Sign in to use this feature.

Years

Between: -

Subjects

remove_circle_outline
remove_circle_outline
remove_circle_outline
remove_circle_outline
remove_circle_outline
remove_circle_outline
remove_circle_outline
remove_circle_outline
remove_circle_outline

Journals

remove_circle_outline
remove_circle_outline
remove_circle_outline
remove_circle_outline
remove_circle_outline
remove_circle_outline
remove_circle_outline
remove_circle_outline
remove_circle_outline
remove_circle_outline
remove_circle_outline
remove_circle_outline
remove_circle_outline
remove_circle_outline

Article Types

Countries / Regions

remove_circle_outline
remove_circle_outline
remove_circle_outline
remove_circle_outline

Search Results (2,216)

Search Parameters:
Keywords = loading amplitude

Order results
Result details
Results per page
Select all
Export citation of selected articles as:
21 pages, 4953 KB  
Article
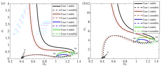
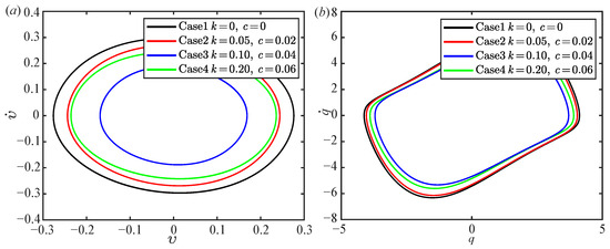
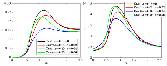
Bifurcation Analysis and Vibration Control of a Top-Tensioned Riser Under Parametric Resonance with a Tuned Mass Damper
by Hai-Su Wang, Guang Liu and Zhong-Rong Lu
J. Mar. Sci. Eng. 2026, 14(7), 602; https://doi.org/10.3390/jmse14070602 (registering DOI) - 25 Mar 2026
Abstract
This paper presents a dynamic model of a top-tensioned riser (TTR) subjected to combined vortex-induced vibration (VIV) and time-varying tension excitation. The model employs a van der Pol oscillator to simulate load excitation caused by vortex shedding and incorporates a tuned mass damper [...] Read more.
This paper presents a dynamic model of a top-tensioned riser (TTR) subjected to combined vortex-induced vibration (VIV) and time-varying tension excitation. The model employs a van der Pol oscillator to simulate load excitation caused by vortex shedding and incorporates a tuned mass damper (TMD) to suppress nonlinear vibrations in the riser. The key contributions include, first, employing the Galerkin method to obtain a multi-mode approximate solution and analyzing it using single-mode approximate equations, and subsequently, applying a multi-scale approach to investigate the vibration reduction effect of the TMD under two typical resonance scenarios. By introducing a complex impedance term derived from the complex transfer function, the physical effect of the TMD is transformed into a frequency-dependent dynamic reaction force coupled to the riser’s equation of motion. The first involves 1:1 internal resonance between the structural frequency and vortex-induced frequency, while the second involves 1:2 parametric resonance between the structural frequency and the top tension frequency. Results indicate that when the structural frequency exhibits 1:2 parametric resonance with the top tension frequency, complex bifurcation behavior occurs, leading to large-amplitude structural responses. Findings demonstrate that TMDs effectively alter the system’s stability distribution and exhibit outstanding vibration-reduction efficiency under both typical resonance conditions. Full article
(This article belongs to the Special Issue Analysis of Strength, Fatigue, and Vibration in Marine Structures)
Show Figures

