Sign in to use this feature.

Years

Between: -

Subjects

remove_circle_outline
remove_circle_outline
remove_circle_outline
remove_circle_outline
remove_circle_outline
remove_circle_outline
remove_circle_outline
remove_circle_outline
remove_circle_outline

Journals

Article Types

Countries / Regions

Search Results (99)

Search Parameters:
Keywords = longitudinal and transverse sensitivity

Order results
Result details
Results per page
Select all
Export citation of selected articles as:
15 pages, 1034 KB  
Article
Beyond Morphology: Quantitative MR Relaxometry in Pulmonary Lesion Classification
by Markus Graf, Alexander W. Marka, Andreas Wachter, Tristan Lemke, Nicolas Lenhart, Teresa Schredl, Jonathan Stelter, Kilian Weiss, Marcus Makowski, Dimitrios C. Karampinos, Daniela Pfeiffer, Gregor S. Zimmermann, Seyer Safi, Hans Hoffmann, Keno Bressem, Lisa Adams and Sebastian Ziegelmayer
Cancers 2025, 17(20), 3370; https://doi.org/10.3390/cancers17203370 - 18 Oct 2025
Viewed by 385
Abstract
Background/Objectives: Lung nodules present a common diagnostic challenge, particularly when benign and malignant lesions exhibit similar imaging characteristics. Standard evaluation relies on computed tomography (CT), positron emission tomography (PET), or biopsy, all of which have limitations. Quantitative magnetic resonance (MR) relaxometry using [...] Read more.
Background/Objectives: Lung nodules present a common diagnostic challenge, particularly when benign and malignant lesions exhibit similar imaging characteristics. Standard evaluation relies on computed tomography (CT), positron emission tomography (PET), or biopsy, all of which have limitations. Quantitative magnetic resonance (MR) relaxometry using native longitudinal relaxation time (T1) and transverse relaxation time (T2) mapping offers a radiation-free alternative reflecting tissue-specific differences. Methods: This prospective, single-center study included 64 patients with 76 histologically or radiologically confirmed lung lesions (25 primary lung cancers, 28 metastases, 9 granulomas, and 14 pneumonic infiltrates). The patients underwent T1 and T2 mapping at 3T. Two independent readers quantified the mean values for each lesion. The pre-specified primary endpoints were (1) benign versus malignant and (2) primary lung cancer versus pulmonary metastases. Results: Significant differences in T1 and T2 values were observed across lesion types. Benign lesions exhibited high T2 values (mean 213.6 ms) and low T1 values (mean 836.6 ms), whereas malignant tumors exhibited lower T2 values (~77–78 ms) and higher T1 values (~1460–1504 ms, p < 0.001). Binary classification yielded 95.7% accuracy (sensitivity 93.8% for malignant, specificity 100% for benign) in an internal 70/30 hold-out validation (no external dataset), with consistent performance confirmed by patient-level and nested cross-validation (balanced accuracy ≈ 0.92–0.94). However, malignant subtypes could not be reliably distinguished (p > 0.05), and multiclass accuracy was 60.9%. Conclusions: Quantitative MR relaxometry allows accurate, radiation-free differentiation of benign and malignant lung lesions and may help reduce unnecessary invasive procedures. Full article
(This article belongs to the Special Issue The Development and Application of Imaging Biomarkers in Cancer)
Show Figures

Figure 1

22 pages, 7945 KB  
Article
Numerical Investigation on Residual Stress and Distortion in Welded Joints of Offshore Platform Structures
by Jérémy Musolino, Xing-Hua Shi and Bai-Qiao Chen
J. Mar. Sci. Eng. 2025, 13(10), 1941; https://doi.org/10.3390/jmse13101941 - 10 Oct 2025
Viewed by 345
Abstract
Offshore platforms need to be made, from the start of their construction, to withstand the extreme environmental conditions they will be facing. This study investigates the welding-induced residual stress and distortion in a Y-shaped tubular joint extracted from an offshore wind turbine jacket [...] Read more.
Offshore platforms need to be made, from the start of their construction, to withstand the extreme environmental conditions they will be facing. This study investigates the welding-induced residual stress and distortion in a Y-shaped tubular joint extracted from an offshore wind turbine jacket substructure. While similar joints are commonly used in offshore platforms, their welding behavior remains underexplored in the existing literature. The joint configuration is representative of critical load-bearing connections commonly used in offshore platforms exposed to harsh marine environments. A finite element model has been developed to simulate the welding process in a typical offshore tubular joint through thermal and mechanical simulation. Validation of the model has been achieved with results against reference experimental data, with temperature and distortion errors of 3.9 and 5.3%, respectively. Residual stress and distortions were analyzed along predefined paths in vertical, transverse, and longitudinal directions. A mesh sensitivity study was conducted to balance computational efficiency and result accuracy. Furthermore, clamped and free displacement boundary conditions are analyzed, demonstrating reduced deformation and stress for the second case. Full article
Show Figures

