Sign in to use this feature.

Years

Between: -

Subjects

remove_circle_outline
remove_circle_outline
remove_circle_outline
remove_circle_outline
remove_circle_outline
remove_circle_outline
remove_circle_outline
remove_circle_outline
remove_circle_outline

Journals

remove_circle_outline
remove_circle_outline
remove_circle_outline
remove_circle_outline
remove_circle_outline
remove_circle_outline

Article Types

Countries / Regions

remove_circle_outline
remove_circle_outline
remove_circle_outline
remove_circle_outline

Search Results (176)

Search Parameters:
Keywords = localisation and mapping

Order results
Result details
Results per page
Select all
Export citation of selected articles as:
27 pages, 4837 KB  
Review
Future Perspectives: Mass Spectrometry for Spatial Localisation of Anti-Angiogenic Oil Palm Compounds
by Fatimah Zachariah Ali, Norfazlina Mohd Nawi, Wijenthiran Kunasekaran, Tan Li Jin, Lee Siew Ee and Nazia Abdul Majid
Int. J. Mol. Sci. 2026, 27(8), 3351; https://doi.org/10.3390/ijms27083351 - 8 Apr 2026
Viewed by 122
Abstract
Angiogenesis is a spatially regulated hallmark of colorectal cancer (CRC) progression, yet current analytical frameworks fail to resolve how nutraceutical bioactive compounds interact with angiogenic signalling within the heterogeneous tumour microenvironment. This review advances a central hypothesis: that the spatial localisation of palm [...] Read more.
Angiogenesis is a spatially regulated hallmark of colorectal cancer (CRC) progression, yet current analytical frameworks fail to resolve how nutraceutical bioactive compounds interact with angiogenic signalling within the heterogeneous tumour microenvironment. This review advances a central hypothesis: that the spatial localisation of palm oil mill effluent (POME)-derived bioactive compounds within CRC tumour tissues is predictive of their functional anti-angiogenic activity. POME—the largest waste stream of palm oil processing—contains a chemically diverse array of bioactives, including tocotrienols, phenolics, carotenoids, and fatty acids, with reported antioxidant, anti-inflammatory, and anti-angiogenic properties. However, the existing evidence is predominantly derived from bulk in vitro analyses, limiting mechanistic conclusions about compound behaviour within spatially organised tumour architectures. To address this gap, we propose an integrated framework positioning mass spectrometry imaging (MSI)—across matrix-assisted laser desorption/ionisation (MALDI), desorption electrospray ionisation (DESI), and secondary ion mass spectrometry (SIMS) platforms—as the analytical bridge between compound localisation and angiogenic function. By enabling the label-free, spatially resolved co-localisation of POME-derived compounds with key angiogenic mediators, including VEGF, HIF-1α, and NF-κB, within intact CRC tissues, MSI provides a mechanistic platform that transcends the limitations of conventional molecular analyses. A four-component translational roadmap is outlined, encompassing POME bioactive profiling, spatial compound mapping, angiogenic co-localisation analysis, and functional validation. Critically, the existing evidence on oil palm-derived bioactives is appraised with respect to study quality, mechanistic depth, and translational limitations, identifying the most analytically tractable candidate compounds for spatial investigation. Collectively, this framework positions POME valorisation within a precision nutraceutical oncology paradigm, offering a spatially informed strategy for anti-angiogenic intervention in CRC while simultaneously addressing the environmental burden of palm oil processing waste. Full article
(This article belongs to the Section Bioactives and Nutraceuticals)
Show Figures

