Next Article in Journal
A Data-Driven Battery Degradation Estimation Method for Low-Earth-Orbit (LEO) Satellites
Previous Article in Journal
A Comprehensive Review of Deep Learning Techniques in Mobile Robot Path Planning: Categorization and Analysis
 
 
Font Type:
Arial Georgia Verdana
Font Size:
Aa Aa Aa
Line Spacing:
Column Width:
Background:
Article

Natural Frequencies of a Tethered Satellite System

1
Department of Mechanical Engineering, Hanyang University, Ansan 15588, Republic of Korea
2
BK21 FOUR ERICA-ACE Center, Hanyang University, Ansan 15588, Republic of Korea
*
Author to whom correspondence should be addressed.
Appl. Sci. 2025, 15(4), 2180; https://doi.org/10.3390/app15042180
Submission received: 2 January 2025 / Revised: 13 February 2025 / Accepted: 14 February 2025 / Published: 18 February 2025
(This article belongs to the Section Aerospace Science and Engineering)

Abstract

This study investigated the natural frequencies of a tethered satellite system to enhance stability and operational reliability. Tethered satellite systems provide many advantages for space missions but exhibit inherently complex dynamics due to the interaction between rigid-body motions and tether deformation. A dumbbell model was employed to analyze rigid-body dynamics, with eigenvalue analysis used to determine the natural frequencies of orbital and librational motion. Additionally, tether deformation was examined through simulations based on the absolute nodal coordinate formulation (ANCF) and a tensioned beam model, facilitating both analytical and computational assessments of transverse and longitudinal frequencies. The results show that orbital angular velocity and libration frequencies are highly sensitive to system parameters such as tether length, orbital radius, and satellite masses. Furthermore, the transverse and longitudinal natural frequencies of the tether exhibit distinct dependencies, providing critical insights for the design and control of tethered satellite systems. This work bridges a gap in understanding coupled dynamics and offers a systematic framework for calculating natural frequencies, supporting practical implementation in space missions.

1. Introduction

The study of tethered satellite systems represents a critical area of research in space engineering, offering significant potential for advancing satellite deployment, on-orbit servicing, and space exploration missions. Tethered satellite systems comprise satellites interconnected by a flexible tether, forming a dynamically coupled system where the interactions between the rigid-body motions of the satellites and the vibrational behavior of the tether play a pivotal role in system stability. The dynamics of such systems are inherently complex due to gravitational gradient forces, centrifugal effects, and the flexibility of the tether. Ensuring the stability of tethered satellite systems is essential, as uncontrolled vibrations or resonance phenomena can lead to mission failure or even system disintegration. Consequently, understanding the natural frequencies of these systems is a prerequisite for designing stable and reliable tethered satellite operations.
Satellite systems can be broadly categorized into conventional satellites and tethered satellite systems. Each type poses unique challenges in structural dynamics, stability, and control. Research on vibration mitigation in conventional satellites has focused on minimizing disturbances caused by internal mechanisms or external environments. For instance, Chen et al. [1] developed a dual micro-vibration isolation system for optical satellites, achieving significant vibration attenuation and improving imaging stability. Meng et al. [2] addressed vibration issues in space robots with flexible appendages, proposing a closed-loop control system to manage rigid-flexible coupling dynamics, validated by experimental results. These studies highlight the importance of robust control strategies and isolation mechanisms in enhancing satellite performance.
To ensure structural integrity and avoid resonance, researchers have extensively studied natural frequency optimization in conventional satellites. Fakoor et al. [3] employed hybrid optimization algorithms to incorporate natural frequency constraints in satellite layout design, improving both stability and performance. Guo et al. [4] proposed a lightweight strategy for adjusting natural frequencies by modifying structural stiffness, validated through finite element and experimental analyses. Okuyama et al. [5] introduced a simplified method for estimating the natural frequencies of micro-satellites, enabling effective early-stage design without complex computational requirements. Ishimura and Higuchi [6] investigated the coupling of pitch motion, axial vibration, and orbital motion, demonstrating the critical influence of natural frequency ratios on dynamic behaviors in large space structures.
Tethered satellite systems, however, present unique challenges due to their inherently flexible structures and complex coupled dynamics. Zahariev et al. [7] explored methods for minimizing deviations and vibrations during maneuver planning, proposing optimization-based approaches to suppress high-order vibrations. Sheng et al. [8] introduced a friction self-excitation mechanism for controlling longitudinal vibrations in tethered systems, validated through ground experiments. Dignath and Schiehlen [9] applied optimization techniques to enhance active damping, focusing on energy dissipation during longitudinal vibration suppression. Bergamaschi et al. [10] analyzed nonlinear vibrations of tethered systems under station-keeping conditions, providing insights into the physical causes of high-frequency peaks.
Modal analysis and frequency characterization have been central to understanding tethered satellite dynamics. Wei et al. [11] presented an orbit–attitude–vibration coupled dynamic model for tethered solar power satellites, identifying dependencies on parameters like orbital radius and bus mass. Shan and Shi [12] compared different tethered system models for space debris removal, deriving analytical solutions for natural frequencies under various configurations. Pasca et al. [13] examined three-dimensional vibrations of tethered satellite systems, offering closed-form solutions to coupled longitudinal and transverse oscillations. Yoon et al. [14] constructed a scaled model of a tethered system with pendulum-type elastic metamaterials, experimentally demonstrating bandgap formation and its correlation with beam resonance.
Despite the extensive research on conventional satellites and certain aspects of tethered satellite systems, a gap remains in systematically and simply calculating the natural frequencies of both rigid-body motion and deformation in tethered satellite systems. To address this gap, this study aims to provide an investigation into the natural frequencies associated with the rigid-body motion and tether deformation in a tethered satellite system. By employing a dumbbell model for rigid-body dynamics and a tensioned beam model for tether deformation, this work proposes systematic approaches to calculate these natural frequencies.
In this research, the natural frequencies of tethered satellite systems were investigated through a two-pronged approach. First, a dumbbell model was developed to capture the rigid-body motion, with nonlinear equations of motion derived using Lagrange’s equations and linearized via perturbation methods to formulate an eigenvalue problem. This analysis identified the natural frequencies associated with orbital and librational motions and evaluated the influence of system parameters such as tether length, orbital radius, and satellite masses. Second, tether deformation was analyzed using an absolute nodal coordinate formulation (ANCF) simulation, with frequency spectrum analysis applied to extract the dominant vibrational frequencies. To complement the computational analysis, an analytical model treated the tether as a tensioned beam with end masses, enabling efficient calculation of transverse and longitudinal natural frequencies. These methodologies collectively provide a characterization of the dynamic behavior of tethered satellite systems, ensuring that critical insights are derived for practical implementation.

