Sign in to use this feature.

Years

Between: -

Subjects

remove_circle_outline
remove_circle_outline
remove_circle_outline
remove_circle_outline
remove_circle_outline
remove_circle_outline
remove_circle_outline
remove_circle_outline
remove_circle_outline

Journals

Article Types

Countries / Regions

remove_circle_outline
remove_circle_outline
remove_circle_outline
remove_circle_outline

Search Results (252)

Search Parameters:
Keywords = linac

Order results
Result details
Results per page
Select all
Export citation of selected articles as:
23 pages, 9651 KB  
Article
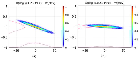
An Alvarez-Type Linac Configuration for Future Carbon and Helium Ion Therapy Facilities with Parallel Radioisotope Production
by Lazar Nikitovic, Maurizio Vretenar and Toms Torims
Instruments 2026, 10(1), 16; https://doi.org/10.3390/instruments10010016 - 7 Mar 2026
Viewed by 136
Abstract
The increasing demand for ion beams heavier than protons—particularly carbon and helium ions—for cancer therapy has driven the development of advanced accelerator technologies. Although proton therapy is well established, its physical properties limit its effectiveness against certain tumor types, thereby motivating the use [...] Read more.
The increasing demand for ion beams heavier than protons—particularly carbon and helium ions—for cancer therapy has driven the development of advanced accelerator technologies. Although proton therapy is well established, its physical properties limit its effectiveness against certain tumor types, thereby motivating the use of ions with higher linear energy transfer (LET) and greater biological effectiveness. This study presents the design of an Alvarez-type linear accelerator configuration that combines a Quasi-Alvarez Drift Tube Linac (QA-DTL) and a conventional Alvarez Drift Tube Linac (DTL). The proposed systems are intended for accelerating and injecting carbon or helium ions into a cancer therapy synchrotron, as well as accelerating helium ions for radioisotope production. The optimized QA-DTL and DTL structures provide a versatile and efficient solution for future particle therapy facilities, addressing the growing demand for compact, high-performance, and multifunctional accelerator systems. The proposed linac configurations are designed to operate at 352.2 MHz and consist of three sections. For accelerating low-velocity ions, the first section is a QA-DTL, which is the only section powered during the injection of carbon or helium ions (depending on configuration) into the therapy synchrotron at the energy of 5 MeV/u. The QA-DTL is followed by two DTL cavities forming the second and third sections, which further accelerate helium ions to energies of up to 7.1 MeV/u and 10 MeV/u, respectively. The energy of 7.1 MeV/u is chosen because it represents the production threshold of 211At, one of the most promising alpha emitters for targeted alpha therapy. Full article
(This article belongs to the Special Issue Compact Accelerators)
Show Figures

Figure 1

27 pages, 2609 KB  
Article
Platform-Dependent Differences in Beam Characteristics and Low-Dose Exposure: A Comparative Study of Elekta™ Synergy and Varian TrueBeam™ Linear Accelerators Using SunSCAN™ 3D Phantom and Octavius® 4D QA
by Marian-Răzvan Bălan, Anda Elena Crișan, Eugen Osiac, Cristiana-Iulia Dumitrescu, Suzana Măceș, Mihai Popescu, Luana Corina Lascu, Maria Mihai, Sanda-Amelia Drăcea, Oana Ciobănescu, Mădălin-Cristian Moraru and Daniela Dumitrescu
J. Clin. Med. 2026, 15(4), 1619; https://doi.org/10.3390/jcm15041619 - 20 Feb 2026
Viewed by 278
Abstract
Background/Objectives: Inter-platform variability in beam characteristics and low-dose exposure may arise from differences in linear accelerator head design, multileaf collimator geometry, and dose calculation algorithms. This study aimed to evaluate system-level dosimetric differences between two widely used linear accelerator platforms under clinically commissioned [...] Read more.
Background/Objectives: Inter-platform variability in beam characteristics and low-dose exposure may arise from differences in linear accelerator head design, multileaf collimator geometry, and dose calculation algorithms. This study aimed to evaluate system-level dosimetric differences between two widely used linear accelerator platforms under clinically commissioned conditions. Methods: A comparative dosimetric analysis was performed between Elekta Synergy and Varian TrueBeam linear accelerators. Beam data were acquired using a SunSCAN™ 3D water phantom, and patient-specific quality assurance was conducted with the Octavius® 4D system. Treatment plans were generated for left-sided breast, prostate, and head and neck cases using clinically commissioned treatment planning systems. Beam flatness, symmetry, penumbra width, low-dose exposure, conformity, homogeneity, and organ-at-risk dose metrics were evaluated. Results: Platform-dependent differences were observed in penumbra behavior and out-of-field dose, primarily attributable to intrinsic linac head design and collimation characteristics. These differences propagated into clinical plans, with greater variability observed for breast and head and neck cases, while prostate plans showed higher consistency between platforms. Algorithm-dependent trends were noted for conformity and homogeneity indices; however, all plans met institutional clinical acceptance criteria during quality assurance. Stricter gamma evaluation criteria revealed systematic but limited inter-platform deviations. Conclusions: Elekta Synergy and Varian TrueBeam demonstrated clinically acceptable dosimetric performance, with modest platform-dependent differences. While target coverage and overall plan quality were comparable, these variations were primarily observed in peripheral dose regions and may be relevant for platform-specific planning optimization and quality assurance. This supports the importance of comprehensive commissioning and QA procedures in both mixed- and single-platform clinical settings, particularly for highly modulated techniques. Full article
(This article belongs to the Special Issue Clinical Advances in Radiation Therapy for Cancers)
Show Figures

