Sign in to use this feature.

Years

Between: -

Subjects

remove_circle_outline
remove_circle_outline
remove_circle_outline
remove_circle_outline
remove_circle_outline
remove_circle_outline
remove_circle_outline
remove_circle_outline
remove_circle_outline

Journals

remove_circle_outline
remove_circle_outline
remove_circle_outline
remove_circle_outline
remove_circle_outline
remove_circle_outline
remove_circle_outline
remove_circle_outline
remove_circle_outline
remove_circle_outline

Article Types

Countries / Regions

remove_circle_outline
remove_circle_outline
remove_circle_outline
remove_circle_outline

Search Results (1,091)

Search Parameters:
Keywords = load smoothing

Order results
Result details
Results per page
Select all
Export citation of selected articles as:
19 pages, 1327 KB  
Article
An IoT Architecture for Sustainable Urban Mobility: Towards Energy-Aware and Low-Emission Smart Cities
by Manuel J. C. S. Reis, Frederico Branco, Nishu Gupta and Carlos Serôdio
Future Internet 2025, 17(10), 457; https://doi.org/10.3390/fi17100457 (registering DOI) - 4 Oct 2025
Abstract
The rapid growth of urban populations intensifies congestion, air pollution, and energy demand. Green mobility is central to sustainable smart cities, and the Internet of Things (IoT) offers a means to monitor, coordinate, and optimize transport systems in real time. This paper presents [...] Read more.
The rapid growth of urban populations intensifies congestion, air pollution, and energy demand. Green mobility is central to sustainable smart cities, and the Internet of Things (IoT) offers a means to monitor, coordinate, and optimize transport systems in real time. This paper presents an Internet of Things (IoT)-based architecture integrating heterogeneous sensing with edge–cloud orchestration and AI-driven control for green routing and coordinated Electric Vehicle (EV) charging. The framework supports adaptive traffic management, energy-aware charging, and multimodal integration through standards-aware interfaces and auditable Key Performance Indicators (KPIs). We hypothesize that, relative to a static shortest-path baseline, the integrated green routing and EV-charging coordination reduce (H1) mean travel time per trip by ≥7%, (H2) CO2 intensity (g/km) by ≥6%, and (H3) station peak load by ≥20% under moderate-to-high demand conditions. These hypotheses are tested in Simulation of Urban MObility (SUMO) with Handbook Emission Factors for Road Transport (HBEFA) emission classes, using 10 independent random seeds and reporting means with 95% confidence intervals and formal significance testing. The results confirm the hypotheses: average travel time decreases by approximately 9.8%, CO2 intensity by approximately 8%, and peak load by approximately 25% under demand multipliers ≥1.2 and EV shares ≥20%. Gains are attenuated under light demand, where congestion effects are weaker. We further discuss scalability, interoperability, privacy/security, and the simulation-to-deployment gap, and outline priorities for reproducible field pilots. In summary, a pragmatic edge–cloud IoT stack has the potential to lower congestion, reduce per-kilometer emissions, and smooth charging demand, provided it is supported by reliable data integration, resilient edge services, and standards-compliant interoperability, thereby contributing to sustainable urban mobility in line with the objectives of SDG 11 (Sustainable Cities and Communities). Full article
Show Figures