Figure 1

17 pages, 3951 KB  
Article
Thermo-Mechanical Analysis and Fatigue Life Estimation of Shrink-Fit Tool Holders
by Kubilay Aslantas, Ekrem Oezkaya and Adem Çiçek
Machines 2026, 14(4), 358; https://doi.org/10.3390/machines14040358 - 24 Mar 2026
Abstract
The present study investigates the thermo-mechanical behaviour and fatigue life associated with the shrink-fit process of shrink-fit tool holders. These holders are an indispensable component of high-precision and high-speed machining processes in modern manufacturing industries. Shrink-fit holders are subjected to elevated levels of [...] Read more.
The present study investigates the thermo-mechanical behaviour and fatigue life associated with the shrink-fit process of shrink-fit tool holders. These holders are an indispensable component of high-precision and high-speed machining processes in modern manufacturing industries. Shrink-fit holders are subjected to elevated levels of stress as a consequence of repeated heating and cooling cycles, which can result in clamping fatigue over time. In this study, a three-dimensional finite element model (FEM) of a holder manufactured from H13 tool steel in accordance with BT40 standards was created using ANSYS software. The numerical analyses included transient thermal and structural analyses, consisting of a 4.5-s induction heating stage at 10 kW power, followed by a 1200-s cooling process. The analysis yielded results that were corroborated by the experimental data. It was established that, upon the conclusion of the heating process, the temperature in the conical region of the holder attained a range of approximately 388–417 °C. Furthermore, it was ascertained that a radial expansion of approximately 17.2–22 µm, which is required for the successful insertion of the cutting tool into the inner bore, was achieved. The fatigue life prediction, which constitutes the main focus of the study, applied the Soderberg criterion and evaluated two basic loading scenarios: the first tool assembly and repeated tool assembly cycles. The calculations yielded a life estimate of approximately 12,407 cycles for the first tool assembly cycle and approximately 19,400 cycles for the repeated tool assembly cycle. Accordingly, the repeated tool assembly condition exhibited a longer fatigue life than the first tool assembly condition. The enhanced longevity observed in the repeated tool assembly scenario is attributed to the stress cycle not fully reaching zero during this process, resulting in a lower stress amplitude. Full article
Show Figures

Figure 1

16 pages, 3523 KB  
Article
Dynamical Artifacts in Knitted Resistive Strain Sensors: Effects of Conductive Yarns, Knitting Structures, and Loading Rates
by Alexander Oks Junior, Alexander Okss, Alexei Katashev and Uģis Briedis
Sensors 2026, 26(6), 2010; https://doi.org/10.3390/s26062010 - 23 Mar 2026
Abstract
This study investigates the dynamic artifacts (DAs) in knitted resistive strain sensors (KRSS) subjected to various deformation types, including stair-wise, trapezoidal, and triangle-type deformations. The presence of DAs, characterized by sharp peak-wise increases in resistance followed by a gradual decline, was observed across [...] Read more.
This study investigates the dynamic artifacts (DAs) in knitted resistive strain sensors (KRSS) subjected to various deformation types, including stair-wise, trapezoidal, and triangle-type deformations. The presence of DAs, characterized by sharp peak-wise increases in resistance followed by a gradual decline, was observed across all KRSS samples. The amplitude of DA peaks increased with higher deformation velocities within the investigated range of 2.6–40 cm/s. The study also identified the temporal offset between resistance and deformation during linear deformation, suggesting a complex mechanism underlying DAs. The results demonstrate that DAs are most prominent in stepwise and trapezoidal deformations, while continuous deformations like triangle-type loading partially mask these artifacts. The resistance signals were recorded at a sampling rate of 150 Hz, with temporal desynchronization between recorded parameters not exceeding 6.7 ms, enabling the observation of dynamic effects. Manifestation of DAs in KRSS degrades the metrological characteristics of KRSS and cannot be ignored. This paper provides insights into the relationship between KRSS structure, deformation velocity, and DA behavior, and provides an experimental basis for future compensation approaches to mitigate the impact of DAs on measurement accuracy. Full article
(This article belongs to the Section Wearables)
Show Figures