2. Natural Frequencies of the Dumbbell Model

The dynamic characteristics of a tethered satellite system were analyzed using a dumbbell model. This system consists of two satellites with masses m 1 and m 2 , connected by a non-deformable tether of length L , as illustrated in Figure 1. In this study, the satellites were assumed as point masses without mass moments of inertia, and the mass of the tether was neglected. Since the dumbbell model in Figure 1 can be treated as a rigid body, when it moves on the x y -plane including the center of the Earth O , the satellite system has three degrees of freedom. The generalized coordinates of the system may be selected as the orbital radius r of satellite m 1 , the true anomaly ψ , and the libration angle θ .
The equations of motion for the dumbbell model of the tethered satellites can be derived using Lagrange’s equations. After expressing the position and velocity vectors of satellites m 1 and m 2 in terms of the generalized coordinates r , ψ , and θ , the kinetic energy and gravitational potential energy of the system were calculated. Substituting the kinetic and potential energies into Lagrange’s equation yields the following nonlinear equations of motion:
m 1 + m 2 r ¨ r ψ ˙ 2 m 2 L ψ ˙ + θ ˙ 2 cos θ m 2 L ψ ¨ + θ ¨ sin θ + G M m 1 r 2 + G M m 2 r + L cos θ r 2 + 2 L r cos θ + L 2 3 / 2 = 0 ,
m 1 + m 2 r 2 ψ ¨ + 2 r r ˙ ψ ˙ + m 2 L 2 ψ ¨ + θ ¨ + m 2 L 2 r ψ ¨ + 2 r ˙ ψ ˙ + r θ ¨ cos θ m 2 L r ¨ + 2 r ψ ˙ θ ˙ + r θ ˙ 2 sin θ = 0 ,
m 2 L ψ ¨ + θ ¨ + m 2 r ψ ¨ + 2 r ˙ ψ ˙ cos θ m 2 r ¨ r ψ ˙ 2 sin θ G M m 2 r sin θ r 2 + 2 r L cos θ + L 2 3 / 2 = 0 ,
where the superposed dot represents differentiation with respect to time, G is the universal gravitational constant, and M is the mass of the Earth. For the detailed derivation process, please refer to Jung et al. [15].
Using the perturbation method, the natural frequencies of the dumbbell model with small libration motion were determined when the satellite system had circular orbit around the Earth. The orbital radius, orbital angular velocity, and libration angle when the satellite system is in equilibrium state of the circular orbit are denoted by r ¯ , ω c , and θ ¯ , respectively. Representing the perturbed values of r , ψ ˙ , and θ from the equilibrium state are represented by Δ r , Δ ψ ˙ , and Δ θ , the orbital radius, the orbital velocity, and the libration angle can be expressed by the following equations:
r = r ¯ + Δ r ,   ψ ˙ = ω c + Δ ψ ˙ ,   θ = θ ¯ + Δ θ .
By substituting Equation (4) into Equations (1)–(3) and expanding the resulting nonlinear equations in Taylor’s series around the equilibrium state under the assumption that Δ r , Δ ψ ˙ , and Δ θ are small, the conditions for equilibrium and the linearized equations of motion were obtained. The equilibrium conditions for the satellite system to have circular orbit are given by
θ ¯ = 0 ,
ω c = G M m 1 / r ¯ 2 + m 2 / r ¯ + L 2 m 1 r ¯ + m 2 r ¯ + L .
The equations of motion linearized in the neighborhood of the equilibrium state can be represented by
m 1 + m 2 Δ r ¨ 2 m 1 r ¯ + m 2 r ¯ + L ω c Δ ψ ˙ 2 m 2 L ω c Δ θ ˙ 2 G M m 1 r ¯ 3 + m 2 r ¯ + L 3 + m 1 + m 2 ω c 2 Δ r = 0 ,
m 1 r ¯ 2 + m 2 r ¯ + L 2 Δ ψ ¨ + m 2 L r ¯ + L Δ θ ¨ + 2 m 1 r ¯ + m 2 r ¯ + L ω c Δ r ˙ = 0 ,
m 2 L r ¯ + L Δ ψ ¨ + m 2 L 2 Δ θ ¨ + 2 m 2 L ω c Δ r ˙ + m 2 L r ¯ ω c 2 G M r ¯ + L 3 Δ θ = 0 .
To derive the eigenvalue problem, Equations (7)–(9) can be expressed as the following matrix-vector equation:
M x ¨ + G x ˙ + K x = 0 ,
where x is the displacement vector, M is the mass matrix, G is the gyroscopic matrix, and K is the stiffness matrix. These vectors and matrices are given by
x = { Δ r , Δ ψ , Δ θ } T ,
M = m 1 + m 2 0 0 0 m 1 r ¯ 2 + m 2 r ¯ + L 2 m 2 L r ¯ + L 0 m 2 L r ¯ + L m 2 L 2 ,
G = 0 2 m 1 r ¯ + m 2 r ¯ + L ω c 2 m 2 L ω c 2 m 1 r ¯ + m 2 r ¯ + L ω c 0 0 2 m 2 L ω c 0 0 ,
K = 2 G M m 1 r ¯ 3 + m 2 r ¯ + L 3 m 1 + m 2 ω c 2 0 0 0 0 0 0 0 m 2 L r ¯ ω c 2 G M r ¯ + L 3 .
As seen in Equations (12)–(14), the mass matrix M and stiffness matrix K are symmetric while the gyroscopic matrix G is skew-symmetric.
The natural frequencies can be obtained from the eigenvalue problem of the linearized equations near the equilibrium state. Assuming the solution of Equation (10) as x = X e λ t , where X is the eigenvector and λ is the eigenvalue, the eigenvalue can be computed from
det λ 2 M + λ G + K = 0 .
Using the symbolic manipulation software Mathematica [16], Equation (15) can be expressed as a polynomial in λ . By substituting λ 2 with x , the equation can be rewritten as
x x 2 + a x + b = 0 ,
where
a = G M m 1 2 r ¯ 2 r ¯ + L 2 r ¯ 2 + 2 L r ¯ + L 2 + m 2 2 r ¯ + L 2 r ¯ + L 2 r ¯ 2 + 2 L r ¯ + L 2 + m 1 m 2 8 r ¯ 4 + 16 L r ¯ 3 + 8 L 2 r ¯ 2 L 4 / m 1 + m 2 r ¯ 3 r ¯ + L 3 m 1 r ¯ + m 2 r ¯ + m 2 L ,
b = G 2 M 2 3 r ¯ 2 + 3 L r ¯ + L 2 [ m 1 3 + m 2 3 r ¯ 3 r ¯ + L 3 + m 1 m 2 2 r ¯ + L ( 3 r ¯ 5 + 6 L r ¯ 4 3 L 2 r ¯ 3 8 L 3 r ¯ 2 7 L 4 r ¯ 2 L 5 ) + m 1 2 m 2 r ¯ 3 r ¯ 5 + 9 L r ¯ 4 + 3 L 2 r ¯ 3 7 L 3 r ¯ 2 9 L 4 r ¯ 3 L 5 ] / [ ( m 1 + m 2 ) r ¯ 6 r ¯ + L 6 m 1 r ¯ + m 2 r ¯ + m 2 L 2 ] .
The solutions of Equation (16) are given by
x = 0 ,   x = a ± a 2 4 b / 2 ,
The conditions for x = a ± a 2 4 b / 2 to be negative are as follows:
a > 0 ,   b > 0 ,   a 2 4 b > 0
Since the physical properties and dimensions used in this study satisfy the above conditions, the solutions of Equation (16) consist of zero and two distinct negative real numbers. Given the substitution x = λ 2 , the corresponding solutions for λ are zeros and two purely imaginary complex conjugate pairs. Consequently, the roots of Equation (15) can be expressed as 0 , 0 , ± i ω 1 , and ± i ω 2 . Therefore, the tethered satellite system has three natural frequencies: zero, ω 1 , and ω 2 . When the two satellites have the same mass, i.e., when m 1 = m 2 , the coefficients a and b are reduced to
a = G M 8 r ¯ 2 + 8 L r ¯ + 3 L 2 r ¯ 2 r ¯ + L 2 2 r ¯ + L ,
b = G 2 M 2 2 r ¯ 2 + 2 L r ¯ + L 2 3 r ¯ 2 + 3 L r ¯ + L 2 2 r ¯ 4 + 4 L r ¯ 3 2 L 2 r ¯ 2 4 L 3 r ¯ L 4 r ¯ 6 r ¯ + L 6 2 r ¯ + L 2 .
The natural frequencies of the tethered satellite system due to variations in orbital radius and system parameters were analyzed when the satellite system orbits circularly the Earth. The reference physical properties used in the analysis are G = 6.6743 × 10 11   m 3 / kg   s 2 , M = 5.9722 × 10 24 kg, m 1 = m 2 = 1000 kg, r ¯ = 6600 km, and L = 10 km. Unless otherwise stated, these reference values were used in the analysis.
