Excitation and Transmission of Train-Induced Ground and Building Vibrations—Measurements, Analysis, and Prediction
Abstract
1. Introduction
2. Observation of Characteristic Frequencies
2.1. Frequencies of the Vehicle–Track Interaction
2.2. Bridge Frequencies
2.3. Soil Frequencies
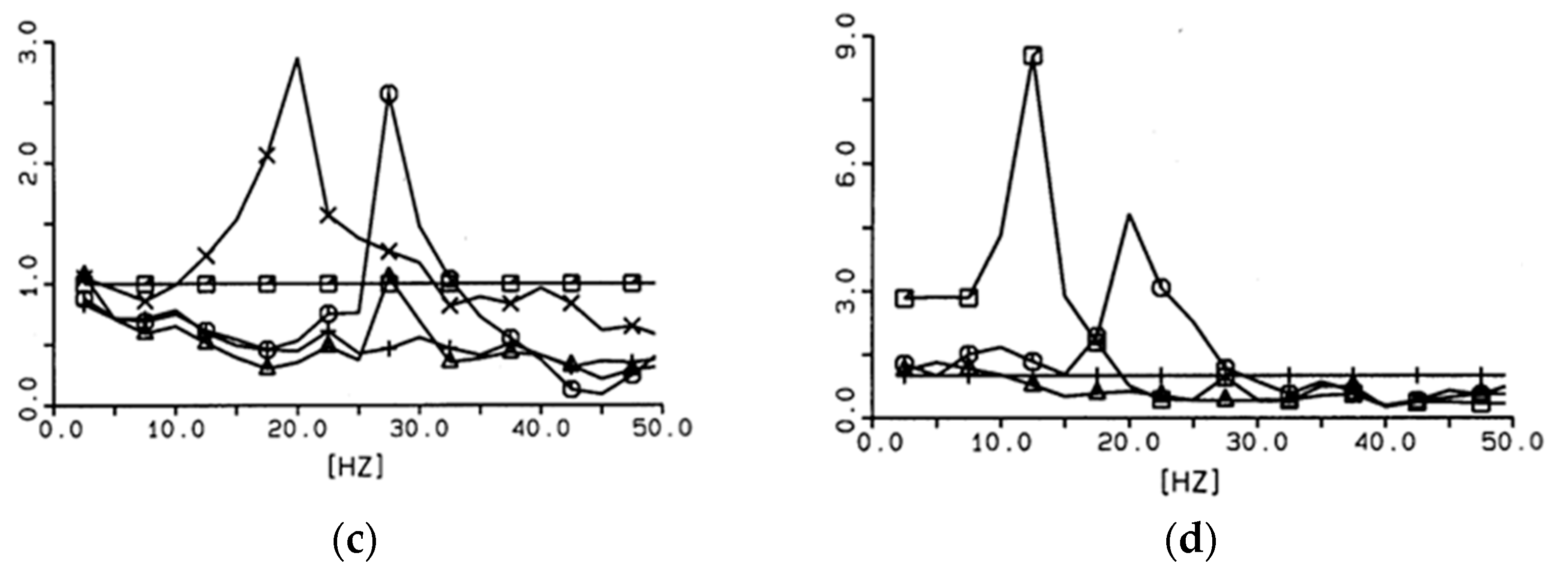
2.4. Building Frequencies
3. Analysis of Amplitudes and Spectra
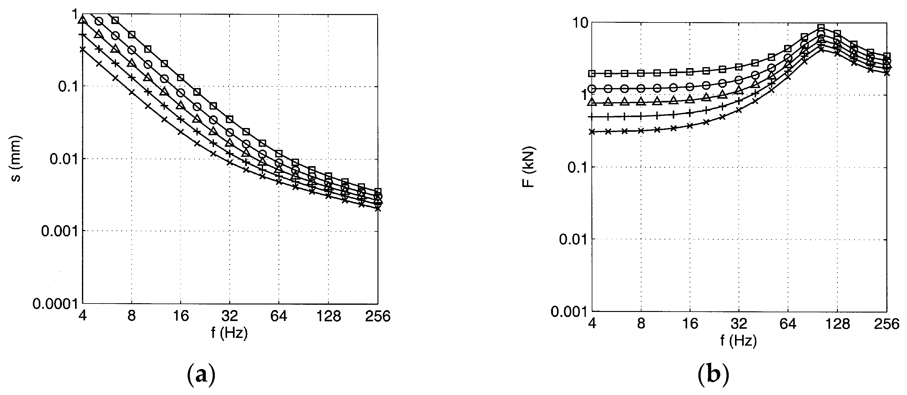
3.1. Vehicle–Track Interaction
3.2. Influence of Vehicle, Track, and Speed on the Ground Vibration
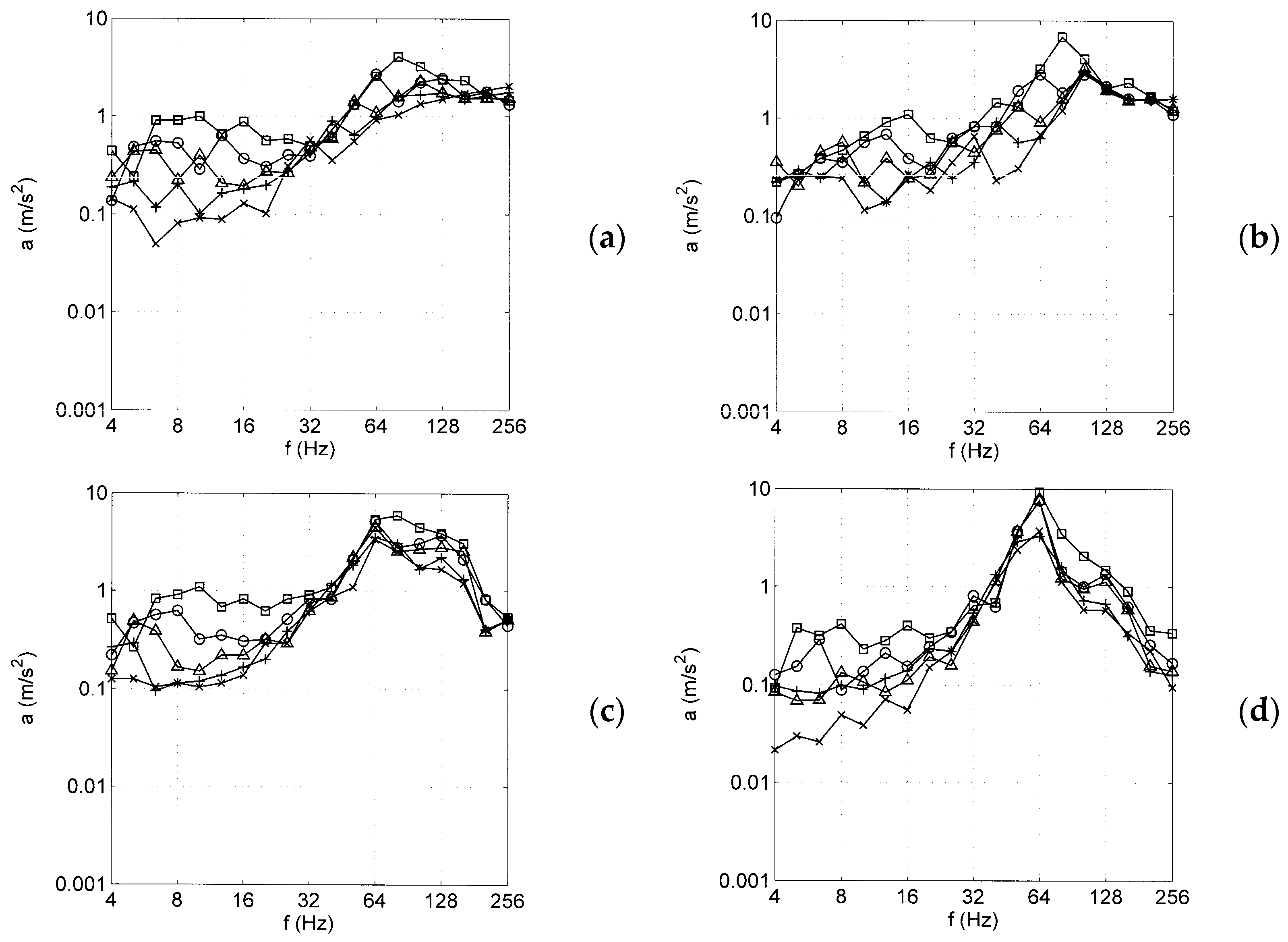
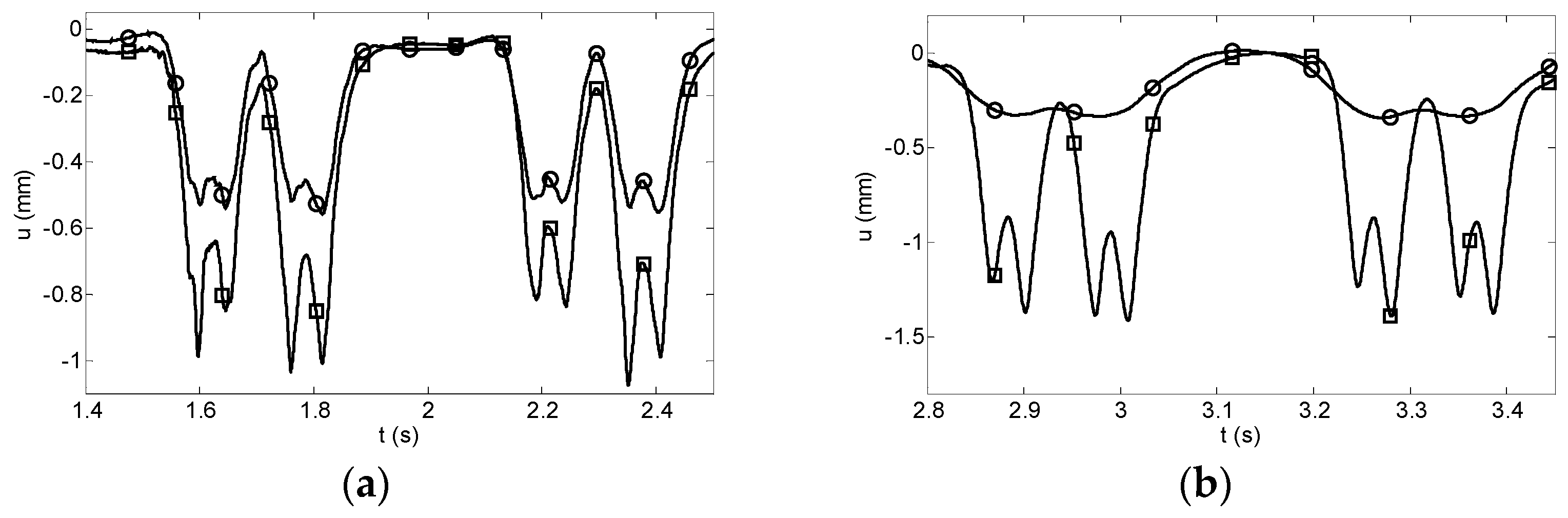
3.3. Building Vibrations at Different Construction Stages
4. Method and Software for the Prediction of Train-Induced Ground and Building Vibrations
5. Conclusions
Author Contributions
Funding
Data Availability Statement
Acknowledgments
Conflicts of Interest
Appendix A. Details of the Measurements
Appendix B. Details and Formulas of the Prediction Methods
- Emission
- Transmission
- Immission
- Comments
References
- Auersch, L. Zur Entstehung und Ausbreitung von Schienenverkehrserschütterungen: Theoretische Untersuchungen und Messungen am Hochgeschwindigkeitszug Intercity Experimental; Research Report 155; BAM: Berlin, Germany, 1988. [Google Scholar]
- Said, S.; Rücker, W. Erschütterungsübertragung Zwischen U-Bahn-Tunneln und Dicht Benachbarten Gebäuden; Research Report 199; BAM: Berlin, Germany, 1994. [Google Scholar]
- Auersch, L.; Said, S.; Rücker, W. Das Fahrzeug-Fahrweg-Verhalten und die Umgebungserschütterungen bei Eisenbahnen; Research Report 243; BAM: Berlin, Germany, 2001. [Google Scholar]
- Auersch, L.; Gerstberger, U.; Meinhardt, C.; Rücker, W. Praxisgerechtes Prognoseverfahren für Schienenverkehrserschütterungen; Final Report BMBF-Nr. 19U0039B; BAM: Berlin, Germany, 2006. [Google Scholar]
