low equilibrium solubility of Sn in Si. In this work, fully strained (pseudomorphic) SiSn epitaxial layers were grown on Si (001) substrates by [...] Read more.
SiSn alloys have attracted growing interest for group-IV bandgap engineering, although their epitaxial growth remains challenging due to the extremely low equilibrium solubility of Sn in Si. In this work, fully strained (pseudomorphic) SiSn epitaxial layers were grown on Si (001) substrates by means of molecular beam epitaxy. A systematic investigation reveals a strong inverse correlation between growth temperature and Sn incorporation efficiency. Despite a constant Sn flux, the incorporated Sn composition decreases from 5.5% to 3.2% as the growth temperature increases, indicating a pronounced temperature dependence of Sn incorporation. Reflection high-energy electron diffraction indicates a gradual transition of the growth from two-dimensional to three-dimensional with increasing film thickness. Structural characterization by means of X-ray diffraction, atomic force microscopy, and transmission electron microscopy confirms the pseudomorphic growth and smooth surface morphology and reveals twins and stacking faults near the surface region. These results establish a quantitative reference for SiSn growth kinetics and provide guidance for future studies of SiSn and SiGeSn alloys in silicon-compatible electronic and optoelectronic applications. Full article
(This article belongs to the Section Inorganic Crystalline Materials)
Show Figures

Figure 1

22 pages, 7592 KB  
Article
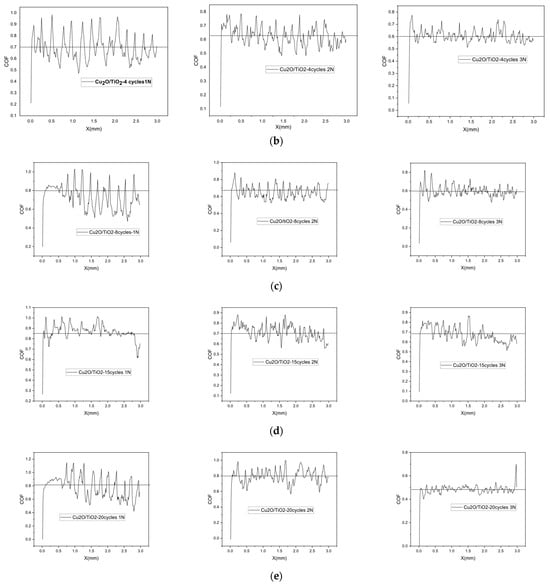
Mechanical Properties and Tribological Behavior of Cu2O Nanosheets Deposited on TiO2 Nanotubes for Anti-Corrosion and Anti-Wear Implant Applications
by Syrine Sassi, Karim Choubani, Hafedh Dhiflaoui, Wissem Zayani, Amir Ben Rhouma, Mohammed A. Almeshaal, Mohamed Ben Rabha, Lotfi Khezami, Ahmed Ben Cheikh Larbi, Bernabé Mari Soucase and Anouar Hajjaji
Crystals 2026, 16(4), 260; https://doi.org/10.3390/cryst16040260 - 13 Apr 2026
Abstract
Successive ionic layer adsorption reaction (SILAR) was used to deposit Cu2O nanosheets on anodized TiO2 nanotubes at different deposition cycles (4, 8, 15, and 20). Compared to the bare TiO2 nanotubes, these coatings were investigated for their tribological behavior [...] Read more.
Successive ionic layer adsorption reaction (SILAR) was used to deposit Cu2O nanosheets on anodized TiO2 nanotubes at different deposition cycles (4, 8, 15, and 20). Compared to the bare TiO2 nanotubes, these coatings were investigated for their tribological behavior (friction, wear and energy loss), scanning and transmission electron microscopy (SEM, TEM), X-ray Diffraction (XRD) was used to characterize Cu2O/TiO2 coatings to study the effect of number of cycles on the morphological and structural properties of the samples; these characteristics engage in determining the wear mechanisms. The assessment of the coating’s adhesion was determined by the obtained critical loads from the scratch test; the 15 cycles Cu2O/TiO2 exhibited higher critical loads, which corresponds to improved adhesion. This sample also showed a low wear volume of 7.5 × 106 µm3 compared to other samples but higher energy loss due to the low shear strength of copper oxide. The friction coefficient, however, decreased from 0.7 for bare TiO2 nanotubes to 0.48 for 20 cycles Cu2O/TiO2 coatings at higher loads, which proves the wear resistance enhancement. Since these coatings will be manufactured for orthopedic and dental implant applications, the corrosion resistance was tested, and the 15 cycles Cu2O-NPs/TiO2-NTs where these coatings exhibited the most favorable combination of a low corrosion current density (1.9 × 10−4 A/cm2) and a noble corrosion potential (−0.3 V/SCE); furthermore, there was a polarization resistance of 2.4 × 104 Ω·cm2 and a protection efficiency of 96.7%, indicating significantly enhanced corrosion resistance as opposed to the other samples. Full article
Show Figures