Figure 1

23 pages, 3243 KB  
Article
Magnetic Drug Targeting Under Pulsatile Flow: A Safety-Constrained Framework for Deposition and Retention Stability
by Sandor I. Bernad and Elena S. Bernad
Magnetochemistry 2026, 12(4), 40; https://doi.org/10.3390/magnetochemistry12040040 - 1 Apr 2026
Viewed by 257
Abstract
Magnetic drug targeting (MDT) is commonly evaluated by peak accumulation at the target site. Under pulsatile flow, however, initial deposition does not predict sustained localisation. We introduce the Magnetic Targeting Optimisation Concept (M-TOC), a safety-constrained framework that restructures MDT evaluation by separating geometric [...] Read more.
Magnetic drug targeting (MDT) is commonly evaluated by peak accumulation at the target site. Under pulsatile flow, however, initial deposition does not predict sustained localisation. We introduce the Magnetic Targeting Optimisation Concept (M-TOC), a safety-constrained framework that restructures MDT evaluation by separating geometric deposition from retention stability and embedding both within a defined hemodynamic safety window. Deposition (D) was quantified by using obstruction degree at the injection end, OD(T0), and restricted by a structural admissibility limit (OD_max = 40%). Retention stability (R) was quantified using early washout at T0 + 30 s and an apparent half-life (τ1/2) derived from coverage decay under controlled pulsatile washout. These descriptors were integrated into a Unified Targeting Score (UTS), applied only within the admissible domain, thereby enforcing feasibility before optimisation. Three PEG-functionalised magnetoresponsive nanocluster formulations were evaluated under identical magnetic and flow conditions. D–R mapping identified distinct operating regimes and showed that no tested configuration simultaneously achieved admissible deposition and robust pulsatile stability. By formalising MDT as a constrained multi-objective problem, M-TOC provides an objective method for regime discrimination and a transferable design principle for stability-guided targeting under physiological flow. Full article
(This article belongs to the Special Issue 10th Anniversary of Magnetochemistry: Past, Present and Future)
Show Figures

Figure 1

24 pages, 3495 KB  
Article
Hollow Auxetic Polymer Structures with Manufacturing-Constrained Design and Mechanical Validation
by Finlay Bridge, Rakan Albarakati, Hany Hassanin and Khamis Essa
Polymers 2026, 18(7), 828; https://doi.org/10.3390/polym18070828 - 28 Mar 2026
Viewed by 460
Abstract
Hollow auxetic structures enable lightweight mechanical design by reducing mass while preserving architected deformation. However, hollow auxetic studies focus on LPBF metals. This study presents a manufacturing-constrained design and validation framework for a hollow hybrid re-entrant chiral lattice produced by stereolithography. The unit [...] Read more.
Hollow auxetic structures enable lightweight mechanical design by reducing mass while preserving architected deformation. However, hollow auxetic studies focus on LPBF metals. This study presents a manufacturing-constrained design and validation framework for a hollow hybrid re-entrant chiral lattice produced by stereolithography. The unit cell was parameterised by chiral angle, re-entrant strut length, and hollow internal diameter, with drainage features integrated into the CAD model to preserve hollow channels during printing and post-processing. A minimum internal diameter study defined the printable design window. Within these limits, a central composite design coupled with finite element analysis mapped the response surface and identified an optimised geometry of θ = 15°, L = 3.5 mm, and d = 1.68 mm, with a predicted unit-cell negative Poisson’s ratio of about −1.17. Compression testing confirmed that the printed unit cell and 3 × 3 × 3 lattice retained the intended rotation-dominated auxetic deformation mode. At the selected comparison strain, the unit cell showed a negative Poisson’s ratio of −0.68 and the 3 × 3 × 3 lattice showed −0.29. Relative to the solid lattice, the hollow lattice reduced density by 42.4% with only a 3.0% reduction in stiffness, increasing specific stiffness by 68.9% and specific peak strength by 5.2%, but reducing specific energy absorption by 25.6% due to earlier localisation and junction driven fracture. These results provide practical design guidance for manufacturable hollow SLA auxetic lattices, especially for lightweight and stiffness-limited applications where low mass and high specific stiffness are more important than energy absorption. Full article
(This article belongs to the Section Polymer Processing and Engineering)
Show Figures

