Sign in to use this feature.

Years

Between: -

Subjects

remove_circle_outline
remove_circle_outline
remove_circle_outline
remove_circle_outline
remove_circle_outline
remove_circle_outline
remove_circle_outline

Journals

Article Types

Countries / Regions

remove_circle_outline
remove_circle_outline
remove_circle_outline
remove_circle_outline
remove_circle_outline

Search Results (189)

Search Parameters:
Keywords = leg asymmetry

Order results
Result details
Results per page
Select all
Export citation of selected articles as:
19 pages, 1083 KB  
Article
Effects of a Proprioceptive Training Program on Dynamic Balance and Neuromotor Performance in Adolescent Latin American Dancers
by Nicola Mancini, Siria Mancini, Miriana Ferrantino, Fiorenzo Moscatelli, Giovanni Messina, Marcellino Monda, Maria Ruberto, Paride Vasco, Claudia Casella, Francesco Paolo Colecchia, Antonietta Messina and Rita Polito
Sports 2025, 13(11), 388; https://doi.org/10.3390/sports13110388 - 4 Nov 2025
Viewed by 402
Abstract
Balance is a key determinant of movement quality and injury prevention in dance, yet targeted dynamic-balance training is rarely embedded in adolescent curricula. This controlled experimental study evaluated a 10-week proprioceptive add-on protocol integrated into Latin American dance practice on neuromotor performance in [...] Read more.
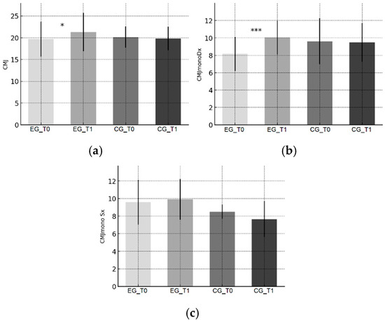
Balance is a key determinant of movement quality and injury prevention in dance, yet targeted dynamic-balance training is rarely embedded in adolescent curricula. This controlled experimental study evaluated a 10-week proprioceptive add-on protocol integrated into Latin American dance practice on neuromotor performance in adolescent female dancers. One hundred twenty-four participants were allocated to an experimental group (EG; n = 62) or a control group (CG; n = 62). Outcomes were the Y Balance Test (YBT; composite and inter-limb asymmetry), Pediatric Reach Test (PRT; anterior and lateral), Single-Leg Landing Stability Test (SLLST; time to stabilization), and countermovement jump (CMJ; bilateral and single-leg). The EG completed 25–30 min of progressive balance work twice weekly before class, while the CG continued standard technical training with matched volume. Compared with the CG, the EG showed clear pre–post improvements in YBT (bilateral composite increased; asymmetry decreased), PRT (anterior and lateral increased), CMJ (bilateral and right single-leg increased), and SLLST (time to stabilization decreased), with significant group × time interactions across domains. Specifically, improvements were significant for Y Balance Test composite scores (p < 0.001), Pediatric Reach Test (p ≤ 0.01), countermovement jump (p < 0.05), and time to stabilization (p ≤ 0.01), confirming robust within- and between-group effects. These findings indicate specific neuromotor adaptations attributable to the integrated protocol. Beyond performance enhancement, the proprioceptive program may contribute to injury prevention, better postural efficiency, and safer execution of complex dance movements in adolescent dancers. Full article
Show Figures