Figure 1

18 pages, 5871 KB  
Article
Inversion of Shear and Longitudinal Acoustic Wave Propagation Parameters in Sea Ice Using SE-ResNet
by Jin Bai, Yi Liu, Xuegang Zhang, Wenmao Yin and Ziye Deng
Sensors 2025, 25(18), 5663; https://doi.org/10.3390/s25185663 - 11 Sep 2025
Viewed by 399
Abstract
With the advancement of scientific research, understanding the physical parameters governing acoustic wave propagation in sea ice has become increasingly important. Among these parameters, shear wave velocity plays a crucial role. However, as measurements progressed, it became apparent that there was a large [...] Read more.
With the advancement of scientific research, understanding the physical parameters governing acoustic wave propagation in sea ice has become increasingly important. Among these parameters, shear wave velocity plays a crucial role. However, as measurements progressed, it became apparent that there was a large discrepancy between measured values of shear waves and predictions based on empirical formulas or existing models. These inconsistencies stem primarily from the complex internal structure of natural sea ice, which significantly influences its physical behavior. Research reveals that shear wave velocity is not only influenced by bulk properties such as density, temperature, and stress state but is also sensitive to microstructural features, including air bubbles, inclusions, and ice crystal orientation. Compared to longitudinal wave velocity, the characterization of shear wave velocity is far more challenging due to these inherent complexities, underscoring the need for more precise measurement and modeling techniques. To address the challenges posed by the complex internal structure of natural sea ice and improve prediction accuracy, this study introduces a novel, integrated approach combining simulation, measurement, and inversion intelligent learning model. First, a laboratory-based method for generating sea ice layers under controlled formation conditions is developed. The produced sea ice layers align closely with measured values for Poisson’s ratio, multi-year sea ice density, and uniaxial compression modulus, particularly in the high-temperature range. Second, enhancements to shear wave velocity measurement equipment have been implemented. The improved device achieves measurement accuracy exceeding 1%, offers portability, and meets the demands of high-precision experiments conducted in harsh polar environments. Finally, according to the characteristics of small sample data. The ANN neural network was improved to a deep residual neural network with the addition of Squeeze-and-Excitation Attention (SE-ResNet) to predict longitudinal and transverse wave velocities. This prediction method improves the accuracy of shear and longitudinal wave velocity prediction by 24.87% and 39.59%, respectively, compared to the ANN neural network. Full article
Show Figures

Figure 1

15 pages, 3096 KB  
Article
An Experimental Study on the Impact of Roughness Orientation on the Friction Coefficient in EHL Contact
by Matthieu Cordier, Yasser Diab, Jérôme Cavoret, Fida Majdoub, Christophe Changenet and Fabrice Ville
Lubricants 2025, 13(8), 340; https://doi.org/10.3390/lubricants13080340 - 31 Jul 2025
Cited by 1 | Viewed by 1355
Abstract
Optimising the friction coefficient helps reduce friction losses and improve the efficiency of mechanical systems. The purpose of this study is to experimentally investigate the impact of roughness orientation on the friction coefficient in elastohydrodynamic (EHD) contact. Tests were carried out on a [...] Read more.
Optimising the friction coefficient helps reduce friction losses and improve the efficiency of mechanical systems. The purpose of this study is to experimentally investigate the impact of roughness orientation on the friction coefficient in elastohydrodynamic (EHD) contact. Tests were carried out on a twin-disc machine. Three pairs of discs of identical material (nitrided steel) and geometry were tested: a smooth pair (the root mean square surface roughness Sq = 0.07 µm), a pair with transverse roughness and another with longitudinal roughness. The two rough pairs have similar roughness amplitudes (Sq = 0.5 µm). A comparison of the friction generated by these different pairs was carried out to highlight the effect of the roughness orientation under different operating conditions (oil injection temperature from 60 to 80 °C, Hertzian pressure from 1.2 to 1.5 GPa and mean rolling speed from 5 to 30 m/s). Throughout all the tests conducted in this study, longitudinal roughness resulted in higher friction than transverse, with an increase of up to 30%. Moreover, longitudinal roughness is more sensitive to variations in operating conditions. Finally, in all tests, the asperities of longitudinal roughness were found to influence the friction behaviour, unlike transverse roughness. Full article
(This article belongs to the Special Issue Experimental Modelling of Tribosystems)
Show Figures