Graphical abstract

24 pages, 17497 KB  
Article
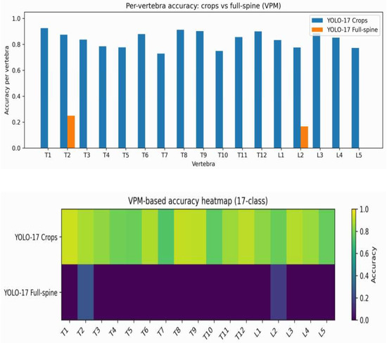
Vertebra-Level Completeness Analysis in Thoracolumbar Ultrasound Using a YOLO-Based Detection Framework
by Sumartini Dana, Chen Zhang, Yongping Zheng and Sai Ho Ling
Sensors 2026, 26(7), 2101; https://doi.org/10.3390/s26072101 - 27 Mar 2026
Viewed by 435
Abstract
Ultrasound enables radiation-free longitudinal monitoring of scoliosis, but rib shadowing and speckle noise often obscure vertebral structures. Current deep-learning methods present results in terms of localisation accuracy, without directly measuring anatomical completeness. We introduce a vertebra-level completeness model that includes a YOLO-based detection [...] Read more.
Ultrasound enables radiation-free longitudinal monitoring of scoliosis, but rib shadowing and speckle noise often obscure vertebral structures. Current deep-learning methods present results in terms of localisation accuracy, without directly measuring anatomical completeness. We introduce a vertebra-level completeness model that includes a YOLO-based detection framework and an explicit representation of completeness, the Vertebra Presence Matrix (VPM). The VPM provides visibility into detections across 17 ordinal vertebral levels (T1–T12, L1–L5), allowing us to measure completeness across anatomy rather than just detections. Thoracolumbar ultrasound scans were annotated and divided into train/test sets using a patient-wise split to avoid data leakage. Four model variants were evaluated, including full-spine and vertebra-centric crop representations with single-class and 17-class detection heads. The full-spine detector was less stable in regions of high anatomical variability, such as the upper thoracic and lower lumbar spine. Crops of individual vertebrae were more stable under partial fields of view. The 17-class crop model achieved an mAP50 of 0.929 and a scan-level completeness score of 0.74 using the VPM. These results demonstrate that vertebral completeness can be explicitly quantified and integrated with localisation-based metrics for completeness-aware automated scoliosis evaluation. Full article
(This article belongs to the Special Issue Ultrasound Sensors and MEMS Devices for Biomedical Applications)
Show Figures

Figure 1

17 pages, 7525 KB  
Article
Spatiotemporal Dynamics of Urban Green Spaces and Vegetation Condition Amidst Urban Growth in Zomba, Malawi (1998–2021)
by Patrick J. Likongwe, Charlie M. Shackleton, Madalitso Kachere, Clinton Nkolokosa, Sosten S. Chiotha, Lois Kamuyango and Treaser Mandevu
Land 2026, 15(4), 559; https://doi.org/10.3390/land15040559 - 27 Mar 2026
Viewed by 423
Abstract
Urban green spaces (UGSs) provide critical ecosystem services (ESs) in rapidly urbanising cities but are increasingly threatened by land-use change, population growth, and socio-economic pressures. This study assessed spatial and temporal changes in UGS in Zomba City, Malawi, from 1998 to 2021 using [...] Read more.
Urban green spaces (UGSs) provide critical ecosystem services (ESs) in rapidly urbanising cities but are increasingly threatened by land-use change, population growth, and socio-economic pressures. This study assessed spatial and temporal changes in UGS in Zomba City, Malawi, from 1998 to 2021 using geospatial and remote sensing methods. Landsat imagery from 1998, 2007, 2013, and 2021 was analysed through post-classification change detection to map land-use/land-cover (LULC) transitions, while the relationship between ward-level population density and vegetation condition was evaluated using the Normalised Difference Vegetation Index (NDVI). Results show a decline in total UGS cover from 60% in 1998 to 51% in 2021, primarily due to the expansion of built-up areas. Tree cover increased from 11% to 18%, with NDVI values rising from 0.700 to 0.947; these changes may reflect both natural vegetation growth and targeted restoration, indicating localised improvements in vegetation condition. An inverse relationship was observed between population density and NDVI, though some high-density wards exhibited NDVI gains associated with restoration initiatives. These findings underscore the role of both institutional and community efforts in sustaining urban vegetation and highlight the potential of ecological restoration to mitigate UGS loss and support ESs. Policymakers and planners should prioritise the protection, restoration, and equitable distribution of UGS, particularly in dense and underserved areas, as strategic urban greening enhances city resilience and human well-being. Full article
Show Figures