- Said, S.; Auersch, L.; Rücker, W. Auswertung von Erschütterungsmessungen der BAM während der ICE-Streckenversuche und Weiterer Messungen Innerhalb des Rad/Schiene-Forschungsprogramms; Research Report for BZA München; BAM: Berlin, Germany, 1991. [Google Scholar]
- RIVAS “Railway Induced Vibration Abatement Solutions”, Research Project in European Union Seventh Framework Programme Under Grant Agreement no 265754, 2011–2014. Available online: https://uic.org/projects-99/article/rivas (accessed on 10 March 2026).
- Van den Broeck, P. A Prediction Model for Ground-Borne Vibrations Due to Railway Traffic. Ph.D. Thesis, KU Leuven, Leuven, Belgium, 2001. [Google Scholar]
- Degrande, G.; Schillemanns, L. Free field vibrations during the passage of a Thalys high-speed train at variable speed. J. Sound Vib. 2001, 247, 131–144. [Google Scholar] [CrossRef]
- Galvin, P. Analisis Numerico y Experimental de las Vibraciones Ocasionadas por el Paso de Trenes de Alta Velocidad en el Suelo y en Structuras Cercana a la Via. Ph.D. Thesis, University of Sevilla, Seville, Spain, 2007. [Google Scholar]
- Ju, S.; Lin, H. Experimentally investigating finite element accuracy for ground vibrations induced by high-speed trains. Eng. Struct. 2008, 30, 733–746. [Google Scholar] [CrossRef]
- Kouroussis, G. Modélisation des Effets Vibratoirs du Traffic Ferroviaire sur L’environnement. Thèse de doctorat, Université de Mons, Mons, Belgium, 2009. [Google Scholar]
- Alves Costa, P. Vibrações do Sistema Via-Maciço Induzidas por Tráfego Ferroviário—Modelação Numérica e Validação Experimental. Ph.D. Thesis, University of Porto, Porto, Portugal, 2011. [Google Scholar]
- Romero, A. Predicción, Medida Experimental y Evaluación de las Vibraciones Producidas por el Tráfico Ferroviario. Ph.D. Thesis, University of Sevilla, Seville, Spain, 2012. [Google Scholar]