Figure 1

20 pages, 5885 KB  
Article
Geometric Design and Basic Feature Analysis of Double Helical Face Gears
by Xiaomeng Chu and Faqiang Chen
Machines 2025, 13(10), 912; https://doi.org/10.3390/machines13100912 - 3 Oct 2025
Abstract
This study aims to address the problem that traditional helical gears generate significant axial forces during transmission and innovatively proposes a design scheme of double helical face gears (DHFG). An accurate mathematical model of the tooth surface is established using spatial meshing theory [...] Read more.
This study aims to address the problem that traditional helical gears generate significant axial forces during transmission and innovatively proposes a design scheme of double helical face gears (DHFG). An accurate mathematical model of the tooth surface is established using spatial meshing theory and coordinate transformation. A systematic investigation using the orthogonal test method is then conducted to analyze the influence of key parameters, such as the pinion tooth number, transmission ratio, and helix angle, on gear performance. The finite element analysis results show that the overlap degree of this double helical tooth surface gear pair in actual transmission can reach 2–3, demonstrating excellent transmission smoothness. More importantly, its unique symmetrical tooth surface structure successfully achieves the self-balancing effect of axial force. Simulation verification shows that the axial force is reduced by approximately 70% compared to traditional helical tooth surface gears, significantly reducing the load on the bearing. Finally, the prototype gear is successfully trial-produced through a five-axis machining center. Experimental tests confirmed that the contact impressions are highly consistent with the simulation results, verifying the feasibility of the design theory and manufacturing process. Full article
(This article belongs to the Section Machine Design and Theory)
Show Figures

Figure 1

16 pages, 2383 KB  
Article
A Method for Sizing Shipboard ESSs Based on Generator Output Fluctuation Analysis
by Joohyuk Leem, Taewan Kim, SungHoon Lim and Jung-Wook Park
Electronics 2025, 14(19), 3885; https://doi.org/10.3390/electronics14193885 - 30 Sep 2025
Abstract
The International Maritime Organization (IMO) has announced regulations that affect many shipbuilding industries and related companies. They require building companies to demonstrate strict compliance with these regulations in construction activities going forward. In response, shipbuilding companies are testing various electrification methods, with the [...] Read more.
The International Maritime Organization (IMO) has announced regulations that affect many shipbuilding industries and related companies. They require building companies to demonstrate strict compliance with these regulations in construction activities going forward. In response, shipbuilding companies are testing various electrification methods, with the ultimate aim of making ships more eco-friendly. In large ships, in particular, constructors often take a gradual route by hybridizing the propulsion system. In many large cargo ships, the adoption of energy storage systems (ESSs) is expected as part of this transition. In practice, the most frequently operating units inside the ship are the generator engines (GEs). Therefore, this study targets the fluctuation rate characteristics of GEs, providing a more realistic basis for ESS sizing. By focusing on smoothing the GE output, this study determines the ESS capacity required to maintain system stability using a simple moving average (SMA) method and evaluates the fluctuation rate of the GEs under various load conditions. Full article
Show Figures

Figure 1

14 pages, 2195 KB  
Article
On Relation Between Fatigue Limit ΔσFL and Threshold ΔKth
by Daniel Kujawski and Asuri K. Vasudevan
Appl. Sci. 2025, 15(19), 10405; https://doi.org/10.3390/app151910405 - 25 Sep 2025
Abstract
Under cyclic loading, fatigue limits ΔσFL and fatigue crack growth (FCG) thresholds ΔΚth are usually examined using the S-N (or ε-N) and FCG da/dN-ΔK approaches, respectively. Historically, these two approaches are treated as a separate domain. This separation was due to [...] Read more.
Under cyclic loading, fatigue limits ΔσFL and fatigue crack growth (FCG) thresholds ΔΚth are usually examined using the S-N (or ε-N) and FCG da/dN-ΔK approaches, respectively. Historically, these two approaches are treated as a separate domain. This separation was due to the recognition that the nonuniform local stress field ahead of a crack differs significantly from the uniform stress field in a smooth specimen under axial fatigue loading. At present, there are no reliable approaches to analyzing these two regions in a unified way. In this paper, we first attempt to relate the experimental results of a cracked sample in the near-threshold region to the S-N fatigue limit of a smooth pull-push specimen. Then establish analytically the local stress intensity factor range ΔK at the process/damage zone ahead of the crack utilizing the local stress equal to ΔσFL in a smooth specimen. Doing such an analysis, we can account the variations between the applied and the local stress ratios R (=min stress/max stress) for both cracked and smooth samples. The proposed relationship between ΔKth and ΔσFL would enable the development of a unified framework for fatigue analysis methods to predict damage evolution under low-stress in-service loading conditions. Full article
(This article belongs to the Section Materials Science and Engineering)
Show Figures

