Sign in to use this feature.

Years

Between: -

Subjects

remove_circle_outline
remove_circle_outline
remove_circle_outline
remove_circle_outline
remove_circle_outline
remove_circle_outline

Journals

Article Types

Countries / Regions

Search Results (9)

Search Parameters:
Keywords = liquid slug tracking

Order results
Result details
Results per page
Select all
Export citation of selected articles as:
23 pages, 8440 KB  
Article
Monitoring Liquid Slugs Using Distributed Acoustic Sensing and an Air Gun
by Hyojeong Seo, Erasmus Mensah, Caio Morais De Almeida, Amy Amudzi-Deku and Smith Leggett
Sensors 2026, 26(4), 1278; https://doi.org/10.3390/s26041278 - 16 Feb 2026
Viewed by 436
Abstract
Distributed acoustic sensing sends laser pulses along a fiber optic cable and analyzes the backscattered light to identify acoustic signals along the entire fiber. Liquid slugs were produced in a 427 m vertical test well using surface-controlled gas lift valves. To enhance DAS [...] Read more.
Distributed acoustic sensing sends laser pulses along a fiber optic cable and analyzes the backscattered light to identify acoustic signals along the entire fiber. Liquid slugs were produced in a 427 m vertical test well using surface-controlled gas lift valves. To enhance DAS monitoring, pressure pulses were induced by multiple acoustic shots from a fluid level gun. Visualization of the responses through frequency band energy plots and unfiltered phase shift measurements permitted tracking slug movement and estimating parameters such as velocity, location, and body length. The results demonstrate that DAS stimulated with acoustic pulses can effectively track liquid slugs in real-time. We observe that relying solely on flow-induced noise in multiphase flow environments may not provide sufficient signal strength for slug detection. Applications include real-time detection of liquid slugs for improved well monitoring and flow management. Full article
(This article belongs to the Section Physical Sensors)
Show Figures

Figure 1

23 pages, 5974 KB  
Article
Gas–Liquid Two-Phase Flow in a Hydraulic Braking Pipeline: Flow Pattern and Bubble Characteristics
by Xiaolu Li, Yiyu Ke, Cangsu Xu, Jia Sun and Mingxuan Liang
Fluids 2025, 10(8), 196; https://doi.org/10.3390/fluids10080196 - 29 Jul 2025
Viewed by 1090
Abstract
An in-depth analysis of the two-phase flow in a hydraulic braking pipeline can reveal its evolution process pertinent for designing and maintaining the hydraulic system. In this study, a high-speed camera examined the two-phase flow pattern and bubble characteristics in a hydraulic braking [...] Read more.
An in-depth analysis of the two-phase flow in a hydraulic braking pipeline can reveal its evolution process pertinent for designing and maintaining the hydraulic system. In this study, a high-speed camera examined the two-phase flow pattern and bubble characteristics in a hydraulic braking pipeline. Bubble flow pattern recognition, bubble segmentation, and bubble tracking were performed to analyze the bubble movement, including its behavior, distribution, velocity, and acceleration. The results indicate that the gas–liquid two-phase flow patterns in the hydraulic braking pipeline include bubbly, slug, plug, annular, and transient flows. Experiments reveal that bubbly flow is the most frequent, followed by slug, plug, and transient flows. However, plug and transient flows are unstable, while annular flow occurs at a wheel speed of 200 r/min. Bubbles predominantly appear in the upper section of the pipeline. Furthermore, large bubbles travel faster than small bubbles, whereas slug flow bubbles exhibit higher velocities than those in plug or transient flows. Full article
(This article belongs to the Special Issue Hydraulic Flow in Pipelines)
Show Figures

Figure 1

26 pages, 7857 KB  
Article
Research on Optimization of Intermittent Production Process System
by Jie Xiong, Ting Zhang, Jian Yang, Fengjing Sun, Jianyi Liu, Yimin Wen and Gongheng Pan
Processes 2024, 12(9), 1877; https://doi.org/10.3390/pr12091877 - 2 Sep 2024
Viewed by 1748
Abstract
As gas wells enter later production stages, the formation pressure decreases and liquid accumulates at the bottom of the gas well. The formation pressure is insufficient to lift the accumulated liquid from the bottom of the well to the surface. At this time, [...] Read more.
As gas wells enter later production stages, the formation pressure decreases and liquid accumulates at the bottom of the gas well. The formation pressure is insufficient to lift the accumulated liquid from the bottom of the well to the surface. At this time, a large number of gas wells need to undergo intermittent production to maintain their production capacity. This article focuses on the four stages of intermittent production in gas wells, considering the changes in slip gas holdup, pressure, and gas–liquid flow in and out of tubing and casing, and establishes a transient mathematical model for intermittent production in gas wells in stages. By using the dynamic tracking technology of moving liquid slugs to divide the wellbore grid and solve it in stages, the optimal shut-in time for intermittent production of gas wells was obtained. The transient mathematical model developed for intermittent gas well production achieved a high historical fit accuracy of over 90%. This indicates that the simulation results are in line with the actual situation of gas well intermittent production and can effectively guide intermittent production. The optimized intermittent production system of gas wells has a higher cumulative gas production compared to the original system, achieving the optimization of intermittent production system. This method is beneficial for guiding efficient production of gas wells in low-pressure formations. Full article
(This article belongs to the Section Process Control and Monitoring)
Show Figures