First, the effect of tether length on the natural frequencies of the satellite system was examined. Remaining all parameters constant except for the tether length, the natural frequencies were computed as the tether length increased from 1 to 100 km, as depicted in Figure 2. In this figure, the red, black, and blue lines represent ω 1 , ω 2 , and ω c , respectively. It is observed that increasing the tether length L results in a decrease in both natural frequencies ω 1 and ω 2 , as well as in the orbital angular velocity ω c . When the masses of the two satellites are equal and constant, and the orbital radius of satellite m 1 is held fixed, an increase in tether length effectively increases the orbital radius of the satellite system. This occurs because the orbital radius of the mass center of the system increases as the tether length increases.
Next, we analyzed the effect of orbital radius on the natural frequencies of the satellite system. Other physical properties, except for the orbital radius, are the same as the above reference values. As mentioned before, the orbital angular velocity is determined by Equation (6) to maintain the circular orbit. When the masses of the two satellites are equal, the orbital angular velocity is given by
ω c = G M 2 r ¯ 2 + 2 L r ¯ + L 2 r ¯ 2 r ¯ + L 2 2 r ¯ + L .
The natural frequencies were analyzed for the variation of the orbital radius r ¯ from 6500 to 50,000 km. Figure 3 presents the natural frequencies for this variation, with Figure 3a,b corresponding to the natural frequencies ω 1 and ω 2 , respectively. The two lines for ω 1 and ω c nearly coincide, appearing as a single line, because ω 1 is closely associated with orbital motion. The eigenvector corresponding to the natural frequency ω 1 is X 1 = Δ r ,   Δ ψ , Δ θ   T = 1 ,   0 ,   0   T . This implies that ω 1 represents the natural frequency associated with variation in the orbital radius. This variation arises from elliptical orbital motion deviating from a circular orbit, with their period determined by the orbital angular velocity. Consequently, ω 1 is strongly linked to the orbital motion. As depicted in the figure, both ω 1 and ω c decrease as the orbital radius increases, reflecting the increase in the orbital period of the satellite with increasing radius. The second natural frequency ω 2 , shown in Figure 3b also decreases with increasing orbital radius and remains greater than ω 1 . At r ¯ = 6600 km, ω 1 is 1.1761 × 10 3 rad/s and ω 2 is 2.0371 × 10 3 rad/s, indicating that ω 2 is 1.732 times greater than ω 1 . Note that ω 2 is related to the libration motion of the tethered satellite system.
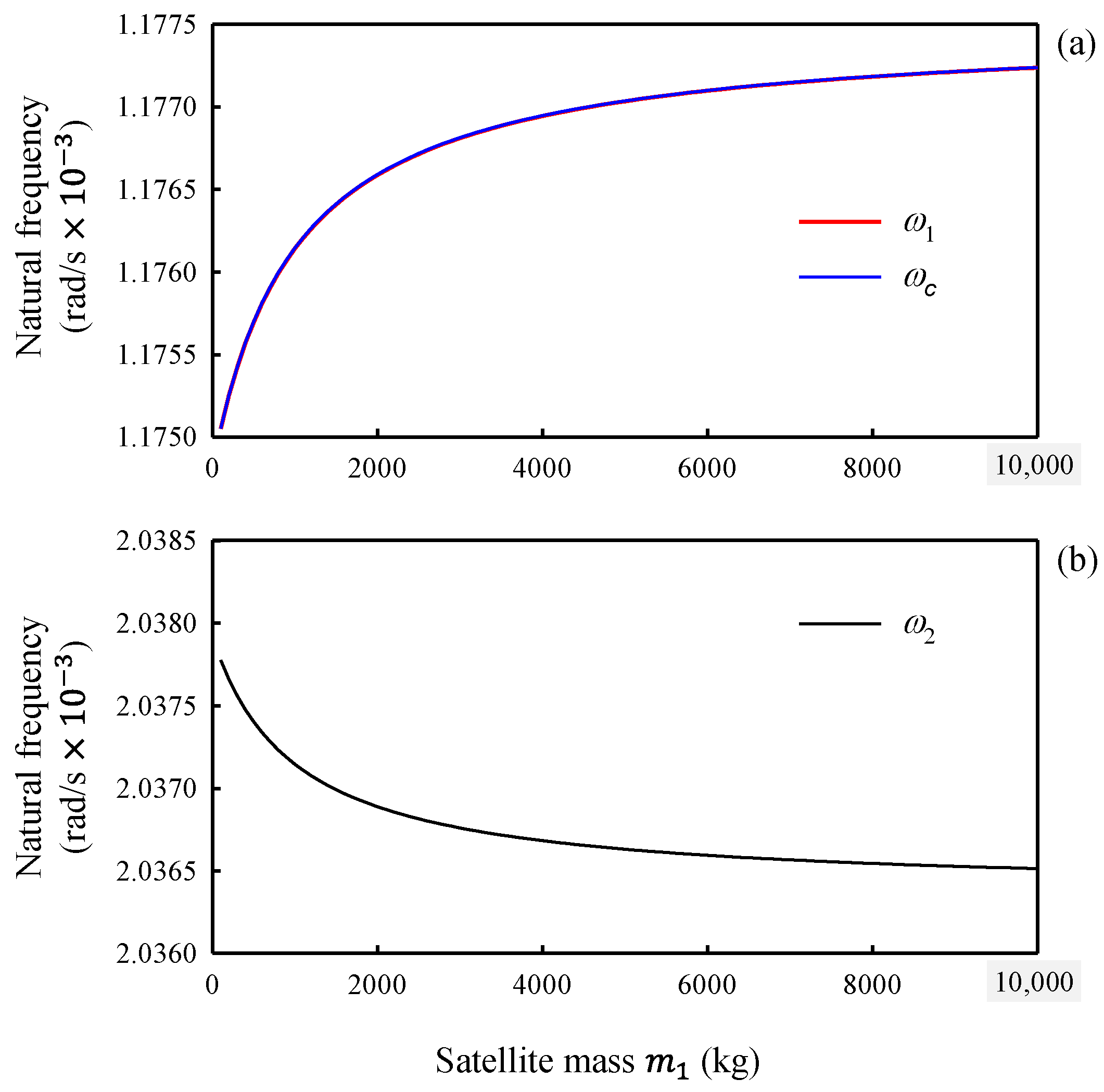
Figure 4 illustrates the variation of the natural frequencies and orbital angular velocity as a function of m 1 , with all other physical parameters fixed at the reference values. Specifically, the mass of satellite m 2 is set to 1000 kg, while the mass m 1 varies from 100 to 10,000 kg. As shown in Figure 4, as m 1 increases, both the first natural frequency ω 1 and the orbital angular velocity ω c increase, whereas the second natural frequency ω 2 decreases. As m 1 increases while keeping m 2 fixed, the mass center of the tethered satellite system moves toward m 1 , reducing the orbital radius of the mass center, which causes ω 1 and ω c to increase. On the other hand, as the mass m 1 close to Earth becomes larger relative to the mass m 2 far from Earth, the system becomes more stable, resulting in a longer libration period and thus a decrease in ω 2 .
In contrast, when other parameters are fixed as the reference values and the mass m 2 of the satellite located farther from Earth is increased, the variations in the first natural frequency ω 1 , the second natural frequency ω 2 , and the orbital angular velocity ω c are shown in Figure 5. As shown in this figure, as m 2 increases, ω 1 and ω c decrease but ω 2 increases. This phenomenon occurs because an increase in m 2 while maintaining m 1 fixed results in an increase in the orbital radius for the mass center of the satellite system. The increase in the orbital radius leads to a decrease in both the first natural frequency and orbital angular velocity, as shown in Figure 5a. However, when the mass m 2 of the satellite farther from Earth is larger than the mass m 1 of the satellite closer to Earth, the satellite system becomes relatively unstable, decreasing the period of libration and causing an increase in the second natural frequency, as depicted in Figure 5b.
Finally, when the masses of the two satellites were equal, we examined the effects of satellite masses on the natural frequencies of the tethered satellite system. When m 1 = m 2 , as observed in Equations (21)–(23), the natural frequencies ω 1 and ω 2 , along with the orbital angular velocity ω c , are independent of the satellite masses. In this case, they are determined by the orbital radius of satellite m 1 and tether length. However, if the satellites have different masses, i.e., if m 1 m 2 , the frequencies are influenced by the masses.
We analyzed the dynamic responses computed by applying the Newmark time integration method [17] to the nonlinear equations given by Equations (1)–(3). The physical properties used for these computations are based on the reference values mentioned above. The dynamic responses for initial libration angles of 1°, 10°, and 30° are displayed in Figure 6a,b,c, respectively. As shown in this figure, the initial values of the libration angle correspond to the amplitude of each dynamic response. It is interesting that as the amplitude of the libration angle increases, the libration period becomes longer. Specifically, as the libration amplitude increases from 1° to 10° and 30°, the libration period extends to approximately 3083.3, 3106.7, and 3307.5 s, respectively. The corresponding libration frequencies are 2.0378 × 10 3 , 2.0225 × 10 3 , and 1.8997 × 10 3 rad/s, respectively. Recalling that the computed natural frequencies are ω 1 = 1.1761 × 10 3 rad/s and ω 2 = 2.0371 × 10 3 rad/s, the libration frequency of 2.0378 × 10 3 rad/s, corresponding to the 1° amplitude case, is very close to the second natural frequency ω 2 . This implies that, for small amplitudes, the tethered satellite system behaves almost linearly. However, as the amplitude increases, the nonlinearity of the satellite system becomes more pronounced, causing the libration frequency to decrease further below the second natural frequency of the linearized system and resulting in a greater deviation from the natural frequency. The growing deviation from the natural frequency means an increasing nonlinearity in the motion of system.