Figure 1

19 pages, 1212 KB  
Article
The Effect of Hip Joint Functional Training on Speed, Flexibility, and Related Performance in Physical Education in College Students
by Lili Qin, Shuang Hu, Dengyun Xu, Huan Wang, Wei Xuan, Tianfeng Lu and Xingzhou Gong
Appl. Sci. 2025, 15(20), 11037; https://doi.org/10.3390/app152011037 - 14 Oct 2025
Viewed by 1003
Abstract
Recent studies have identified the hip joint as a central component of the human kinetic chain, playing a pivotal role in optimizing force transmission during movement. Enhancing its functional capacity represents an effective strategy for enhancing overall physical well-being and preventing injuries. This [...] Read more.
Recent studies have identified the hip joint as a central component of the human kinetic chain, playing a pivotal role in optimizing force transmission during movement. Enhancing its functional capacity represents an effective strategy for enhancing overall physical well-being and preventing injuries. This study investigates the effects of an eight-week hip joint functional training program on the health-related physical fitness, hip joint function, and factors associated with injury risk in university students from a track and field elective class. A total of 56 participants were randomly assigned to an experimental group (n = 28) or a control group (n = 28). The experimental group incorporated hip joint functional training, which comprising dynamic stretching and activation exercises, into their standard physical education (PE) class activities, while the control group continued with the regular physical education curriculum. Pre-intervention and post-intervention assessments included hip joint range of motion (ROM), functional movement screening (FMS), a 50 m sprint, standing long jump, sit-and-reach test, and spinal health evaluations. Results indicated that the experimental group demonstrated significant improvements in multi-directional hip range of motion (ROM), with examples including flexion increasing by 10° and external rotation by 9°. These improvements were accompanied by significant gains in functional movement screen (FMS) scores, with significant improvements in the Hurdle Step, whose median score increased to 3.0, Active Straight Leg Raise, and Rotary Stability components (all p < 0.05) compared to the control group. Furthermore, the training significantly reduced spinal asymmetry (axial trunk rotation reduced from 3.86° to 3.43°) and enhanced performance in the 50 m sprint (−0.26 s) and standing long jump (+0.08 m) (all p < 0.05). These objective improvements in functional movement patterns, postural alignment, and physical performance are associated with key biomechanical factors known to influence injury risk, such as the demonstrated gains in joint mobility and movement efficiency. Therefore, incorporating hip joint functional training into college physical education programs may effectively enhance students’ fundamental movement quality, improve joint stability, and promote postural health, thereby mitigating key biomechanical risk factors. This approach offers a practical strategy for educators to improve student physical health in general PE settings. Full article
(This article belongs to the Special Issue The Impact of Sport and Exercise on Physical Health)
Show Figures

Figure 1

15 pages, 1167 KB  
Article
Genome-Wide Association Study of Morphological Defects in Nellore Cattle Using a Binary Trait Framework
by Milena A. F. Campos, Hinayah Rojas de Oliveira, Henrique A. Mulim, Eduarda da Silva Oliveira, Pablo Augusto de Souza Fonseca, Gregorio M. F. de Camargo and Raphael Bermal Costa
Genes 2025, 16(10), 1204; https://doi.org/10.3390/genes16101204 - 14 Oct 2025
Viewed by 385
Abstract
Background/Objectives: Morphological defects such as limb malformations, cranial asymmetries, loin deviations, jaw misalignments, and navel irregularities are associated with early culling and reduced productivity in beef cattle. In Bos taurus indicus such as Nellore, the genetic basis of these traits remains poorly characterized. [...] Read more.
Background/Objectives: Morphological defects such as limb malformations, cranial asymmetries, loin deviations, jaw misalignments, and navel irregularities are associated with early culling and reduced productivity in beef cattle. In Bos taurus indicus such as Nellore, the genetic basis of these traits remains poorly characterized. This study aimed to investigate the genetic architecture of six morphological defects in Nellore cattle, namely feet and legs malformation, chamfer asymmetry, fallen hump, loin deviation, jaw misalignment, and navel irregularities, via a genome-wide association study (GWAS) approach tailored for binary traits. Methods: Depending on the trait, the number of genotyped animals analyzed ranged from 3369 to 23,206, using 385,079 SNPs (after quality control). Analyses were conducted using a linear mixed model framework adapted for binary outcomes. Results: Significant associations were identified for four traits: feet and legs, chamfer, hump, and loin. No significant markers were detected for jaw or navel defects, likely due to lower sample sizes and trait incidence. Gene annotation revealed 49 candidate genes related to feet and legs, 4 for chamfer, 4 for hump, and 6 for loin. Conclusions: Candidate genes were enriched for biological functions, including bone remodeling, muscle development, lipid metabolism, and epithelial organization. Overlaps with QTL related to conformation, feed intake, reproductive traits, and carcass quality were also observed. These findings provide novel insights into the genetic control of morphological defects in Nellore cattle and may inform breeding strategies aimed at improving structural soundness. Full article
(This article belongs to the Section Animal Genetics and Genomics)
Show Figures