Figure 1

11 pages, 2752 KB  
Article
Motion Characteristics of Gas–Liquid Two-Phase Flow of Microbubbles in a Labyrinth Channel Used for Aerated Drip Irrigation
by Yanfang Liu, Guocui Wang, Xianna Zhang, Hongchen Li, Bingcheng Si, Wenqian Liu and Zhenhua Zhang
Water 2023, 15(7), 1432; https://doi.org/10.3390/w15071432 - 6 Apr 2023
Cited by 4 | Viewed by 3176
Abstract
The indefinite characteristics of gas–liquid two-phase flow limit the usage of aerated drip irrigation. Gas–liquid two-phase flow in a labyrinth channel was observed using a particle tracking velocimetry (PTV) technique in this study. The motion trajectory and velocity vector of large numbers of [...] Read more.
The indefinite characteristics of gas–liquid two-phase flow limit the usage of aerated drip irrigation. Gas–liquid two-phase flow in a labyrinth channel was observed using a particle tracking velocimetry (PTV) technique in this study. The motion trajectory and velocity vector of large numbers of microbubbles were characterized and analyzed at 0.01, 0.02, 0.04 MPa inlet pressure and in three labyrinth channels with different geometries. The results indicated that bubbly flow was the typical flow pattern in a labyrinth channel, with slug flow occurring occasionally. Smooth and gliding motion trajectories of bubbles were observed in the mainstream zone, while twisted trajectories were seen in the vortex zone. Increasing the inlet pressure increased the number of bubbles and the trajectory length in the vortex zone. When the inlet pressure increased from 0.02 to 0.04 MPa, the 25th percentile of Rc-t (the Ratio of Circular path length in the vortex zone to the Total trajectory length for a single bubble) increased from 0 to 12.3%, 0 to 6.1%, and 0 to 5.2% for channels A, B, and C, respectively; the 75th percentile increased from 31.3% to 43.9%, 27.5% to 31.9%, and 18.7% to 22.3%. The velocity vectors of the bubbles showed position dependence. Bubbles with high speed were found in the mainstream zone with their directions parallel to the water flow direction. Bubbles with low speed were seen in the vortex zone, moving in all directions. With inlet pressure increased from 0.01 to 0.04 MPa, the mean instantaneous velocities of bubbles in channels A, B, and C are increased by 106.2%, 107.6%, and 116.6%, respectively. At 0.04 MPa, channel A has the longest path length and the highest instantaneous velocity of bubbles in the vortex zone among three channels, exhibiting the highest anti-clogging performance of the three channels. This study will help in the comprehensive understanding of gas–liquid two-phase flow in a labyrinth channel used for aerated drip irrigation. Full article
(This article belongs to the Section Hydraulics and Hydrodynamics)
Show Figures

Figure 1

18 pages, 3447 KB  
Article
Prediction of Horizontal Gas–Liquid Segregated Flow Regimes with an All Flow Regime Multifluid Model
by Marco Colombo, Andrea De Santis, Bruce C. Hanson and Michael Fairweather
Processes 2022, 10(5), 920; https://doi.org/10.3390/pr10050920 - 6 May 2022
Cited by 16 | Viewed by 3134
Abstract
The generalized multifluid modelling approach (GEMMA) has been developed to handle the multiplicity of flow regimes and the coexistence of interfaces of largely different scales in multiphase flows. The solver, based on the OpenFOAM reactingEulerFoam family of solvers, adds interface resolving-like capabilities to [...] Read more.
The generalized multifluid modelling approach (GEMMA) has been developed to handle the multiplicity of flow regimes and the coexistence of interfaces of largely different scales in multiphase flows. The solver, based on the OpenFOAM reactingEulerFoam family of solvers, adds interface resolving-like capabilities to the multifluid solver in the cells occupied by large interfaces. In this paper, GEMMA is further developed to predict stratified and slug flow regimes in horizontal ducts. The suppression of the turbulence and the wall-like behaviour of large interfaces is modelled with an additional dissipation source. This enables an accurate prediction of the velocity and of the turbulence kinetic energy in a stratified channel flow and the capturing of the formation and the travel of liquid slugs in an annulus. Large interfaces are identified and tracked, not only in the smooth and wavy stratified regimes but also in the much more perturbed interfaces of liquid slugs. The present work confirms GEMMA to be a reliable approach to provide all flow regime modelling capabilities. Further development will be focused on large interface momentum-transfer modelling, responsible for the overestimation of the interfacial shear and the limited liquid excursion during slugs, and the extension to interface break-up and the entrainment of bubbles and droplets, to handle the entire range of regimes encountered in horizontal flows. Full article
(This article belongs to the Special Issue Multifluid Computational Fluid Dynamic Simulation)
Show Figures