Figure 1

19 pages, 3459 KB  
Article
Influence of Sealing Surface Microstructure Characteristics on Flow Resistance and Leakage Between Contact Surfaces
by Przemysław Jaszak, Anna Piwowar and Marcin Bieganowski
Materials 2025, 18(19), 4474; https://doi.org/10.3390/ma18194474 - 25 Sep 2025
Abstract
This paper presents the results of preliminary numerical and experimental studies concerning the sealing performance of static seals (gaskets) with geometrically designed sealing surface microstructures. The concept of the microstructure, inspired by the operating principle of Tesla’s one-way valve, relies on the generation [...] Read more.
This paper presents the results of preliminary numerical and experimental studies concerning the sealing performance of static seals (gaskets) with geometrically designed sealing surface microstructures. The concept of the microstructure, inspired by the operating principle of Tesla’s one-way valve, relies on the generation of localized flow circulation within the microchannels formed between the contact surfaces, which increases flow resistance and reduces leakage. CFD simulations were performed to assess the influence of the geometric parameters of the microstructure on the leakage rate. The numerical calculations demonstrated that introducing microstructures into the gap formed between the contact interfaces can significantly reduce leakage, with the most critical geometric parameters being the gap width between the microprotrusions, their packing density, and their height. Experimental studies confirmed the higher sealing performance of structured gaskets compared to quasi-smooth gaskets, particularly at lower contact pressures. An analysis of the effective contact surface revealed that the improvement in tightness is a result of both the local intensification of the contact pressure and the flow effects induced by the microprotrusions. The results obtained confirm that an appropriately designed surface microstructure can substantially enhance the sealing performance of flange-bolted joints, even under relatively low clamping loads. Full article
(This article belongs to the Section Materials Simulation and Design)
Show Figures

Figure 1

20 pages, 3429 KB  
Article
Localisation-Dependent Variations in Articular Cartilage ECM: Implications for Tissue Engineering and Cartilage Repair
by Laura Weimer, Luisa M. Schmidt, Gerhard Sengle, Marcus Krüger, Alan M. Smith, Ilona Brändlin and Frank Zaucke
Int. J. Mol. Sci. 2025, 26(19), 9331; https://doi.org/10.3390/ijms26199331 - 24 Sep 2025
Viewed by 23
Abstract
Articular cartilage (AC) is a specialised connective tissue covering joint surfaces. It enables smooth movement, distributes mechanical loads, and protects the underlying bone. In response to loading, AC adapts by modifying both its thickness and composition. AC is organised in different zones, with [...] Read more.
Articular cartilage (AC) is a specialised connective tissue covering joint surfaces. It enables smooth movement, distributes mechanical loads, and protects the underlying bone. In response to loading, AC adapts by modifying both its thickness and composition. AC is organised in different zones, with low cellularity and a high abundance of extracellular matrix (ECM). Mechanical overloading or immobilisation can lead to structural changes, potentially resulting in osteoarthritis (OA), for which no causal treatment currently exists. However, smaller defects can be treated using chondrocyte/cartilage transplantation or tissue engineering. A better understanding of the molecular composition of AC at different locations is essential to improve such therapeutic approaches. For this purpose, we performed a comprehensive analysis of porcine femoral knee cartilage at eight defined anatomical sites. Cartilage thickness and proteoglycan (PG) content were analysed histologically, while specific ECM proteins were assessed by proteomics and validated by immunohistochemistry and Western blot. Significant differences were identified, particularly between medial and lateral compartments, in terms of cartilage thickness, PG abundance, and ECM composition. Some proteins also showed zone-specific localisation patterns. These structural differences likely reflect adaptation to mechanical loading and should be considered to optimise future cartilage repair and tissue engineering strategies. Full article
(This article belongs to the Special Issue Ligament/Tendon and Cartilage Tissue Engineering and Reconstruction)
Show Figures

