Sign in to use this feature.

Years

Between: -

Subjects

remove_circle_outline
remove_circle_outline
remove_circle_outline
remove_circle_outline
remove_circle_outline
remove_circle_outline
remove_circle_outline
remove_circle_outline

Journals

remove_circle_outline
remove_circle_outline
remove_circle_outline
remove_circle_outline
remove_circle_outline
remove_circle_outline
remove_circle_outline
remove_circle_outline
remove_circle_outline
remove_circle_outline
remove_circle_outline

Article Types

Countries / Regions

remove_circle_outline
remove_circle_outline
remove_circle_outline
remove_circle_outline

Search Results (297)

Search Parameters:
Keywords = limb correction

Order results
Result details
Results per page
Select all
Export citation of selected articles as:
19 pages, 1496 KB  
Article
Dynamic Neuromuscular Stabilization for Midlife Women with Frozen Shoulder: Clinical Effects on COP and Pain
by Hyeon Ji Kim, Il Bong Park, Hyun Ju Kim and Chae Kwan Lee
J. Funct. Morphol. Kinesiol. 2026, 11(1), 45; https://doi.org/10.3390/jfmk11010045 - 21 Jan 2026
Abstract
Objectives: Frozen shoulder (FS) leads to pain, reduced shoulder function, and deficits in postural stability and sensorimotor control during upper-limb weight-bearing and activities of daily living tasks. This study investigated how an eight-week Dynamic Neuromuscular Stabilization (DNS) program affected Center of Pressure [...] Read more.
Objectives: Frozen shoulder (FS) leads to pain, reduced shoulder function, and deficits in postural stability and sensorimotor control during upper-limb weight-bearing and activities of daily living tasks. This study investigated how an eight-week Dynamic Neuromuscular Stabilization (DNS) program affected Center of Pressure (COP) control and pain in midlife women with FS. Methods: Twenty-two midlife women with FS were randomly assigned to a DNS group (DNSG, n = 11) or a control group (CG, n = 11). The DNSG performed DNS exercises twice weekly for eight weeks, while the CG performed a dynamic stretching–based active control program. COP variables (distance, velocity, and root mean square (RMS) in the anterior–posterior (AP) and medial–lateral (ML) directions) were measured using a force platform under affected-side single-hand support with visual input and bilateral hand support with and without visual input. Pain was assessed using the Visual Analog Scale (VAS). All variables were analyzed using a two-way mixed ANOVA. Results: Under the affected-side single-hand support condition, a significant group × time interaction was observed for the prespecified primary outcome, ML-RMS (p < 0.05). Other COP variables under this condition were not significant after Holm–Bonferroni correction. Under bilateral hand-support conditions, ML-RMS remained significant after multiplicity adjustment in both visual conditions (p < 0.05). Pain (VAS) decreased over time in both groups, with no significant group × time interaction observed. Conclusions: The DNS intervention was associated with positive changes in COP-based postural control during upper-limb weight-bearing tasks in midlife women with FS. Pain decreased over time in both groups, with no significant group-by-time interaction. These findings suggest that DNS may be a potentially useful intervention for improving postural stability during upper-limb support tasks in patients with FS. Full article
(This article belongs to the Section Functional Anatomy and Musculoskeletal System)
Show Figures

Figure 1

13 pages, 1028 KB  
Article
Correlation Between Passive and Active Shear Moduli After a Fatigue Task
by Ricardo Pimenta, Hugo Antunes, Nuno Pimenta, José Pedro Correia and António Veloso
Biomechanics 2026, 6(1), 12; https://doi.org/10.3390/biomechanics6010012 - 17 Jan 2026
Viewed by 90
Abstract
Objectives: The purpose of this study was to determine whether hamstrings’ passive and active shear moduli measured before and after a fatigue task are correlated. Studying the correlation between passive and active shear moduli is important because, if correlated, passive SWE could provide [...] Read more.
Objectives: The purpose of this study was to determine whether hamstrings’ passive and active shear moduli measured before and after a fatigue task are correlated. Studying the correlation between passive and active shear moduli is important because, if correlated, passive SWE could provide a quicker assessment without requiring fatigue-inducing voluntary contractions. Methods: Forty-seven football players with no history of hamstring strain injury participated. Muscle shear modulus was assessed only in the dominant lower-limb (dominance defined as the preferred kicking limb) using ultrasound-based shear wave elastography at rest and during isometric contractions at 20% of maximal voluntary isometric effort before and immediately after a 10 × 30 m repeated sprint protocol. Results: Regarding sprint performance, a significant decrease of 8.3% was seen between the first and the last sprints (first: 7.14 ± 0.27 m/s; last: 6.60 ± 0.31 m/s; p < 0.001; dz = 1.88 [1.40–2.35]). In relation to the peak torque normalized to bodyweight, a significant decrease of 9.2% was seen between pre and post (pre: 1.98 ± 0.30 Nm/kg; post: 1.83 ± 0.31 Nm/kg; p < 0.001; dz = 0.89 [0.78–0.95]). Regarding the correlation analysis, none of the passive and active shear moduli measures was significantly correlated in any condition (Bonferroni correction for multiple comparisons, significance threshold set at p < 0.004). Conclusions: The results suggest that the hamstrings’ passive and active shear moduli are not correlated after a fatigue task. Full article
(This article belongs to the Section Neuromechanics)
Show Figures