3. Dynamic Responses of the ANCF Model

In contrast to the previous section, this section models the tether as a slender beam to account for both tether deformation and mass. Figure 7 illustrates the tethered satellite system, where two satellites, m 1 and m 2 , are connected by a flexible tether of length L and move within the x y -plane. The position vectors of satellites m 1 and m 2 from the center of Earth are denoted as r 1 and r 2 , respectively. The libration angle θ of the satellite system with a flexible tether is defined as the angle between the line connecting the two satellites and the line from the center of Earth to satellite m 1 . The position vector r of a point on the tether is a function of the arc length coordinate s from satellite m 1 to that point and time t , and is expressed as
r = x s , t ,   y s , t T .
To derive the equations of motion for the tethered satellite system using Lagrange’s equation, it is necessary to compute the kinetic and potential energies of the system. First, the kinetic energy of the satellite system is given by
T = 1 2 m 1 r ˙ 1 · r ˙ 1 + 1 2 m 2 r ˙ 2 · r ˙ 2 + 1 2 ρ A 0 L r ˙ · r ˙ d s ,
where ρ and A are the density and cross-sectional area of the tether, respectively. The first two terms of Equation (25) represent the kinetic energy of satellites m 1 and m 2 , while the last term represents the kinetic energy of the tether. On the other hand, the potential energy of the system can be expressed as
U = G M m 1 r 1 + m 2 r 2 + 0 L ρ A r d s + 1 2 E A 0 L ε 2 d s + 1 2 E I 0 L κ 2 d s ,
where E and I are Young’s modulus and the area moment of inertia of the tether, respectively; ε and κ are the Lagrange strain and curvature of the tether given by
ε = 1 2 d r d s T d r d s 1 ,       κ = d 2 r d s 2 .
The first term of Equation (26) represents the gravitational potential energy of the satellites and tether, while the second and third terms represent the longitudinal and bending strain energies, respectively.
To account for both the orbital motion of the satellite system around Earth and the deformation of the tether, this study employed the ANCF. For detailed derivation of ANCF, see Ahn et al. [18] and Shabana [19]. The model was discretized into N beam elements with the node numbering scheme illustrated in Figure 8. In this figure, the nodes corresponding to satellites m 1 and m 2 are 1 and N + 1 , respectively. The value of the arc length coordinate at node e is denoted as s e , and the values of the coordinates x and y at this node are denoted as x e and y e . The displacement vector r within element e can be expressed as
r s , t = N s d e t   for   s e s s e + 1 ,
where the vector d e and matrix N are defined by
d e = x e ,   y e ,   x / s e , y / s e , x e + 1 ,   y e + 1 ,   x / s e + 1 , y / s e + 1 T ,
N = N 1 0 N 2 0 N 3 0 N 4 0 0 N 1 0 N 2 0 N 3 0 N 4 ,
where
N 1 = 1 / 4 ξ 1 2 ξ + 2 ,                   N 2 = h e / 8 ξ 1 2 ξ + 1 , N 3 = 1 / 4 ξ + 1 2 2 ξ ,                   N 2 = h e / 8 ξ + 1 2 ξ 1 ,
in which
ξ = 2 s s e / h e 1 ,   h e = s e + 1 s e .
After discretizing the tether into N elements, the displacement vector of Equation (28) was substituted into the kinetic energy of Equation (25) and the potential energy of Equation (26). Using these energy expressions, the equations of motion were derived from Lagrange’s equation. The derived discretized equations of motion can be written as
m e d ¨ e + k e d e + q e = 0 ,   for   e = 1 ,   2 ,   ,   N ,
where m e is the element mass matrix, k e is the element stiffness matrix, and q e is the element nonlinear force vector. These matrices and vectors can be represented by
m e = δ e 1 m 1 N T N ξ = 1 + δ e N m 2 N T N ξ = 1 + 1 2 ρ A h e 1 1   N T N d ξ ,
k e = 1 1 2 E I h e N T N E A h e N T N d ξ ,
q e = G M δ e 1 m 1 d e T N T N d e 3 / 2 N T N ξ = 1 + δ e N m 2 d e T N T N d e 3 / 2 N T N ξ = 1 d e + 1 2 ρ h e G M 1 1   d e T N T N d e 3 / 2 N T N d e d ξ + 4 E A h e 3 1 1 d e T N T N d e   N T N d e d ξ .
By assembling the element mass matrix, element stiffness matrix, and element nonlinear force vector, the following global matrix-vector equation was obtained:
M d ¨ + K d + Q = 0 ,
where d is the global displacement vector, M is the global mass matrix, K is the global stiffness matrix, and Q is the global nonlinear force vector. The dynamic responses for the displacements in the x - and y -directions, as well as the change in these displacements with respect to arc length, can be computed by applying a time integration method to Equation (37). Since Equation (37) represents a nonlinear equation of motion, the dynamic responses were obtained using the Newmark method with the Newton–Raphson method.
The dynamic responses for the libration angle and tether deformation can be obtained from the displacements derived from Equation (37). To eliminate the orbital motion from the computed displacements x e and y e , the following coordinate transformation was applied:
x ¯ e y ¯ e = cos ψ sin ψ sin ψ cos ψ x e x 1 y e y 1       for   e = 1 ,   2 ,   ,   N + 1 .
The above coordinate transformation removes the orbital motion of the satellite system from all nodes, leaving only the libration motion centered around satellite m 1 . The libration angle θ can be obtained by
θ = tan 1 y ¯ N + 1 x ¯ N + 1 .
The displacements x = e and y = e , from which both the orbital and libration motions are removed, can be obtained by applying the following coordinate transformation to the displacements of Equation (38):
x = e y = e = cos θ sin θ sin θ cos θ x ¯ e y ¯ e       for   e = 1 ,   2 ,   ,   N + 1 .
Denoting the longitudinal and transverse deformations of the tether at node e by u e and w e , respectively, these deformations at time t are given by
u e t = x = e t x = e 0 ,       w e t = y = e t y = e 0 .
We numerically investigated the dynamic responses of the libration angle as well as the transverse and longitudinal deformations of the tether. The tether was discretized into 100 uniform elements (i.e., N = 100 ) to construct the ANCF model. The dimensions and physical properties of the tethered satellite system used in the numerical analysis are identical to those of the dumbbell model ( m 1 = m 2 = 1000 kg and L = 10 km). However, the density, Young’s modulus, and cross-sectional area of the tether are given by ρ = 1440 kg/m3, E = 131 GPa, A = 3.1416 mm2, and I = 0.7854 mm4, respectively. The initial conditions for the numerical integration used to determine the dynamic responses are as follows: r 1 0 = 6600 km, r 2 0 = 6610 km, θ 0 = 3 ° , ψ 0 = 0 , r ˙ 1 0 = r ˙ 2 0 = 0 , θ ˙ 0 = 0 , and ψ ˙ 0 = 1.176 × 10 3 rad/s. The reference values for the physical properties and dimensions of the satellite system are summarized in Table 1. The initial transverse deformation of the tether was assumed to be zero, while the initial longitudinal deformation was considered stretched, resulting from the combined effects of the gravitational gradient and the centrifugal force difference between the two satellites. The initial longitudinal deformation was calculated based on the tension provided by Equation (42), discussed in Section 4. The tether system was initialized with a libration angle of 3° and an orbital velocity corresponding to a circular orbit. Numerical calculations were performed using the Newmark method with a time step size of 0.002 s. To address the nonlinearity of Equation (37), the Newton–Raphson method was employed at each time step.
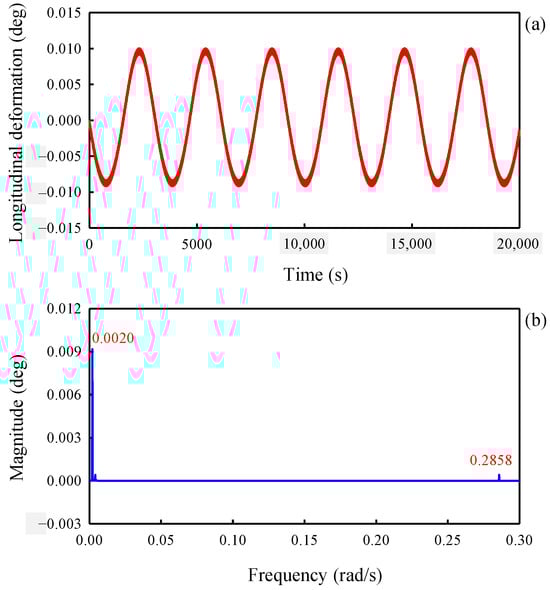
The dynamic response for the libration angle of the satellite system was calculated using Equation (39) and is presented in Figure 9. Figure 9a illustrates the dynamic response, while Figure 9b shows the corresponding frequency spectrum derived from the dynamic response in Figure 9a. The red number in Figure 9b identifies the frequency at the peak of the spectrum. As expected, the libration angle exhibits harmonic motion, as shown in Figure 9a, with a peak frequency of 0.0020 rad/s, as depicted in Figure 9b. This value closely matches the second natural frequency of the dumbbell model, ω 2 = 2.0371 × 10 3 rad/s.
The dynamic responses of transverse and longitudinal deformations at node 31 of the ANCF model are presented in Figure 10 and Figure 11, respectively. The tether, with a total length of 10 km, was discretized into 100 elements, making node 31 correspond to a point 3 km away from satellite m 1 in the direction of satellite m 2 . As shown in Figure 10b, the dominant peak frequencies in the dynamic response for the transverse deformation of the tether are 0.0020 and 0.0215 rad/s. The frequency of 0.0020 rad/s corresponds to the libration frequency of the satellite system, while the frequency of 0.0215 rad/s is expected to represent the natural frequency of transverse vibration of the tether.
Meanwhile, Figure 11b illustrates that the prominent peak frequencies in the time response for the longitudinal deformation are 0.0020 and 0.2858 rad/s. Similar to the transverse case, the frequency of 0.0020 rad/s is associated with the libration motion, and the frequency of 0.2858 rad/s is presumed to correspond to the natural frequency of longitudinal vibration of the tether.