Figure 1

20 pages, 3054 KB  
Article
Assessment of Gait and Balance in Elderly Individuals with Knee Osteoarthritis Using Inertial Measurement Units
by Lin-Yen Cheng, Yen-Chang Chien, Tzu-Tung Lin, Jou-Yu Lin, Hsin-Ti Cheng, Chia-Wei Chang, Szu-Fu Chen and Fu-Cheng Wang
Sensors 2025, 25(20), 6288; https://doi.org/10.3390/s25206288 - 10 Oct 2025
Viewed by 764
Abstract
Knee osteoarthritis (OA) is a prevalent condition in older adults that often results in impaired gait and balance, increased risk of falls, and reduced quality of life. Conventional clinical assessments may not adequately capture these deficiencies. This study investigated the gait and balance [...] Read more.
Knee osteoarthritis (OA) is a prevalent condition in older adults that often results in impaired gait and balance, increased risk of falls, and reduced quality of life. Conventional clinical assessments may not adequately capture these deficiencies. This study investigated the gait and balance of elderly individuals with knee OA using wearable inertial measurement units (IMUs). Forty-four participants with Kellgren–Lawrence grade 2–3 knee OA (71.23 ± 5.75 years) and forty-five age-matched controls (70.87 ± 4.30 years) completed dynamic balance (balance board), static balance (single-leg stance), ‘timed up and go’ (TUG), and normal walking tasks. Between 2 and 8 IMUs, depending on the task, were placed on the head, chest, waist, knees, ankles, soles, and balance board to record kinematic data. Balance was quantified using absolute angular velocity and linear acceleration, with group differences analyzed by MANOVA and Bonferroni-adjusted univariate tests. The participants with knee OA exhibited greater gait asymmetry, although the difference was not significant. However, they consistently demonstrated higher absolute angular velocities than controls across most body segments during static and dynamic tasks, indicating reduced postural stability. No group differences were observed in TUG performance. These findings suggest that IMU-based measures, particularly angular velocity, are sensitive to balance impairment detection in knee OA. Incorporating IMU technology into clinical assessments may facilitate early identification of instability and guide targeted interventions to reduce fall risk. Full article
(This article belongs to the Topic Innovation, Communication and Engineering)
Show Figures

Figure 1

17 pages, 1194 KB  
Article
Impact of Induced Forward Leg Movements on Kinematics and Kinetics During Quiet Standing in Healthy Young Right-Leg-Dominant Women: A Quasi-Experimental Study
by Michalina Gulatowska, Michalina Błażkiewicz, Anatolii Tsos and Jacek Wąsik
Appl. Sci. 2025, 15(19), 10764; https://doi.org/10.3390/app151910764 - 6 Oct 2025
Viewed by 352
Abstract
Background: Postural control in healthy young adults involves complex neuromuscular processes; however, the kinematic and kinetic consequences of small, forward leg perturbations in a defined population are not fully described. This study aimed to characterize the kinematic and kinetic consequences of forward leg [...] Read more.
Background: Postural control in healthy young adults involves complex neuromuscular processes; however, the kinematic and kinetic consequences of small, forward leg perturbations in a defined population are not fully described. This study aimed to characterize the kinematic and kinetic consequences of forward leg perturbations during quiet standing. Methods: This investigation used a quasi-experimental repeated-measures design. Sixteen healthy young women (20.1 ± 0.7 years), all right-leg dominant, were tested using the Gait Real-Time Analysis Interactive Laboratory (GRAIL) system. Forward treadmill perturbations were applied to each limb during quiet standing, and joint angles, ground reaction forces, and torques were measured across baseline, perturbation, and response phases. As the data were non-normally distributed, paired comparisons were conducted using the Wilcoxon test, with significance set at p < 0.05 (Bonferroni corrected) and effect sizes (r) reported. Results: Joint angles remained symmetrical between limbs (no significant differences after correction). In contrast, kinetic measures showed clear asymmetries: at baseline, the dominant limb produced greater knee torque (p = 0.0003, r = 0.73), ankle torque (p = 0.0003, r = 0.76), and medio-lateral GRF (p = 0.0003, r = 0.87). During perturbation, it again generated higher knee (p = 0.0036, r = 0.43) and ankle torques (p = 0.0003, r = 0.53), with larger medio-lateral GRF (p = 0.0003, r = 0.87). In the response phase, the dominant limb showed greater hip torque (p = 0.0033, r = 0.43) and a small dorsiflexion shift at the ankle (p = 0.0066, r = 0.41). Anterior–posterior GRF changes were minor and non-significant after correction. Conclusions: Induced forward leg movements caused limb-specific kinetic adjustments while maintaining overall kinematic symmetry. The dominant leg contributed more actively to balance recovery, highlighting its role in stabilizing posture under small perturbations. These findings are specific to the studied demographic and should not be generalized to males, older adults, left-dominant individuals, or clinical populations without further research. Full article
(This article belongs to the Special Issue Applied Biomechanics: Sports Performance and Rehabilitation)
Show Figures