Figure 1

18 pages, 599 KB  
Article
Relationships Among Functional Status, Global Self-Reported Categorical Measure of Activity Level, Health-Related Quality of Life and Psychological State in Patients with Parkinson’s Disease in Greece
by Anna Christakou, Nektaria Angeliki Komisopoulou, Amalia Panagiota Louka and Vasiliki Sakellari
Brain Sci. 2026, 16(1), 90; https://doi.org/10.3390/brainsci16010090 - 15 Jan 2026
Viewed by 120
Abstract
Background/Objectives: Parkinson’s disease is the second most common neurodegenerative disorder, affecting patients’ daily lives in multiple domains, including functional status, health-related quality of life, and psychological well-being. This study examined the relationship between self-reported global activity level, functional status, Health Related QoL [...] Read more.
Background/Objectives: Parkinson’s disease is the second most common neurodegenerative disorder, affecting patients’ daily lives in multiple domains, including functional status, health-related quality of life, and psychological well-being. This study examined the relationship between self-reported global activity level, functional status, Health Related QoL (HRQoL), and psychological state among patients with Parkinson’s disease in Greece. Methods: Thirty volunteers (mean age = 69.07, SD = 11.24), members of the Greek Parkinson’s Patients and Caregivers Association, completed (a) the Parkinson’s Disease Questionnaire to evaluate HRQoL and (b) the Hospital Anxiety and Depression Scale (HADS) to assess psychological state. Participants then performed (a) the Five Times Sit to Stand Test (FTSST) and (b) the Berg Balance Scale (BBS) to evaluate functional status. All questionnaires and the test used in the present study have been validated in Greek. Correlation analysis with Spearman r tests with Bonferroni correction was performed between the above variables. Subsequent linear regression models were used to identify independent predictors of HRQoL and balance using SPSS 29.0.2.0. Results: Participants reported elevated anxiety (M = 9.67, SD = 4.44) and depressive symptoms (M = 8.97, SD = 4.08), alongside relatively high HRQoL scores (M = 40.09, SD = 18.40). Impaired functional performance was observed, with 22 participants failing to complete the FTSST within 16 s and 16 scoring below 40 on the BBS. Functional status was strongly correlated with HRQoL (r = −0.696, p < 0.001) and activity level (r = −0.521, p < 0.008). Depression was also significantly associated with poorer HRQoL (r = 0.618, p < 0.008) and lower activity levels (r = −0.545, p < 0.008). Regression analyses revealed that balance (β = −0.526), disease duration (β = 0.437), anxiety (β = 0.411), and lower limb function (β = −0.351) were significant independent predictors of HRQoL (R2 = 0.785; F(9, 20) = 12.69; p < 0.001), while HRQoL (β = −0.738) and lower limb function (β = −0.391) independently predicted balance (R2 = 0.699; F(9, 20) = 4.72; p = 0.002), suggesting a bidirectional relationship between physical function and subjective well-being. Conclusions: Activity level, HRQoL, functional status, and psychological state in patients with Parkinson’s disease are interrelated factors. Increased levels of anxiety and depression, as well as reduced HRQoL, were observed. The findings point to a potentially reinforcing cycle between poor balance and diminished quality of life, with anxiety and age playing key roles. Overall, the results illustrate that functional, psychological, and HRQoL measures interact in complex ways, emphasizing the multidimensional profile of patients with Parkinson’s disease. Further studies with larger samples are required to confirm these findings. Full article
(This article belongs to the Section Neurodegenerative Diseases)
Show Figures