Figure 1

28 pages, 11377 KB  
Article
Extended State Observer-Assisted Fast Adaptive Extremum-Seeking Searching Interval Type-2 Fuzzy PID Control of Permanent Magnet Synchronous Motors for Speed Ripple Mitigation at Low-Speed Operation
by Fuat Kılıç
Appl. Sci. 2026, 16(6), 3093; https://doi.org/10.3390/app16063093 - 23 Mar 2026
Viewed by 31
Abstract
Permanent magnet synchronous motors (PMSMs) are utilized in demanding conditions and applications requiring precision and accuracy, such as servo systems. Especially at low speeds, the effects of cogging torque, current measurement and offset errors, improper controller gains, mechanical resonance, and torque fluctuations caused [...] Read more.
Permanent magnet synchronous motors (PMSMs) are utilized in demanding conditions and applications requiring precision and accuracy, such as servo systems. Especially at low speeds, the effects of cogging torque, current measurement and offset errors, improper controller gains, mechanical resonance, and torque fluctuations caused by load torque and flux result in fluctuations at various frequencies in the motor output speed. This study, motivated by two factors, proposes an extended state observer (ESO)-based multivariable fast response extremum-seeking (FESC) interval type-2 fuzzy PID (IT2FPID) controller to improve dynamic response and reduce speed ripple at low speeds in situations where all these negative factors could arise. This approach enables the real-time adaptation of parameters to counteract the decline in controller performance caused by the nonlinear characteristics of PMSMs and parameter fluctuations while also optimizing disturbance rejection in the speed response under varying operating conditions and existing speed ripple. The experimental results from the prototype setup validate that the proposed control mechanism is functional, valid, and precise in diminishing speed ripples during low-speed operations. The simulation and test outcomes of the control scheme show that speed noise at low speeds is reduced from 26% to 3% compared to traditional proportional-integral (PI) controller and supertwisting (STW) sliding mode controller (SMC) responses and that the scheme exhibits a 16–23% reduction in undershoot amplitude and faster recovery in the presence of load torque variations. Full article
(This article belongs to the Special Issue Fuzzy Control Systems and Decision-Making)
Show Figures

Figure 1

24 pages, 4071 KB  
Article
Detecting Critical Damage in Concrete by Taking Advantage of Acoustic Events with an Amplitude Exceeding Their Mean Value
by Dimos Triantis, Ilias Stavrakas, Ermioni D. Pasiou and Stavros K. Kourkoulis
Materials 2026, 19(6), 1264; https://doi.org/10.3390/ma19061264 - 23 Mar 2026
Viewed by 62
Abstract
A novel approach for detecting preliminary signals designating upcoming entrance of a loaded system to the critical stage of impending fracture is assessed. The approach is based on the analysis of a time series of the cumulative number of acoustic events, the amplitude [...] Read more.
A novel approach for detecting preliminary signals designating upcoming entrance of a loaded system to the critical stage of impending fracture is assessed. The approach is based on the analysis of a time series of the cumulative number of acoustic events, the amplitude of which exceeds the respective average value of all the events recorded during loading. Using the “sliding window” technique, the average slope of the evolution of this time series is quantified, either against conventional or natural time (the latter provides a more detailed view of the stage before macroscopic fracture, during which the “information” gathered is very densely packed in a short interval). For the needs of this study, data from a previously published experimental protocol are exploited. The protocol comprised notched, beam-shaped specimens, made of either plain or fiber-reinforced concrete, under three-point bending. It is concluded that the slope of the evolution of the above time series systematically attains a value equal to unity slightly before the applied load attains its peak value. The results of the present analysis are in qualitative agreement with the respective ones based on either the instantaneous frequency of generation of acoustic events or the Euclidean distance between the sources of acoustic signals. Full article
(This article belongs to the Section Construction and Building Materials)
Show Figures

Figure 1

19 pages, 2331 KB  
Article
Dynamic Behavior and Isolation Performance of a Constant-Force Vibration Isolation System
by Thanh Danh Le
Mathematics 2026, 14(6), 1061; https://doi.org/10.3390/math14061061 - 20 Mar 2026
Viewed by 96
Abstract
This paper will present a constant-force vibration isolator (CFVI), in which the isolated load is supported by two pulley-roller mechanisms, while the dynamic stiffness is modified by a cam mechanism with the piecewise profile redefined by the user. As a result, this model [...] Read more.
This paper will present a constant-force vibration isolator (CFVI), in which the isolated load is supported by two pulley-roller mechanisms, while the dynamic stiffness is modified by a cam mechanism with the piecewise profile redefined by the user. As a result, this model can generate the constant force-displacement response within the working region, thereby obtaining quasi-zero stiffness in this range. Because of the piecewise configuration of the cam, the system motion governed by the piecewise dynamic equation under base motion excitation will be analyzed and established. The approximate solution of the piecewise dynamic equation is derived by using the average method, from which the relative amplitude–frequency relation and the absolute amplitude transmissibility of the CFVI will be obtained. The effects of the key working parameters involving the damping coefficient, critical position, and excited amplitude on the dynamic behavior and isolation effectiveness of the CFVI are considered through numerical simulations. The simulation result reveals that the dynamic response of the CFVI offers two branches: resonance and isolation. The former is significantly affected by the working parameters, whereas the latter is weakly influenced. Furthermore, the isolation effectiveness of the CFVI will be compared with that of its linear counterpart and the quasi-zero stiffness vibration isolation model using a semicircle cam (QZSI). The results demonstrate that the CFVI outperforms the other models for base motion excitations. Full article
(This article belongs to the Section C2: Dynamical Systems)
Show Figures

