Beam Emittance and Bunch Length Diagnostics for the MIR-FEL Beamline at Chiang Mai University
Abstract
1. Introduction
2. Electron Beam Dynamics Simulation
3. Transverse Beam Emittance Measurement System
3.1. Theoretical Model
3.2. Simulation Setup and Procedure
3.3. Results and Discussion
4. Electron Bunch Length Measurement System
4.1. Transition Radiation from 25 MeV Electron Beam
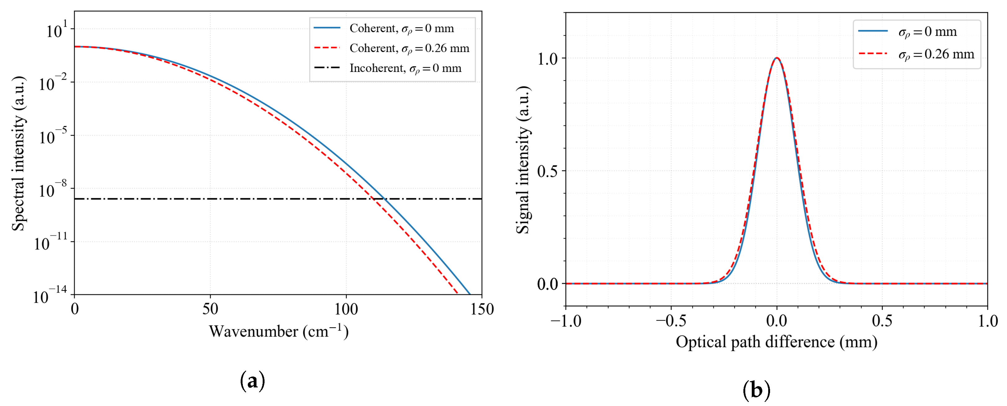
4.2. Effect of Transverse Beam Size on Bunch Length Measurement
4.3. Effect of Beam Splitter on Bunch Length Measurement
4.4. Effect of Radiator Finite Size
5. Conclusions
Author Contributions
Funding
Data Availability Statement
Acknowledgments
Conflicts of Interest
References
- Roberts, J.J.; Power, A.; Chapman, J.; Chandra, S.; Cozzolino, D. Vibrational spectroscopy methods for agro-food product analysis. Compr. Anal. Chem. 2018, 80, 51–68. [Google Scholar]
- Kitagawa, T.; Hirota, S.; Chalmers, J.M.; Griffiths, P.R. Handbook of Vibrational Spectroscopy; Wiley: New York, NY, USA, 2002. [Google Scholar]
- Montanaro, A.; Giusti, F.; Colja, M.; Brajnik, G. Visible pump–mid infrared pump–broadband probe: Development and characterization of a three-pulse setup for singleshot ultrafast spectroscopy at 50 kHz. Rev. Sci. Instrum. 2020, 91, 073106. [Google Scholar] [CrossRef] [PubMed]
- Zen, H. Generation of High-Quality Electron Beam Using a Thermionic RF Gun for Mid-Infrared Free Electron Lasers. Ph.D. Thesis, Kyoto University, Kyoto, Japan, 2009. [Google Scholar]
- Oepts, D.; Van der Meer, A.F.G.; Van Amersfoort, P.W. The free-electron-laser user facility FELIX. Infrared Phys. Technol. 1995, 36, 297–308. [Google Scholar] [CrossRef]
- Schöllkopf, W.; Gewinner, S.; Erlebach, W.; Heyne, G.; Junkes, H.; Liedke, A.; Meijer, G.; Paarmann, A.; von Helden, G.; Bluem, H.; et al. The new IR FEL facility at the Fritz-Haber-Institut in Berlin. In Proceedings of the 36th International Free Electron Laser Conference, Basel, Switzerland, 25–29 August 2015; pp. 629–634. [Google Scholar]
- Rimjaem, S.; Kusoljariyakul, K.; Thongbai, C. RF study and 3-D simulations of a side-coupling thermionic RF-gun. Nucl. Instruments Methods Phys. Res. Sect. Accel. Spectrometers, Detect. Assoc. Equip. 2014, 736, 10–21. [Google Scholar] [CrossRef]
- Saisa-ard, C.; Saisut, J.; Rimjaem, S. Electron beam dynamics in the 3D magnetic field of alpha magnet at the PBP-CMU Electron Linac Laboratory. Nucl. Instruments Methods Phys. Res. Sect. Accel. Spectrom. Detect. Assoc. Equip. 2019, 916, 102–115. [Google Scholar] [CrossRef]
- Kitisri, P.; Saisut, J.; Rimjeam, S. Characterization of RF System for MIR/THz Free Electron Lasers at Chiang Mai University. Particles 2024, 7, 382–391. [Google Scholar] [CrossRef]
- Sukara, S. Design of the Mid-Infrared Oscillator Free Electron Laser at Chiang Mai University. Master’s Thesis, Chiang Mai University, Chiang Mai, Thailand, 2021. [Google Scholar]
- Techakaew, K.; Kongmali, K.; Rimjaem, S. Electron Energy Spectrometer for MIR-THz FEL Light Source at Chiang Mai University. Particles 2023, 6, 703–712. [Google Scholar] [CrossRef]
- Floettmann, K. A Space Charge Tracking Algorithm (ASTRA). Available online: https://www.desy.de/~mpyflo/Astra_manual/Astra-Manual_V3.2.pdf (accessed on 21 December 2024).