Figure 1

22 pages, 2004 KB  
Systematic Review
Stroke Neurorehabilitation and the Role of Motor Imagery Training: Do ARAT and Barthel Index Improvements Support Its Clinical Use? A Systematic Review and Meta-Analysis
by Luis Polo-Ferrero, Javier Torres-Alonso, Juan Luis Sánchez-González, Sara Hernández-Rubia, María Agudo Juan, Rubén Pérez-Elvira and Javier Oltra-Cucarella
Medicina 2026, 62(1), 174; https://doi.org/10.3390/medicina62010174 - 15 Jan 2026
Viewed by 164
Abstract
Background and Objectives: Although several meta-analyses have evaluated the effects of motor imagery (MI) on upper-limb recovery using the Fugl-Meyer Assessment for the Upper Extremity (FM-UE), evidence based on more specific (Action Research Arm Test, ARAT) and functional (Barthel Index, BI) outcomes [...] Read more.
Background and Objectives: Although several meta-analyses have evaluated the effects of motor imagery (MI) on upper-limb recovery using the Fugl-Meyer Assessment for the Upper Extremity (FM-UE), evidence based on more specific (Action Research Arm Test, ARAT) and functional (Barthel Index, BI) outcomes remains scarce. This study examined the effect of MI combined with conventional rehabilitation therapy (CRT), which translates into meaningful improvements in upper-limb performance and functional independence after stroke, accounting for methodological quality and publication bias. Materials and Methods: A systematic review and meta-analysis were carried out in accordance with PRISMA recommendations, with prior registration in PROSPERO (CRD420251120044). Comprehensive searches were conducted across six electronic databases up to July 2025. The methodological rigor of the included studies was evaluated using the PEDro scale, and risk of bias was appraised with the Cochrane RoB 2 instrument. Random-effects models estimated pooled effect sizes (ESs) for the ARAT and BI, alongside analyses of heterogeneity, publication bias, and moderators. Results: Eleven RCTs (n = 425) were included. A small pooled improvement in ARAT was observed (ES = 0.25; 95% CI: 0.13–0.37; p < 0.001); however, this effect was rendered non-significant after correction for publication bias (ES = 0.08; 95% CI: −0.14–0.31). No significant differences were found for the BI (ES = 0.41; 95% CI: −0.35–1.18; p = 0.268), with substantial heterogeneity (I2 = 96.6%). The mean PEDro score was 6.6, indicating moderate methodological quality. Conclusions: MI combined with CRT yields small and inconsistent effects on upper-limb recovery and no improvement in functional independence. Current evidence does not support its routine use in stroke rehabilitation. Well-designed, adequately powered randomized controlled trials employing standardized MI protocols are required to determine its true clinical relevance. Full article
(This article belongs to the Special Issue Stroke: Diagnostic Approaches and Therapies: 2nd Edition)
Show Figures

Figure 1

13 pages, 1047 KB  
Article
Clinical Outcomes and Correction Rates of Valgus and Varus Deformities Treated with Temporary Hemiepiphysiodesis Using Tension Plates: A Retrospective Cohort Study
by Manuel Gahleitner, Tobias Gotterbarm and Lorenz Pisecky
Medicina 2026, 62(1), 165; https://doi.org/10.3390/medicina62010165 - 14 Jan 2026
Viewed by 124
Abstract
Background and Objectives: Coronal plane deformities of the knee, particularly genu valgum and varum, represent common indications for guided growth in pediatric orthopedics. This study evaluates the clinical and radiographic outcomes of temporary hemiepiphysiodesis using tension-band plates in skeletally immature patients and [...] Read more.
Background and Objectives: Coronal plane deformities of the knee, particularly genu valgum and varum, represent common indications for guided growth in pediatric orthopedics. This study evaluates the clinical and radiographic outcomes of temporary hemiepiphysiodesis using tension-band plates in skeletally immature patients and identifies factors associated with successful correction. Materials and Methods: A retrospective review was conducted on patients treated with tension-band plate hemiepiphysiodesis for knee valgus or varus deformities between 2012 and 2023. Inclusion required open physes, pre- and postoperative full-length radiographs, and follow-up until implant removal or skeletal maturity. Mechanical axis parameters (mLDFA, mMPTA) were compared pre- and postoperatively, and correction rates were calculated. Idiopathic cases were analyzed separately from those with neurological or osteological disorders. Results: Sixty-six limbs were included (51 valgus, 15 varus). In the idiopathic subgroup, significant correction was achieved, with mLDFA improving by +5.19° and mMPTA by −1.88°, corresponding to annual correction rates of 4.75°/year and −1.74°/year, respectively (p < 0.001). Regression analysis showed no significant predictive value of age or treatment duration for total correction. Patients with pathological physes demonstrated inconsistent outcomes, often requiring additional procedures. No major complications occurred. Conclusions: Temporary hemiepiphysiodesis using tension-band plates is a safe, minimally invasive, and highly effective method for correcting idiopathic valgus deformities in growing children, with correction rates comparable to the existing literature. Outcomes in patients with neurological or osteological comorbidities remain less predictable, underscoring the need for individualized planning and close follow-up. Full article
Show Figures