- Triepaischajonsak, N. The Influence of Various Excitation Mechanisms on Ground Vibration from Trains. Ph.D. Thesis, University Southampton, Southampton, UK, 2012. [Google Scholar]
- Connolly, D. Ground Borne Vibrations from High-Speed Trains. Ph.D. Thesis, University of Edinburgh, Edinburgh, UK, 2013. [Google Scholar]
- Zhai, W.; Wei, K.; Song, X.; Shao, M. Experimental investigation into ground vibrations induced by very high speed trains on a non-ballasted track. Soil Dyn. Earthq. Eng. 2015, 72, 24–36. [Google Scholar] [CrossRef]
- Arbeitsgemeinschaft Schwingungsausbreitung. Schwingungsausbreitung an Schienenverkehrswegen; Research Report; IGI: Westheim, Germany; LGA: Nürnberg, Germany; Müller-BBM: Planegg, Germany, 1981. [Google Scholar]
- Saurenman, H. High speed rail ground-borne vibration test results. In Proceedings of the APTA Track, Noise & Vibration Meeting; American Public Transportation Association (APTA): Washington, DC, USA, 1996. [Google Scholar]
- Yoshioka, O. Basic characteristics of Shinkansen-induced ground vibration and its reduction measures. In Proceedings of the Wave 2000, Bochum, Germany, 13–15 December 2000; Balkema: Rotterdam, The Netherlands, 2000; pp. 219–237. [Google Scholar]
- Connolly, D.; Alves Costa, P.; Kouroussis, G.; Galvin, P.; Woodward, P.; Laghrouche, O. Large scale international testing of railway ground vibrations across Europe. Soil Dyn. Earthq. Eng. 2015, 71, 1–12. [Google Scholar] [CrossRef]
- Huber, G. Erschütterungsausbreitung Beim Rad/Schiene-System. Ph.D. Thesis, University Karlsruhe, Karlsruhe, Germany, 1988. [Google Scholar]
- Heckl, M.; Hauck, G.; Wettschurek, R. Structure-borne sound and vibration from rail traffic. J. Sound Vib. 1996, 193, 175–184. [Google Scholar] [CrossRef]