Figure 1

29 pages, 9152 KB  
Article
Effect of Cracks on the Compressive Ultimate Strength of Plate and Stiffened Panel Under Biaxial Loads: A Finite Element Analysis
by Sang Jin Kim, Jung Min Sohn and Do Kyun Kim
Appl. Sci. 2025, 15(15), 8287; https://doi.org/10.3390/app15158287 - 25 Jul 2025
Cited by 1 | Viewed by 649
Abstract
Crack damage can significantly reduce the ultimate strength of marine structures, potentially leading to progressive collapse. This study employs finite element analysis to investigate how cracks affect the strength of plates and stiffened panels under uniaxial and biaxial compression, providing insights essential for [...] Read more.
Crack damage can significantly reduce the ultimate strength of marine structures, potentially leading to progressive collapse. This study employs finite element analysis to investigate how cracks affect the strength of plates and stiffened panels under uniaxial and biaxial compression, providing insights essential for robust structural design. The effects of crack size and orientation are explored through a systematic evaluation of longitudinal, transverse, and bidirectional cracks—sized at 10%, 25%, and 50% of structural dimensions (plate length and plate breadth/web height)—in both plates and unstiffened panels. The analysis identifies key parameters governing strength degradation and reveals that stiffened panels are more resistant to cracking, whereas plates are more sensitive to crack orientation and loading direction. These findings underscore the role of crack characteristics and structural reinforcement in maintaining residual strength and provide guidance for improving the accuracy and reliability of ultimate strength predictions. Full article
Show Figures

Figure 1

9 pages, 1498 KB  
Proceeding Paper
Sensitivity Analysis of an Edge-Fed Microstrip Patch Antenna Strain Sensor to Detect Surface Strains
by A. P. Praveen, Jeetu S. Babu, Sreedevi K. Menon and M. P. Hariprasad
Eng. Proc. 2025, 93(1), 8; https://doi.org/10.3390/engproc2025093008 - 1 Jul 2025
Viewed by 599
Abstract
Damage detection through strain sensing is inevitable in structural health monitoring (SHM) for implementing preventive measures against the failure of a mechanical component or a civil structure. Strain sensors based on patch antennas are gaining importance due to their simple geometry and ease [...] Read more.
Damage detection through strain sensing is inevitable in structural health monitoring (SHM) for implementing preventive measures against the failure of a mechanical component or a civil structure. Strain sensors based on patch antennas are gaining importance due to their simple geometry and ease of fabrication. This work presents the effect of longitudinal and transverse deformation on the patch antenna strain sensor characteristics. Structural and electromagnetic simulations are performed for various loads using a commercial FEM package. The variation in the reflection coefficient with resonant frequency is analyzed for different strain levels up to the elastic limit of the sensor. It is observed that the edge-fed patch antenna can be used in cases of higher strain levels. However, the patch antenna sensor is less sensitive at lower strain levels. The patch antenna sensor effectively decouples the directional strains, making it effective for bidirectional strain sensing using a single element. Full article
(This article belongs to the Proceedings of International Conference on Mechanical Engineering Design)
Show Figures