Figure 1

17 pages, 41360 KB  
Article
PEERing into the Future: Benchmarking the ANSTO Australian Synchrotron’s Very-High-Energy Electron Linac for Ultra-High Dose-Rate, In Vivo FLASH Radiotherapy Research
by James Cayley, Elette Engels, Tessa Charles, Kiarn Roughley, Marie Wegner, Sarah Koschny, Kirsty Brunt, Matthew Cameron, Daniel Hausermann, Paul Bennetto, Elisabetta Gargioni, Moeava Tehei, Elisabeth Schültke, Anatoly Rosenfeld, Yaw-Ren Eugene Tan and Michael Lerch
Cancers 2026, 18(4), 640; https://doi.org/10.3390/cancers18040640 - 16 Feb 2026
Viewed by 363
Abstract
Background/Objectives: The PEER beamline at the ANSTO Australian Synchrotron has been developed to enable VHEE FLASH radiotherapy studies, both dosimetric and biological. Featuring a 100 MeV electron linac, it delivers single or multi-pulse irradiations consisting of 100 ps bunches with a 2 ns [...] Read more.
Background/Objectives: The PEER beamline at the ANSTO Australian Synchrotron has been developed to enable VHEE FLASH radiotherapy studies, both dosimetric and biological. Featuring a 100 MeV electron linac, it delivers single or multi-pulse irradiations consisting of 100 ps bunches with a 2 ns spacing, resulting in average dose-rates and instantaneous dose-rates as high as 108 Gy/s and 109 Gy/s, respectively. Much work has been conducted to realise a stable accelerator facility, complete with the tooling and diagnostics required to undertake such studies. However, to truly confirm its suitability required a successful biological benchmarking. Methods: Three cell lines were irradiated utilising real-time dosimetry to compare linear quadratic cell survival curves with other facilities. Also, mouse cadavers were transported and irradiated, mimicking live animals, to assess the feasibility and logistics of small animal experiments. Results: By comparing the trends of the linear quadratic model, evident in the α and β parameters, the PEER cell survival results were shown to be in agreement with VHEE results from the ARES beamline at DESY, Hamburg, Germany. Evident in the survival trends, VHEE produced more cell sparing in all cell lines compared to 2 Gy/s X-rays delivered on the IMBL, another beamline at the Australian Synchrotron. The results of the mouse cadaver irradiations showed that PEER can safely and efficiently irradiate small animals. Conclusions: The PEER beamline is shown to possess suitable capabilities, including real-time dosimetry, repeatable alignment, and linac diagnostics, rendering it suitable for future in vivo VHEE UHDR FLASH radiotherapy investigations. Full article
(This article belongs to the Special Issue New Approaches in Radiotherapy for Cancer)
Show Figures