- Computer Simulation Technology. CST EM Studio 2018. Available online: http://www.cst.com/ (accessed on 21 December 2024).
- Kongmali, K. Design and Optimization of Electron Accelerator System for Generation of Mid-Infrared Free-Electron Laser at Chiang Mai University. Master’s Thesis, Chiang Mai University, Chiang Mai, Thailand, 2021. [Google Scholar]
- Power, J.G.; Conde, M.E.; Gai, W.; Gao, F.; Konecny, R.; Liu, W.; Yusof, Z.; Piot, P.; Rihaoui, M. Pepper-pot based emittance measurements of the AWA photoinjector. In Proceedings of the 2007 IEEE Particle Accelerator Conference (PAC), Albuquerque, NM, USA, 25–29 June 2007; pp. 4393–4395. [Google Scholar]
- Klump, B.; Ratzinger, U.; Schweizer, W.; Volk, K. Development of a Pepper-Pot Emittance Measurement Device for FRANZ. In Proceedings of the LINAC2014, Geneva, Switzerland, 31 August–5 September 2014; pp. 199–201. [Google Scholar]
- Lu, P.; Vennekate, H.; Arnold, A.; Michel, P.; Murcek, P.; Teichert, J.; Xiang, R. Transverse Emittance Measurement by Slit-Scan Method for an SRF Photo Injector. In Proceedings of the FEL2013, New York, NY, USA, 26–29 August 2013; pp. 322–324. [Google Scholar]
- Staykov, L.; Bähr, J.; Boulware, C.; Grabosch, H.J.; Hakobyan, L.; Hänel, M.; Khodyachykh, S.; Korepanov, S.; Krasilnikov, M.; Lederer, A.; et al. Measurement of the projected normalized transverse emittance at PITZ. In Proceedings of the FEL2007, Novosibirsk, Russia, 26–31 August 2007; pp. 138–141. [Google Scholar]
- Lee, B.-J.; Hwang, I.; Park, C.D.; Kim, C.; Chunjarean, S. Beam emittance measurement for the PLS-II linac. J. Korean Phys. Soc. 2016, 69, 989–993. [Google Scholar] [CrossRef]
- Green, A.T.; Shin, Y.-M. Implementation of Quadrupole-scan Emittance Measurement at Fermilab’s Advanced Superconducting Test Accelerator (ASTA). In Proceedings of the 6th International Particle Accelerator Conference (IPAC’15), Richmond, VA, USA, 3–8 May 2015; JACOW: Geneva, Switzerland, 2015; pp. 669–671. [Google Scholar]
- Chaput, R.; Devanz, G.; Joly, P.; Kergosien, B.; Lesrel, J. Emittance measurements of the CLIO electron beam. Nucl. Instrum. Methods Phys. Res. Sect. Accel. Spectrometers, Detect. Assoc. Equip. 1997, 393, 474–478. [Google Scholar] [CrossRef]
- Nozawa, I.; Kan, K.; Yang, J.; Ogata, A.; Kondoh, T.; Gohdo, M.; Norizawa, K.; Kobayashi, H.; Shibata, H.; Gonda, S.; et al. Measurement of <20 fs bunch length using coherent transition radiation. Phys. Rev. Spec.-Top.-Accel. Beams 2014, 17, 072803. [Google Scholar]
- Bobb, L.M.; Morgan, A.F.D.; Rehm, G. Streak Camera PSF Optimisation and Dual Sweep Calibration for Sub-ps Bunch Length Measurement. In Proceedings of the IBIC, Barcelona, Spain, 11–15 September 2016. [Google Scholar]
- Zhang, W.; Zhu, D.; Sui, Y.; Ma, H.; Yue, J.; Cao, J. Streak camera calibration for bunch length measurement at BEPC II. Radiat. Detect. Technol. Methods 2021, 5, 466–473. [Google Scholar] [CrossRef]
- Wilke, I.; MacLeod, A.M.; Gillespie, W.A.; Berden, G.; Knippels, G.M.H.; van der Meer, A.F.G. Real-time single-shot electron bunch length measurements. Nucl. Instruments Methods Phys. Res. Sect. Accel. Spectrometers, Detect. Assoc. Equip. 2002, 483, 282–285. [Google Scholar] [CrossRef]