Figure 1

27 pages, 4674 KB  
Article
Design of a Robust Adaptive Cascade Fractional-Order Proportional–Integral–Derivative Controller Enhanced by Reinforcement Learning Algorithm for Speed Regulation of Brushless DC Motor in Electric Vehicles
by Seyyed Morteza Ghamari, Mehrdad Ghahramani, Daryoush Habibi and Asma Aziz
Energies 2025, 18(19), 5056; https://doi.org/10.3390/en18195056 - 23 Sep 2025
Viewed by 202
Abstract
Brushless DC (BLDC) motors are commonly used in electric vehicles (EVs) because of their efficiency, small size and great torque-speed performance. These motors have a few benefits such as low maintenance, increased reliability and power density. Nevertheless, BLDC motors are highly nonlinear and [...] Read more.
Brushless DC (BLDC) motors are commonly used in electric vehicles (EVs) because of their efficiency, small size and great torque-speed performance. These motors have a few benefits such as low maintenance, increased reliability and power density. Nevertheless, BLDC motors are highly nonlinear and their dynamics are very complicated, in particular, under changing load and supply conditions. The above features require the design of strong and adaptable control methods that can ensure performance over a broad spectrum of disturbances and uncertainties. In order to overcome these issues, this paper uses a Fractional-Order Proportional-Integral-Derivative (FOPID) controller that offers better control precision, better frequency response, and an extra degree of freedom in tuning by using non-integer order terms. Although it has the benefits, there are three primary drawbacks: (i) it is not real-time adaptable, (ii) it is hard to choose appropriate initial gain values, and (iii) it is sensitive to big disturbances and parameter changes. A new control framework is suggested to address these problems. First, a Reinforcement Learning (RL) approach based on Deep Deterministic Policy Gradient (DDPG) is presented to optimize the FOPID gains online so that the controller can adjust itself continuously to the variations in the system. Second, Snake Optimization (SO) algorithm is used in fine-tuning of the FOPID parameters at the initial stages to guarantee stable convergence. Lastly, cascade control structure is adopted, where FOPID controllers are used in the inner (current) and outer (speed) loops. This construction adds robustness to the system as a whole and minimizes the effect of disturbances on the performance. In addition, the cascade design also allows more coordinated and smooth control actions thus reducing stress on the power electronic switches, which reduces switching losses and the overall efficiency of the drive system. The suggested RL-enhanced cascade FOPID controller is verified by Hardware-in-the-Loop (HIL) testing, which shows better performance in the aspects of speed regulation, robustness, and adaptability to realistic conditions of operation in EV applications. Full article
Show Figures

Figure 1

14 pages, 1314 KB  
Article
Research on Speed Control of Permanent Magnet Synchronous Motor Based on Improved Fast Terminal Sliding Mode with Adaptive Control Law
by Mingyuan Hu, Lei Zhang, Ran Tao and Ping Wang
Symmetry 2025, 17(10), 1586; https://doi.org/10.3390/sym17101586 - 23 Sep 2025
Viewed by 185
Abstract
Aiming at the control performance degradation of permanent magnet synchronous motor (PMSM) drive systems caused by uncertainties of internal and external disturbances, a robust control algorithm integrating an improved fast terminal sliding mode (IFTSM) surface with a novel adaptive reaching law (NARL) is [...] Read more.
Aiming at the control performance degradation of permanent magnet synchronous motor (PMSM) drive systems caused by uncertainties of internal and external disturbances, a robust control algorithm integrating an improved fast terminal sliding mode (IFTSM) surface with a novel adaptive reaching law (NARL) is proposed. A dynamic model of PMSM with disturbances is established, and an improved fast terminal sliding mode surface is designed. By introducing nonlinear terms and error derivative feedback mechanisms, the finite-time rapid convergence of system states is achieved, while solving the singularity problem of traditional terminal sliding mode control. Combined with the novel adaptive reaching law strategy, a state-dependent gain adjustment function is used to dynamically optimize the balance between reaching speed and chattering, enhancing the smoothness of the system′s dynamic response. Through the synergy of the finite-time convergence characteristic of the improved sliding mode surface and the novel adaptive reaching law, the proposed algorithm significantly enhances the system′s anti-interference capability against load mutations and parameter time variations. Experiment results demonstrate that under complex working conditions, the algorithm achieves superior speed tracking accuracy and current stability, providing a control solution with strong anti-interference capability and fast response for PMSM speed control systems. Full article
(This article belongs to the Section Engineering and Materials)
Show Figures