Figure 1

15 pages, 801 KB  
Article
Associations Between Physical Performance and Asymmetry in Jump, Change of Direction, and Dorsiflexion Tests in Adult Elite Female Futsal Players
by Rafael Albalad-Aiguabella, Germán Vicente-Rodríguez, Borja Muniz-Pardos, Alberto Roso-Moliner, Oscar Villanueva-Guerrero and Elena Mainer-Pardos
Appl. Sci. 2025, 15(19), 10661; https://doi.org/10.3390/app151910661 - 2 Oct 2025
Viewed by 491
Abstract
Inter-limb asymmetries may negatively affect performance and increase injury risk in team sports, but evidence in women’s futsal remains scarce. This study examined the relationship between inter-limb asymmetries in vertical (countermovement jump, CMJ), horizontal (standing broad jump, SBJ), and reactive (drop jump, DJ) [...] Read more.
Inter-limb asymmetries may negatively affect performance and increase injury risk in team sports, but evidence in women’s futsal remains scarce. This study examined the relationship between inter-limb asymmetries in vertical (countermovement jump, CMJ), horizontal (standing broad jump, SBJ), and reactive (drop jump, DJ) tests, ankle dorsiflexion (DF), and change of direction (COD; 505, L-Run, V-Cut) with physical performance variables in adult female futsal players. Thirty-two highly trained athletes from the Spanish Women’s Second Division (age: 23.4 ± 4.8 years) completed a testing battery including bilateral and unilateral jumps, linear sprints (5, 10, 15 m), COD tests, and ankle dorsiflexion. Asymmetries were calculated as percentage differences between limbs, and their associations with unilateral performance were analyzed using Pearson’s correlations. The highest asymmetries were observed in DJ (15.7 ± 13.3%) and DF (15.3 ± 13.3%), whereas L-Run and 505 displayed the lowest values. Significant moderate negative correlations were found between SBJ asymmetry and right leg SBJ performance (r = −0.356, p < 0.05), and between DF asymmetry and right leg DF (r = −0.494, p < 0.01). No other meaningful associations were identified, and agreement in the direction of asymmetry across tests was generally slight. These findings highlight the task-specific nature of inter-limb asymmetries and suggest that diverse unilateral assessments are needed to comprehensively monitor imbalances and inform targeted training interventions in female futsal. Full article
(This article belongs to the Special Issue Sports Injuries: Prevention and Rehabilitation)
Show Figures