Figure 1

25 pages, 11680 KB  
Article
ETAFHrNet: A Transformer-Based Multi-Scale Network for Asymmetric Pavement Crack Segmentation
by Chao Tan, Jiaqi Liu, Zhedong Zhao, Rufei Liu, Peng Tan, Aishu Yao, Shoudao Pan and Jingyi Dong
Appl. Sci. 2025, 15(11), 6183; https://doi.org/10.3390/app15116183 - 30 May 2025
Cited by 1 | Viewed by 1160
Abstract
Accurate segmentation of pavement cracks from high-resolution remote sensing imagery plays a crucial role in automated road condition assessment and infrastructure maintenance. However, crack structures often exhibit asymmetry, irregular morphology, and multi-scale variations, posing significant challenges to conventional CNN-based methods in real-world environments. [...] Read more.
Accurate segmentation of pavement cracks from high-resolution remote sensing imagery plays a crucial role in automated road condition assessment and infrastructure maintenance. However, crack structures often exhibit asymmetry, irregular morphology, and multi-scale variations, posing significant challenges to conventional CNN-based methods in real-world environments. Specifically, the proposed ETAFHrNet focuses on two predominant pavement-distress morphologies—linear cracks (transverse and longitudinal) and alligator cracks—and has been empirically validated on their intersections and branching patterns over both asphalt and concrete road surfaces. In this work, we present ETAFHrNet, a novel attention-guided segmentation network designed to address the limitations of traditional architectures in detecting fine-grained and asymmetric patterns. ETAFHrNet integrates Transformer-based global attention and multi-scale hybrid feature fusion, enhancing both contextual perception and detail sensitivity. The network introduces two key modules: the Efficient Hybrid Attention Transformer (EHAT), which captures long-range dependencies, and the Cross-Scale Hybrid Attention Module (CSHAM), which adaptively fuses features across spatial resolutions. To support model training and benchmarking, we also propose QD-Crack, a high-resolution, pixel-level annotated dataset collected from real-world road inspection scenarios. Experimental results show that ETAFHrNet significantly outperforms existing methods—including U-Net, DeepLabv3+, and HRNet—in both segmentation accuracy and generalization ability. These findings demonstrate the effectiveness of interpretable, multi-scale attention architectures in complex object detection and image classification tasks, making our approach relevant for broader applications, such as autonomous driving, remote sensing, and smart infrastructure systems. Full article
(This article belongs to the Special Issue Object Detection and Image Classification)
Show Figures

Figure 1

12 pages, 2361 KB  
Article
The (ProteUS) Anisotropy Effect in Deep Fascia Ultrasonography: The Impact of Probe Angulation on Echogenicity and Thickness Assessments
by Carmelo Pirri, Nina Pirri, Diego Guidolin, Enrico De Rose, Veronica Macchi, Andrea Porzionato, Raffaele De Caro and Carla Stecco
Life 2025, 15(5), 822; https://doi.org/10.3390/life15050822 - 21 May 2025
Viewed by 881
Abstract
This study investigates the influence of probe angulation on echogenicity and thickness measurements of the deep fascia, addressing methodological challenges in musculoskeletal ultrasound examination. The anisotropic nature of connective tissues can lead to distortions, affecting US imaging accuracy and diagnostic reliability. Echogenicity and [...] Read more.
This study investigates the influence of probe angulation on echogenicity and thickness measurements of the deep fascia, addressing methodological challenges in musculoskeletal ultrasound examination. The anisotropic nature of connective tissues can lead to distortions, affecting US imaging accuracy and diagnostic reliability. Echogenicity and thickness variations were analyzed across different probe inclinations in both transverse and longitudinal orientations. Measurements at 0° were compared with −5° and +5° angles to assess their impact on imaging consistency due to 3D-printed support. Echogenicity differed significantly with probe angulation, in particular in transverse scan at 0°, which showed substantial variation at −5° (mean diff. = 55.14, p < 0.0001) and +5° (mean diff. = 43.75, p = 0.0024). Thickness measurements also varied, reinforcing that non-perpendicular probe angulation introduces distortions. The same results were reported for longitudinal scans. These findings highlight the need for the use of standardized scanning protocols to improve reliability. The protean nature of deep fascia anisotropy, highly sensitive to minimal changes in probe orientation, necessitates precise and consistent imaging to accurately reveal its structural organization. Optimizing probe orientation is essential for advancing fascial US diagnostics. Full article
Show Figures