Figure 1

23 pages, 4289 KB  
Article
Rare-Earth-Induced Structural Modulation of NiFe2O4 for High-Energy Asymmetric Supercapacitor Devices
by Rutuja U. Amate, Pritam J. Morankar, Aviraj M. Teli, Sonali A. Beknalkar and Chan-Wook Jeon
Crystals 2026, 16(4), 250; https://doi.org/10.3390/cryst16040250 - 9 Apr 2026
Viewed by 189
Abstract
The rational design of electrode materials with tailored composition and architecture is crucial for advancing high-capability electrochemical energy storage systems. This study reports that gadolinium-modified NiFe2O4 nanosheet electrodes were effectively synthesized on nickel foam via a hydrothermal approach followed by [...] Read more.
The rational design of electrode materials with tailored composition and architecture is crucial for advancing high-capability electrochemical energy storage systems. This study reports that gadolinium-modified NiFe2O4 nanosheet electrodes were effectively synthesized on nickel foam via a hydrothermal approach followed by thermal treatment. A series of compositions (NiFe, NiFe–Gd1, NiFe–Gd2, and NiFe–Gd3) were prepared to systematically examine the effect of Gd incorporation on structural features and electrochemical properties. X-ray diffraction (XRD) analysis confirmed the formation of the cubic spinel NiFe2O4 phase without detectable secondary phases, indicating that the crystal structure remains intact after Gd introduction. X-ray photoelectron spectroscopy (XPS) further verified the presence of Ni2+, Fe3+, and Gd3+ species within the lattice environment. Morphological analysis using field-emission scanning electron microscopy (FESEM) revealed a nanosheet-based architecture, where the optimized NiFe–Gd2 electrode exhibited a porous and interconnected nanosheet framework with abundant exposed edges. This structural configuration improves electrolyte penetration and facilitates efficient ion transport during charge storage processes. Electrochemical measurements demonstrated that the NiFe–Gd2 electrode delivers an areal capacitance of 5235 mF cm−2 at 10 mA cm−2, along with improved reaction kinetics and low internal resistance. An asymmetric supercapacitor assembled using NiFe–Gd2 as the positive electrode and activated carbon as the negative electrode operated stably within a 0–1.5 V potential window, achieving an energy density of 0.136 mWh cm−2 and a power density of 3.14 mW cm−2, while retaining 86.55% of its initial capacitance after 7000 cycles. These results highlight the potential of rare-earth engineering as a viable strategy for designing advanced spinel ferrite electrodes and pave the way for the development of high-performance, durable, and scalable supercapacitor systems for practical energy storage applications. Full article
Show Figures

Figure 1

18 pages, 16595 KB  
Article
pH- and Temperature-Dependent Dissolution Kinetics of Commercial Lightly Burned Magnesia: Bridging Methodological Gaps for Cement Applications
by Xiaowen Zhang and Juan Pablo Gevaudan
Sustainability 2026, 18(7), 3600; https://doi.org/10.3390/su18073600 - 7 Apr 2026
Viewed by 182
Abstract
Performance variability in MgO-based cements stems partly from poorly characterized dissolution kinetics of commercial lightly burned magnesia (LBM). Existing studies focus on high-purity materials under acidic conditions, but LBM also dissolves in alkaline conditions, where Mg(OH)2 precipitation prevents reliable sampling at high [...] Read more.
Performance variability in MgO-based cements stems partly from poorly characterized dissolution kinetics of commercial lightly burned magnesia (LBM). Existing studies focus on high-purity materials under acidic conditions, but LBM also dissolves in alkaline conditions, where Mg(OH)2 precipitation prevents reliable sampling at high pH. We validated pH monitoring against ICP-AES for tracking initial LBM dissolution kinetics across pH 2.0–11.0 and temperatures 25–85 °C. Commercial LBM (32 m2/g, 7.5 wt% CaO) exhibited rates one to two orders of magnitude higher than synthetic magnesia (10−8 to 10−12 mol/cm2·s). X-ray diffraction, electron microscopy with energy-dispersive spectroscopy, and BET analysis revealed enhanced reactivity from poor crystallinity, multiphase composition, and high surface area with textural porosity. Temperature effects peaked at 75 °C before declining due to Mg(OH)2 passivation. The validated method provides practical guidance for MBC quality control and performance optimization. By providing a rapid, instrument-simple alternative to ICP-AES for reactivity assessment, it lowers the analytical barrier to systematic LBM quality control, supporting the transition of magnesia-based cements from laboratory materials to scalable low-carbon alternatives to Portland cement. Full article
(This article belongs to the Special Issue Advanced Concrete- and Cement-Based Composite Materials)
Show Figures