Figure 1

19 pages, 948 KB  
Article
Structural and Functional Asymmetries in Male Basketball Players: A Cross-Sectional Analysis of Body Composition, Bone Status, and Performance
by Dimitrios Pantazis, Dimitrios Balampanos, Alexandra Avloniti, Theodoros Stampoulis, Maria Protopappa, Christos Kokkotis, Konstantinos Chatzichristos, Panagiotis Aggelakis, Maria Emmanouilidou, Nikolaos-Orestis Retzepis, Nikolaos Zaras, Dimitrios Draganidis, Ioannis G. Fatouros, Maria Michalopoulou, Antonis Kambas and Athanasios Chatzinikolaou
J. Funct. Morphol. Kinesiol. 2025, 10(3), 359; https://doi.org/10.3390/jfmk10030359 - 18 Sep 2025
Viewed by 728
Abstract
Background: Basketball is a high-intensity, multidirectional sport involving frequent jumping, sprinting, and rapid changes of direction, which may expose the musculoskeletal system to varying and potentially asymmetric mechanical demands. The mechanical loading associated with basketball-specific movements may also serve as a consistent osteogenic [...] Read more.
Background: Basketball is a high-intensity, multidirectional sport involving frequent jumping, sprinting, and rapid changes of direction, which may expose the musculoskeletal system to varying and potentially asymmetric mechanical demands. The mechanical loading associated with basketball-specific movements may also serve as a consistent osteogenic stimulus, potentially leading to side-specific adaptations in body composition and bone characteristics. Long-term participation in basketball may lead to functional and structural asymmetries between the lower and upper limbs, potentially increasing the risk of injury and impacting performance. This study aimed to investigate structural and functional asymmetries in male basketball players using body composition, health, and performance-related measures. Methods: Thirty-eight right-handed basketball players (age: 21.1 ± 2.8 years; body mass: 86.2 ± 9.2 kg; height: 1.91 ± 8.3 cm) were assessed in a single testing session. The evaluation included bioelectrical impedance analysis (BIA), dual-energy X-ray absorptiometry (DXA), single-leg countermovement rebound jumps (CMRJs), and handgrip strength testing. Results: Significant interlimb differences were observed in lean mass and the phase angle for both the arms and legs. Performance differences favored the left leg in terms of maximum jump height (12.0 ± 17.5%, p = 0.001) and reactive strength index (RSI), whereas the right arm exhibited greater grip strength than the left (6.4 ± 5.9%, p = 0.001). DXA analysis revealed significant asymmetries in bone parameters, including bone mineral density (BMD) of the trochanter (1.81 ± 5.51%, p = 0.031, dz = 0.37), total hip (1.41 ± 4.11%, p = 0.033, dz = 0.36), and total arms (–1.21 ± 2.71%, p = 0.010, dz = 0.43), as well as bone mineral content (BMC) in total arms (–2.16 ± 5.09%, p = 0.012) and total legs (1.71 ± 3.36%, p = 0.002, 0.54). Conclusions: These findings suggest that basketball may induce both functional and structural adaptations, likely due to repetitive unilateral loading and sport-specific movement patterns. However, individual variability and the use of diverse assessment methods may complicate the detection and interpretation of asymmetries. Coaches and practitioners should monitor and address such asymmetries to reduce injury risk and optimize performance. Full article
(This article belongs to the Section Kinesiology and Biomechanics)
Show Figures