Figure 1

18 pages, 12077 KB  
Article
ROS 2-Driven Navigation and Sensor Platform for Quadruped Robots
by Vegard Brekke, Erlend Odd Berge, Eirik Dybdahl, Jayant Singh and Ilya Tyapin
Robotics 2026, 15(4), 70; https://doi.org/10.3390/robotics15040070 - 26 Mar 2026
Viewed by 682
Abstract
This paper presents an open-source ROS 2 navigation and sensor platform for quadruped robots, demonstrated on Boston Dynamics Spot in a laboratory environment. The platform integrates SLAM Toolbox for mapping and localisation, Navigation2 with MPPI and Smac Hybrid-A* for global path planning, and [...] Read more.
This paper presents an open-source ROS 2 navigation and sensor platform for quadruped robots, demonstrated on Boston Dynamics Spot in a laboratory environment. The platform integrates SLAM Toolbox for mapping and localisation, Navigation2 with MPPI and Smac Hybrid-A* for global path planning, and a frontier-based autonomous exploration module with practical handling of unreachable frontiers. The paper validates and verifies current, open-source algorithms deployed on off-the-shelf hardware. A greedy wavefront-based frontier selection method is presented that prioritizes Time-to-Closest-Viable-Frontier (TCVF) by terminating the search as soon as a feasible frontier is identified. On a real robot dataset replayed across five goal scenarios, the method reduces median selection latency from 94.31 ms to 51.08 ms (95th percentile: 109.54 ms to 56.99 ms), corresponding to a 1.85-times improvement in compute time compared to a standard implementation. The system also employs Zenoh middleware and Foxglove for remote monitoring and control, enabling flexible, high-bandwidth operation. The platform, including configuration files and launch scripts, is released openly to support future research and deployment on quadruped robots. Full article
(This article belongs to the Section Sensors and Control in Robotics)
Show Figures

Figure 1

20 pages, 4274 KB  
Article
Wildfire Risk Assessment in the Mediterranean Under Climate Change
by Ioannis Zarikos, Nadia Politi, Effrosyni Karakitsou, Εirini Barianaki, Nikolaos Gounaris, Diamando Vlachogiannis and Athanasios Sfetsos
Fire 2026, 9(3), 135; https://doi.org/10.3390/fire9030135 - 23 Mar 2026
Viewed by 735
Abstract
This study presents a comprehensive wildfire risk assessment framework for Rhodes Island, Greece, aimed at quantifying the impacts of climate change on hazard levels and vulnerability in a typical Mediterranean environment. The approach integrates Fire Weather Index (FWI) data, detailed fuel-type mapping, and [...] Read more.
This study presents a comprehensive wildfire risk assessment framework for Rhodes Island, Greece, aimed at quantifying the impacts of climate change on hazard levels and vulnerability in a typical Mediterranean environment. The approach integrates Fire Weather Index (FWI) data, detailed fuel-type mapping, and multiple vulnerability indicators covering ecological, socioeconomic, and population factors, enabling spatially explicit estimates of current and future wildfire risk. Historically, Rhodes mostly faces moderate wildfire risk, mainly in central and northeastern regions, with localised areas of higher risk near settlements and key economic sites. Climate forecasts for 2025–2049 predict a notable increase in hazard, with areas experiencing extreme fire weather (FWI > 50) increasing from 15.19% to 66–72%, across all emission scenarios. Ecological vulnerability is particularly alarming, as 93% of the island is already highly susceptible; fire-prone forest and agricultural zones are expected to move into the highest ecological risk categories, especially in the central mountain areas. The devastating 2023 wildfire, which burned over 17,600 hectares, caused more than €5.8 million in direct damages and led to the largest evacuation in the island’s history, closely aligning with high-risk zones modelled in the framework. An important insight is the limited spatial variation in near-future risk between RCP 4.5 and RCP 8.5, indicating that significant wildfire intensification is largely unavoidable by mid-century, emphasising the urgent need for quick adaptation and risk mitigation efforts for Mediterranean critical infrastructure and communities. Full article
(This article belongs to the Topic Disaster Risk Management and Resilience)
Show Figures