Figure 1

23 pages, 51149 KB  
Article
Age-Dependent Effects of Graphene Oxide on Hydration-Gel Evolution and Strength Development of Fly Ash-Blended Cementitious Materials
by Hai-Sheng Huang, Ying Peng, Xiu-Cheng Zhang and Xue-Fei Chen
Gels 2026, 12(4), 312; https://doi.org/10.3390/gels12040312 - 6 Apr 2026
Viewed by 227
Abstract
Fly ash is an effective supplementary cementitious material for reducing clinker consumption and carbon emissions, but its low early reactivity often results in delayed hydration and insufficient early-age strength. This study investigated the age-dependent role of graphene oxide (GO) in fly ash-blended cementitious [...] Read more.
Fly ash is an effective supplementary cementitious material for reducing clinker consumption and carbon emissions, but its low early reactivity often results in delayed hydration and insufficient early-age strength. This study investigated the age-dependent role of graphene oxide (GO) in fly ash-blended cementitious materials by combining compressive strength testing with X-ray diffraction (XRD), thermogravimetric analysis (TG-DTG), 29Si magic-angle spinning nuclear magnetic resonance (29Si MAS NMR), and scanning electron microscopy coupled with energy-dispersive spectroscopy (SEM-EDS). Fly ash replacement levels of 10%, 20%, and 30% were considered, and 0.07% GO was introduced to evaluate its effect at 3, 7, and 28 days. The results showed that fly ash reduced the 3-day compressive strength, whereas the strength differences became much smaller at 28 days. GO enhanced the compressive strength of all fly ash-blended mixtures. XRD and TG-DTG results showed that GO refined Ca(OH)2 crystallization and reduced the retained CH content, indicating more effective CH utilization during hydration and pozzolanic reaction. At 28 days, the incorporation of 0.07% GO increased the compressive strength of the 30% fly ash mixture from 47.38 MPa to 56.58 MPa, while reducing the total CH content from 14.20% to 12.89%, indicating enhanced CH utilization and gel development. 29Si MAS NMR further demonstrated that GO promoted a more mature and polymerized silicate gel structure, as evidenced by lower Q0 fractions, higher mean chain length, and higher proportions of more polymerized silicate species. SEM-EDS observations confirmed that GO led to a denser matrix, less dominant coarse CH, and lower Ca/Si and Ca/(Si + Al) ratios. Overall, GO improved the mechanical performance of fly ash-blended cementitious materials through coupled regulation of hydration products, silicate gel polymerization, and matrix densification. Full article
(This article belongs to the Section Gel Chemistry and Physics)
Show Figures