Figure 1

14 pages, 657 KB  
Article
Ultrasound-Based Assessment of Shoulder Soft Tissue Alterations in Young Adults Performing Upper Limb Weight Training: A Cross-Sectional Study
by Juan José Montoya-Miñano, Carlos Miquel García-de-Pereda-Notario, Luis Palomeque-Del-Cerro and Luis Alfonso Arráez-Aybar
J. Funct. Morphol. Kinesiol. 2026, 11(1), 23; https://doi.org/10.3390/jfmk11010023 - 1 Jan 2026
Viewed by 358
Abstract
Background: The subacromial space, measured as the acromiohumeral distance (AHD), is a key determinant of shoulder biomechanics and injury risk. Athletes performing repetitive upper-limb resistance training are particularly exposed to cumulative tendon stress. Musculoskeletal ultrasound (US) enables dynamic, cost-effective assessment, yet its role [...] Read more.
Background: The subacromial space, measured as the acromiohumeral distance (AHD), is a key determinant of shoulder biomechanics and injury risk. Athletes performing repetitive upper-limb resistance training are particularly exposed to cumulative tendon stress. Musculoskeletal ultrasound (US) enables dynamic, cost-effective assessment, yet its role in strength athletes remains underexplored. The aim of this study was to determine whether young adults engaged in regular upper-limb weight training present a narrower acromiohumeral distance and a higher prevalence of ultrasound-detected tendon abnormalities compared with non-weight-training individuals. Methods: We conducted a post hoc subanalysis of a cross-sectional cohort of 66 young adults (18–45 years; mean 29.6 ± 9.0 years; 27 men/39 women) evaluated with standardized shoulder US. Participants were classified as weight-training (n = 15; 36.2 ± 5.7 years; 11 men/4 women) or non-weight-training (n = 51; 27.6 ± 8.8 years; 16 men/35 women). AHD was measured in millimeters, and abnormalities of the supraspinatus, subscapularis, long head of the biceps tendon (LHBT), and subacromial–subdeltoid bursa were recorded. Between-group comparisons used Welch’s t-test or χ2/Fisher’s exact test; effect sizes were expressed as Cohen’s d or odds ratios (OR). Multiple testing was corrected with the false discovery rate (FDR). Results: Weight-training participants exhibited a significantly smaller AHD (7.13 ± 0.54 vs. 7.49 ± 0.68 mm; t (28) = −2.12, p = 0.038; mean difference −0.36 mm, 95% CI −0.70 to −0.03; Cohen’s d = −0.56). Supraspinatus tendinopathy was more prevalent in weight-training athletes (93.3% vs. 41.2%; OR 17.7, 95% CI 2.16–145.8; FDR-adjusted p = 0.003). Subscapularis tendinitis (40.0% vs. 17.6%; OR 3.58, 95% CI 1.00–12.88; FDR p = 0.14) and LHBT tenosynovitis (20.0% vs. 3.9%; OR 6.82, 95% CI 1.02–45.8; FDR p = 0.09) showed non-significant trends. Conclusions: Upper-limb weight training in young adults is associated with reduced AHD and a markedly higher prevalence of supraspinatus tendinopathy. Ultrasound proved valuable for early detection of structural and morphological alterations in shoulder soft tissues. Preventive strategies focusing on load management, exercise technique, and targeted strengthening should be prioritized. Full article
(This article belongs to the Section Functional Anatomy and Musculoskeletal System)
Show Figures