Figure 1

17 pages, 4890 KB  
Article
From Qualitative Localisation to Quantitative Verification: Integrating Active IR Thermography and Laser Scanning in Wind Turbine Blade Inspection
by Adam Stawiarski
Materials 2026, 19(6), 1107; https://doi.org/10.3390/ma19061107 - 12 Mar 2026
Viewed by 285
Abstract
A coupled non-destructive testing (NDT) workflow is proposed that integrates active infrared thermography (IRT) with laser-scanning-based reverse engineering (RE) to increase the reliability of detecting and interpreting damage in composite wind turbine blades across laboratory specimens and real components. IRT provides rapid, image-based [...] Read more.
A coupled non-destructive testing (NDT) workflow is proposed that integrates active infrared thermography (IRT) with laser-scanning-based reverse engineering (RE) to increase the reliability of detecting and interpreting damage in composite wind turbine blades across laboratory specimens and real components. IRT provides rapid, image-based qualitative localisation of potential anomalies, while 3D scan analysis supplies quantitative, geometry-aware verification and measurement of defect magnitude, reducing both false positives (design-related thermal signatures) and false negatives (weak thermal contrast). On polystyrene-filled profiles, IRT alone produced thermal anomalies unrelated to delamination; co-registered scan maps identified or ruled out local indentation, correctly attributing heat-flow patterns to internal design rather than damage. Outcome: the fused method disambiguates thermal indications and quantifies defect magnitude. On a vertical-axis wind turbine (VAWT) blade, the integration distinguished genuine geometric change from architectural effects under unknown internal structure and without CAD/reference scans, preventing false calls. For three horizontal-axis wind turbine (HAWT) blades, fleet-level scan comparison detected a significant tip deviation despite no clear local IRT anomalies, demonstrating complementary roles: scan = global quantitative homogeneity; and IRT = local qualitative verification. These findings operationalise thermal–geometric cross-validation and outline a path toward UAV-enabled inspections combining passive IRT and laser scanning for hard-to-access structures under real environmental conditions. Full article
Show Figures

Figure 1

20 pages, 1396 KB  
Article
A Cascaded Framework for Vehicle Detection in Low-Resolution Traffic Surveillance Videos
by Tao Yu and Laura Sevilla-Lara
Electronics 2026, 15(5), 1119; https://doi.org/10.3390/electronics15051119 - 8 Mar 2026
Viewed by 365
Abstract
Traffic surveillance cameras, as core sensing devices in smart cities, are crucial for traffic management, violation detection, and autonomous driving. However, due to deployment constraints and hardware limitations, the videos they capture often suffer from low resolution and noise, leading to missed and [...] Read more.
Traffic surveillance cameras, as core sensing devices in smart cities, are crucial for traffic management, violation detection, and autonomous driving. However, due to deployment constraints and hardware limitations, the videos they capture often suffer from low resolution and noise, leading to missed and false detections in traditional object detection algorithms trained on high-resolution data. To address this issue, this study proposes a cascaded collaborative framework that integrates video super-resolution (VSR) and object detection for robust perception in low-quality traffic surveillance scenarios. First, a transformer-based VSR model with masked intra- and inter-frame attention (MIA-VSR) is employed to reconstruct temporally coherent high-resolution video sequences from degraded inputs. A domain-specific super-resolved dataset is subsequently constructed to train a lightweight one-stage detector (You Only Look One-level Feature, YOLOF) for efficient vehicle localisation. Extensive experiments on public datasets (REDS, Vimeo90k, UA-DETRAC) demonstrate that the proposed framework achieved a 56.89 mAP@0.5 on low-resolution UA-DETRAC, outperforming both direct low-resolution inference (39.17 mAP@0.5) and conventional fine-tuning strategies (45.70 mAP@0.5) by 17.72 and 11.19 points, respectively. These findings indicate that super-resolution-driven data reconstruction provides an effective pathway for mitigating feature degradation in low-quality surveillance environments, offering both theoretical insight and practical value for intelligent transportation perception systems. Full article
Show Figures