Figure 1

17 pages, 2016 KB  
Article
Stage-Specific Processing in Numerosity Working Memory: ERP Evidence for Load and Mismatch Effects in a Delayed Match-to-Sample Task
by Mengyu Duan, Zhuorui Liu and Li Sui
NeuroSci 2026, 7(2), 39; https://doi.org/10.3390/neurosci7020039 - 20 Mar 2026
Viewed by 134
Abstract
Numerosity can be represented in symbolic formats and non-symbolic dot arrays. How numerosity load unfolds across WM encoding/maintenance and test-stage comparison within a single paradigm remains unclear, especially within the tested 4–6 range. We used a delayed match-to-sample task manipulating numerosity (4–6) and [...] Read more.
Numerosity can be represented in symbolic formats and non-symbolic dot arrays. How numerosity load unfolds across WM encoding/maintenance and test-stage comparison within a single paradigm remains unclear, especially within the tested 4–6 range. We used a delayed match-to-sample task manipulating numerosity (4–6) and match status, with two test blocks (dot–digit and dot–dot). Behaviorally, a higher numerosity reduced accuracy and increased RTs in both blocks, with larger costs in dot–dot; the mismatch reliably slowed RTs. At sample onset, occipital P1 and N1 amplitudes decreased with increasing numerosity, consistent with greater perceptual/processing demands at higher load, with the strongest differences at the high end of the range. During the delay, numerosity modulation was temporally specific, emerging in the 450–650 ms posterior window and remaining significant after FDR correction across the four consecutive delay windows. At the test, the mismatch elicited a more negative N2 in both blocks (larger in dot–dot), while numerosity also modulated N2 only in dot–dot, showing a monotonic increase in negativity with load. Controlling for condition-mean logRT did not eliminate these N2 effects. P3 showed no reliable modulation, whereas a later positive component was enhanced by mismatch selectively in dot–dot. Together, these results indicate stage-differentiated effects: numerosity load impacts early encoding and a circumscribed maintenance interval, whereas mismatch effects arise primarily during the test-stage comparison, with additional late evaluative activity when formats are aligned. Full article
Show Figures

Figure 1

20 pages, 7822 KB  
Article
Tensile and Low-Cycle Fatigue Behavior, Fracture Mechanisms, and Life Predictions of 316H Stainless Steel at 600~800 °C
by Xiaoyang Sun, Zhengxin Tang and Xikou He
Materials 2026, 19(6), 1228; https://doi.org/10.3390/ma19061228 - 20 Mar 2026
Viewed by 187
Abstract
In this study, the tensile properties, low-cycle fatigue behavior, and microscopic fatigue-failure mechanisms of 316H stainless steel in the temperature range of 600–800 °C were systematically investigated by means of tensile tests, high-temperature low-cycle fatigue tests, and scanning electron microscopy (SEM) analysis of [...] Read more.
In this study, the tensile properties, low-cycle fatigue behavior, and microscopic fatigue-failure mechanisms of 316H stainless steel in the temperature range of 600–800 °C were systematically investigated by means of tensile tests, high-temperature low-cycle fatigue tests, and scanning electron microscopy (SEM) analysis of fatigue fracture surfaces. Based on experimental data fitting, a life prediction model for the material in the high-temperature regime was established. The results indicate that the mechanical behavior of 316H stainless steel under both static and cyclic loading is significantly influenced by temperature and strain amplitude. Compared with its room-temperature properties, at 800 °C, the elastic modulus of 316H stainless steel decreases by approximately 30%, the tensile strength drops by about 60%, while the elongation after fracture increases by roughly 100%. Within the temperature range of 600–800 °C, the fatigue performance deteriorates with the increasing temperature, and the cyclic hardening rate accelerates as the temperature rises. The fracture mode in the instantaneous fracture zone of the fatigue fracture surface transitions from predominantly transgranular fracture to a mixed mode of transgranular and intergranular fracture as the temperature increases to 800 °C. Under higher strain amplitudes (around 0.6%), 316H stainless steel exhibits Masing behavior and dynamic strain aging (DSA). Correspondingly, the crack-initiation mode on the fatigue fracture surface shifts from a single surface source to multiple surface sources. A three-parameter model was employed to fit the strain–amplitude versus fatigue–life relationships of 316H stainless steel in the 600–800 °C range, showing good agreement with the experimental data, with most data points falling within a factor-of-two error band. Full article
Show Figures