Figure 1

28 pages, 3527 KB  
Article
Preclinical Validation of the iBNCT001 Accelerator System for Boron Neutron Capture Therapy: In Vitro Efficacy, Beam Quality, and Radiation Safety Evaluation
by Yoshitaka Matsumoto, Yu Sugawara, Kei Nakai, Hiroaki Kumada, Haru Takeuchi, Kenta Takada, Takashi Sugimura, Masaharu Sato, Koichi Hashimoto, Zhigao Fang, Fujio Naito and Hideyuki Sakurai
Appl. Sci. 2026, 16(4), 1752; https://doi.org/10.3390/app16041752 - 10 Feb 2026
Viewed by 286
Abstract
Boron neutron capture therapy (BNCT) is a binary radiotherapy that is based on nuclear reactions between boron-10 and low-energy neutrons, which enables selective tumor cell killing. Although accelerator-based BNCT systems are increasingly being adopted, each platform requires independent biological validation. Here, we performed [...] Read more.
Boron neutron capture therapy (BNCT) is a binary radiotherapy that is based on nuclear reactions between boron-10 and low-energy neutrons, which enables selective tumor cell killing. Although accelerator-based BNCT systems are increasingly being adopted, each platform requires independent biological validation. Here, we performed an in vitro preclinical evaluation of the linac-based iBNCT001 system employing a beryllium target in combination with the clinically approved boron drug SPM-011 (borofalan (10B)). Three complementary studies were conducted: (i) a cell-based BNCT efficacy study, (ii) a free-beam radiobiological evaluation, and (iii) a radiation leakage assessment using a human-phantom model. BNCT using iBNCT001 and SPM-011 induced clear boron concentration- and dose-dependent reductions in clonogenic survival across multiple tumor cell lines. Free-beam experiments determined a relative biological effectiveness (RBE) of 2.3 for the hydrogen dose component associated with high energy neutrons. In the phantom study, the maximum radiation leakage dose during head irradiation was 1.31 GyEq in the cervical region. Although this study is limited to in vitro biological assessments, the results provide non-clinical evidence supporting the efficacy, beam quality, and biological safety of iBNCT001 for future clinical BNCT applications. Full article
(This article belongs to the Special Issue Novel Technologies in Radiology: Diagnosis, Prediction and Treatment)
Show Figures

Figure 1

14 pages, 777 KB  
Article
MR-Linac–Based SBRT for Prostate Cancer: Dosimetric Benefits for Urethral Sparing Compared to VMAT and Tomotherapy
by Eva Y. W. Cheung, Darren M. C. Poon, Gavin C. K. Chan, Renee W. S. Ma, Jessie S. Y. Wong, Y. Nip, Connie N. K. Lam and K. P. Fong
Cancers 2026, 18(4), 568; https://doi.org/10.3390/cancers18040568 - 9 Feb 2026
Viewed by 403
Abstract
Background: Stereotactic body radiotherapy (SBRT) for prostate cancer delivers high doses in few fractions but poses challenges in sparing adjacent organs at risk (OARs), particularly the intra-prostate urethra, bladder, rectum and penile bulb. Magnetic resonance-guided radiotherapy (MRgRT) using MR-Linac offers superior soft-tissue [...] Read more.
Background: Stereotactic body radiotherapy (SBRT) for prostate cancer delivers high doses in few fractions but poses challenges in sparing adjacent organs at risk (OARs), particularly the intra-prostate urethra, bladder, rectum and penile bulb. Magnetic resonance-guided radiotherapy (MRgRT) using MR-Linac offers superior soft-tissue visualization and daily adaptive planning, potentially reducing OAR dose while maintaining target coverage. This study aimed to compare dose–volume parameters among MR-Linac (ML), volumetric modulated arc therapy (VMAT), and Tomotherapy (HT) plans for prostate SBRT. Methods: Thirty patients with localized prostate cancer were retrospectively analyzed. For each patient, three plans were generated: ML, VMAT and HT, using identical prescription and planning objectives. Dose–volume histogram (DVH) metrics were evaluated for clinical target volume (CTV), planning target volume (PTV), and OARs. Statistical comparisons were performed using non-parametric Friedman’s Test with post hoc Bonferroni test, with significance set at a p < 0.05. Results: CTV coverage was comparable across all modalities. ML achieved significantly higher PTV Dmin and near-maximum doses compared to VMAT and HT. Notably, ML provided substantial urethral sparing, reducing Dmax and Dmean by approximately 3.3 Gy compared to both VMAT and HT (p < 0.001). Rectal dose metrics were also lower with ML, while bladder and penile bulb doses showed minor increases (<3.5 Gy), considered clinically negligible. Femoral head doses were reduced in ML plans. Conclusions: MR-Linac planning for prostate SBRT offers meaningful dosimetric advantages, particularly in intra-prostate urethra urethral dose reduction, without compromising target coverage. These findings support incorporating MR-guided adaptive workflows into SBRT protocols to enhance OAR protection and potentially reduce treatment-related toxicity. Full article
Show Figures