- Korepanov, S.; Alesini, D. An RF deflector for the longitudinal and transverse beam phase space analysis at PITZ. In Proceedings of the DIPAC, Venice, Italy, 20–23 May 2007. [Google Scholar]
- Thongbai, C.S.; Vilaithong, T. Coherent Transition Radiation from Short Electron Bunches. Nucl. Instrum. Methods Phys. Res. Sect. Accel. Spectrometers, Detect. Assoc. Equip. 2007, 581, 874–881. [Google Scholar] [CrossRef]
- Okuda, S.; Kojima, T.; Taniguchi, R.; Nam, S.-K. High-intensity far-infrared light source using the coherent transition radiation from a short electron bunch. In Free Electron Lasers 2003; Elsevier: Amsterdam, The Netherlands, 2004; pp. 130–133. [Google Scholar]
- Sei, N.; Ogawa, H.; Sakai, T.; Hayakawa, K.; Tanaka, T.; Hayakawa, Y.; Nogami, K. Millijoule terahertz coherent transition radiation at LEBRA. Jpn. J. Appl. Phys. 2017, 56, 032401. [Google Scholar] [CrossRef]
- Park, J.; Kim, C.; Lee, J.; Yim, C.; Kim, C.H.; Lee, J.; Jung, S.; Ryu, J.; Kang, H.-S.; Joo, T. Generation, transport, and detection of linear accelerator-based femtosecond-terahertz pulses. Rev. Sci. Instrum. 2011, 82, 013305. [Google Scholar] [CrossRef]
- Casalbuoni, S.; Schmidt, B.; Schmüser, P.; Arsov, V.; Wesch, S. Ultrabroadband terahertz source and beamline based on coherent transition radiation. Phys. Rev. Spec. Top. Beams 2009, 12, 030705. [Google Scholar] [CrossRef]
- Thongbai, C.; Wiedemann, H. Review and analysis of autocorrelation electron bunch length measurements. Nucl. Instruments Methods Phys. Res. Sect. Accel. Spectrometers, Detect. Assoc. Equip. 2006, 568, 923–932. [Google Scholar] [CrossRef]
- Lihn, H.-C.; Kung, P.; Settakorn, C.; Wiedemann, H.; Bocek, D. Measurement of subpicosecond electron pulses. Phys. Rev. 1996, 53, 6413. [Google Scholar] [CrossRef]
- Saisut, J.; Chaisueb, N.; Thongbai, C.; Rimjaem, S. Coherent transition radiation from femtosecond electron bunches at the accelerator-based THz light source in Thailand. Infrared Phys. Technol. 2018, 92, 387–391. [Google Scholar] [CrossRef]
- Chaisueb, N.; Chunjarean, S.; Thongbai, C.; Rimjaem, S. Development of a compact electromagnetic undulator for linac-based coherent THz radiation source in Thailand. Nucl. Instrum. Methods Phys. Res. Sect. Accel. Spectrom. Detect. Assoc. Equip. 2018, 902, 1–8. [Google Scholar] [CrossRef]
- Tonouchi, M. Cutting-edge terahertz technology. Nat. Photonics 2007, 1, 97–105. Available online: https://www.researchgate.net/publication/232417178_Cutting-edge_THz_technology (accessed on 21 December 2024). [CrossRef]
- Ginzburg, V.L. Transition radiation and transition scattering. Phys. Scr. 1982, T2A, 182. [Google Scholar] [CrossRef]
- Lihn, H.-C. Measurement of subpicosecond electron pulse length. Aip Conf. Proc. 1997, 390, 186–198. [Google Scholar]
- Chantry, G.W. Submillimeter Spectroscopy: A Guide to the Theoretical and Experimental Physics of the Far Infrared; Blackwell Science: Hoboken, NJ, USA, 1971. [Google Scholar]
- Hecht, E. Optics, 4th ed.; Addison-Wesley: Boston, MA, USA, 2001. [Google Scholar]