Figure 1

28 pages, 4597 KB  
Article
A Novel Stability Criterion Based on the Swing Projection Polygon for Gait Rehabilitation Exoskeletons
by Moyao Gao, Wei Yang, Yuexi Zhong, Yingxue Ni, Huimin Jiang, Guokai Zhu, Jing Li, Zhanli Wang, Jiaqi Bu and Bo Wu
Appl. Sci. 2026, 16(1), 402; https://doi.org/10.3390/app16010402 - 30 Dec 2025
Viewed by 162
Abstract
Intelligent lower-limb exoskeleton rehabilitation robots are increasingly superseding traditional rehabilitation equipment, making them a focus of research in this field. However, existing systems remain challenged by dynamic instability resulting from various disturbances during actual walking. To address this limitation, this study proposes a [...] Read more.
Intelligent lower-limb exoskeleton rehabilitation robots are increasingly superseding traditional rehabilitation equipment, making them a focus of research in this field. However, existing systems remain challenged by dynamic instability resulting from various disturbances during actual walking. To address this limitation, this study proposes a novel dynamic stability criterion. Through an analysis of the principles and limitations of the traditional zero-moment point (ZMP) stability criterion, particularly during the late single-leg support phase, a new stability criterion is introduced, which is founded on the swing projection polygon during single-leg support. This approach elucidates the variation patterns of the stability polygon during a single-step motion and facilitates a qualitative analysis of the stability characteristics of the human–robot system in multiple postures. To further enhance the stability and smoothness of gait trajectories in lower-limb exoskeleton rehabilitation robots, the shortcomings of conventional gait planning approaches, namely their non-intuitive nature and discontinuity, are addressed. A recurrent gait planning method leveraging Long Short-Term Memory (LSTM) neural networks is proposed. The integration of the periodic motion characteristics of human gait serves to validate the feasibility and correctness of the proposed method. Finally, based on the recurrent gait planning method, the dynamic stability of walking postures is verified through theoretical analysis and experimental comparisons, accompanied by an in-depth analysis of key factors influencing dynamic stability. Full article
(This article belongs to the Section Mechanical Engineering)
Show Figures

Figure 1

2 pages, 1476 KB  
Correction
Correction: Li et al. Genetic Deficiency of Hyaluronan Synthase 2 in the Developing Limb Mesenchyme Impairs Postnatal Synovial Joint Formation. Biomedicines 2025, 13, 1324
by Yingcui Li, Alexander Tress, Peter Maye, Kemar Edwards, Asiona Findletar, Nathaniel A. Dyment, Yu Yamaguchi, David W. Rowe, Gengyun Le-Chan, Sunny S. K. Chan and Kevin W.-H. Lo
Biomedicines 2026, 14(1), 4; https://doi.org/10.3390/biomedicines14010004 - 19 Dec 2025
Viewed by 202
Abstract
In the original publication [...] Full article
(This article belongs to the Section Biomedical Engineering and Materials)
Show Figures

Figure 1

13 pages, 1166 KB  
Article
Surgical Correction of Sprengel’s Deformity in Children Using the Modified Green Technique: A Functional and 3D Motion Analysis Study
by Philipp Scheider, Fabian Unglaube, Andreas Kranzl, Catharina Chiari and Sebastian Farr
J. Clin. Med. 2025, 14(24), 8941; https://doi.org/10.3390/jcm14248941 - 18 Dec 2025
Viewed by 232
Abstract
Background/Objectives: Consensus exists on the effectiveness of surgery in improving scapular position and appearance in Sprengel’s deformity, yet evidence regarding functional outcomes is limited. This study aimed to evaluate functional results of the modified Green procedure in children and to assess patient-reported outcome [...] Read more.
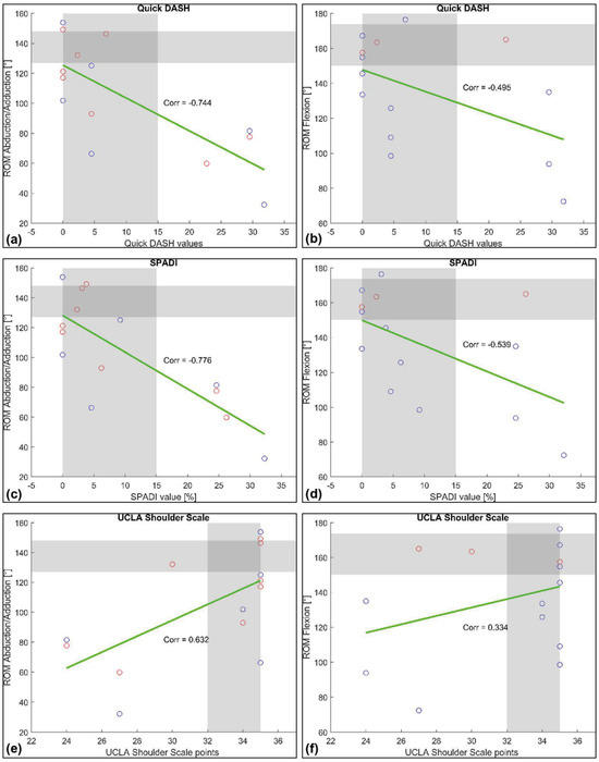
Background/Objectives: Consensus exists on the effectiveness of surgery in improving scapular position and appearance in Sprengel’s deformity, yet evidence regarding functional outcomes is limited. This study aimed to evaluate functional results of the modified Green procedure in children and to assess patient-reported outcome measures. Methods: Patients who underwent corrective surgery using the modified Green technique between 2006 and 2023 were analyzed. Demographic and treatment-specific parameters were collected. The clinical severity of the deformity was graded according to the Cavendish classification, and radiographic evaluation was performed using the Rigault classification. Therapeutic success with respect to mobility was determined by comparing pre- and postoperative abduction and elevation. Postoperative movement patterns of the upper limb were further evaluated using three-dimensional motion analysis. To quantify outcomes related to quality of life and functionality, standardized questionnaires were administered, including the Quick-DASH, the Shoulder Pain and Disability Index (SPADI), and the UCLA Shoulder Scale. Results: A total of 15 cases were included. The mean age at the time of surgery was 6.9 ± 4.0 years, with a mean follow-up of 4.8 ± 4.7 years (range, 0.6–17.7). Glenohumeral abduction improved to 90° in all cases, representing a mean gain of 8° (preoperatively: 82 ± 11°). Elevation improved by an average of 55° (preoperatively: 108 ± 28°; postoperatively: 163 ± 25°). At final follow-up, the mean Quick-DASH score was 10.7 ± 12.7, the mean SPADI score was 10.9 ± 12.1, and the mean UCLA Shoulder Scale was 31.9 ± 4.3, indicating excellent clinical outcomes. Conclusions: The modified Green procedure appears to be a safe and effective surgical technique for the correction of Sprengel’s deformity in children, demonstrating favorable outcomes in terms of mobility, function, and quality of life in this cohort. Full article
(This article belongs to the Section Orthopedics)
Show Figures