Figure 1

10 pages, 3842 KB  
Technical Note
A Facile and High-Throughput Immobilization Method for Fractionated Radiotherapy of Unanesthetized Mice Bearing Subcutaneous Tumors Using a 6 MV LINAC Clinical Facility
by Ali Nazarizadeh, Quy Van-Chanh Le, Wendy Phillips, Tyron Turnbull, Hien Le, Chris Brown and Ivan Kempson
Radiation 2026, 6(1), 6; https://doi.org/10.3390/radiation6010006 - 4 Feb 2026
Viewed by 370
Abstract
Anesthesia is the gold standard for immobilization of tumor-bearing mice before radiotherapy which potentially induces stress and distorts disease progression. Irradiation of preclinical cancer models with clinical MV linear accelerator (LINAC) beams can benefit the translation of new strategies in radiation oncology. However, [...] Read more.
Anesthesia is the gold standard for immobilization of tumor-bearing mice before radiotherapy which potentially induces stress and distorts disease progression. Irradiation of preclinical cancer models with clinical MV linear accelerator (LINAC) beams can benefit the translation of new strategies in radiation oncology. However, logistical constraints prohibit widespread use of clinical facilities. Currently, there is no detailed protocol on how to safely introduce mice to a clinical environment to be intervened on using hospital equipment. Here, a facile and high-throughput handling method is described that eliminates anesthesia and enables fractionated radiotherapy of multiple mice simultaneously for high-throughput studies. Subcutaneous breast tumor-bearing BALB/c mice were restrained in plastic restraint cones within a containment tray and received four fractions of 4 Gy X-rays from a 6 MV LINAC source over two weeks (two fractions/week). Both short- and long-term follow-up revealed no identifiable health issues or complications associated with the restraint procedure or radiation exposure in terms of body weight loss, skin burns or body condition scores. This method not only benefits animal welfare but also data quality by reducing stress/discomfort levels and confounding effects of anesthetics. It can be applied to a broader range of studies where mice need to be immobilized before intervention. Full article
Show Figures

Figure 1

16 pages, 1158 KB  
Article
Optimal α/β Ratio for Biologically Effective Dose-Based Prediction of Radiation-Induced Peritumoral Brain Edema in Meningioma
by Shin-Woong Ko, Yu Deok Won, Byeong Jin Ha, Jin Hwan Cheong, Je Il Ryu, Seung Woo Hong, Kyueng-Whan Min and Myung-Hoon Han
Cancers 2026, 18(3), 448; https://doi.org/10.3390/cancers18030448 - 30 Jan 2026
Viewed by 338
Abstract
Background: Peritumoral brain edema (PTBE) is the most frequent complication for intracranial meningiomas following radiotherapy, yet no clinically validated biologically effective dose (BED) threshold capable of reliably predicting PTBE has currently been established. Although conventional radiobiological models typically assume an α/β ratio [...] Read more.
Background: Peritumoral brain edema (PTBE) is the most frequent complication for intracranial meningiomas following radiotherapy, yet no clinically validated biologically effective dose (BED) threshold capable of reliably predicting PTBE has currently been established. Although conventional radiobiological models typically assume an α/β ratio of 2–4 for benign meningiomas, whether these values accurately reflect the dose–response characteristics underlying radiation-induced PTBE remains unclear. Methods: We analyzed 67 intact meningiomas in the convexity, parasagittal, or falcine regions treated with primary linear accelerator (LINAC)-based radiotherapy. The BED values were recalculated using α/β ratios ranging from 2 to 20, and receiver operating characteristic (ROC) analyses were performed to identify the optimal BED thresholds for predicting PTBE. The most informative α/β ratio was defined as the value yielding the highest Youden’s J statistic. Results: The ROC analyses showed that an assumed α/β ratio of 14 provided the highest discriminative accuracy for predicting PTBE in the overall cohort and markedly superior performance in patients younger than 70 years (area under the curve (AUC) 0.945; Youden’s J = 0.871). The optimal BED threshold for predicting PTBE was approximately 41 Gy (α/β = 14), corresponding to ~18 Gy in a single fraction and ~5.8 Gy per fraction in a five-fraction regimen. Conclusions: The BED values calculated using α/β ratios near 14 provide the most reliable estimate of PTBE risk following primary LINAC-based radiotherapy for convexity, parasagittal, and falcine meningiomas. Maintaining prescription doses below this threshold may help reduce the likelihood of PTBE in this patient population. Full article
(This article belongs to the Section Clinical Research of Cancer)
Show Figures