Figure 1

30 pages, 12986 KB  
Article
Hybrid FEM/SPH Modeling and CT Analysis of Dynamic Damage in Structural Steel Under Impact Loading
by Dariusz Pyka, Adam Kurzawa, Grzegorz Ziółkowski, Maciej Roszak and Martyna Strąg
Appl. Sci. 2025, 15(18), 10234; https://doi.org/10.3390/app151810234 - 19 Sep 2025
Viewed by 217
Abstract
This study analyzed the dynamic behavior of EN C45 structural steel under impulse loading generated by a pressure wave. The experiments were conducted on a special test rig using two load configurations: (I) direct contact of the load with the sample surface and [...] Read more.
This study analyzed the dynamic behavior of EN C45 structural steel under impulse loading generated by a pressure wave. The experiments were conducted on a special test rig using two load configurations: (I) direct contact of the load with the sample surface and (II) detonation at a distance of 30 mm. Depending on the loading conditions, the specimens were fragmented or developed extensive internal cracks and plastic deformations. To complement the experimental program, hybrid numerical simulations were performed using the finite element method (FEM), smoothed particles hydrodynamics (SPH), and coupled Euler–Lagrange (CEL) approach. A modified Johnson–Cook (JC) model was used to account for dynamic damage and cracks. Computed tomography (CT) and metallographic analyses provided detailed information on the formation of cracks in MnS inclusions, brittle cracks near the sample axis, and shear deformation zones away from the axis. These observations allowed direct correlation with the predicted numerical deformation and damage fields. The innovative nature of this work lies in the combination of three complementary computational techniques with computed tomography analysis and microstructure analysis, providing a comprehensive framework for describing and confirming the mechanisms of damage and fragmentation of structural steels under explosive loading. Full article
Show Figures

Figure 1

19 pages, 7429 KB  
Article
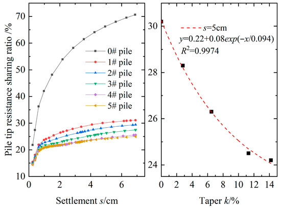
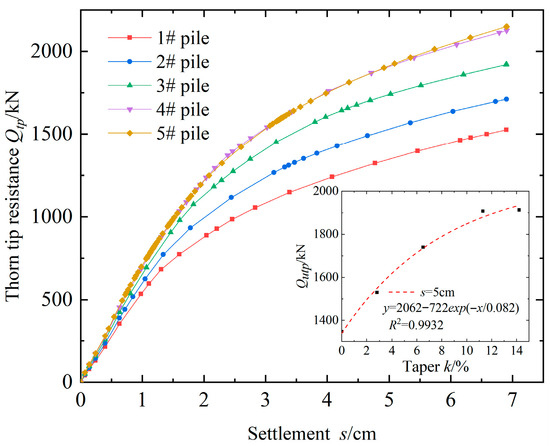
Influence and Bearing Mechanisms of Thorn Shape on Compressive Characteristics of Thorn Piles
by Peng Du, Xiaoling Liu, Dequan Zhou and Chenxi Feng
Buildings 2025, 15(18), 3328; https://doi.org/10.3390/buildings15183328 - 15 Sep 2025
Viewed by 345
Abstract
A new type of thorn pile is proposed to address the poor bearing capacity of the foundation. The design of five thorn piles is presented, and the numerical simulation of pile–soil interaction under a uniform silt foundation is performed using ABAQUS software. The [...] Read more.
A new type of thorn pile is proposed to address the poor bearing capacity of the foundation. The design of five thorn piles is presented, and the numerical simulation of pile–soil interaction under a uniform silt foundation is performed using ABAQUS software. The influence of thorn shape on the compressive bearing capacity of thorn piles is elucidated, and the mechanism of thorn structure on the soil around piles is analyzed. The results showed that the thorn pile can significantly increase pile shaft resistance and reduce pile top settlement compared with the smooth pile. The ultimate bearing capacity of the 5# pile is 1.6 times higher than that of the smooth pile, while the pile top settlement is reduced by 82.9%. The addition of a thorn structure effectively changes the mechanical characteristics of pile shaft resistance softening. Due to the unique characteristic of the divergent conical surface, the truncated conical thorns exert a powerful radial pressure on the surrounding soil under load, thereby increasing the effective stress of the soil around the pile, expanding the influence range of the soil around the pile, and fully mobilizing the shear resistance of the soil, thus improving the bearing capacity of the foundation pile. The optimal shape of the taper thorn is a cone under the same conditions of length and volume. The research results can provide a theoretical foundation for the design and construction of the thorn pile. Full article
(This article belongs to the Section Building Structures)
Show Figures