Figure 1

24 pages, 3700 KB  
Article
Catalytic Synergy: Mesoporous Silica and Ruthenium—Structure–Activity Relationships in CO2 Methanation and Toluene Hydrogenation
by Ewa Janiszewska, Mariusz Pietrowski and Michał Zieliński
Molecules 2026, 31(7), 1130; https://doi.org/10.3390/molecules31071130 - 29 Mar 2026
Viewed by 317
Abstract
The rational design of supported ruthenium catalysts for sustainable energy applications requires precise control over metal nanoparticle size, dispersion, and metal–support interactions. This study investigates the influence of mesoporous silica support topology—SBA-15 (2D hexagonal, cylindrical pores), SBA-12 (3D hexagonal structure), and SBA-3 (2D [...] Read more.
The rational design of supported ruthenium catalysts for sustainable energy applications requires precise control over metal nanoparticle size, dispersion, and metal–support interactions. This study investigates the influence of mesoporous silica support topology—SBA-15 (2D hexagonal, cylindrical pores), SBA-12 (3D hexagonal structure), and SBA-3 (2D hexagonal)—on the structure and catalytic performance of 1 wt% ruthenium catalysts in CO2 methanation and gas-phase toluene hydrogenation. Comprehensive characterization by nitrogen physisorption, low- and high-angle X-ray diffraction (XRD), H2 temperature-programmed reduction (H2-TPR), CO chemisorption, and transmission electron microscopy (TEM) revealed that support pore architecture dictates ruthenium particle size (1.2 nm for Ru/SBA-15, 2.8 nm for Ru/SBA-3, 4.3 nm for Ru/SBA-12) and dispersion (80%, 35%, 23%, respectively) through geometric confinement effects. Catalytic testing demonstrated contrasting structure–activity relationships: CO2 methanation exhibited strong structure sensitivity with turnover frequency (TOF) increasing with particle size (Pearson’s r = 0.96), favoring Ru/SBA-3 and Ru/SBA-12 with near-optimal 3–4 nm particles, while toluene hydrogenation showed weaker structure sensitivity, with Ru/SBA-12 achieving the highest TOF owing to its larger particle size and higher crystallinity. These findings underscore the critical importance of tailoring mesoporous support topology to match reaction-specific structure sensitivity, providing fundamental insights for the design of bifunctional catalysts for hydrogenation reactions. Full article
Show Figures

Graphical abstract

23 pages, 11197 KB  
Article
Determination of Particle Size of Active Pharmaceutical Ingredients in Dry Powder Inhaler Formulations
by Stefani Fertaki, Malvina Orkoula and Christos Kontoyannis
Pharmaceuticals 2026, 19(4), 543; https://doi.org/10.3390/ph19040543 - 28 Mar 2026
Viewed by 297
Abstract
Background/Objectives: Accurate determination of active pharmaceutical ingredient (API) particle size within dry powder inhaler (DPI) formulations is essential for ensuring effective pulmonary delivery but remains analytically challenging due to low API content and micronized particle size. Methods: In this study, scanning electron microscopy [...] Read more.
Background/Objectives: Accurate determination of active pharmaceutical ingredient (API) particle size within dry powder inhaler (DPI) formulations is essential for ensuring effective pulmonary delivery but remains analytically challenging due to low API content and micronized particle size. Methods: In this study, scanning electron microscopy (SEM) coupled with energy-dispersive X-ray microanalysis (EDX) was used to directly identify and calculate the API particle size within several different commercial DPI products fit for purpose under regulatory constraints. The method exploits unique elemental markers inherent to each API, enabling reliable discrimination from excipients without prior sample modification or API extraction. Results: Large-area SEM–EDX mapping was used to localize API particles, followed by high-magnification imaging and confirmatory spot microanalysis. Particle sizes were manually measured for at least 50 API particles per formulation using image analysis software, and particle size distribution parameters were calculated from equivalent spherical diameters. Conclusions: The methodology was successfully applied to Spiriva®, Anoro® Ellipta, and Relvar® Ellipta inhalation powders, revealing micronized APIs with distinct morphological features and verifying systematic application across products. Cross-validation against laser diffraction measurements of pure APIs demonstrated statistical equivalence, confirming the robustness and analytical utility of the proposed method for particle size assessment in DPI formulations. Full article
Show Figures