Figure 1

17 pages, 5360 KB  
Article
Experimental Validation of the Direct Kinematics of a Passive Stewart-Gough Platform with Modified Cardan Joints Using Integrated Absolute Linear Encoders
by Martin Bem, Aleš Ude and Bojan Nemec
Sensors 2026, 26(3), 771; https://doi.org/10.3390/s26030771 - 23 Jan 2026
Viewed by 284
Abstract
This paper presents the experimental validation of a computational kinematic model for a passive Stewart–Gough platform equipped with modified Cardan joints. The introduced joint geometry significantly increases structural stiffness but invalidates the standard spherical joint assumption commonly used in hexapod kinematic formulations. To [...] Read more.
This paper presents the experimental validation of a computational kinematic model for a passive Stewart–Gough platform equipped with modified Cardan joints. The introduced joint geometry significantly increases structural stiffness but invalidates the standard spherical joint assumption commonly used in hexapod kinematic formulations. To address this, we develop an efficient numerical optimization-based framework that solves both the direct and inverse kinematics without relying on simplified joint models. Furthermore, to enable autonomous and absolute pose measurement, each cylindrical leg joint of the platform is equipped with a LinACE™ absolute linear encoder. This sensor integration transforms the passive mechanism into an IoT-enabled reconfigurable fixture capable of internally sensing, tracking, and recalling its own configuration. The direct kinematics are computed iteratively using a homogeneous transformation formulation and benchmarked against analytical models derived for ideal spherical joints. Experimental results demonstrate sub-millimeter accuracy in pose estimation, confirming the validity of the proposed kinematic model and highlighting the suitability of the sensor-equipped hexapod for industrial flexible fixturing applications. Full article
(This article belongs to the Special Issue Advances in Sensing, Control and Path Planning for Robotic Systems)
Show Figures

Figure 1

18 pages, 1326 KB  
Review
MR-Guided Radiotherapy in Oesophageal Cancer: From Principles to Practice—A Narrative Review
by Su Chen Fong, Eddie Lau, David S. Liu, Niall C. Tebbutt, Richard Khor, Trevor Leong, David Williams, Sergio Uribe and Sweet Ping Ng
Curr. Oncol. 2026, 33(1), 34; https://doi.org/10.3390/curroncol33010034 - 8 Jan 2026
Viewed by 594
Abstract
Oesophageal cancer remains a significant global health burden with poor survival outcomes despite multimodal treatment. Recent advances in magnetic resonance imaging (MRI) have opened opportunities to improve radiotherapy delivery. This review examines the role of MRI and MR-guided radiotherapy (MRgRT) in oesophageal cancer, [...] Read more.
Oesophageal cancer remains a significant global health burden with poor survival outcomes despite multimodal treatment. Recent advances in magnetic resonance imaging (MRI) have opened opportunities to improve radiotherapy delivery. This review examines the role of MRI and MR-guided radiotherapy (MRgRT) in oesophageal cancer, focusing on applications in staging, treatment planning, and response assessment, with particular emphasis on magnetic resonance linear accelerator (MR-Linac)-based delivery. Compared to computed tomography (CT), MRI offers superior soft-tissue contrast, enabling more accurate tumour delineation and the potential for reduced treatment margins. Real-time MR imaging during treatment can facilitate motion management, while daily adaptive planning can accommodate anatomical changes throughout the treatment course. Functional MRI sequences, including diffusion-weighted and dynamic contrast-enhanced imaging, offer quantitative data for treatment response monitoring. Early clinical and dosimetric studies demonstrate that MRgRT can significantly reduce radiation dose to critical organs while maintaining target coverage. However, clinical evidence for MRgRT in oesophageal cancer is limited to small early-phase studies, with no phase II/III trials demonstrating improvements in survival, toxicity, or patient-reported outcomes. Long-term clinical benefits and cost-effectiveness remain unproven, highlighting the need for prospective outcome-focused studies to define the role for MRgRT within multimodality treatment pathways. Full article
(This article belongs to the Special Issue Adaptive Radiotherapy: Advanced Imaging for Personalised Treatment)
Show Figures

Figure 1

21 pages, 1614 KB  
Review
The Prone-Position Whole Breast Irradiation Paradox: Where Do We Stand? A Comprehensive Review
by Chris Monten, Ilaria Benevento, Antonietta Montagna, Edy Ippolito, Paola Anselmo, Luciana Rago, Barbara D’Andrea, Angela Solazzo, Antonella Bianculli, Raffaele Tucciariello, Giammaria Fiorentini, Vito Metallo, Simone Salvago, Carmen Santoro, Anna Vallario and Grazia Lazzari
J. Clin. Med. 2026, 15(1), 390; https://doi.org/10.3390/jcm15010390 - 5 Jan 2026
Viewed by 639
Abstract
Over the past two decades, interest in prone-position whole breast irradiation (WBI) as an effective and practical alternative to supine treatment has been growing a lot. Although solid scientific data has provided evidence of substantial dosimetric benefit with decreased toxicity, there is still [...] Read more.
Over the past two decades, interest in prone-position whole breast irradiation (WBI) as an effective and practical alternative to supine treatment has been growing a lot. Although solid scientific data has provided evidence of substantial dosimetric benefit with decreased toxicity, there is still conflict in the radiotherapy community over whether to adopt prone-position WBI as a valid alternative to supine radiotherapy (RT) in routine clinical practice. A large number of prone trials have been conducted to assess and address concerns related to prone treatment in large and pendulous breasts and in left and right breast cancer (BC), nodal irradiation, and its reproducibility with deep inspiration breath hold (DIBH) delivery with photons or protons. Appropriate atlases have been defined to improve prone nodal irradiation. Additionally, more comfortable customized immobilization couches have been constructed to permit IMRT beams and VMAT arrangements with modern LINACs. Although our search in literature databases shows a growing body of evidence from the past two decades on this issue, prone WBI is still underused. Given the paradox of the advances and benefits of this positioning and the lack of drive in the radiotherapy community towards its clinical implementation, the purpose of this comprehensive review is to evaluate the true advantages of this position in real life and contextualize it in scenarios like large breasts, left-sided breast cancer, and nodal irradiation to encourage its implementation in clinical practice. Full article
Show Figures