Figure 1

18 pages, 5081 KB  
Article
A Coupling Error Compensation Approach Concerning Constrained Space Coordinate Precision of a Heavy-Load Longitudinal and Transversal Swing Table
by Manxian Liu, Rui Bao, Shuo Li, Liang Ji, Suozhuang Li, Xiaoqiang Yan and Wei Li
Appl. Sci. 2025, 15(9), 4693; https://doi.org/10.3390/app15094693 - 24 Apr 2025
Cited by 1 | Viewed by 670
Abstract
In this paper, an accurate error compensation method based on geometric parameter correction and process optimization is proposed for the problem of coupling error in a heavy-load longitudinal and transversal swing table (HLTST) under space constraints, which makes it difficult to control the [...] Read more.
In this paper, an accurate error compensation method based on geometric parameter correction and process optimization is proposed for the problem of coupling error in a heavy-load longitudinal and transversal swing table (HLTST) under space constraints, which makes it difficult to control the position efficiently and accurately. The key geometric parameters of pitch and roll layers are determined according to the machining process and assembly relationship, and the kinematic model is modified to effectively reduce the impact of contour error on the system’s accuracy. A coupling error model is established and its transmission mechanism is analyzed to develop a positioning error compensation strategy. Numerical simulation is employed to examine the distribution law, sensitivity, and volatility of independent error and coupling error. This aids in optimizing the design of the table’s machining process by balancing machining accuracy and economy. After the identification of the error parameters, the error compensation model is verified using the uniform design experimentation. The experimental results demonstrate 96.94% and 65.63% reductions in absolute average errors for the pitch and roll angles, respectively, especially when the maximum positioning error under the maximum load condition is controlled within ±5%, which significantly enhances motion accuracy and robustness under complex working conditions. This provides theoretical support and practical guidance for real-world engineering applications. Full article
(This article belongs to the Special Issue Machine Automation: System Design, Analysis and Control)
Show Figures

Figure 1

17 pages, 5579 KB  
Article
Optimization of Sensor Targeting Configuration for Intelligent Tire Force Estimation Based on Global Sensitivity Analysis and RBF Neural Networks
by Yu Zhang, Guolin Wang, Haichao Zhou, Jintao Zhang, Xiangliang Li and Xin Wang
Appl. Sci. 2025, 15(7), 3913; https://doi.org/10.3390/app15073913 - 2 Apr 2025
Cited by 1 | Viewed by 740
Abstract
Tire force is a critical state parameter for vehicle dynamics control systems during vehicle operation. Compared with tire force estimation methods relying on vehicle dynamics or tire models, intelligent tire technology can provide real-time feedback regarding tire–road interactions to the vehicle control system. [...] Read more.
Tire force is a critical state parameter for vehicle dynamics control systems during vehicle operation. Compared with tire force estimation methods relying on vehicle dynamics or tire models, intelligent tire technology can provide real-time feedback regarding tire–road interactions to the vehicle control system. To address the demand for accurate tire force prediction in active safety control systems under various operating conditions, this paper proposes an intelligent tire force estimation method, integrating sensor-measured dynamic response parameters and machine learning techniques. A 205/55 R16 radial tire was selected as the research object, and a finite element model was established using the parameterized modeling approach with the ABAQUS finite element simulation software. The validity of the finite element model was verified through indoor static contact and stiffness tests. To investigate the sensitive response areas and variables associated with tire force, the ground deformation area of the inner liner was refined along the transverse and circumferential directions. Variance-based global sensitivity analysis combined with dimensional reduction methods was used to evaluate the sensitivity of acceleration, strain, and displacement responses to variations in longitudinal and lateral forces. Based on the results of the global sensitivity analysis, the influence of longitudinal and lateral forces on sensitive response variables in their respective sensitive response areas was examined, and characteristic values of the corresponding response signal curves were analyzed and extracted. Three intelligent tire force estimation models with different sensor-targeting configurations were established using radial basis function (RBF) neural networks. The mean relative error (MRE) of intelligent tire force estimation for these models remained within 10%, with Model 3 demonstrating an MRE of less than 2% and estimation errors of 1.42% and 1.10% for longitudinal and lateral forces, respectively, indicating strong generalization performance. The results show that tire forces exhibit high sensitivity to acceleration and displacement responses in the crown and sidewall areas, providing methodological guidance for the targeted sensor configuration in intelligent tires. The intelligent tire force estimation method based on the RBF neural network effectively achieves accurate estimation, laying a theoretical foundation for the advancement of vehicle intelligence and technological innovation. Full article
Show Figures