Graphical abstract

11 pages, 1897 KB  
Article
An Analysis of Hip and Knee Joint Movement Characteristics in Overweight Individuals During Sit-to-Stand Transfers—Based on Statistical Parametric Mapping: An Exploratory Study
by Guohui Zhao, Feifei Ma and Lei Li
Life 2026, 16(3), 515; https://doi.org/10.3390/life16030515 - 20 Mar 2026
Viewed by 187
Abstract
Objective: The objective of this study was to explore the motion characteristics and movement strategies of the hip and knee joints in overweight individuals during sit-to-stand (STS) transfers using statistical parametric mapping (SPM). Methods: Twenty subjects were divided into an overweight group ( [...] Read more.
Objective: The objective of this study was to explore the motion characteristics and movement strategies of the hip and knee joints in overweight individuals during sit-to-stand (STS) transfers using statistical parametric mapping (SPM). Methods: Twenty subjects were divided into an overweight group (n = 10) and a normal-weight group (n = 10) based on body mass index (BMI). The Qualisys infrared motion capture system and Kistler three-dimensional force platform were used for motion data collection, and Visual 3D and Matlab were used to calculate the angles and torque indicators of the lower limb hip and knee joints. Results: During the STS process, the maximum hip flexion angle of the overweight group was smaller than that of the control group (Z = −1.83, p = 0.043, r = 0.39), while the maximum abduction and external rotation angles were greater than those of the control group (Z = −2.15, p = 0.022, r = 0.46; Z = −2.02, p = 0.028, r = 0.48). SPM analysis showed that during the 0–52% phase of the hip joint in the frontal plane, the abduction amplitude of the overweight population was greater than that of the normal population (p < 0.05). The minimum external rotation angle of the knee joint was less than that of the control group (F(1,18) = 9.135, p = 0.043). The peak internal adduction and abduction torque of the hip joint in the overweight group was greater than that of the control group (Z = 2.37, p = 0.017, r = 0.54). Conclusions: Compared with the normal-weight population, the overweight population exhibited distinct motion characteristics of the hip and knee joints during the STS, with particularly pronounced differences in the hip joint. To maintain stability during STS, the overweight population adopts a compensatory movement strategy featuring a wider base of support via hip abduction and increased muscular torque to control frontal plane stability, which imposes greater functional loads on the hip joint. BMI-related movement characteristics should be studied in young adults under controlled experimental conditions, and future studies are needed to verify whether similar patterns exist in older adults. Full article
Show Figures