Figure 1

20 pages, 6994 KB  
Article
Design of Spectrometer Energy Measurement Setups for the Future EuPRAXIA@SPARC_LAB and SSRIP Linacs
by Danilo Quartullo, David Alesini, Alessandro Cianchi, Francesco Demurtas, Luigi Faillace, Giovanni Franzini, Andrea Ghigo, Anna Giribono, Riccardo Pompili, Lucia Sabbatini, Angelo Stella, Cristina Vaccarezza, Alessandro Vannozzi and Livio Verra
Instruments 2025, 9(4), 34; https://doi.org/10.3390/instruments9040034 - 17 Dec 2025
Viewed by 393
Abstract
EuPRAXIA@SPARC_LAB is an FEL (Free-Electron Laser) user facility currently under construction at INFN-LNF in the framework of the EuPRAXIA collaboration. The electron beam will be accelerated to 1 GeV by an X-band RF linac followed by a plasma wakefield acceleration stage. This high-brightness [...] Read more.
EuPRAXIA@SPARC_LAB is an FEL (Free-Electron Laser) user facility currently under construction at INFN-LNF in the framework of the EuPRAXIA collaboration. The electron beam will be accelerated to 1 GeV by an X-band RF linac followed by a plasma wakefield acceleration stage. This high-brightness linac requires diagnostic devices able to measure the beam parameters with high accuracy and resolution. To monitor the beam energy and its spread, magnetic dipoles and quadrupoles will be installed along the linac, in combination with viewing screens and CMOS cameras. Macroparticle beam dynamics simulations have been performed to determine the optimal energy measurement setup in terms of accuracy and resolution. Similar diagnostics evaluations have been carried out for the spectrometer installed at the 100 MeV RF linac of the radioactive beam facility SSRIP (IFIN-HH, Romania), whose commissioning, foreseen for 2026, will be performed by INFN-LNF in collaboration with IFIN-HH. Optics measurements have been performed to characterize the resolution and magnification of the optical system that will be used at SSRIP, and probably also at EuPRAXIA@SPARC_LAB, for beam energy monitoring. Full article
Show Figures

Figure 1

13 pages, 1873 KB  
Article
A Clinical Workflow for Evaluating Dose to Organs at Risk After Biology-Guided Radiation Therapy Delivery
by Thomas I. Banks, Chenyang Shen, Andrew R. Godley, Yang Kyun Park, Rameshwar Prasad, Madhav Ravikiran, Shahed N. Badiyan, Tu Dan, Aurelie Garant, Robert Timmerman, Steve Jiang and Bin Cai
Cancers 2025, 17(24), 3979; https://doi.org/10.3390/cancers17243979 - 13 Dec 2025
Viewed by 489
Abstract
Purpose: To develop a workflow for systemically reviewing the doses received by organs at risk (OARs) in a BgRT treatment session, as a means of monitoring delivery constancy and possibly identifying changes of clinical concern in the patient. Methods: We implemented [...] Read more.
Purpose: To develop a workflow for systemically reviewing the doses received by organs at risk (OARs) in a BgRT treatment session, as a means of monitoring delivery constancy and possibly identifying changes of clinical concern in the patient. Methods: We implemented a workflow consisting of a qualitative review of the reconstructed delivered-dose information provided by the RefleXion system, followed by its quantitative evaluation using in-house software. For the latter we developed a framework for calculating custom OAR dose–volume metrics from the delivered-dose distribution and graphing them. We retrospectively applied our workflow to three select BgRT patient cases to appraise its clinical utility. Results: Our workflow efficiently incorporates existing RefleXion TPS features and in-house software into a process for thoroughly evaluating doses to OARs after BgRT delivery. The spreadsheet we created for graphing the trends of normalized OAR dose–volume metrics readily shows if OAR doses have significantly changed or tolerance limits have been violated, thereby potentially revealing if changes of concern occurred in the targeted region. Our workflow also yields a cumulative delivered-dose record at the end of treatment. Conclusions: We established a post-BgRT dose evaluation workflow which supplements the information provided by RefleXion with calculation and graphing of custom OAR dose–volume metrics. This workflow is now routinely used in our clinic following all BgRT treatments. Future improvements could include increased automation, updating the dose calculation to reflect changes in patient anatomy, incorporation of PET metrics, and consideration of target dose data. Full article
(This article belongs to the Section Cancer Therapy)
Show Figures