Figure 1

22 pages, 6106 KB  
Article
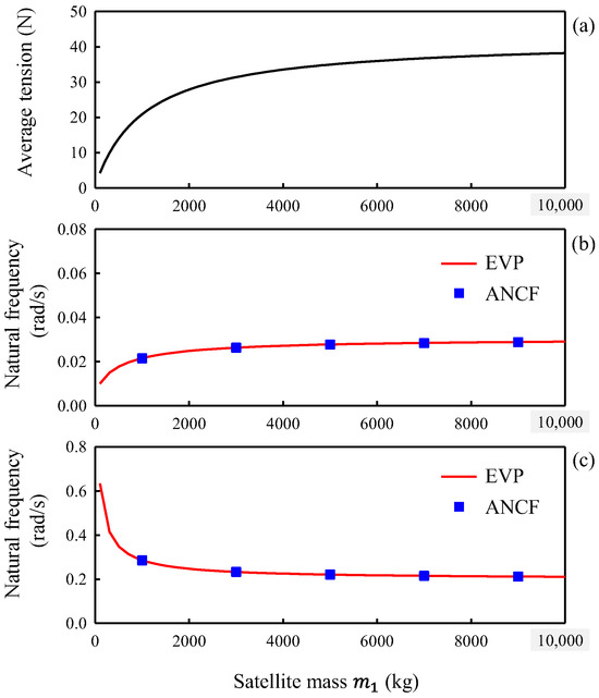
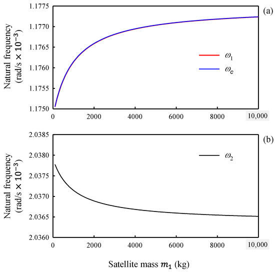
Natural Frequencies of a Tethered Satellite System
by Yihun Yoon, Woojae Jang and Jintai Chung
Appl. Sci. 2025, 15(4), 2180; https://doi.org/10.3390/app15042180 - 18 Feb 2025
Viewed by 717
Abstract
This study investigated the natural frequencies of a tethered satellite system to enhance stability and operational reliability. Tethered satellite systems provide many advantages for space missions but exhibit inherently complex dynamics due to the interaction between rigid-body motions and tether deformation. A dumbbell [...] Read more.
This study investigated the natural frequencies of a tethered satellite system to enhance stability and operational reliability. Tethered satellite systems provide many advantages for space missions but exhibit inherently complex dynamics due to the interaction between rigid-body motions and tether deformation. A dumbbell model was employed to analyze rigid-body dynamics, with eigenvalue analysis used to determine the natural frequencies of orbital and librational motion. Additionally, tether deformation was examined through simulations based on the absolute nodal coordinate formulation (ANCF) and a tensioned beam model, facilitating both analytical and computational assessments of transverse and longitudinal frequencies. The results show that orbital angular velocity and libration frequencies are highly sensitive to system parameters such as tether length, orbital radius, and satellite masses. Furthermore, the transverse and longitudinal natural frequencies of the tether exhibit distinct dependencies, providing critical insights for the design and control of tethered satellite systems. This work bridges a gap in understanding coupled dynamics and offers a systematic framework for calculating natural frequencies, supporting practical implementation in space missions. Full article
(This article belongs to the Section Aerospace Science and Engineering)
Show Figures