Graphical abstract

16 pages, 4826 KB  
Article
Tuning the Performance of Ge-Doped CZTSSe Solar Cells via Selenization
by Xiaogong Lv, Shumin Zhang, Yanchun Yang, Guonan Cui, Wenliang Fan and Xing Yue
Materials 2026, 19(7), 1337; https://doi.org/10.3390/ma19071337 - 27 Mar 2026
Viewed by 320
Abstract
Cu2ZnSn(S,Se)4 (CZTSSe) is a candidate thin-film photovoltaic material; however, its performance is restricted by innate defect-induced nonradiative recombination. Low-concentration Ge doping has been identified as an efficient way to mitigate these defects, but the selenization temperature remains an important process [...] Read more.
Cu2ZnSn(S,Se)4 (CZTSSe) is a candidate thin-film photovoltaic material; however, its performance is restricted by innate defect-induced nonradiative recombination. Low-concentration Ge doping has been identified as an efficient way to mitigate these defects, but the selenization temperature remains an important process parameter that governs the structure and optoelectronic characteristics of CZTSSe absorbers. In the present work, low-concentration Ge-doped Cu2ZnSn0.95Ge0.05S4 (CZTGS) precursor films were synthesized through a green, n-butylammonium butyrate-based solution approach. The effects of the selenization temperature (530–570 °C) on the microstructure, composition, and photovoltaic performance of Cu2ZnSn0.95Ge0.05(S,Se)4 (CZTGSSe) films and devices were comprehensively investigated. X-ray diffraction (XRD), scanning electron microscopy (SEM), X-ray photoelectron spectroscopy (XPS), energy-dispersive X-ray spectrometer (EDS), atomic force microscopy (AFM) were performed to comprehensively characterize the synthesized samples, and the results suggested that the selenization temperature dramatically altered the film grain growth, crystallinity, elemental retention and surface roughness. Specifically, the film that underwent selenization at 550 °C presented the best crystallinity, which was accompanied by large-scale even grains, efficient Ge4+ addition to the kesterite lattice and the lowest surface roughness. These better properties in terms of structure and composition resulted in the lowest carrier transport resistance (Rs = 8.6 Ω∙cm2), improved recombination resistance (Rj = 5.9 kΩ∙cm2), inhibited nonradiative recombination, and prolonged carrier lifetime (τEIS = 35.8 μs). Therefore, the resulting CZTGSSe thin-film solar cell had an 8.69% better power conversion efficiency (PCE), while its open-circuit voltage (VOC) was 0.42 V, the fill factor (FF) was 55.51%, and the short-circuit current density (JSC) was 37.71 mA·cm−2. Our results elucidate the mechanism by which the selenization temperature regulates low-concentration Ge-doped kesterite devices and provide more insights into the optimization of processes for cost-effective, high-performance, and green thin-film solar cells. Full article
(This article belongs to the Section Energy Materials)
Show Figures

Figure 1

12 pages, 3534 KB  
Article
Effect of Voltage on the Structure and Biological Activity of Micro-Arc Oxidation Ti-13Nb-13Zr Alloy Coatings
by Dongbing Liu and Xingping Fan
Coatings 2026, 16(4), 402; https://doi.org/10.3390/coatings16040402 - 26 Mar 2026
Viewed by 347
Abstract
Titanium alloys, particularly β-type Ti-13Nb-13Zr, are promising biomedical materials due to their low elastic modulus and excellent biocompatibility. However, their bioactivity needs improvement for better bone integration. In this study, a calcium-phosphate (Ca/P) coating was prepared on a Ti-13Nb-13Zr alloy via micro-arc oxidation [...] Read more.
Titanium alloys, particularly β-type Ti-13Nb-13Zr, are promising biomedical materials due to their low elastic modulus and excellent biocompatibility. However, their bioactivity needs improvement for better bone integration. In this study, a calcium-phosphate (Ca/P) coating was prepared on a Ti-13Nb-13Zr alloy via micro-arc oxidation (MAO) in an electrolyte containing calcium acetate and dipotassium hydrogen phosphate. The effect of applied voltage (300 V, 400 V, and 500 V) on the phase composition, surface morphology, and in vitro bioactivity of the coatings was investigated. Surface characterization was performed using scanning electron microscopy (SEM), X-ray diffraction (XRD), and energy-dispersive spectroscopy (EDS). The results show that increasing the voltage increased the surface roughness, average pore size, and rutile TiO2 content in the coating. The Ca/P ratio in the coating approached 1.67 at 500 V, similar to that of natural bone. After immersion in simulated body fluid (SBF) for 20 days, the coating formed at 500 V induced the highest deposition of hydroxyapatite (HA), completely covering the microporous surface. These findings indicate that MAO treatment at 500 V significantly enhances the bioactivity of the Ti-13Nb-13Zr alloy, making it a promising candidate for orthopedic implants. Full article
(This article belongs to the Section Bioactive Coatings and Biointerfaces)
Show Figures