4. Natural Frequencies of a Tensioned Beam Model

It is valuable to investigate the natural frequencies of the flexible tether when the satellite system moves in a circular orbit. Figure 12 shows a tensioned beam model for the tethered satellite system. The tether is subjected to tension due to the gravitational gradients and centrifugal force difference between the two satellites. By applying Newton’s second law to an infinitesimal element d x , as shown in Figure 12a, the tensile stress σ as a function of x can be represented by
σ x = G M ρ x + r 1 1 2 ρ ω c 2 x + r 1 2 + C ,
where ω c is the angular velocity of the tethered satellite system in a circular orbit around Earth, and C is an integration constant. To determine ω c and C , the application of Newton’s second law to each satellite m 1 and m 2 yields the following two boundary conditions:
σ 0 = G M m 1 A r 1 2 m 1 r 1 ω c 2 A ,
σ L = G M m 2 A r 1 + L 2 + m 2 r 1 + L ω c 2 A .
By applying Equations (43) and (44) to Equation (42), the unknowns ω c and C can be determined as
ω c = G M m 1 / r 1 2 + m 2 / r 1 + L 2 + ρ A L / r 1 r 1 + L m 1 r 1 + m 2 r 1 + L + ρ A L / r 1 + L / 2 ,
C = C n / C d ,
where
C n = 2 G M m 1 m 2 L r 1 2 + r 1 r 1 + L + r 1 + L 2 + G M ρ A m 1 r 1 + L 2 r 1 3 + r 1 + L 3 + m 2 r 1 r 1 3 + 2 r 1 + L 3 + G M ρ 2 A 2 r 1 r 1 + L r 1 + L 3 r 1 3 ,
C d = 2 A r 1 2 r 1 + L 2 m 1 r 1 + m 2 r 1 + L + ρ A L r 1 + L / 2 .
Note that Equation (45) reduces to Equation (6), which represents the angular velocity of the dumbbell model, when the mass of the tether is neglected (i.e., when ρ = 0 ).
It is necessary to determine the average value of the tensile stress σ , which is a function of position x as indicated in Equation (42). To derive the natural frequencies for both transverse and longitudinal vibrations of the tether, it must be modeled as a linearized tensioned beam. This linearized model necessitates the use of the average stress over the entire length of the tether, rather than the position-dependent stress. By integrating Equation (42) with respect to x over the tether length L and dividing the result by L , the average stress can be expressed as
σ ¯ = G M ρ L ln r 1 r 1 + L ρ ω c 2 r 1 + L 3 r 1 3 6 L + C ,
As is well known, the equations of motion for the transverse and longitudinal vibrations of a tether modeled as a tensioned beam are given by [20]
ρ A 2 w t 2 + E I 4 w x 4 σ ¯ A 2 w x 2 = 0 ,
ρ A 2 u t 2 E A 2 u x 2 = 0 .
The boundary conditions at the ends of the tether, where the satellites m 1 and m 2 are attached, are given by
E I 2 w x 2 = 0 ,       E I 3 w x 3 σ ¯ A 2   w x 2 = m 1 2 w t 2 ,       E A u x = m 1 2 u t 2       at   x = 0 ,
E I 2 w x 2 = 0 ,   E I 3 w x 3 + σ ¯ A 2   w x 2 = m 2 2 w t 2 ,     E A u x = m 2 2 u t 2       at   x = L ,
The eigenvalue problem was derived using the linear equations of motion presented in Equations (50) and (51) and the boundary conditions in Equations (52) and (53). This study adopted the eigenvalue problem derivation procedure proposed by Bokaian [21] and Liu and Ertekin [20]. Using the reference values listed in Table 1, the first four lowest natural frequencies for the transverse and longitudinal vibrations of the tether connecting the two satellites were calculated and are presented in Table 2. The first natural frequencies of the transverse and longitudinal motions, 0.0216 and 0.2858 rad/s, respectively, closely match the peak frequencies of 0.0215 and 0.2858 rad/s observed in Figure 10b and Figure 11b. This agreement confirms the validity and applicability of the eigenvalue problem derived in this study.
It is both insightful and valuable to investigate the effects of system parameter variations on the transverse and longitudinal natural frequencies of the tether. First, we examined the impact of tether length variation on these natural frequencies. The natural frequencies were computed using the physical properties and dimensions listed in Table 1, with tether length being the only variable parameter. When varying the tether length from 1 to 100 km, the average tension and the transverse and longitudinal natural frequencies are plotted as solid lines in Figure 13a,b,c, respectively. The natural frequencies were calculated through the eigenvalue problem (EVP) described above.
As the tether length increases, the gravitational gradient and the difference in centrifugal forces acting on the two satellites also increase, resulting in a rise in the average tension, as shown in Figure 13a. The transverse natural frequency, however, is more significantly influenced by the tether length than by the tension. Consequently, the transverse natural frequency decreases with increasing tether length, as illustrated in Figure 13b. In contrast, as indicated by Equation (50), the longitudinal natural frequencies are independent of the tension but are affected by the effective axial stiffness of the tether. With longer tether lengths, this stiffness decreases, leading to a reduction in longitudinal natural frequencies, as shown in Figure 13c.
Furthermore, for tether lengths of 10, 30, 50, 70, and 90 km, the main peak frequencies in the frequency spectrum were obtained by applying the Fourier transform on the dynamic responses of the transverse and longitudinal displacements computed using the ANCF model. These peak frequencies, marked as blue squares in Figure 13b,c, show good agreement with the solid red lines. This consistency demonstrates that the natural frequencies determined using the proposed method can accurately predict the main frequency components of the dynamic responses of satellite system without necessitating the complex computations associated with the ANCF model.
Next, the effect of orbital radius on the transverse and longitudinal natural frequencies of the tether was analyzed. All physical properties and dimensions, except for the orbital radius of satellite m 1 , were assigned the same values as those listed in Table 1. The natural frequencies were investigated by varying the orbital radius from 6500 km to 50,000 km. The tension, transverse natural frequencies, and longitudinal natural frequencies are plotted in Figure 14a,b,c, respectively.
As in the previous analysis, Figure 14b,c demonstrates that the natural frequencies obtained from the eigenvalue problem are in close agreement with the peak frequencies of the frequency spectrum computed using the ANCF model. The results in Figure 14 indicate that as the orbital radius increases, both the tension and transverse natural frequency decrease, while the longitudinal natural frequency remains constant.
Figure 14a shows that the average tension decreases with increasing orbital radius, which in turn reduces the transverse natural frequency, as illustrated in Figure 14b. On the other hand, the longitudinal vibrations of the tether are independent of tension and are primarily influenced by the masses of the two satellites. Since the satellite masses remain constant, the longitudinal natural frequency is unaffected by changes in orbital radius and maintains a constant value, as shown in Figure 14c.
The effect of simultaneously increasing the masses of satellites m 1 and m 2 from 100 to 10,000 kg on the transverse and longitudinal natural frequencies of the tether was investigated. All material properties and dimensions, except for the masses of m 1 and m 2 , were maintained as the values listed in Table 1. It is observed in Figure 15 that the natural frequencies obtained from the eigenvalue problem closely match the peak frequencies of the frequency spectrum derived from the dynamic response computed with the ANCF model.
As the masses of m 1 and m 2 increase, the gravitational gradient and the difference in centrifugal forces grow, resulting in an increase in the average tension of the tether (Figure 15a). This increase in tension leads to a rise in the transverse natural frequency (Figure 15b). However, since the longitudinal vibrations are independent of tension and are influenced by the masses at both ends of the tether, the longitudinal natural frequency decreases as the masses increase, as shown in Figure 15c.
Finally, with all material properties and dimensions fixed as given in Table 1, the effect of increasing only one satellite mass, either m 1 or m 2 , from 100 to 10,000 kg on the natural frequencies of the tether was examined. As shown in Figure 16a and Figure 17a, when one satellite mass is fixed and the other is increased, the average tension increases by nearly the same amount regardless of whether the mass m 1 or m 2 increases. The reason why the tension appears almost identical in both figures can be explained as follows. By neglecting the mass of the tether and replacing r 1 + L with r 2 , the average tension, according to Equation (49), can be expressed as
σ ¯ A = C A = G M m 1 m 2 r 2 r 1 r 1 2 + r 1 r 2 + r 2 2 r 1 2 r 2 2 m 1 r 1 + m 2 r 2 .
Since the difference between r 1 = 6600 km and r 2 = 6610 km is small, swapping the masses m 1 and m 2 in the equation does not result in a significant change in the average tension. Therefore, the difference in the tensions shown in Figure 16a and Figure 17a is negligible. In both cases—when m 2 is fixed and m 1 is varied (Figure 16) and when m 1 is fixed and m 2 is varied (Figure 17)—the tensions are nearly identical. Consequently, the changes in the natural frequencies are also almost identical in both scenarios. As previously discussed, an increase in tension leads to an increase in the transverse natural frequency of the tether (Figure 16b and Figure 17b). Conversely, an increase in satellite mass results in a decrease in the longitudinal natural frequency, as shown in Figure 16c and Figure 17c.