Figure 1

21 pages, 2027 KB  
Review
Research Progress and Applications of Single-Pixel Imaging Technology
by Jincai Hu, Qichang An, Wenjie Wang, Tong Li, Lin Ma, Shufei Yi and Liang Wang
Photonics 2025, 12(2), 164; https://doi.org/10.3390/photonics12020164 - 18 Feb 2025
Cited by 1 | Viewed by 1925
Abstract
Single-pixel imaging is a computational optical imaging technique that uses a single-pixel detector to obtain scene information and reconstruct the image. Compared with traditional imaging techniques, single-pixel imaging has the advantages of high sensitivity and a wide dynamic range, etc., which make it [...] Read more.
Single-pixel imaging is a computational optical imaging technique that uses a single-pixel detector to obtain scene information and reconstruct the image. Compared with traditional imaging techniques, single-pixel imaging has the advantages of high sensitivity and a wide dynamic range, etc., which make it have broad application prospects in special frequency band imaging and scattering media imaging. This paper mainly introduces the history of development and the characteristics of the single-pixel detector, focuses on the typical applications of single-pixel imaging in coded aperture, transverse scanning, and longitudinal scanning systems, and gives an account of the application of deep learning technology in single-pixel imaging. At the end of this paper, the development of single-pixel imaging is summarized and future trends forecasted. Full article
(This article belongs to the Special Issue Challenges and Future Directions in Adaptive Optics Technology)
Show Figures

Figure 1

13 pages, 1429 KB  
Article
An Interobserver Comparison of the Ultrasound Lexicon Classification of Thyroid Nodules: A Single-Center Prospective Validation Study
by Ender Uysal, Burak Yangoz, Mustafa Sagan, Ismet Duman and Ahmet Sukru Alparslan
J. Clin. Med. 2025, 14(4), 1222; https://doi.org/10.3390/jcm14041222 - 13 Feb 2025
Viewed by 1331
Abstract
Background/Objectives: Guidelines for the risk stratification of thyroid nodules are based on certain well-recognized sonographic features of nodules. However, significant variations in reported sensitivity and specificity values are observed due to the overlap of imaging characteristics between benign and malignant nodules. Additionally, [...] Read more.
Background/Objectives: Guidelines for the risk stratification of thyroid nodules are based on certain well-recognized sonographic features of nodules. However, significant variations in reported sensitivity and specificity values are observed due to the overlap of imaging characteristics between benign and malignant nodules. Additionally, differences in ultrasound (US) equipment and the varying experience levels of radiologists performing the imaging procedures contribute to these discrepancies. Inevitably, there are also interobserver differences. The aim of this study was to investigate interobserver agreement on these criteria using the international thyroid imaging reporting and data system (I-TIRADS) thyroid evaluation framework, independently assessed by three residents and one consultant. Methods: We included 393 patients who underwent ultrasound-guided fine needle aspiration biopsy (FNAB) within four months. In each case, longitudinal and transverse video images of the thyroid gland, neck chain, and biopsied nodules were recorded. The evaluations of the parameters defined in the I-TIRADS dictionary were then performed by a radiologist with 15 years of experience and radiology assistants with 3, 3, and 2 years of experience, respectively, blinded to the images, pathology data, and patient demographics. The parameters evaluated included composition, echogenicity, margin, direction of growth, calcification, extension beyond the thyroid, and lymph node. An interobserver comparison between the US lexicon classifications of thyroid nodules was then performed. Results: The results of our study showed that the highest level of consensus was observed in the ‘mixed predominantly cystic’ classification, indicating a solid consistency between the assessors (κ = 0.729). Conversely, the subcategories ‘Solid’, ‘Mixed Predominantly Solid’ and ‘Spongiform’ showed moderate agreement, while the “Pure Cyst” subcategory exhibited the lowest level of agreement among the assessors (κ = 0.292). Agreement among the three radiology assistants was strong concerning the evaluation of nodule composition, growth direction, and lymph node assessment. In contrast, a moderate level of consensus was noted regarding the assessment of extrathyroidal extension, margins, and echogenicity. Notably, the parameter exhibiting moderate agreement across all readers was the presence of echogenic foci or calcifications. Conclusions: the reproducibility observed in the parameters defined within the lexicon supports its potential to enhance consistency and interobserver agreement in thyroid nodule assessment. Full article
(This article belongs to the Section Nuclear Medicine & Radiology)
Show Figures