Figure 1

16 pages, 6641 KB  
Article
Zn- and Cu-Doped MnFe2O4 Nanofertilizer: Synthesis, Characterization, and Their Role in Enhancing Fenugreek (Trigonella foenum-graecum) Growth
by Dipali R. Ingavale, Vithoba L. Patil, Chaitany Jayprakash Raorane, Sagar M. Mane and Panditrao D. Shiragave
Nanomaterials 2026, 16(7), 392; https://doi.org/10.3390/nano16070392 - 24 Mar 2026
Viewed by 215
Abstract
Micronutrient deficiencies and low nutrient-use efficiency remain critical constraints to sustainable crop production. This study tested the hypothesis that Zn- and Cu-doped MnFe2O4 spinel ferrite nanoparticles can function as an efficient multinutrient nanofertilizer to enhance fenugreek (Trigonella foenum-graecum L.) [...] Read more.
Micronutrient deficiencies and low nutrient-use efficiency remain critical constraints to sustainable crop production. This study tested the hypothesis that Zn- and Cu-doped MnFe2O4 spinel ferrite nanoparticles can function as an efficient multinutrient nanofertilizer to enhance fenugreek (Trigonella foenum-graecum L.) growth and physiological performance. Zn- and Cu-doped MnFe2O4 nanoparticles were synthesized via a sol–gel method and characterized using X-ray diffraction (XRD), scanning electron microscopy (SEM), and energy-dispersive X-ray spectroscopy (EDS). The nanoparticles exhibited a cubic spinel structure with an average crystallite size of 27 nm and uniform incorporation of Zn and Cu within the MnFe2O4 lattice. Foliar application at different concentrations (100–500 mg/L) significantly improved seed germination, seed vigor, plant height, leaf number, stem thickness, biomass accumulation, and chlorophyll content compared with the untreated control. The 300 mg/L treatment consistently produced the greatest improvements, increasing plant height, biomass, and total chlorophyll content by more than 25–40% relative to control plants. Higher concentrations of T5 resulted in diminished benefits, indicating a concentration-dependent response. These findings demonstrate that Zn- and Cu-doped MnFe2O4 nanofertilizer provides a balanced and bioavailable source of essential micronutrients, offering a promising nano-enabled strategy for improving nutrient use efficiency and sustainable fenugreek production. Full article
(This article belongs to the Special Issue The Role of Nanomaterials in Soils and Plants)
Show Figures

Figure 1

28 pages, 34091 KB  
Article
Effects of Titanium Gypsum and Flue Gas Desulfurization Gypsum on the Hydration and Mechanical Properties of Anhydrite–Phosphogypsum-Based Supersulfated Cement
by Youquan Xie, Li Yang, Xiaodong Li, Jiaqing Wang, Yanbo Li, Hao Zhou and Yueyang Hu
Materials 2026, 19(6), 1273; https://doi.org/10.3390/ma19061273 - 23 Mar 2026
Viewed by 376
Abstract
Supersulfated cement (SSC) is an environmentally friendly cementitious material with a low clinker content, in which industrial byproduct gypsum serves as the sulfate source, thereby enabling the valorization of solid waste. The hydration process, pore structure, microstructure, and hydration products were investigated using [...] Read more.
Supersulfated cement (SSC) is an environmentally friendly cementitious material with a low clinker content, in which industrial byproduct gypsum serves as the sulfate source, thereby enabling the valorization of solid waste. The hydration process, pore structure, microstructure, and hydration products were investigated using paste samples by means of isothermal calorimetry, X-ray diffraction (XRD), thermogravimetric analysis (TG–DTG), Fourier transform–infrared spectroscopy (FT-IR), mercury intrusion porosimetry (MIP), and scanning electron microscopy (SEM), while compressive strength was evaluated using mortar specimens. Compared with ordinary Portland cement (OPC), SSC offers clear advantages in reducing energy consumption and greenhouse gas emissions. In this study, the effects of titanium gypsum (TG) and flue gas desulfurization gypsum (FGD) on the hydration behavior, fluidity, mechanical properties, and microstructural evolution of an anhydrite (AH)–phosphogypsum (PG)-based SSC were systematically investigated. The results indicate that the incorporation of 11% TG and FGD mitigates the strong sulfate environment caused by the rapid dissolution of soluble AH, thereby regulating the hydration process. As the proportion of TG and FGD increased, the cumulative heat release within 72 h gradually decreased. When AH was completely replaced, the cumulative heat release of TG4 and FG4 decreased by approximately 19.7% and 28.6%, respectively. TG and FGD exhibited opposite effects on the fluidity of SSC while both promoting strength development. Among all mixtures, TG2 and FG2 showed the best performance, with the highest 28-day compressive strengths of 50.15 MPa and 51.95 MPa, respectively. Microstructural analysis reveals that differences in particle size distribution and dissolution kinetics among gypsums governed the sulfate release characteristics and slag activation mechanisms, thus leading to distinct hydration pathways, pore structure evolution, and microstructural densification. This study provides a theoretical basis for the efficient utilization of various industrial byproduct gypsums and offers important guidance for the controllable design of SSC performance. Full article
(This article belongs to the Special Issue Advances in Hydration Chemistry for Low-Carbon Cementitious Materials)
Show Figures