Figure 1

10 pages, 919 KB  
Article
Understanding Weightbearing Symmetries During Crawling in Typically Developing Infants and Infants with Limb Loss
by Mark D. Geil, Jill Cannoy, Emma Stockwell, Colleen Coulter, Megan Knapp, Lyle Blackwelder, Lucas Northway and Austin Brown
Symmetry 2025, 17(9), 1558; https://doi.org/10.3390/sym17091558 - 17 Sep 2025
Viewed by 1581
Abstract
Crawling is an almost universal stage of locomotor development in infants; however, it is difficult to quantify using typical motion analysis techniques. The crawling stage therefore has underutilized potential to assess development and detect deviations or abnormalities. This study measured longitudinal weightbearing asymmetries [...] Read more.
Crawling is an almost universal stage of locomotor development in infants; however, it is difficult to quantify using typical motion analysis techniques. The crawling stage therefore has underutilized potential to assess development and detect deviations or abnormalities. This study measured longitudinal weightbearing asymmetries in typically developing (TD) crawling children and compared this population to children with limb loss or limb differences (LLD) using a pressure-sensing mat. The LLD group bore significantly more weight using their arms vs. their legs than the TD group (p < 0.001), but even in cases of unilateral limb loss, bilateral weightbearing symmetry was similar to TD, controlling for body mass and age (p = 0.570). As children in the TD group developed and gained body mass, their weight shifted significantly to their left side (η2 = 0.050) and away from their arms and toward their legs (η2 = 0.255). The results provide insight into the biomechanical development of TD infant crawling, and the ways in which an atypically developing population manages weightbearing during crawling. The establishment of symmetry data will be useful, as crawling can serve as an opportunity for earlier detection of neuromotor conditions such as cerebral palsy. Furthermore, insight into the crawling patterns of children with limb loss and limb difference can inform prosthetic prescription and the need to consider a missing weight shift toward the legs as children develop. Full article
(This article belongs to the Special Issue Symmetry and Asymmetry in Biomechanics and Gait Mechanics)
Show Figures

Figure 1

13 pages, 443 KB  
Review
Adolescent Soccer Overuse Injuries: A Review of Epidemiology, Risk Factors, and Management
by Adam Ayoub, Maxwell Ranger, Melody Longmire and Karen Bovid
Int. J. Environ. Res. Public Health 2025, 22(9), 1388; https://doi.org/10.3390/ijerph22091388 - 5 Sep 2025
Viewed by 2399
Abstract
Introduction: Overuse injuries are a growing concern among adolescent soccer players, with the repetitive nature of the sport placing significant physical demands on young athletes. These injuries can have long-term implications for physical development, performance, and overall well-being. This narrative synthesis aimed to [...] Read more.
Introduction: Overuse injuries are a growing concern among adolescent soccer players, with the repetitive nature of the sport placing significant physical demands on young athletes. These injuries can have long-term implications for physical development, performance, and overall well-being. This narrative synthesis aimed to evaluate the existing literature on the epidemiology, risk factors, and management strategies for overuse injuries in adolescent soccer players. Methods: A comprehensive literature search was conducted using PubMed and Embase. A total of 123 articles were identified, 27 of which met the inclusion criteria after screening. Studies focusing on overuse injuries in adolescent soccer players aged 10–18 years were included, while those addressing acute injuries, non-soccer populations, or adult athletes were excluded. Relevant quantitative and qualitative data were extracted and evaluated. Due to heterogeneity in study designs and outcomes, findings were narratively synthesized rather than meta-analyzed. Results: The period around peak height velocity (PHV: 11.5 years in girls, 13.5 years in boys) was consistently identified as a high-risk window, with seven studies demonstrating a significantly increased incidence of overuse injuries. Additional risk factors included leg length asymmetry, truncal weakness, early sport specialization, high ratios of organized-to-free play, and increased body size. Injury burden was greatest for hamstring and groin injuries, often leading to prolonged time lost from play. Preventive interventions such as plyometric training, trunk stabilization, and structured load monitoring demonstrated reductions in injury incidence in several prospective studies, though protocols varied widely. Conclusion: This narrative synthesis highlights PHV as the most consistent risk factor for overuse injuries in adolescent soccer players, alongside modifiable contributors such as training load, sport specialization, and free play balance. Evidence supports neuromuscular training and structured monitoring as promising preventive strategies, but there remains a lack of standardized, evidence-based protocols. Future research should focus on optimizing and validating interventions, integrating growth and load monitoring, and leveraging emerging approaches such as machine learning-based risk prediction. Full article
(This article belongs to the Special Issue Sports-Related Injuries in Children and Adolescents)
Show Figures