Figure 1

12 pages, 4988 KB  
Article
Experimental Simulation of In Situ Axial Loading on Deep High-Pressure Frozen Ice
by Yu Zhang, Zhijiang Yang, Tao Han, Ying Ding, Weihao Yang and Peixin Sun
Appl. Sci. 2025, 15(18), 10042; https://doi.org/10.3390/app151810042 - 14 Sep 2025
Viewed by 287
Abstract
The mechanical properties of high-pressure frozen ice are critical design parameters for deep artificial ground freezing and ice sheet drilling operations, making their investigation fundamentally significant. In this study, ice specimens were prepared at −10 °C under freezing pressures of 10, 20, 30, [...] Read more.
The mechanical properties of high-pressure frozen ice are critical design parameters for deep artificial ground freezing and ice sheet drilling operations, making their investigation fundamentally significant. In this study, ice specimens were prepared at −10 °C under freezing pressures of 10, 20, 30, 40, and 50 MPa. In situ axial loading simulation experiments were conducted to investigate their mechanical behavior and macroscopic deformation characteristics during failure. The experimental results indicate that the deviatoric stress–axial strain curves of the ice specimens exhibited a rapid yet smooth transition before and after reaching the peak deviatoric stress, with all samples exhibiting ductile failure. The peak deviatoric stress initially increased and then decreased with increasing freezing pressure, reaching a maximum value of 8.61 MPa at a critical transition pressure of 20 MPa, eventually declining to a minimum of 1.66 MPa at 50 MPa. The residual deviatoric stress decreased significantly with increasing freezing pressure, declining from approximately 3.5 MPa at 10 MPa to 0.85 MPa at 50 MPa. The peak tangent modulus demonstrated a fluctuating trend with increasing freezing pressure, ranging from 1.76 to 2.37 GPa. As the freezing pressure increased, the failed ice specimens transitioned from a densely cross-cracked state to a highly transparent phase, and finally to a sparsely cross-cracked morphology. Full article
Show Figures