Figure 1

18 pages, 3981 KB  
Article
Static and Cyclic Mechanical Behavior of 3D-Printed PEEK Under Tensile and Compressive Loads
by Francisco Pina, Carlos M. S. Vicente, Joaquim Justino Netto and Luís Reis
Polymers 2026, 18(6), 748; https://doi.org/10.3390/polym18060748 - 19 Mar 2026
Viewed by 237
Abstract
Polyether ether ketone (PEEK) is a high-performance polymer with exceptional mechanical properties, durability and lightweight. 3D printing of PEEK can be very beneficial in the medical industry to manufacture patient-specific implants; however, there is a lack of studies regarding the fatigue behavior of [...] Read more.
Polyether ether ketone (PEEK) is a high-performance polymer with exceptional mechanical properties, durability and lightweight. 3D printing of PEEK can be very beneficial in the medical industry to manufacture patient-specific implants; however, there is a lack of studies regarding the fatigue behavior of 3D-printed PEEK, especially under compression, which is closely related to its potential applications. This paper investigates the static and dynamic mechanical performance of 3D-printed PEEK. Tensile and compression tests were conducted on specimens with ±45° raster orientation. Annealing at 270 °C for 5 h increased crystallinity from 34.4% to 41.4% yet unexpectedly reduced tensile strength from 60.8 MPa to 47.3 MPa, while increasing Young’s modulus from 2.51 GPa to 3.51 GPa. Micro-CT analysis revealed increased pore size after annealing. Static compression strength showed improvement post-annealing, increasing from 80.1 MPa to 126.7 MPa, with modulus rising from 1.64 GPa to 2.28 GPa. Compression–compression fatigue tests, performed at 5 Hz and 2.5 Hz with stress amplitudes of 70–95% of maximum strength (R = 0.1), enabled the construction of the first S-N curve for 3D-printed PEEK under compressive loading. Annealed specimens exhibited superior fatigue life, with infinite life achieved at 83.3 MPa (70% of static strength). Thermal imaging highlighted the role of temperature in fatigue failure, showing that annealed specimens endured higher thermal loads. These findings support the suitability of 3D-printed PEEK for load-bearing biomedical applications under cyclic compressive loads. Full article
(This article belongs to the Special Issue Research Progress on Mechanical Behavior of Polymers, 2nd Edition)
Show Figures

Figure 1

16 pages, 3834 KB  
Article
Microstructural and Mechanical Characterization of Ultra-Pure Aluminum for Low-Amplitude-Vibration Cryogenic Applications
by Mirko Pigato, Filippo Agresti, Alberto Benato, Carlo Bucci, Irene Calliari, Daniele Cortis, Serena D’Eramo, Shihong Fu, Cristina Giancarli, Luca Pezzato, Andrea Zambon and Antonio D’Addabbo
Materials 2026, 19(6), 1195; https://doi.org/10.3390/ma19061195 - 18 Mar 2026
Viewed by 197
Abstract
In fundamental physics, sensors operating below liquid helium temperatures are highly vulnerable to vibrations, which can affect the sensitivity, for example, of high-performance particle detectors. Pulse-tube refrigerators, while generating vibrations lower than those of conventional systems, may still introduce several disturbances. Hence, flexible [...] Read more.
In fundamental physics, sensors operating below liquid helium temperatures are highly vulnerable to vibrations, which can affect the sensitivity, for example, of high-performance particle detectors. Pulse-tube refrigerators, while generating vibrations lower than those of conventional systems, may still introduce several disturbances. Hence, flexible thermal connections are a commonly used mechanical solution to mitigate these undesirable effects. Among the materials that can be used, ultra-high-purity aluminum (UHP-Al) has attracted the attention for low-amplitude-vibration cryogenic applications, including gravitational wave interferometry, quantum information systems, precision space instrumentation, and cryogenic resonators. Thus, the aim of the paper is the characterization of the mechanical and microstructure properties of three UHP-Als (i.e., 5N—99.999 wt%, 5N5—99.9995 wt% and 6N—99.9999 wt%) intended for the production of thermal flexible connections with low stiffness, specifically designed to reduce vibration transmission in cryogenic environments. Mechanical properties were evaluated through standard tensile tests from room (+25 °C) to low temperature (i.e., −150 °C), providing insights into yield strength, ultimate tensile strength, elongation and elastic modulus. In addition, the dynamic elastic modulus of material loads, at cryogenic conditions (i.e., about −180 °C), was determined by measuring the natural resonance frequency, thereby assessing the material’s response to vibrational. Moreover, an extensive microstructural analysis was conducted using electron backscatter diffraction and x-ray diffraction. The correlation between the observed microstructure and the elastic properties was systematically examined. The results underscore the pivotal role of microstructural characteristics in dictating the elastic behavior of UHP Als. Eventually, the analysis provides valuable guidelines for the materials employment inside cryogenic systems, where severe vibration control is critical to maintain high operational performance. Full article
(This article belongs to the Section Metals and Alloys)
Show Figures