Figure 1

17 pages, 3306 KB  
Article
Quality and Dosimetric Accuracy of Linac-Based Single-Isocenter Treatment Plans for Four to Eighteen Brain Metastases
by Anna L. Petoukhova, Stephanie L. C. Bogers, Jeroen A. Crouzen, Marc de Goede, Wilhelmus J. van der Star, Lia Versluis, Masomah Hashimzadah and Jaap D. Zindler
Cancers 2025, 17(23), 3776; https://doi.org/10.3390/cancers17233776 - 26 Nov 2025
Viewed by 885
Abstract
Background: Stereotactic radiotherapy (SRT) is a promising treatment option for patients with multiple brain metastases (BMs). Using one isocenter instead of a separate isocenter for each BM can reduce the treatment time. This work compares the calculated dose in the treatment planning [...] Read more.
Background: Stereotactic radiotherapy (SRT) is a promising treatment option for patients with multiple brain metastases (BMs). Using one isocenter instead of a separate isocenter for each BM can reduce the treatment time. This work compares the calculated dose in the treatment planning system with the measured dose using film dosimetry of single-isocenter multi-target (SIMT) SRT for multiple BM. Methods: Fifty patients with 4 to 18 BMs (median = 6, in total 356 BMs) were treated with a single-isocenter non-coplanar LINAC-based treatment with six VMAT arcs. Treatment was performed using RayStation and Elekta Versa HD with Agility multileaf collimator, including a 6D robotic couch. Patient-specific QA measurements were performed with an in-house developed phantom using three layers of GafChromic EBT3 film. Film measurements were analyzed in DoseLab using global gamma with 3% and 1 mm distance-to-agreement criteria. Additionally, secondary dose calculations in Mobius3D were performed with similar gamma criteria. Results: The mean total Paddick conformity index and gradient index were 0.7 ± 0.10 and 5.2 ± 1.9, respectively. Monitor units used were 6321 ± 2510, and mean irradiation time was 600 ± 90 s. The mean global gamma passing rate for all measured films was 94.5 ± 4.6% with 3% and 1 mm criteria, while that of the dose calculations in Mobius3D was 98.2 ± 1.2% with the same criteria. A dependence of gamma passing rates of film measurements on the total PTV volume was observed, whereas such dependence was minimal for Mobius3D. Conclusions: The results demonstrate good agreement between the TPS, film measurements, and independent dose calculations, supporting the dosimetric accuracy of single-isocenter multi-target SRT for treating multiple BMs. Full article
(This article belongs to the Section Molecular Cancer Biology)
Show Figures