Figure 1

11 pages, 5975 KB  
Article
Distributed Acoustic Sensing (DAS) Response of Rising Taylor Bubbles in Slug Flow
by Aleksei Titov, Yilin Fan, Kagan Kutun and Ge Jin
Sensors 2022, 22(3), 1266; https://doi.org/10.3390/s22031266 - 7 Feb 2022
Cited by 20 | Viewed by 5357
Abstract
Slug flow is one of the most common flow types encountered in surface facilities, pipelines, and wellbores. The intermittent gas phase, in the form of a Taylor bubble, followed by the liquid phase can be destructive to equipment. However, commonly used point flow [...] Read more.
Slug flow is one of the most common flow types encountered in surface facilities, pipelines, and wellbores. The intermittent gas phase, in the form of a Taylor bubble, followed by the liquid phase can be destructive to equipment. However, commonly used point flow sensors have significant limitations for flow analysis. Distributed acoustic sensing (DAS) can turn optical fibers into an array of distributed strain rate sensors and provide substantial insights into flow characterization. We built a 10 m vertical laboratory flow loop equipped with wrapped fiber optic cables to study the DAS response of rising Taylor bubbles. Low-passed DAS data allow for velocity tracking of Taylor bubbles of different sizes and water velocities. Moreover, we measured the velocity of the wake region following the Taylor bubble and explored the process of Taylor bubbles merging. The amplitude analysis of DAS data allows for the estimation of Taylor bubble size. We conclude that DAS is a promising tool for understanding Taylor bubble properties in a laboratory environment and monitoring destructive flow in facilities across different industries to ensure operations are safe and cost-effective. Full article
Show Figures

Figure 1

20 pages, 4447 KB  
Article
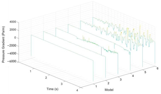
Effects of Selection of Inlet Perturbations, Multiphase and Turbulence Equations on Slug Flow Characteristics Using Altair® AcuSolve™
by Mohammad Sobir Abdul Basith, Nabihah Sallih, William Pao King Soon, Shinji Thomas Shibano, Ramesh Singh and Mohd Ayub Sulong
Processes 2021, 9(12), 2152; https://doi.org/10.3390/pr9122152 - 29 Nov 2021
Cited by 4 | Viewed by 3589
Abstract
Selection of inlet perturbations, multiphase equations, and the turbulence equation may affect the development of slug flow using computational fluid dynamic simulation tools. The inlet perturbation, such as sinusoidal and random perturbations, play an essential role in inducing slug formation. Multiphase equations such [...] Read more.
Selection of inlet perturbations, multiphase equations, and the turbulence equation may affect the development of slug flow using computational fluid dynamic simulation tools. The inlet perturbation, such as sinusoidal and random perturbations, play an essential role in inducing slug formation. Multiphase equations such as volume of fluid and level set methods are used to track and capture the gas-liquid immiscible interface. Similarly, turbulence equations such as Spalart Allmaras (SA), Detached Eddy Simulations (DES), k-omega, and k-epsilon can be used to predict the evolution of turbulence within the flow. At present, no direct comparison is available in the literature on the selection of (i) types of inlet perturbations, (ii) the choice of multiphase equations, and (iii) the turbulence equation on the development of slug flow using the Altair computational package. This article aims to compare the effects of the selection of inlet perturbations, multiphase models and turbulence equations on slug flow characteristics using Altair® AcuSolve™. The findings by Altair® simulation were compared to published experimental data and simulation works using ANSYS and STAR-CCM+. The slug flow characteristics of interest include slug morphology, a body length-to-diameter ratio, velocity, frequency, and pressure gradient. It was found that the slug flow could be developed for all combinations of settings. Although level set approach in Altair® can track fluid motion successfully, it has a limitation in modelling the convective transport of the multiphase mixture well, unlike ANSYS and STAR-CCM+. Compared to the standard level set method, the coupling of back-and-forth error compensation and correction with the level set function helps to capture the internal boundary more accurately by reducing errors caused by numerical diffusion in the transport of the level set. It was revealed that the Spalart Allmaras turbulence equation could mimic published experimental result better than DES as it produced the closest slug translational velocity. Since the frequency of the slugs for the developed models showed a good agreement with the published data, the models could be sufficient for the investigation of fluid-structure interaction. Full article
(This article belongs to the Section Process Control and Monitoring)
Show Figures