5. Conclusions

In this study, we investigated the natural frequencies of tethered satellite systems, focusing on both the rigid-body motion of the satellites and the deformation of the tether. To evaluate the natural frequencies of rigid-body motion, a dumbbell model of the tethered satellite system was developed, and the nonlinear equations of motion were derived using Lagrange’s equations. These nonlinear equations were linearized near the equilibrium configuration through the application of the perturbation method, resulting in an eigenvalue problem. From the eigenvalue problem, the natural frequencies associated with orbital and libration motions were determined, and the effects of key system parameters—including tether length, orbital radius, and satellite masses—on these frequencies were systematically analyzed.
To assess the dynamic response arising from tether deformation, an ANCF model of the tethered satellite system was constructed. The Newmark time integration method was employed to compute dynamic responses, and the dominant frequency components were identified through frequency spectrum analysis. Additionally, considering the influence of gravitational gradient and centrifugal forces, the tether was modeled as a tensioned beam with masses at its ends. An eigenvalue problem was formulated for this configuration, enabling the analytical calculation of natural frequencies without relying on the computational complexity of the ANCF-based approach.
The results demonstrated that the analytically derived natural frequencies closely matched the dominant frequency components obtained from the dynamic responses computed using the ANCF model. Furthermore, the effects of system parameters on the natural frequencies for the transverse and longitudinal vibrations of the tether were thoroughly examined.
The key findings derived from this study are summarized as follows:
(1)
The first natural frequency obtained from the eigenvalue analysis of the dumbbell model corresponds closely to the orbital angular velocity of the satellite system, while the second natural frequency represents the libration frequency.
(2)
The first natural frequency, associated with the orbital angular velocity, decreases as the tether length, orbital radius, or the mass of the satellite farther from Earth increases, but it increases with the mass of the satellite closer to Earth.
(3)
The second natural frequency, representing the libration frequency, decreases with increasing tether length, orbital radius, or the mass of the satellite closer to Earth, but increases with the mass of the satellite farther from Earth.
(4)
In the dynamic response for the transverse motion of the tether, the dominant frequency components are the transverse natural frequency and the libration frequency.
(5)
In the dynamic response for the longitudinal motion of the tether, the dominant frequency components are the longitudinal natural frequency and the libration frequency.
(6)
The transverse natural frequency of the tether decreases with increasing tether length or orbital radius but increases with the satellite masses.
(7)
The longitudinal natural frequency of the tether is independent of the orbital radius but decreases with increasing tether length or satellite masses.

Author Contributions

Conceptualization, J.C.; methodology, Y.Y. and W.J.; software, Y.Y. and W.J.; validation, Y.Y. and W.J.; formal analysis, J.C. and W.J.; investigation, Y.Y. and W.J.; resources, Y.Y. and W.J.; data curation, Y.Y.; writing—original draft preparation, Y.Y.; writing—review and editing, W.J. and J.C.; visualization, Y.Y.; supervision, J.C.; project administration, J.C.; funding acquisition, J.C. All authors have read and agreed to the published version of the manuscript.

Funding

This work was supported by a grant from the National Research Foundation of Korea (NRF), funded by the Korean Government (MEST) (NRF-2021R1A2C2007979).

Institutional Review Board Statement

Not applicable.

Informed Consent Statement

Not applicable.

Data Availability Statement

The original contributions presented in this study are included in the article. Further inquiries can be directed to the corresponding author.

Conflicts of Interest

The authors declare no conflicts of interest.