- Jurdic, V.; Bewes, O.; Greer, R.; Marshall, T. Developing prediction model for ground-borne noise and vibration from high speed trains running at speeds in excess of 300 km/h. In Proceedings of the 21st ICSV, Beijing, China, 13–17 July 2014; pp. 1–9. [Google Scholar]
- Bengtsson, P. High Speed Lines on Soft Ground—Measurements from the West Coast Line at Ledsgard; Banverket Report; Banverket: Borlänge, Sweden, 1999. [Google Scholar]
- SILVARSTAR GA 101015442 “Soil Vibration and Auralisation Software Tools for Application in Railways”, Research Project in H2020-S2RJU-2020 (Shift2Rail). Available online: https://cordis.europa.eu/project/id/101015442 (accessed on 10 March 2026).
- Pyl, L. Traffic Induced Vibrations in Buildings. Ph.D. Thesis, KU Leuven, Leuven, Belgium, 2004. [Google Scholar]
- Arnst, M. Three-Dimensional Modelling of Free Field and Structural Vibration due to Harmonic and Transient Loading in a Tunnel. Master’s Thesis, KU Leuven, Leuven, Belgium, 2003. [Google Scholar]
- Ropars, P. Modélisation des Vibrations D’origine Ferroviaire Transmises Aux Batiment par le Sol. Ph.D. Thesis, Université Paris-Est, Paris, France, 2011. [Google Scholar]
- Nelson, J.; Saurenman, H. A prediction procedure for rail transportation groundbourne noise and vibration. Transp. Res. Rec. 1987, 1143, 26–35. [Google Scholar]
- Zou, C.; Moore, J.; Sanayei, M.; Wang, Y. Impedance model for estimating train-induced building vibrations. Eng. Struct. 2018, 172, 739–750. [Google Scholar] [CrossRef]
- Clot, A.; Arcos, R.; Romeu, J. Efficient Three-Dimensional Building-Soil Model for the Prediction of Ground-Borne Vibrations in Buildings. J. Struct. Eng. 2017, 143, 04017098. [Google Scholar]
- Galvin, P.; Lopez-Mendoza, D.; Connolly, D.; Degrande, G.; Lombaert, G.; Romero, A. Scoping assessment of free-field vibrations due to railway traffic. Soil Dyn. Earthq. Eng. 2018, 114, 598–614. [Google Scholar] [CrossRef]