Figure 1

18 pages, 5127 KB  
Article
Design of Two-Degree-of-Freedom PID Controllers Optimized by Bee Algorithm for Frequency Control in Renewable Energy Systems
by Sarawoot Boonkirdram, Sitthisak Audomsi, Worawat Sa-Ngiamvibool and Wassana Kasemsin
Energies 2025, 18(18), 4880; https://doi.org/10.3390/en18184880 - 13 Sep 2025
Viewed by 416
Abstract
The increasing incorporation of renewable energy sources, such as photovoltaic and wind power, results in considerable variability and uncertainty within modern power systems, thereby complicating load frequency control. Conventional controllers, including PI and PID, often fail to provide sufficient performance in dynamic conditions. [...] Read more.
The increasing incorporation of renewable energy sources, such as photovoltaic and wind power, results in considerable variability and uncertainty within modern power systems, thereby complicating load frequency control. Conventional controllers, including PI and PID, often fail to provide sufficient performance in dynamic conditions. This study introduces a Two-Degree-of-Freedom PID (2DOF-PID) controller optimized through the Bee Algorithm (BA) for Load Frequency Control (LFC) in a two-area interconnected power system that includes renewable energy sources. The BA is employed to enhance controller parameters according to two objective functions: the Integral of Time-weighted Absolute Error (ITAE) and the Integral of Time-weighted Squared Error (ITSE). Simulation studies utilizing MATLAB/Simulink are conducted to evaluate the comparative effectiveness of PI, PID, and 2DOF-PID controllers. The results demonstrate that the 2DOF-PID controller consistently outperforms conventional PI and PID controllers in terms of frequency stability. The ITAE optimization of the 2DOF-PID results in a reduction in the ITAE index by more than 95% compared to PI and PID controllers, a decrease in settling time by approximately 40–60%, and a near elimination of overshoot and undershoot. Through ITSE optimization, the 2DOF-PID achieves an error reduction exceeding 90% and ensures smooth convergence with minimal oscillations. The PID controller has slightly improved effectiveness in minimizing tie-line power deviation, whereas the 2DOF-PID demonstrates greater resilience and damping capability in frequency regulation across both regions. The findings confirm that the Bee Algorithm-tuned 2DOF-PID controller serves as a robust and effective approach for frequency management in systems primarily reliant on renewable energy sources. Future research should incorporate multi-objective optimization algorithms that concurrently address frequency and tie-line power variations, thereby providing a more equitable control framework for practical Automatic Generation Control (AGC) operations. Full article
(This article belongs to the Special Issue Modeling, Simulation and Optimization of Power Systems: 2nd Edition)
Show Figures

Figure 1

23 pages, 37303 KB  
Article
Design Optimization of a Pseudo-Rigid-Compliant Mechanism for Large, Continuous, and Smooth Morphing of Airfoil Camber
by Victor Alulema, Victor Hidalgo, Edgar Cando and Esteban Valencia
Aerospace 2025, 12(9), 825; https://doi.org/10.3390/aerospace12090825 - 12 Sep 2025
Viewed by 419
Abstract
This work introduces a novel variable camber mechanism that combines the high-load capacity, structural stability, and mechanical efficiency of rigid-body mechanisms with the adaptability, lightweight design, and continuous and smooth motion of compliant mechanisms. The proposed mechanism, featuring an articulated airfoil structure with [...] Read more.
This work introduces a novel variable camber mechanism that combines the high-load capacity, structural stability, and mechanical efficiency of rigid-body mechanisms with the adaptability, lightweight design, and continuous and smooth motion of compliant mechanisms. The proposed mechanism, featuring an articulated airfoil structure with revolute joints and a cantilever beam that models and controls airfoil camber morphing, employs both standard and higher kinematic pairs to constrain mobility and facilitate camber adjustments through beam deflection and coordinated kinematic interactions. Through multidisciplinary optimization, this study determined the optimal mechanism configuration and airfoil shapes for a small fixed-wing UAV (Unmanned Aerial Vehicle), meeting its morphing and mission requirements, showing the potential for drag reduction by up to 13% across various cruise conditions, thus lowering overall mission drag and energy usage. 2D (airfoil) and 3D (wing) prototypes were built to demonstrate the working principle of the proposed mechanism and to highlight its morphing capabilities. It can morph into multiple airfoil configurations, producing continuous, smooth and efficient airfoil shapes. Moreover, the mechanism is robust, simple, and easy to manufacture, effectively harnessing the strengths of both rigid-body and compliant mechanisms. Full article
Show Figures