References

  1. Chen, S.; Xuan, M.; Xin, J.; Liu, Y.; Gu, S.; Li, J.; Zhang, L. Design and experiment of dual micro-vibration isolation system for optical satellite flywheel. Int. J. Mech. Sci. 2020, 179, 105592. [Google Scholar] [CrossRef]
  2. Meng, D.; Lu, W.; Xu, W.; She, Y.; Wang, X.; Liang, B.; Yuan, B. Vibration suppression control of free-floating space robots with flexible appendages for autonomous target capturing. Acta Astronaut. 2018, 151, 904–918. [Google Scholar] [CrossRef]
  3. Fakoor, M.; Mohammad Zadeh, P.; Momeni Eskandari, H. Developing an optimal layout design of a satellite system by considering natural frequency and attitude control constraints. Aerosp. Sci. Technol. 2017, 71, 172–188. [Google Scholar] [CrossRef]
  4. Guo, J.S.; Zhang, J.Y.; Feng, Y.F.; Wang, F.; Li, C.Y. Lightweight implementation of natural vibration frequency adjustment of satellite structures by varying the structural stiffness. Aerosp. Sci. Technol. 2021, 118, 107061. [Google Scholar] [CrossRef]
  5. Okuyama, K.I.; Yoshikawa, K.; Oue, C. A simple method for identifying the natural frequency of a micro satellite with a primary structure made of aluminum alloy. Aerospace 2024, 11, 436. [Google Scholar] [CrossRef]
  6. Ishimura, K.; Higuchi, K. Coupling among pitch motion, axial vibration, and orbital motion of large space structures. J. Aerosp. Eng. 2008, 21, 61–71. [Google Scholar] [CrossRef]
  7. Zahariev, E.; Delchev, K.; Karastanev, S. Suppression of deviations and vibrations of tethered satellite. Mech. Based Des. Struct. Mach. 2006, 34, 389–408. [Google Scholar] [CrossRef]
  8. Sheng, G.; Sun, J.; Jin, D. Longitudinal vibrations and their suppression of a tethered satellite system using friction self-excitation mechanism. J. Vib. Control 2024, 1–13. [Google Scholar] [CrossRef]
  9. Dignath, F.; Schiehlen, W. Control of the vibrations of a tethered satellite system. J. Appl. Math. Mech. 2000, 64, 715–722. [Google Scholar] [CrossRef]
  10. Bergamaschi, S.; Zanetti, P.; Zottarel, C. Nonlinear vibrations in the tethered satellite system-mission 1. J. Guid. Control Dyn. 1996, 19, 289–296. [Google Scholar] [CrossRef]
  11. Wei, Y.; Li, Q.; Xu, F. Orbit-attitude-vibration coupled dynamics of tethered solar power satellite. Adv. Space Res. 2021, 67, 393–400. [Google Scholar] [CrossRef]
  12. Shan, M.; Shi, L. Comparison of tethered post-capture system models for space debris removal. Aerospace 2022, 9, 33. [Google Scholar] [CrossRef]
  13. Pasca, M.; Pignataro, M.; Luongo, A. 3-Dimensional vibrations of tethered satellite systems. J. Guid. Control Dyn. 1991, 14, 312–320. [Google Scholar] [CrossRef]
  14. Yoon, J.Y.; Song, W.K.; Park, N.C. Experiment and analysis of a space tether with pendulum-type elastic metamaterials. Int. J. Mech. Sci. 2020, 177, 105557. [Google Scholar] [CrossRef]
  15. Jung, W.; Mazzoleni, A.P.; Chung, J. Dynamic analysis of a tethered satellite system with a moving mass. Nonlinear Dyn. 2014, 75, 267–281. [Google Scholar] [CrossRef]
  16. Wolfram Research, Inc. Mathematica; Version 10.0; Wolfram Research, Inc.: Champaign, IL, USA, 2014. [Google Scholar]
  17. Newmark, N.M. A method of computation for structural dynamics. J. Eng. Mech. Div. 1959, 85, 67–94. [Google Scholar] [CrossRef]
  18. Ahn, Y.; Jang, W.; Lee, J.; Chung, J. Dynamic analysis of tethered satellites with a payload moving along a flexible tether. Appl. Sci. 2024, 14, 9498. [Google Scholar] [CrossRef]
  19. Shabana, A.A. Dynamics of Multibody Systems, 4th ed.; Cambridge University Press: Cambridge, UK, 2020. [Google Scholar]
  20. Liu, X.Q.; Ertekin, R.C. Vibration of a free-free beam under tensile axial loads. J. Sound Vib. 1996, 190, 273–282. [Google Scholar] [CrossRef]
  21. Bokaian, A. Natural frequencies of beams under tensile axial loads. J. Sound Vib. 1990, 142, 481–498. [Google Scholar] [CrossRef]
Figure 1. Dumbbell model of tethered satellites.
Figure 1. Dumbbell model of tethered satellites.
Applsci 15 02180 g001
Figure 2. Natural frequencies of the dumbbell model for the variation of the tether length, L : (a) first natural frequency and (b) second natural frequency.
Figure 2. Natural frequencies of the dumbbell model for the variation of the tether length, L : (a) first natural frequency and (b) second natural frequency.
Applsci 15 02180 g002
Figure 3. Natural frequencies of the dumbbell model for the variation of the orbital radius r ¯ : (a) first natural frequency and (b) second natural frequency.
Figure 3. Natural frequencies of the dumbbell model for the variation of the orbital radius r ¯ : (a) first natural frequency and (b) second natural frequency.
Applsci 15 02180 g003
Figure 4. Natural frequencies of the dumbbell model for the variation of the satellite mass, m 1 : (a) first natural frequency and (b) second natural frequency.
Figure 4. Natural frequencies of the dumbbell model for the variation of the satellite mass, m 1 : (a) first natural frequency and (b) second natural frequency.
Applsci 15 02180 g004
Figure 5. Natural frequencies of the dumbbell model for the variation of the satellite mass, m 2 : (a) first natural frequency and (b) second natural frequency.
Figure 5. Natural frequencies of the dumbbell model for the variation of the satellite mass, m 2 : (a) first natural frequency and (b) second natural frequency.
Applsci 15 02180 g005
Figure 6. Dynamic responses of the libration angle θ for the dumbbell model for different initial libration angles: (a) θ 0 = 1 ° , (b) θ 0 = 10 ° , and (c) θ 0 = 30 ° .
Figure 6. Dynamic responses of the libration angle θ for the dumbbell model for different initial libration angles: (a) θ 0 = 1 ° , (b) θ 0 = 10 ° , and (c) θ 0 = 30 ° .
Applsci 15 02180 g006
Figure 7. Satellites connected by a flexible tether.
Figure 7. Satellites connected by a flexible tether.
Applsci 15 02180 g007
Figure 8. Discretized ANCF model of the tethered satellite system.
Figure 8. Discretized ANCF model of the tethered satellite system.