Graphical abstract

25 pages, 4143 KB  
Article
Ferrochrome Smelting Using Chrome Raw Materials Pre-Reduced with Various Reducing Agents
by Isagulov Aristotel, Saulebek Zhalgas, Sagintayeva Saule and Makhambetov Yerbolat
Metals 2026, 16(3), 357; https://doi.org/10.3390/met16030357 - 23 Mar 2026
Viewed by 316
Abstract
This study quantitatively evaluates the effect of solid-phase pre-reduction of chromite concentrate on the energy efficiency and techno-economic performance of high-carbon ferrochrome (HC FeCr) smelting. Laboratory pre-reduction experiments were conducted at 1200–1400 °C using Shubarkol coal, metallurgical coke, and special coke as carbonaceous [...] Read more.
This study quantitatively evaluates the effect of solid-phase pre-reduction of chromite concentrate on the energy efficiency and techno-economic performance of high-carbon ferrochrome (HC FeCr) smelting. Laboratory pre-reduction experiments were conducted at 1200–1400 °C using Shubarkol coal, metallurgical coke, and special coke as carbonaceous reducing agents. Structural and phase transformations were characterized by X-ray diffraction (XRD) and scanning electron microscopy with energy-dispersive spectroscopy (SEM-EDS). At 1200 °C, the degree of metallization remained low (<5%), whereas at 1400 °C it increased to 41.3% under laboratory conditions and up to 65% in pilot-scale tests due to the decomposition of the spinel matrix and the formation of metallic and carbide phases. The application of pre-reduced feedstock in a submerged arc furnace reduced specific electricity consumption by up to 33.5% compared with conventional smelting and increased chromium recovery to 89.71%. Industrial-scale extrapolation indicates the potential to decrease power consumption to approximately 3190 kWh/t of alloy. Techno-economic analysis demonstrates that the use of pre-reduced feedstock reduces the production cost by approximately 10–23%, depending on the type of carbonaceous reducing agent (Shubarkol coal, metallurgical coke, or special coke). Special coke provided the highest energy efficiency, whereas Shubarkol coal ensured the greatest direct economic benefit. The integrated microstructural, energetic, and economic assessment confirms the industrial applicability of the proposed pre-reduction approach. Full article
Show Figures

Figure 1

16 pages, 3921 KB  
Article
A Modified Approach for the Synthesis of Magnesium- and Zinc-Based Metal–Organic Frameworks for Carbon Capture: Probing the Physicochemical Properties
by Glory Ngwanamagokong Makuwa and Major Melusi Mabuza
Processes 2026, 14(6), 967; https://doi.org/10.3390/pr14060967 - 18 Mar 2026
Viewed by 315
Abstract
The urgent need to mitigate carbon dioxide (CO2) emissions from fossil-fuel-based electricity generation has driven research into advanced materials for post-combustion carbon capture. This paper presents a modified solvothermal technique to synthesize zinc (Zn) and magnesium (Mg) based MOF-74 suitable for [...] Read more.
The urgent need to mitigate carbon dioxide (CO2) emissions from fossil-fuel-based electricity generation has driven research into advanced materials for post-combustion carbon capture. This paper presents a modified solvothermal technique to synthesize zinc (Zn) and magnesium (Mg) based MOF-74 suitable for CO2 capture from coal-fired power plants. The materials were synthesized through a solvothermal method using N,N-dimethylformamide (DMF) as the primary solvent, and subsequently characterized using Brunauer–Emmett–Teller (BET) surface area analysis, Fourier-transform infrared spectroscopy (FTIR), X-ray diffraction (XRD), scanning electron microscopy with energy-dispersive X-ray spectroscopy (SEM-EDX), and thermogravimetric analysis (TGA). Both MOFs contained oxygen-containing functional groups and were thermally stable up to 430 °C and 600 °C respectively, making them ideal for carbon capture. The low-pressure N2-BET surface areas were 55 m2/g and 24.73 m2/g. In conclusion, the Zn material had a mesoporous structure, making it more favorable for carbon capture. It was found that prolonged synthesis time weakened the MOF structure. Future work should experimentally evaluate CO2 capture from coal-derived flue gas using Zn/Mg-MOF-74 materials, investigating adsorption behavior and kinetics through isotherm and kinetic models, while also assessing the effect of varying Zn: Mg ratios under optimized synthesis conditions. Full article
Show Figures