Figure 1

13 pages, 2609 KB  
Article
Isolated Taylor Bubbles in Co-Current with Shear Thinning CMC Solutions in Microchannels—A Numerical Study
by Ana I. Moreira, Luís A. M. Rocha, João Carneiro, José D. P. Araújo, João B. L. M. Campos and João M. Miranda
Processes 2020, 8(2), 242; https://doi.org/10.3390/pr8020242 - 20 Feb 2020
Cited by 16 | Viewed by 5013
Abstract
Slug flow is a multiphase flow pattern characterized by the occurrence of long gas bubbles (Taylor bubbles) separated by liquid slugs. This multiphase flow regime is present in many and diversified natural and industrial processes, at macro and microscales, such as in eruption [...] Read more.
Slug flow is a multiphase flow pattern characterized by the occurrence of long gas bubbles (Taylor bubbles) separated by liquid slugs. This multiphase flow regime is present in many and diversified natural and industrial processes, at macro and microscales, such as in eruption of volcanic magmas, oil recovery from pre-salt regions, micro heat exchangers, and small-sized refrigerating systems. Previous studies in the literature have been mostly focused on tubular gas bubbles flowing in Newtonian liquids. In this work, results from several numerical simulations of tubular gas bubbles flowing in a shear thinning liquid in microchannels are reported. To simulate the shear thinning behavior, carboxymethylcellulose (CMC) solutions with different concentrations were considered. The results are compared with data from bubbles flowing in Newtonian liquids in identical geometric and dynamic conditions. The numerical work was carried out in computational fluid dynamics (CFD) package Ansys Fluent (release 16.2.0) employing the volume of fluid (VOF) methodology to track the volume fraction of each phase and the continuum surface force (CSF) model to insert the surface tension effects. The flow patterns, the viscosity distribution in the liquid, the liquid film thickness between the bubble and the wall, and the bubbles shape are analyzed for a wide range of shear rates. In general, the flow patterns are similar to those in Newtonian liquids, but in the film, where a high viscosity region is observed, the thickness is smaller. Bubble velocities are smaller for the non-Newtonian cases. Full article
(This article belongs to the Special Issue Flow, Heat and Mass Transport in Microdevices)
Show Figures

Figure 1

11 pages, 1586 KB  
Article
Single- and Two-Phase Flow Characterization Using Optical Fiber Bragg Gratings
by Virgínia H.V. Baroncini, Cicero Martelli, Marco José Da Silva and Rigoberto E.M. Morales
Sensors 2015, 15(3), 6549-6559; https://doi.org/10.3390/s150306549 - 17 Mar 2015
Cited by 22 | Viewed by 6971
Abstract
Single- and two-phase flow characterization using optical fiber Bragg gratings (FBGs) is presented. The sensor unit consists of the optical fiber Bragg grating positioned transversely to the flow and fixed in the pipe walls. The hydrodynamic pressure applied by the liquid or air/liquid [...] Read more.
Single- and two-phase flow characterization using optical fiber Bragg gratings (FBGs) is presented. The sensor unit consists of the optical fiber Bragg grating positioned transversely to the flow and fixed in the pipe walls. The hydrodynamic pressure applied by the liquid or air/liquid flow to the optical fiber induces deformation that can be detected by the FBG. Given that the applied pressure is directly related to the mass flow, it is possible to establish a relationship using the grating resonance wavelength shift to determine the mass flow when the flow velocity is well known. For two phase flows of air and liquid, there is a significant change in the force applied to the fiber that accounts for the very distinct densities of these substances. As a consequence, the optical fiber deformation and the correspondent grating wavelength shift as a function of the flow will be very different for an air bubble or a liquid slug, allowing their detection as they flow through the pipe. A quasi-distributed sensing tool with 18 sensors evenly spread along the pipe is developed and characterized, making possible the characterization of the flow, as well as the tracking of the bubbles over a large section of the test bed. Results show good agreement with standard measurement methods and open up plenty of opportunities to both laboratory measurement tools and field applications. Full article
(This article belongs to the Section Physical Sensors)
Show Figures

Figure 1

Back to TopTop