Applsci 15 02180 g008
Figure 9. Dynamic response of the libration angle: (a) dynamic response and (b) frequency spectrum.
Figure 9. Dynamic response of the libration angle: (a) dynamic response and (b) frequency spectrum.
Applsci 15 02180 g009
Figure 10. Dynamic response of the transverse deformation of the tether at node 31: (a) time response and (b) frequency spectrum.
Figure 10. Dynamic response of the transverse deformation of the tether at node 31: (a) time response and (b) frequency spectrum.
Applsci 15 02180 g010
Figure 11. Dynamic response of the longitudinal deformation of the tether at node 31: (a) time response and (b) frequency spectrum.
Figure 11. Dynamic response of the longitudinal deformation of the tether at node 31: (a) time response and (b) frequency spectrum.
Applsci 15 02180 g011
Figure 12. Tethered satellite system in a circular orbit around Earth: (a) schematic diagram for calculating tensile stress and (b) transverse and longitudinal deformations of the tether.
Figure 12. Tethered satellite system in a circular orbit around Earth: (a) schematic diagram for calculating tensile stress and (b) transverse and longitudinal deformations of the tether.
Applsci 15 02180 g012
Figure 13. First natural frequencies of the tethered satellite system for the variation of the tether length: (a) average tension of the tether, (b) natural frequency of the transverse motion, and (c) natural frequency of the longitudinal motion.
Figure 13. First natural frequencies of the tethered satellite system for the variation of the tether length: (a) average tension of the tether, (b) natural frequency of the transverse motion, and (c) natural frequency of the longitudinal motion.
Applsci 15 02180 g013
Figure 14. First natural frequencies of the tethered satellite system for the variation of the orbital radius of m 1 : (a) average tension of the tether, (b) natural frequency of the transverse motion, and (c) natural frequency of the longitudinal motion.
Figure 14. First natural frequencies of the tethered satellite system for the variation of the orbital radius of m 1 : (a) average tension of the tether, (b) natural frequency of the transverse motion, and (c) natural frequency of the longitudinal motion.
Applsci 15 02180 g014
Figure 15. First natural frequencies of the tethered satellite system for the variation of the total mass of m 1 and m 2 : (a) average tension of the tether, (b) natural frequency of the transverse motion, and (c) natural frequency of the longitudinal motion.
Figure 15. First natural frequencies of the tethered satellite system for the variation of the total mass of m 1 and m 2 : (a) average tension of the tether, (b) natural frequency of the transverse motion, and (c) natural frequency of the longitudinal motion.
Applsci 15 02180 g015
Figure 16. First natural frequencies of the tethered satellite system for the variation of the satellite mass m 1 : (a) average tension of the tether, (b) natural frequency of the transverse motion, and (c) natural frequency of the longitudinal motion.
Figure 16. First natural frequencies of the tethered satellite system for the variation of the satellite mass m 1 : (a) average tension of the tether, (b) natural frequency of the transverse motion, and (c) natural frequency of the longitudinal motion.
Applsci 15 02180 g016
Figure 17. First natural frequencies of the tethered satellite system for the variation of the satellite mass m 2 : (a) average tension of the tether, (b) natural frequency of the transverse motion, and (c) natural frequency of the longitudinal motion.
Figure 17. First natural frequencies of the tethered satellite system for the variation of the satellite mass m 2 : (a) average tension of the tether, (b) natural frequency of the transverse motion, and (c) natural frequency of the longitudinal motion.
Applsci 15 02180 g017
Table 1. Reference values for the physical properties and dimensions of the satellite system.
Table 1. Reference values for the physical properties and dimensions of the satellite system.
SymbolsValues
Masses   of   satellites   m 1   and   m 2 m 1 ,   m 2 1000 kg
Length of tether L 10 km
Mass density of tether ρ 1440 kg/m3
Young’s modulus of tether E 131 GPa
Cross-sectional area of tether A 3.1416 mm2
Area moment of inertia I 0.7854 mm4
Initial orbital radius of m 1 r 1 0 6600 km
Initial orbital radius of m 2 r 2 0 6610 km
Table 2. Natural frequencies of the tether of the satellite system.
Table 2. Natural frequencies of the tether of the satellite system.
ModeTransverse Natural Frequency (Rad/s)Longitudinal Natural Frequency (Rad/s)
1st0.02160.2858
2nd0.04283.0237 rad/s
3rd0.06416.0066 rad/s
4th0.08558.9984 rad/s
Disclaimer/Publisher’s Note: The statements, opinions and data contained in all publications are solely those of the individual author(s) and contributor(s) and not of MDPI and/or the editor(s). MDPI and/or the editor(s) disclaim responsibility for any injury to people or property resulting from any ideas, methods, instructions or products referred to in the content.

Share and Cite

MDPI and ACS Style

Yoon, Y.; Jang, W.; Chung, J. Natural Frequencies of a Tethered Satellite System. Appl. Sci. 2025, 15, 2180. https://doi.org/10.3390/app15042180

AMA Style

Yoon Y, Jang W, Chung J. Natural Frequencies of a Tethered Satellite System. Applied Sciences. 2025; 15(4):2180. https://doi.org/10.3390/app15042180

Chicago/Turabian Style

Yoon, Yihun, Woojae Jang, and Jintai Chung. 2025. "Natural Frequencies of a Tethered Satellite System" Applied Sciences 15, no. 4: 2180. https://doi.org/10.3390/app15042180

APA Style

Yoon, Y., Jang, W., & Chung, J. (2025). Natural Frequencies of a Tethered Satellite System. Applied Sciences, 15(4), 2180. https://doi.org/10.3390/app15042180

Note that from the first issue of 2016, this journal uses article numbers instead of page numbers. See further details here.

Article Metrics

Back to TopTop