Figure 1

20 pages, 2334 KB  
Article
Synthesis and Investigation of Vanadium-Based Catalysts for the Oxidation of 4-Methylpyridine to Isonicotinic Acid
by Nurdaulet Buzayev, Kairat Kadirbekov and Mels Oshakbayev
Int. J. Mol. Sci. 2026, 27(6), 2715; https://doi.org/10.3390/ijms27062715 - 16 Mar 2026
Viewed by 347
Abstract
The study investigates the catalytic activity of vanadium-containing catalysts in the selective oxidation of 4-methylpyridine (4-MP) in the gas phase. V-Cr, V-Ti, and V-Ti-Cr catalysts were synthesised and studied. The phase composition and structural features of the catalysts were determined by X-ray diffraction [...] Read more.
The study investigates the catalytic activity of vanadium-containing catalysts in the selective oxidation of 4-methylpyridine (4-MP) in the gas phase. V-Cr, V-Ti, and V-Ti-Cr catalysts were synthesised and studied. The phase composition and structural features of the catalysts were determined by X-ray diffraction (XRD) and Raman spectroscopy, and their thermal stability was investigated using thermogravimetric analysis (TGA/DTA). Textural characteristics were evaluated by low-temperature nitrogen adsorption–desorption (BET, BJH), surface morphology was studied using scanning electron microscopy (SEM), and the distribution of elements was investigated using energy-dispersive X-ray spectroscopy (EDX). The chemical composition of the catalysts was determined using inductively coupled plasma atomic emission spectrometry (ICP-OES) and catalytic activity was evaluated in the selective gas-phase oxidation reaction of 4-methylpyridine in the temperature range 280–380 °C. It was found that an increase in temperature is accompanied by an increase in the conversion of 4-methylpyridine, but at the same time, deep oxidation reactions intensify. The best result is achieved on the V-Ti-Cr catalyst, for which the conversion of 4-MP reaches 86.88% and the selectivity is 73.06% at 320 °C. However, V-Ti provides moderate stable performance, while V-Cr demonstrates relatively low efficiency. Thus, it can be concluded that the nature of the temperature dependence of 4-methylpyridine conversion reflects the different nature of the active centres and their stability. Full article
Show Figures

Figure 1

21 pages, 8221 KB  
Article
Study on the Regulation of Diethylene Glycol on the Hydration Process of High-Activity Calcium Oxide
by Yu Fan, Wei Guo, Yueyang Hu, Yue Zhang, Jiaqing Wang and Zhaijun Wen
Materials 2026, 19(6), 1132; https://doi.org/10.3390/ma19061132 - 14 Mar 2026
Viewed by 319
Abstract
Traditional calcium hydroxide (Ca(OH)2) typically exhibits low specific surface area and reactivity, significantly limiting its efficacy in industrial gas–solid reactions such as flue gas desulfurization and thermochemical energy storage. To address these limitations, this study proposes a two-stage synthesis strategy designed [...] Read more.
Traditional calcium hydroxide (Ca(OH)2) typically exhibits low specific surface area and reactivity, significantly limiting its efficacy in industrial gas–solid reactions such as flue gas desulfurization and thermochemical energy storage. To address these limitations, this study proposes a two-stage synthesis strategy designed to enhance the surface properties and chemical activity of Ca(OH)2. The process involves the preparation of high-activity calcium oxide (CaO), followed by controlled hydration using diethylene glycol (DEG). Drawing on established mechanisms from cement chemistry, wherein potassium ions (K+) catalyze the decomposition of calcium carbonate (CaCO3), limestone particles (10–20 mm) were pre-soaked in a 0.1 mol/L potassium nitrate (KNO3) solution for 48 h prior to calcination. Characterization via X-ray diffraction (XRD), scanning electron microscopy (SEM), and Blaine Air Permeability Method analysis revealed that this pretreatment accelerated decomposition kinetics by inducing surface defects, yielding CaO with a maximum reactivity of 435.7 mL. Subsequent hydration at 80 °C with 70 wt% DEG effectively suppressed particle agglomeration and promoted the formation of thin platelet structures. The resulting Ca(OH)2 achieved a utilization efficiency of 98.5% and a specific surface area of 43.24 m2/g, demonstrating a robust technical route for fabricating high-performance calcium-based sorbents for environmental and energy applications. Full article
(This article belongs to the Special Issue Advances in Hydration Chemistry for Low-Carbon Cementitious Materials)
Show Figures

Figure 1

Back to TopTop