Figure 1

18 pages, 922 KB  
Review
What Footwear Do People with Diabetes Mellitus Use? A Narrative Review
by Raúl Carral-Sota, María Reina-Bueno, María del Carmen Vázquez-Bautista, Salomón Benhamú-Benhamú and Inmaculada Concepción Palomo-Toucedo
J. Clin. Med. 2025, 14(23), 8529; https://doi.org/10.3390/jcm14238529 - 1 Dec 2025
Viewed by 721
Abstract
Background/Objectives: The prevention of foot ulcers is a priority for the preservation of the integrity of limbs in subjects with Diabetes Mellitus. Footwear is one of the main causes of ulceration regarding this chronic disease. An in-depth study of the influence of [...] Read more.
Background/Objectives: The prevention of foot ulcers is a priority for the preservation of the integrity of limbs in subjects with Diabetes Mellitus. Footwear is one of the main causes of ulceration regarding this chronic disease. An in-depth study of the influence of footwear is necessary for the establishment of a prevention strategy for foot injuries. This paper aims to identify the type of footwear used by patients with Diabetes Mellitus and to analyse its characteristics and fit to the foot. Methods: The scientific literature was retrieved from the PubMed, Web of Science, and Dialnet databases that covered publications from 2016 to 2025. The inclusion criteria accepted articles that focused on footwear fit and its relationship with ulceration in diabetic patients. Results: A total of 27 articles were selected for study. These articles describe the fitting and features of footwear for a correct adjustment for people with Diabetes. Conclusions: Most of the population with Diabetes Mellitus use poorly adjusted footwear. Incorrect length and width, as well as unsuitable features of the sole and upper, cause patients to become susceptible to the creation of ulcers. Full article
Show Figures

Figure 1

15 pages, 1315 KB  
Article
The Third Month’s Development Predicts the Side and Oblique Sit and Walking
by Ewa Gajewska, Joanna Surowińska, Michał Michalak, Jędrzej Gajewski, Anna Chałupka, Mariusz Naczk, Alicja Naczk and Magdalena Sobieska
J. Clin. Med. 2025, 14(23), 8492; https://doi.org/10.3390/jcm14238492 - 30 Nov 2025
Viewed by 333
Abstract
Background/Objectives: Motor development is endogenously generated until approximately the third month and strongly approximated in all children; hence, this is an excellent time to assess development, both in terms of the achievement of selected milestones (quantitative assessment) and individual single motor elements (qualitative [...] Read more.
Background/Objectives: Motor development is endogenously generated until approximately the third month and strongly approximated in all children; hence, this is an excellent time to assess development, both in terms of the achievement of selected milestones (quantitative assessment) and individual single motor elements (qualitative assessment). This article aims to identify which selected milestones and single motor elements performed at the third month and between the fourth and fifth months condition the achievement of the side sit and oblique sit, followed by walking. Methods: All the children (93 infants) underwent prospective evaluations of motor development at 3, 4–5, and 7–8 months of age, with final assessment at 12 months. The three-month development analysis was based on the Quantitative and Qualitative Assessment of Motor Development Worksheet. Results: All the quantitative features showed a statistically significant effect on achieving side and oblique sitting and eventually walking at 12 months, with those studied between the fourth and fifth months being stronger predictors. The distal parts of the upper limbs analyzed in both positions at three months of age have a strong relationship with the side sit, the oblique sit, and walking. Conclusions: Quantitative and qualitative assessments in the third month have predictive value for achievement of side sitting, oblique sitting, and walking. Correct distal upper limb function development is necessary to achieve side and oblique sitting. Full article
(This article belongs to the Special Issue Advances in Child Neurology)
Show Figures