Figure 1

15 pages, 5328 KB  
Article
Mechanical Behavior and Failure Characteristics of Concrete–Fractured Rock Composites Under Confining Pressure
by Kai Cui and Zheng Yang
Buildings 2025, 15(18), 3285; https://doi.org/10.3390/buildings15183285 - 11 Sep 2025
Viewed by 361
Abstract
Concrete–fractured rock composites (CFRCs) are critical load-bearing systems in tunnels, dams, and other underground structures. Previous studies have not fully characterized how fracture geometry and confining pressure jointly influence crack propagation and failure modes. In this study, the particle flow discrete element method [...] Read more.
Concrete–fractured rock composites (CFRCs) are critical load-bearing systems in tunnels, dams, and other underground structures. Previous studies have not fully characterized how fracture geometry and confining pressure jointly influence crack propagation and failure modes. In this study, the particle flow discrete element method is employed to develop a heterogeneous concrete–fractured rock composite model in which the parallel bond model (PBM) is integrated with the smooth-joint model (SJM). The effects of fracture inclination (0–90°) and confining pressure (1–20 MPa) on the composite’s strength characteristics, crack propagation, and failure modes are systematically investigated. It is demonstrated that composite strength is markedly enhanced by confining pressure. Fracture inclination governs the evolution of the failure mode: as the inclination angle increases from 0° to 90°, overall composite strength increases. Confining pressure further modulates the failure path by altering the threshold for crack initiation. Specifically, under low confinement (<10 MPa), the shear-to-tensile crack ratio decreases with increasing dip angle, marking a transition from shear-dominated to tension-dominated mechanisms. At 20 MPa, the ratio remains relatively constant, with tensile failure being dominant. These findings establish a confining pressure–fracture geometry–failure framework for concrete–rock composites and suggest design strategies for deep tunnels, shallow structures, and inclination-specific reinforcement. Full article
(This article belongs to the Section Building Structures)
Show Figures

Figure 1

26 pages, 5306 KB  
Article
Interfacial Shear Strength of Sand–Recycled Rubber Mixtures Against Steel: Ring-Shear Testing and Machine Learning Prediction
by Rayed Almasoudi, Hossam Abuel-Naga and Abolfazl Baghbani
Buildings 2025, 15(18), 3276; https://doi.org/10.3390/buildings15183276 - 10 Sep 2025
Viewed by 413
Abstract
Soil–structure contacts often govern deformation and stability in foundations and buried infrastructure. Rubber waste is used in soil mixtures to enhance geotechnical performance and promote environmental sustainability. This study investigates the peak and residual shear strength of sand–steel interfaces, where the sand is [...] Read more.
Soil–structure contacts often govern deformation and stability in foundations and buried infrastructure. Rubber waste is used in soil mixtures to enhance geotechnical performance and promote environmental sustainability. This study investigates the peak and residual shear strength of sand–steel interfaces, where the sand is mixed with recycled rubber. It also develops predictive machine learning (ML) models based on the experimental data. Two silica sands, medium and coarse, were mixed with two rubber gradations; however, Rubber B was included only in limited comparative tests at a fixed content. Ring-shear tests were performed against smooth and rough steel plates under normal stresses of 25 to 200 kPa to capture the full τ–δ response. Nine input variables were considered: median particle size (D50), regularity index (RI), porosity (n), coefficients of uniformity (Cu) and curvature (Cc), rubber content (RC), applied normal stress (σn), normalised roughness (Rn), and surface hardness (HD). These variables were used to train multiple linear regression (MLR) and random forest regression (RFR) models. The models were trained and validated on 96 experimental data points derived from ring-shear tests across varied material and loading conditions. The machine learning models facilitated the exploration of complex, non-linear relationships between the input variables and both peak and residual interfacial shear strength. Experimental findings demonstrated that particle size compatibility, rubber content, and surface roughness significantly influence interface behaviour, with optimal conditions varying depending on the surface type. Moderate inclusion of rubber was found to enhance strength under certain conditions, while excessive content could lead to performance reduction. The MLR model demonstrated superior generalisation in predicting peak strength, whereas the RFR model yielded higher accuracy for residual strength. Feature importance analyses from both models identified the most influential parameters governing the shear response at the sand–steel interface. Full article
Show Figures

Figure 1

Back to TopTop