- Colaço, A.; Castanheira-Pinto, A.; Alves Costa, P.; Fernández Ruiz, J. Combination of experimental measurements and numerical modelling for prediction of ground-borne vibrations induced by railway traffic. Constr. Build. Mater. 2022, 343, 127928. [Google Scholar] [CrossRef]
- Reumers, P.; Degrande, G.; Lombaert, G.; Thompson, D.J.; Ntotsios, E.; Bouvet, P.; Nélain, B.; Nuber, A. Integration of a hybrid vibration prediction model for railways into noise mapping software: Methodology, assumptions and demonstration. Railw. Eng. Sci. 2025, 33, 1–26. [Google Scholar] [CrossRef]
- Li, X.; Zheng, B.; Chen, Y.; Zou, C. A hybrid methodology for estimating train-induced rigid foundation building vibrations. Constr. Build. Mater. 2025, 460, 139852. [Google Scholar] [CrossRef]
- Auersch, L. Characteristic frequencies of train-induced bridge, track, ground and building vibrations—Excitation and mitigation. In Proceedings of the EVACES, Porto, Portugal, 2–3 July 2025. [Google Scholar]
- Auersch, L. Resonances of railway bridges analysed in frequency domain by the modal-force-excitation, bridge-transfer and axle-sequence spectra. Eng. Struct. 2021, 249, 113282. [Google Scholar] [CrossRef]
- Auersch, L. Train-induced ground vibration due to the irregularities of the soil. Soil Dyn. Earthq. Eng. 2021, 140, 106438. [Google Scholar] [CrossRef]
- Auersch, L. The excitation of ground vibration by rail traffic: Theory of vehicle-track-soil interaction and measurements on high-speed lines. J. Sound Vib. 2005, 284, 103–132. [Google Scholar] [CrossRef]
- Auersch, L. Response to harmonic wave excitation of finite or infinite elastic plates on a homogeneous or layered half-space. Comput. Geotech. 2013, 51, 50–59. [Google Scholar] [CrossRef]