Figure 1

11 pages, 804 KB  
Article
Local Control After Single-Isocenter Dynamic Conformal Arc SRS for Brain Metastases
by Maciej Blok, Izabela Zarebska, Izabela Miechowicz, Tomasz Wisniewski, Szymon Ziolkowski and Maciej Harat
Cancers 2025, 17(22), 3711; https://doi.org/10.3390/cancers17223711 - 20 Nov 2025
Cited by 1 | Viewed by 552
Abstract
Purpose: Brain metastases occur in up to 30% of patients with advanced cancer and remain a major clinical challenge. While WBRT was historically the standard treatment, it provided limited survival benefit and significant neurocognitive toxicity, leading to increasing use of stereotactic radiosurgery (SRS). [...] Read more.
Purpose: Brain metastases occur in up to 30% of patients with advanced cancer and remain a major clinical challenge. While WBRT was historically the standard treatment, it provided limited survival benefit and significant neurocognitive toxicity, leading to increasing use of stereotactic radiosurgery (SRS). Recent advances with single-isocenter, multi-target (SIMT) dynamic conformal arc (DCA) techniques on modern linear accelerators have enabled efficient treatment of numerous lesions within a single session, though concerns regarding geometric accuracy persist. This study aimed to evaluate local control outcomes and influencing factors following DCA-SIMT radiosurgery in patients with multiple brain metastases. Methods: We retrospectively analyzed 195 brain metastases treated using single-isocenter, multi-target dynamic conformal arc (DCA-SIMT) stereotactic radiosurgery on a Varian TrueBeam LINAC between August 2018 and September 2020. Treatment planning was performed with Brainlab Elements MultiMets software, version 2.0 and image guidance with ExacTrac. Local control was assessed on MRI according to BM-RANO criteria, while radiation-induced contrast enhancements (RICE) were identified using multiparametric MRI. The median follow-up duration was 12 months. Statistical analyses included chi-square and ROC analyses, with p < 0.05 considered statistically significant. Results: A total of 195 brain metastases in 37 patients were analyzed. Local control at 6 months was achieved in 93% of lesions, with complete or partial response in 82%. Distance-to-isocenter (DTI), gradient index (GI), and target volume (GTV/PTV) were not associated with local control. In contrast, conformity index (CI) < 1.42 predicted better treatment response (AUC = 0.698, p = 0.0006). Margin expansion ≥ 0.5 mm was associated with improved local control (p = 0.049), while higher margins did not further improve outcomes. Prescription dose showed no significant impact. The addition of immunotherapy or targeted therapy within 4 months post-SRS significantly increased the likelihood of radiographic response (OR = 2.55, p = 0.030), with the strongest association observed in lung adenocarcinoma patients (p < 0.001). Conclusions: DCA-SIMT stereotactic radiosurgery achieves high local control in patients with multiple brain metastases. Conformity index, minimal margin expansion, and systemic therapy influenced outcomes, whereas distance-to-isocenter and dose did not. Further validation is needed to optimize margins in high-DTI scenarios. Full article
(This article belongs to the Special Issue Advances in Radiation Therapy for Brain Metastases)
Show Figures

Figure 1

15 pages, 2554 KB  
Article
Multi-Institutional Verification of a Novel Predictor (Volume-Scaled SUVmax) for Successful Biology-Guided Radiotherapy Delivery of Small Targets
by M. Ramish Ashraf, Daniel Pham, Girish Bal, Huixiao Chen, Henry S. Park, Tyler Watkins, Bin Cai, Shahed N. Badiyan, Lucas K. Vitzthum, Billy W. Loo and Murat Surucu
Cancers 2025, 17(22), 3645; https://doi.org/10.3390/cancers17223645 - 13 Nov 2025
Cited by 1 | Viewed by 568
Abstract
Background/Objectives: The aim of this study was to establish the relationship between target size and the required diagnostic PET maximum standard uptake value (SUVmax) thresholds needed for successful Biology-guided Radiotherapy (BgRT) delivery on RefleXion X1 PET-linac. The current clinical eligibility recommendation is an [...] Read more.
Background/Objectives: The aim of this study was to establish the relationship between target size and the required diagnostic PET maximum standard uptake value (SUVmax) thresholds needed for successful Biology-guided Radiotherapy (BgRT) delivery on RefleXion X1 PET-linac. The current clinical eligibility recommendation is an SUVmax ≥ 6 at simulation, but the RefleXion system subsequently evaluates Activity Concentration (AC), which must exceed 5 kBq/mL for successful BgRT planning. Methods: A custom 3D-printed phantom containing six spherical targets (8 to 20 mm diameter) was used with varying target-to-background ratios (5:1 to 20:1) of 18F-FDG to systematically achieve a range of SUVmax values for each target size. Images were acquired on Siemens Biograph mCT for SUVmax quantification and RefleXion X1 for AC measurements. Twenty-four BgRT plans were evaluated, and delivery accuracy was validated using ArcCHECK. Additionally, retrospective data from 18 patients across four institutions were analyzed to validate the phantom-derived findings. Results: The PET-linac successfully planned treatments for 13/24 experiments, all achieving an AC > 5 kBq/mL. SUVmax requirements varied by target size: 16–20 mm targets required an SUVmax > 6, consistent with current recommendations, while smaller targets required higher thresholds (e.g., 13 mm: SUVmax > 10, and 11 mm: SUVmax > 15). 8 and 9 mm targets failed to meet AC requirements even at SUVmax 14. Successful deliveries maintained acceptable accuracy, with gamma passing rates of 92.4% ± 5.0% (3%/2 mm) and 97.6% ± 1.9% (3%/3 mm). Analysis revealed that Volume (cc) × SUVmax > 11 consistently predicted successful BgRT planning across all target sizes. This threshold was validated using multi-institutional PET-CT patient data (mean: 11.36, 95% CI: 9.1–12.9), correctly predicting treatment eligibility in 15 of 18 cases. Conclusions: Target size significantly influences BgRT eligibility. We derived a new criterion, Volume(cc) × SUVmax > 11 (95% CI: 9.1–12). Full article
(This article belongs to the Section Methods and Technologies Development)
Show Figures

Figure 1

Back to TopTop