Figure 1

9 pages, 2913 KB  
Proceeding Paper
Towards Safe Localisation for Railways: Results from the EGNSS MATE Project
by Andreas Wenz, Michael Roth, Paulo Mendes, Roman Ehrler, Andreas Bomonti, Nikolas Dütsch, Camille Parra, Toms Dorins, Alice Martin, Judith Heusel and Keivan Kiyanfar
Eng. Proc. 2026, 126(1), 36; https://doi.org/10.3390/engproc2026126036 - 6 Mar 2026
Viewed by 337
Abstract
Safe train positioning is a key technology to make rail transportation more efficient and cost-effective. Within the EGNSS MATE project, the project partners SBB, DLR, and IABG researched the use of European Global Satellite Navigation Systems for this application. The main contributions are [...] Read more.
Safe train positioning is a key technology to make rail transportation more efficient and cost-effective. Within the EGNSS MATE project, the project partners SBB, DLR, and IABG researched the use of European Global Satellite Navigation Systems for this application. The main contributions are the development of a novel map-based sensor fusion algorithm, the development of a test catalogue for jamming and spoofing cyberthreats, and the collection of a large and rich dataset for testing and validation. The dataset includes over 200 h of sensor data and ground truth data, covering most of the Swiss normal gauge network. In addition, tests were conducted to assess the impact of jamming and spoofing attacks. Results show promising performance of the algorithms on most of the lines, excluding some long tunnels and sections with heavy multipath. The findings of the project results will help to introduce safe train positioning into ETCS by boosting development and standardisation efforts. Full article
(This article belongs to the Proceedings of European Navigation Conference 2025)
Show Figures

Figure 1

16 pages, 752 KB  
Article
Epithelial Thickness Changes After Descemet Membrane Endothelial Keratoplasty (DMEK): An Observational Study
by Issac Levy, Lea Habib, Stephen Morgan, Ritika Mukhija and Mayank A. Nanavaty
J. Clin. Med. 2026, 15(5), 1984; https://doi.org/10.3390/jcm15051984 - 5 Mar 2026
Viewed by 296
Abstract
Aims: The aim of this study is to characterise corneal epithelial thickness profiles after Descemet membrane endothelial keratoplasty (DMEK) and compare it with healthy controls, focusing on inferior–superior (I–S) epithelial thickness differences and their relationship with age. Methods: This single-centre observational [...] Read more.
Aims: The aim of this study is to characterise corneal epithelial thickness profiles after Descemet membrane endothelial keratoplasty (DMEK) and compare it with healthy controls, focusing on inferior–superior (I–S) epithelial thickness differences and their relationship with age. Methods: This single-centre observational study included 36 post-DMEK eyes with at least 6 months’ follow-up and 36 healthy control eyes. High-resolution spectral-domain anterior segment OCT maps were analysed for central epithelial thickness (CET, defined as the mean epithelial thickness within the central 2 mm zone [E2.0]) and peripheral sectors to derive inferior (E–I) and superior (E–S) values (between 2 and 7 mm), with the I–S difference computed at a 3 mm radius; group comparisons used t-tests and correlations used Pearson’s r (α = 0.05). Central corneal thickness (CCT) was also compared between groups. Results: Post-DMEK eyes had significantly lower mean CCT than controls (525.7 ± 98.4 μm vs. 544.71 ± 27.8 μm, p = 0.04). Central epithelial thickness did not differ between groups (post-DMEK 53.7 ± 5.5 μm vs. controls 52.7 ± 3.3 μm, p = 0.62), but the I–S epithelial difference was greater after DMEK (5.9 ± 4.3 μm) than controls (3.0 ± 2.2 μm, p < 0.01), indicating a more pronounced inferior thickening pattern. Age showed no significant relationship with epithelial thickness in controls, and only very weak or non-significant correlations with central thickness and I–S difference in post-DMEK eyes, indicating no clinically meaningful age effect postoperatively. Conclusions: DMEK restores central epithelial thickness to values comparable to normal eyes, while accentuating the physiologic inferior–superior epithelial gradient, consistent with localised postoperative epithelial remodelling rather than global epithelial thickening or thinning. Corneal stromal remodelling may result in lower CCT post-DMEK versus controls, and age does not meaningfully influence epithelial distribution after surgery. Full article
(This article belongs to the Special Issue New Advances in Keratoplasty)
Show Figures