Figure 1

20 pages, 24152 KB  
Article
Excitation and Transmission of Train-Induced Ground and Building Vibrations—Measurements, Analysis, and Prediction
by Lutz Auersch, Samir Said and Werner Rücker
Vibration 2026, 9(1), 21; https://doi.org/10.3390/vibration9010021 - 18 Mar 2026
Viewed by 78
Abstract
Measurement results of train-induced vibrations are evaluated for characteristic frequencies, amplitudes and spectra, leading to a prediction which is based on transfer functions of the vehicle–track–soil system, the soil, and the building–soil system. The characteristic frequencies of train-induced vibrations are discussed following the [...] Read more.
Measurement results of train-induced vibrations are evaluated for characteristic frequencies, amplitudes and spectra, leading to a prediction which is based on transfer functions of the vehicle–track–soil system, the soil, and the building–soil system. The characteristic frequencies of train-induced vibrations are discussed following the propagation of vibrations from the source to the receiver: out-of-roundness frequencies of the wheels, the sleeper passage frequency, the vehicle–track eigenfrequency, the car-length frequency and multiples, axle-distance frequencies, bridge eigenfrequencies, the building–soil eigenfrequency, and floor eigenfrequencies. Amplitudes and spectra are compared for different train and track types, for different train speeds, and for different soft and stiff soils, where high frequencies are typically found for stiff soil and low frequencies for soft soil. The ground vibration is between the cut-on frequency due to the layering and the cut-off frequency due to the material damping of the soil, but the dominant frequency range also changes with distance from the track. The frequency band of the axle impulses due to the passing static loads obtains a signature from the axle sequence. The high amplitudes between the zeros of the axle-sequence spectrum are measured at the track, the bridge, and also in the ground vibrations, which are even dominant in the far field. A prediction software is presented, which includes all three parts: the excitation by the vehicle–track interaction, the wave transmission through the soil, and the transfer into a building. Full article
(This article belongs to the Special Issue Railway Dynamics and Ground-Borne Vibrations)
Show Figures

Figure 1

12 pages, 563 KB  
Article
A Three-Phase Electromagnetic Harvester with a Single-Spring Coupled Moving Magnet Assembly
by Marcin Fronc, Grzegorz Litak, Krzysztof Kolano, Magdalena Przybylska-Fronc and Mateusz Waśkowicz
Processes 2026, 14(6), 966; https://doi.org/10.3390/pr14060966 - 18 Mar 2026
Viewed by 179
Abstract
Vibration energy harvesting is a promising approach to support and supplement power, thereby extending the lifetime of low-power sensor nodes under suitable vibration conditions, i.e., in environments where sufficient ambient vibrations are available. It is not a universal autonomous power-supply solution, particularly when [...] Read more.
Vibration energy harvesting is a promising approach to support and supplement power, thereby extending the lifetime of low-power sensor nodes under suitable vibration conditions, i.e., in environments where sufficient ambient vibrations are available. It is not a universal autonomous power-supply solution, particularly when generalized across the Internet of Things (IoT), because the harvested power is typically limited to the µW–mW range and depends strongly on the vibration frequency content, amplitude, and operating point relative to resonance. Furthermore, many practical harvesters rely on resonant mechanisms, which are inherently narrowband, and therefore their performance can degrade significantly under detuning or broadband/variable-frequency excitations. In addition, energy-management and power-conditioning electronics (rectification, storage, and regulation) are required to convert the generated electrical energy into a stable and usable DC supply for practical loads. In this work, we develop a nonlinear state-space model of a three-phase electromagnetic vibration energy harvester with spatially displaced coils and evaluate its electrical output characteristics and DC power behavior using numerical simulations. Full article
(This article belongs to the Special Issue Advances in the Control of Complex Dynamic Systems)
Show Figures