Graphical abstract

17 pages, 11338 KB  
Article
Fabrication and Electrical Characterization of Low-Temperature Polysilicon Films for Sensor Applications
by Filipa C. Mota, Inês S. Garcia, Aritz Retolaza, Dimitri E. Santos, Patrícia C. Sousa, Diogo E. Aguiam, Rosana A. Dias, Carlos Calaza, Alexandre F. Silva and Filipe S. Alves
Micromachines 2025, 16(1), 57; https://doi.org/10.3390/mi16010057 - 31 Dec 2024
Cited by 1 | Viewed by 4415
Abstract
The development of low-temperature piezoresistive materials provides compatibility with standard silicon-based MEMS fabrication processes. Additionally, it enables the use of such material in flexible substrates, thereby expanding the potential for various device applications. This work demonstrates, for the first time, the fabrication of [...] Read more.
The development of low-temperature piezoresistive materials provides compatibility with standard silicon-based MEMS fabrication processes. Additionally, it enables the use of such material in flexible substrates, thereby expanding the potential for various device applications. This work demonstrates, for the first time, the fabrication of a 200 nm polycrystalline silicon thin film through a metal-induced crystallization process mediated by an AlSiCu alloy at temperatures as low as 450 °C on top of silicon and polyimide (PI) substrates. The resulting polycrystalline film structure exhibits crystallites with a size of approximately 58 nm, forming polysilicon (poly-Si) grains with diameters between 1–3 µm for Si substrates and 3–7 µm for flexible PI substrates. The mechanical and electrical properties of the poly-Si were experimentally conducted using microfabricated test structures containing piezoresistors formed by poly-Si with different dimensions. The poly-Si material reveals a longitudinal gauge factor (GF) of 12.31 and a transversal GF of −4.90, evaluated using a four-point bending setup. Additionally, the material has a linear temperature coefficient of resistance (TCR) of −2471 ppm/°C. These results illustrate the potential of using this low-temperature film for pressure, force, or temperature sensors. The developed film also demonstrated sensitivity to light, indicating that the developed material can also be explored in photo-sensitive applications. Full article
Show Figures

Figure 1

19 pages, 6797 KB  
Article
Design and Experimental Research on Staggered Straw Cleaning Device for No-Till Seeding in Drip Irrigation Area
by Panpan Yuan, Xingliang Zhu, Xuejun Zhang, Jia You, Jinshan Yan and Shilong Qiu
Agronomy 2025, 15(1), 34; https://doi.org/10.3390/agronomy15010034 - 27 Dec 2024
Viewed by 777
Abstract
To solve the problem of straw cleaning and drip irrigation belt restoration for no-till seeding in drip irrigation areas, a staggered straw cleaning device was developed for no-till seeding, which is mainly composed of a front two-sided tine discs group, a drip irrigation [...] Read more.
To solve the problem of straw cleaning and drip irrigation belt restoration for no-till seeding in drip irrigation areas, a staggered straw cleaning device was developed for no-till seeding, which is mainly composed of a front two-sided tine discs group, a drip irrigation belt laying mechanism, a middle single inner tine discs group, a rear single outer tine discs group. Different tine disc groups are set in longitudinal, transverse, and radial directions to move and throw the straw on the surface of the seeding strip. The critical parameters of the tine disc were designed and calculated, and the radius was determined to be 160 mm, the number of teeth was 12, and the theoretical working width was obtained. The movement and straw scattering process were analyzed, and the main influencing factors and the maximum straw scattering distances in the horizontal and vertical directions were determined. The interaction model of staggered tine discs group–straw–soil is established using the discrete element method (DEM). The forwarding speed, rotating speed, disc rake angle, and lateral distance of the middle tine discs were used as influencing factors, and the straw cleaning rate and the mass of straw returned in the drip irrigation coverage area were selected as the text indexes to carry out quadratic orthogonal rotation experiments. The quadratic regression model of the three sensitive parameters on the cleaning rate and the mass of straw returned in the drip irrigation coverage area was constructed and optimized. The optimal solutions were obtained: the forwarding speed was 9 km/h, the disc rake angle was 33.7°, and the lateral distance of the middle tine discs was 529 mm. The field validation test was carried out, and the results showed that the straw cleaning was 89.13%, the straw cleaning width of the seed strip was 527.2 mm, and the straw coverage rate of the drip irrigation area was 80.74%. This achievement can provide a reference for straw cleaning of no-till seeding under drip irrigation. Full article
(This article belongs to the Section Precision and Digital Agriculture)
Show Figures

Figure 1

Back to TopTop