Figure 1

21 pages, 3910 KB  
Article
Edge-AI Enabled Acoustic Monitoring and Spatial Localisation for Sow Oestrus Detection
by Hao Liu, Haopu Li, Yue Cao, Riliang Cao, Guangying Hu and Zhenyu Liu
Animals 2026, 16(5), 804; https://doi.org/10.3390/ani16050804 - 4 Mar 2026
Viewed by 380
Abstract
Timely and accurate detection of sow oestrus is crucial for enhancing reproductive efficiency and reducing non-productive days (NPDs) in large-scale pig farms. However, traditional manual observation is labour-intensive and subjective, while cloud-based deep learning solutions face challenges such as high latency and privacy [...] Read more.
Timely and accurate detection of sow oestrus is crucial for enhancing reproductive efficiency and reducing non-productive days (NPDs) in large-scale pig farms. However, traditional manual observation is labour-intensive and subjective, while cloud-based deep learning solutions face challenges such as high latency and privacy risks when applied in intensive housing environments. This study developed an edge-intelligent monitoring system that integrates deep temporal modelling with sound source localisation technology. A three-stage hierarchical screening strategy was utilised to select and deploy a lightweight Stacked-LSTM model on the resource-constrained ESP32-S3 hardware platform. This model was trained and calibrated using a high-quality acoustic dataset validated against serum reproductive hormones, specifically follicle-stimulating hormone (FSH), luteinising hormone (LH), and progesterone (P4). Experimental results demonstrate that the optimised model achieved a classification accuracy of 96.17%, with an inference latency of only 41 ms, thereby fully satisfying the stringent real-time monitoring requirements while maintaining a minimal memory footprint. Furthermore, the system integrates a localisation algorithm based on Generalised Cross-Correlation with Phase Transform (GCC-PHAT). Through spatial geometric modelling, the system successfully implements the functional mapping of vocalisation events to individual gestation stalls (Stall IDs). Laboratory pressure tests validated the robustness and low-cost deployment advantages of the “edge recognition–cloud synchronization” architecture, providing a reliable technical framework for the precision management of smart livestock farming. Full article
(This article belongs to the Section Animal Reproduction)
Show Figures

Figure 1

19 pages, 899 KB  
Article
Investigating Epistemic Uncertainty in PCB Defect Detection: A Comparative Study Using Monte Carlo Dropout
by Efosa Osagie and Rebecca Balasundaram
J. Exp. Theor. Anal. 2026, 4(1), 11; https://doi.org/10.3390/jeta4010011 - 27 Feb 2026
Viewed by 438
Abstract
Deep learning models have become central to automated Printed Circuit Board (PCB) defect detection. However, recent work has raised concerns about how reliably these models express confidence in their predictions, particularly when deployed in safety-critical inspection systems. This study conducts an empirical investigation [...] Read more.
Deep learning models have become central to automated Printed Circuit Board (PCB) defect detection. However, recent work has raised concerns about how reliably these models express confidence in their predictions, particularly when deployed in safety-critical inspection systems. This study conducts an empirical investigation of epistemic uncertainty across representative architectures used in PCB inspection: the two-stage Faster R-CNN detector, the one-stage YOLOv8 detector, and their corresponding classification counterparts, ResNet-50 and YOLOv8-Cls. Monte Carlo Dropout (MCD) was applied during inference to compute predictive entropy, mutual information, softmax variance, and bounding-box variability across multiple stochastic forward passes on both multiclass and binary inspection datasets. On the multiclass SolDef_AI dataset, Faster R-CNN achieved substantially stronger detection performance (mAP = 0.7607, F1 = 0.9304) and lower predictive entropy, with more stable localisation. In contrast, YOLOv8 produced markedly weaker performance (mAP = 0.2369, F1 = 0.3130) alongside higher entropy and greater bounding-box variability. On the binary Jiafuwen datasets, the YOLOv8-Cls model achieved higher overall performance (F1 = 0.6493) compared with the ResNet-50 classifier (F1 = 0.4904), reflecting its strength in simpler binary inspection tasks. Across uncertainty metrics, predictive entropy and mutual information were more sensitive to dataset size, showing higher and more variable values in the smaller multiclass dataset, whereas softmax variance and bounding-box variability appeared more architecture-dependent. These findings demonstrate that architectural choice, dataset structure, and task formulation jointly influence both performance and uncertainty behaviour. By integrating conventional metrics with uncertainty estimates, this study provides a transparent benchmark for assessing model confidence in automated optical inspection of PCBs. Full article
Show Figures