- Cunningham, P.D.; Valdes, N.N.; Vallejo, F.A.; Hayden, L.M.; Polishak, B.; Zhou, X.-H.; Luo, J.; Jen, A.K.-Y.; Williams, J.C.; Twieg, R.J. Broadband terahertz characterization of the refractive index and absorption of some important polymeric and organic electro-optic materials. J. Appl. Phys. 2011, 109, 043505. [Google Scholar] [CrossRef]
- Castellano, M.; Cianchi, A.; Orlandi, G.; Verzilov, V.A. Effects of diffraction and target finite size on coherent transition radiation spectra in bunch length measurements. Nucl. Instrum. Methods Phys. Res. Sect. Accel. Spectrom. Detect. Assoc. Equip. 1999, 435, 297–307. [Google Scholar] [CrossRef]

















| Parameter | Value |
|---|---|
| Average kinetic energy | 25 MeV |
| Energy spread (RMS) | 0.1% |
| Bunch charge | 62.5 pC |
| Bunch length (RMS) | 219 fs |
| Bunch length () | 208 fs |
| Bunch length (FWHM) | 490 fs |
| Peak current | 127.6 A |
| Horizontal emittance | 0.18 mm.mrad |
| Vertical emittance | 0.16 mm.mrad |
| Horizontal beam size (RMS) | 1.1 mm |
| Vertical beam size (RMS) | 1.1 mm |
| Number | Component | Specification |
|---|---|---|
| 1 | radiator | material: Aluminium-foil thickness: 25 µm diameter: 22 mm |
| 2 | parabolic mirror | coating surface: gold diameter: 50.8 mm focal length: 127 mm |
| 3–6 | flat mirror | coating surface: Gold diameter: 76.2 mm |
| 7 | beam splitter | material: Silicon thickness: 6 mm diameter: 76.2 mm refractive index: 3.4 |
| 8–9 | pyroelectric detector | material: LiTaO3 detected wavelength: 0.1–1000 µm operating temp.: −55 °C to +85 °C |
| 10–11 | parabolic mirrors | coating surface: Gold diameter: 76.2 mm focal length: 127 mm |
Disclaimer/Publisher’s Note: The statements, opinions and data contained in all publications are solely those of the individual author(s) and contributor(s) and not of MDPI and/or the editor(s). MDPI and/or the editor(s) disclaim responsibility for any injury to people or property resulting from any ideas, methods, instructions or products referred to in the content. |
© 2025 by the authors. Licensee MDPI, Basel, Switzerland. This article is an open access article distributed under the terms and conditions of the Creative Commons Attribution (CC BY) license (https://creativecommons.org/licenses/by/4.0/).
Share and Cite
Techakaew, K.; Kongmali, K.; Pakluea, S.; Rimjaem, S. Beam Emittance and Bunch Length Diagnostics for the MIR-FEL Beamline at Chiang Mai University. Particles 2025, 8, 64. https://doi.org/10.3390/particles8030064
Techakaew K, Kongmali K, Pakluea S, Rimjaem S. Beam Emittance and Bunch Length Diagnostics for the MIR-FEL Beamline at Chiang Mai University. Particles. 2025; 8(3):64. https://doi.org/10.3390/particles8030064
Chicago/Turabian StyleTechakaew, Kittipong, Kanlayaporn Kongmali, Siriwan Pakluea, and Sakhorn Rimjaem. 2025. "Beam Emittance and Bunch Length Diagnostics for the MIR-FEL Beamline at Chiang Mai University" Particles 8, no. 3: 64. https://doi.org/10.3390/particles8030064
APA StyleTechakaew, K., Kongmali, K., Pakluea, S., & Rimjaem, S. (2025). Beam Emittance and Bunch Length Diagnostics for the MIR-FEL Beamline at Chiang Mai University. Particles, 8(3), 64. https://doi.org/10.3390/particles8030064