Figure 1

19 pages, 2757 KB  
Article
Geometric Error Modeling of 3-DOF Planar Parallel Manipulators Using Conformal Geometric Algebra
by Huijing Yao, Chenxin Tang and Xinxue Chai
Machines 2025, 13(12), 1079; https://doi.org/10.3390/machines13121079 - 24 Nov 2025
Viewed by 289
Abstract
This paper proposes a geometrically intuitive error modeling method for planar parallel mechanisms (PPMs) based on conformal geometric algebra (CGA). First, the end point of each limb is determined through rotational transformations in geometric algebra. Using this point as the center, the kinematic [...] Read more.
This paper proposes a geometrically intuitive error modeling method for planar parallel mechanisms (PPMs) based on conformal geometric algebra (CGA). First, the end point of each limb is determined through rotational transformations in geometric algebra. Using this point as the center, the kinematic geometry body (KGB) of each limb is constructed. The end-effector position of the parallel mechanism is then obtained via intersection operations in CGA, while its orientation is derived by constructing the motion plane from the end points. Finally, the error model of the parallel mechanism is established through differential operations. To validate the proposed method, a kinematic calibration simulation was performed using a 3-RPR planar parallel mechanism as an example. The simulation results demonstrate a significant reduction in both position and orientation errors after calibration, indicating a substantial improvement in accuracy and verifying the correctness of the approach. Full article
(This article belongs to the Section Machine Design and Theory)
Show Figures

Figure 1

15 pages, 1070 KB  
Article
Field Position-Related Variations in Body Mass, Postural Control, and Isokinetic Strength in Portuguese Professional Football
by João Rocha, Hélder Cruz, José Eduardo Teixeira, Carolina Vila-Chã, Raúl Filipe Bartolomeu, João Nuno Ribeiro, Faber Martins and Pedro Tiago Esteves
J. Funct. Morphol. Kinesiol. 2025, 10(4), 447; https://doi.org/10.3390/jfmk10040447 - 19 Nov 2025
Viewed by 983
Abstract
Background: Combining body composition, dynamic postural control, and isokinetic strength allows for a comprehensive physical and functional assessment of football players across specific playing positions. The aim of this study was to analyze the field position-related variations in the physical and functional [...] Read more.
Background: Combining body composition, dynamic postural control, and isokinetic strength allows for a comprehensive physical and functional assessment of football players across specific playing positions. The aim of this study was to analyze the field position-related variations in the physical and functional profiles of male football players. Methods: A convenience sample of 23 professional male football players from a Portuguese second league team, aged 18 to 32 years (23.83 ± 3.77 years), participated in the present study. Players from five field positions (central backs, central midfielders, wide midfielders, and forwards) were assessed for body composition, dynamic postural control, and isokinetic lower limb strength. Body composition was assessed by bioelectrical impedance; composite scores for postural control in the right and left limbs were obtained through the Y-Balance test lower quarter (YBT-LQ). Peak torque (PT) during lower limb flexion and extension was measured using an isokinetic dynamometer chair. Results: Significant differences were found only in peak torque of the right extensors [H (4) = 9.84, p = 0.043, η2 = 0.37)], whereas no significant differences emerged in body mass, dynamic balance scores, left-side extension and flexion, or hamstring-to-quadriceps (H:Q) strength ratios. Post hoc analysis using Mann–Whitney U tests with Holm correction did not confirm pairwise differences between positions. The correlation analysis revealed mainly moderate-to-strong associations between symmetrical measures (composite YBT-LQ right and left, PT extension right and left), as well as between anthropometric and strength variables, but without consistent position-specific patterns. Conclusions: Overall, the study provides valuable insights into the physical attributes of professional football players, highlighting the general similarity of profiles across positions and suggesting that individualized training approaches may still be beneficial to optimizing performance and reduce injury risk. Future studies should extend the analysis to larger cohorts across different professional Portuguese football teams and competitions. Full article
Show Figures