Figure 1

22 pages, 2414 KB  
Article
The Algebra of Chebyshev Polynomials and the Transfer-Matrix Approach for the One-Dimensional Ising Model with a Defect
by Nicholay S. Tonchev and Daniel Dantchev
Mathematics 2026, 14(4), 741; https://doi.org/10.3390/math14040741 - 23 Feb 2026
Viewed by 324
Abstract
We investigate a random field of mutually dependent random variables (“spins”), indexed by a finite one-dimensional lattice, called in physical sciences the one-dimensional Ising model, in which the random variables can take only ±1 values (see the text for a precise definition). One [...] Read more.
We investigate a random field of mutually dependent random variables (“spins”), indexed by a finite one-dimensional lattice, called in physical sciences the one-dimensional Ising model, in which the random variables can take only ±1 values (see the text for a precise definition). One of the couplings, termed a “bond,” that describes the mutual influence of two adjacent random variables is altered—it does not equal the others, thereby introducing a single “defect” bond. This defect bond represents a localised perturbation within an otherwise uniform system. Utilising the recurrence relations of Chebyshev polynomials and the bijective map between the number of spins and the polynomial index, we present a new method for calculations and systematically explore, using it, the system’s properties across different chain lengths and boundary conditions. As an application, we derive analytical expressions for the dependence of the average values of the random variables on their position within the chain, which we refer to as the “local magnetisation profile”. From the findings related to the system with a defect bond, we present a novel result for this profile under free (Dirichlet) boundary conditions and re-derive the corresponding result for antiperiodic boundary conditions. Full article
(This article belongs to the Section E4: Mathematical Physics)
Show Figures

Figure 1

22 pages, 39829 KB  
Article
Dual-Detector Vision and Depth-Aware Back-Projection for Accurate Apple Detection and 3D Localisation for Robotic Harvesting
by Tagor Hossain, Peng Shi and Levente Kovacs
Robotics 2026, 15(2), 47; https://doi.org/10.3390/robotics15020047 - 22 Feb 2026
Viewed by 580
Abstract
Accurate apple detection and precise three-dimensional (3D) localisation are essential for autonomous robotic harvesting in orchard environments, where occlusion, illumination variation, depth noise, and the similar colour appearance of fruits and surrounding leaves present significant challenges. This paper proposes a dual-detector vision framework [...] Read more.
Accurate apple detection and precise three-dimensional (3D) localisation are essential for autonomous robotic harvesting in orchard environments, where occlusion, illumination variation, depth noise, and the similar colour appearance of fruits and surrounding leaves present significant challenges. This paper proposes a dual-detector vision framework combined with depth-aware back-projection to achieve robust apple detection and metric 3D localisation in real time. The method integrates the complementary strengths of YOLOv8 and Mask R-CNN through confidence-weighted fusion of bounding boxes and pixel-wise union of segmentation masks, producing stabilised two-dimensional (2D) apple representations under visually ambiguous conditions. The fusion results are converted into dense 3D representations through depth-guided projection within the camera coordinate system representing the visible fruit surface. A depth-consistency weighting strategy assigns higher influence to depth-reliable pixels during centroid computation, thereby suppressing noisy or occluded depth measurements and improving the stability of 3D fruit centre estimation, while local intensity normalisation standardises neighbourhood-level pixel intensities to reduce the impact of shadows, highlights, and uneven lighting, enabling more consistent segmentation and detection across varying illumination conditions. Experimental results demonstrate an accuracy of 98.9%, an mAP of 94.2%, an F1-score of 93.3%, and a recall of 92.8%, while achieving real-time performance at 86.42 FPS, confirming the suitability of the proposed method for robotic harvesting in challenging orchard environments. Full article
(This article belongs to the Special Issue Perception and AI for Field Robotics)
Show Figures

Figure 1

Back to TopTop