- Auersch, L.; Schmid, G. A simple boundary element formulation and its application to wavefield excited soil-structure interaction. Earthq. Eng. Struct. Dyn. 1990, 19, 931–947. [Google Scholar] [CrossRef]
- Auersch, L. Simple and fast prediction of train-induced track forces, ground and building vibrations. Railw. Eng. Sci. 2020, 28, 232–250. [Google Scholar] [CrossRef]


















Disclaimer/Publisher’s Note: The statements, opinions and data contained in all publications are solely those of the individual author(s) and contributor(s) and not of MDPI and/or the editor(s). MDPI and/or the editor(s) disclaim responsibility for any injury to people or property resulting from any ideas, methods, instructions or products referred to in the content. |
© 2026 by the authors. Licensee MDPI, Basel, Switzerland. This article is an open access article distributed under the terms and conditions of the Creative Commons Attribution (CC BY) license.
Share and Cite
Auersch, L.; Said, S.; Rücker, W. Excitation and Transmission of Train-Induced Ground and Building Vibrations—Measurements, Analysis, and Prediction. Vibration 2026, 9, 21. https://doi.org/10.3390/vibration9010021
Auersch L, Said S, Rücker W. Excitation and Transmission of Train-Induced Ground and Building Vibrations—Measurements, Analysis, and Prediction. Vibration. 2026; 9(1):21. https://doi.org/10.3390/vibration9010021
Chicago/Turabian StyleAuersch, Lutz, Samir Said, and Werner Rücker. 2026. "Excitation and Transmission of Train-Induced Ground and Building Vibrations—Measurements, Analysis, and Prediction" Vibration 9, no. 1: 21. https://doi.org/10.3390/vibration9010021
APA StyleAuersch, L., Said, S., & Rücker, W. (2026). Excitation and Transmission of Train-Induced Ground and Building Vibrations—Measurements, Analysis, and Prediction. Vibration, 9(1), 21. https://doi.org/10.3390/vibration9010021