Figure 1

13 pages, 1912 KB  
Article
Optimized Rectifier Topologies for Low-Voltage Electromagnetic Energy Harvesters
by Niklas Krug, Felix Heer and Gerhard Fischerauer
Sensors 2026, 26(6), 1887; https://doi.org/10.3390/s26061887 - 17 Mar 2026
Viewed by 200
Abstract
Vibrational energy harvesters typically generate only low voltages and low powers, making high-efficiency power conversion essential to extract usable energy from such sources. To address this challenge, suitable rectifier circuits must be designed to operate efficiently under low-voltage conditions. In this study, three [...] Read more.
Vibrational energy harvesters typically generate only low voltages and low powers, making high-efficiency power conversion essential to extract usable energy from such sources. To address this challenge, suitable rectifier circuits must be designed to operate efficiently under low-voltage conditions. In this study, three rectifier topologies—a standard bridge rectifier and two alternative designs from the literature—were investigated in a two-step methodology: first, measurements were performed in the laboratory using a function generator to simulate controlled excitation conditions, followed by experiments with a real electromagnetic energy harvester. Component-level testing allowed the identification of the most suitable components for each topology, highlighting the influence of parameters such as MOSFET gate-source threshold voltage on overall performance. Using the selected optimal components, the circuits were then compared under varying excitation amplitudes and load conditions. Small modifications were introduced to the literature designs to improve switching behavior and reduce conduction losses. Across all tested conditions, the active-diode rectifier consistently achieved the highest harvested power, demonstrating both the effectiveness of component selection and the practical benefit of the adapted topology. These results provide a systematic basis for designing high-efficiency rectifiers for low-voltage vibrational energy harvesting applications. Full article
(This article belongs to the Topic Advanced Energy Harvesting Technology, 2nd Edition)
Show Figures

Figure 1

15 pages, 3660 KB  
Article
Dynamic Stiffness Characteristics of Bearings Under Combined Loads with Rotor Excitation
by Wei Dou, Shengdi Sun, Xinjie Zang, Xi Kuang and Zhilei Jin
Lubricants 2026, 14(3), 128; https://doi.org/10.3390/lubricants14030128 - 17 Mar 2026
Viewed by 262
Abstract
The unbalanced excitation of a rotor has a significant impact on the dynamic stiffness of the bearing. Traditional unbalanced excitation force models for the calculation of bearing stiffness are usually simplified as single-directional excitation models, which cannot fully reflect the impact of unbalanced [...] Read more.
The unbalanced excitation of a rotor has a significant impact on the dynamic stiffness of the bearing. Traditional unbalanced excitation force models for the calculation of bearing stiffness are usually simplified as single-directional excitation models, which cannot fully reflect the impact of unbalanced excitation of the rotor on the dynamic stiffness of the bearing. A bidirectional excitation model based on orthogonal decomposition is used in this paper and is introduced into the finite element model of the bearing based on ABAQUS. The proposed bearing mechanics model is verified through numerical software and a bearing rotor system test rig. The effects of single/bidirectional excitation models on the dynamic stiffness of bearings were compared. The variation in bearing dynamic stiffness characteristics under rotor excitation and axial load were discussed. The results show that the presented model has good consistency with experimental results (the proposed model yields a maximum stress deviation of only 2.42% compared to MESYS numerical results and a maximum dynamic stiffness difference of 9.12% against experimental data). The traditional unidirectional excitation force model can only consider the influence of excitation frequency on the dynamic stiffness of bearings. However, the unbalanced excitation force model considering bidirectional excitation can further take into account the influence of excitation amplitude on the dynamic stiffness of bearings. Under the combined effect of excitation frequency and excitation amplitude, the radial dynamic stiffness of bearings shows a quadratic nonlinear hardening trend with rotational speed. As the rotational speed increases, the contribution of axial load to the radial stiffness significantly enhances: in the low-speed zone, its influence is only approximately 8%, while in the high-speed zone, it increases to 34%. Although the modeling method formed in this paper does not take into account the thermal–fluid dynamic coupling effect of the lubricating oil film, the obtained laws can provide a basis for the dynamic design of rotor systems of actual liquid rocket engines and have certain engineering application value. Full article
(This article belongs to the Special Issue Low Viscosity Medium-Lubricated Bearing)
Show Figures

Figure 1

Back to TopTop