Figure 1

19 pages, 4271 KB  
Review
Femoral Malunion and Its Correction: A Review
by Rahul Vaidya, Matthew Mazur, Ihunanya Agomuoh, David Abdelnour, Magd Boutany and Robert Teitge
Medicina 2025, 61(11), 2050; https://doi.org/10.3390/medicina61112050 - 17 Nov 2025
Viewed by 988
Abstract
Background and Objectives: Femoral malunion, defined as healing of a femoral fracture in an anatomically incorrect position, can lead to significant biomechanical and functional impairment despite modern fixation techniques achieving union rates near 99%. The lack of a universal definition and standardized [...] Read more.
Background and Objectives: Femoral malunion, defined as healing of a femoral fracture in an anatomically incorrect position, can lead to significant biomechanical and functional impairment despite modern fixation techniques achieving union rates near 99%. The lack of a universal definition and standardized management approach continues to hinder optimal outcomes. This review aims to synthesize the literature on the causes, clinical presentation, radiologic assessment, surgical indications, corrective procedures, and outcomes of femoral malunion to guide clinical decision-making and future research. Materials and Methods: A narrative review of peer-reviewed orthopedic literature was conducted, focusing on adult femoral malunions across anatomical regions. Articles detailing deformity thresholds, imaging modalities, corrective osteotomies, and fixation strategies were included. Particular emphasis was placed on region-specific deformities—femoral head, neck, intertrochanteric, diaphyseal, and distal femur—and their corresponding surgical correction methods, including valgus intertrochanteric osteotomy, clamshell osteotomy, and lengthening with external or magnetic intramedullary devices. Results: Malunion most commonly presents as angular, rotational, or length deformity, with thresholds of >5–10° angulation, >10° rotation, or >1–2 cm shortening being clinically significant. Patients may experience pain, limp, gait asymmetry, and early-onset arthritis. Corrective techniques tailored to the anatomical site yield favorable results: valgus intertrochanteric osteotomy restores leg length and alignment; diaphyseal malunions respond well to single- or multi-plane osteotomies with internal fixation or gradual correction; distal femoral malunions often require multiplanar osteotomy to reestablish the joint line. Most series report high union rates and functional improvement, though complications such as infection and hardware failure may occur. Conclusions: Femoral malunion remains a complex but treatable condition. Successful outcomes rely on accurate deformity characterization, patient-specific surgical planning, and restoration of mechanical alignment. Standardized deformity criteria and long-term functional outcome studies are needed to refine management algorithms and improve patient care. Full article
(This article belongs to the Section Orthopedics)
Show Figures

Figure 1

13 pages, 3175 KB  
Article
Method of Topological Skeletonization for Evaluation of Effectiveness of Medical Rehabilitation Based on Upper Limb Exoskeletons
by Artem Obukhov, Anton Potlov, Mikhail Krasnyanskiy, Denis Dedov and Dmitry Sudakov
Technologies 2025, 13(11), 516; https://doi.org/10.3390/technologies13110516 - 11 Nov 2025
Viewed by 430
Abstract
An important aspect of medical rehabilitation using exoskeletons is objective monitoring of the effectiveness of the exercise program. This control is most often manual and relies on the attention of a rehabilitation physician, but advanced rehabilitation systems also use computer vision technology. Topological [...] Read more.
An important aspect of medical rehabilitation using exoskeletons is objective monitoring of the effectiveness of the exercise program. This control is most often manual and relies on the attention of a rehabilitation physician, but advanced rehabilitation systems also use computer vision technology. Topological skeletons generalize large areas of digital images, representing a virtual internal framework of the analyzed object. The patient and the exoskeleton are described either as a set of spatially disparate (but not explicitly related to either the patient or the exoskeleton) topological skeletons, or as branches of a single topological skeleton which does not allow for objective monitoring of joint displacements. A method to solve this problem for medical rehabilitation using an upper-limb exoskeleton is proposed. It includes the following stages: (I) identifying the exoskeleton, as well as upper and lower parts of the patient’s body; (II) independent construction of three topological skeletons (separately for the exoskeleton and for the upper and lower parts of the patient’s body); (III) their integration. This approach allows for accurate, real-time analysis of movements in the upper-limb joints and prompt notification to the rehabilitation physician of any significant deviations in the technique of performing prescribed exercises. Full article
Show Figures

Figure 1

Back to TopTop