Figure 1

13 pages, 780 KB  
Article
Flywheel Resistance Training in Female Futsal Players: Muscle Power Asymmetries and Injury Risk Implications
by Daniele Pereira da Silva Araújo, Pablo Augusto Garcia Agostinho, Suene Franciele Nunes Chaves, Rafael de Freitas Ferreira, Juliana Souza Valente, Claudia Eliza Patrocínio de Oliveira and Osvaldo Costa Moreira
Physiologia 2025, 5(3), 26; https://doi.org/10.3390/physiologia5030026 - 25 Aug 2025
Cited by 1 | Viewed by 932
Abstract
Introduction: Women’s futsal demands strength, agility, speed, and endurance, involving sprints, dribbling, and rapid directional changes. In this context, the hamstring/quadriceps (H/Q) strength ratio and bilateral muscle asymmetries are recognized as risk factors for lower limb injuries and may also impact athletic performance. [...] Read more.
Introduction: Women’s futsal demands strength, agility, speed, and endurance, involving sprints, dribbling, and rapid directional changes. In this context, the hamstring/quadriceps (H/Q) strength ratio and bilateral muscle asymmetries are recognized as risk factors for lower limb injuries and may also impact athletic performance. Objective: This study aimed to analyze power output in two inertial flywheel resistance exercises and identify muscle imbalances in the lower limbs of female university futsal players. Methods: Twelve athletes (22.9 ± 2.3 years; 163 ± 6.8 cm; 60.9 ± 9.9 kg; 22.8 ± 3.1 kg/m2; ≥9 years of experience) participated in the study. They performed 2 sets of 8 unilateral knee flexion and extension repetitions per limb, following a warm-up of 20 bodyweight squats. Power output was assessed using a multi-joint isoinertial device (Physical Solutions, SP, Brazil). Data were analyzed using mean and standard deviation, with significance set at α = 0.05. Results: Eccentric power was significantly higher in both exercises and limbs (EJPD = 0.003; EJPE = 0.006; FJPD < 0.001; FJPE < 0.001). An imbalance in the H/Q ratio was observed: concentric right = 50.38% ± 14.67; left = 42.46% ± 9.24; eccentric right = 56.71% ± 15.56; left = 58.38% ± 21.06. The right limb showed a greater concentric imbalance (p = 0.016). Conclusions: Eccentric power was higher in both exercises without inter-limb differences. An H/Q imbalance was detected, with greater asymmetry in the right leg for concentric power. Coaches are encouraged to prioritize eccentric training to address these imbalances. Full article
(This article belongs to the Special Issue Exercise Physiology and Biochemistry: 2nd Edition)
Show Figures

Figure 1

26 pages, 4740 KB  
Article
Development of a Powered Four-Bar Prosthetic Hip Joint Prototype
by Michael Botros, Hossein Gholizadeh, Farshad Golshan, David Langlois, Natalie Baddour and Edward D. Lemaire
Prosthesis 2025, 7(5), 105; https://doi.org/10.3390/prosthesis7050105 - 22 Aug 2025
Viewed by 1437
Abstract
Background/Objectives: Hip-level amputees face ambulatory challenges due to the lack of a lower limb and prosthetic hip power. Some hip-level amputees restore mobility by using a prosthesis with hip, knee, and ankle joints. Powered prosthetic joints contain an actuator that provides external flexion-extension [...] Read more.
Background/Objectives: Hip-level amputees face ambulatory challenges due to the lack of a lower limb and prosthetic hip power. Some hip-level amputees restore mobility by using a prosthesis with hip, knee, and ankle joints. Powered prosthetic joints contain an actuator that provides external flexion-extension moments to assist with movement. Powered knee and powered ankle-foot units are on the market, but no viable powered hip unit is commercially available. This research details the development of a novel powered four-bar prosthetic hip joint that can be integrated into a full-leg prosthesis. Methods: The hip joint design consisted of a four-bar linkage with a harmonic drive DC motor placed in the inferior link and an additional linkage to transfer torque from the motor to the hip center of rotation. Link lengths were determined through engineering optimization. Device strength was demonstrated with force and finite element analysis and with ISO 15032:2000 A100 static compression tests. Walking tests with a wearable hip-knee-ankle-foot prosthesis simulator, containing the novel powered hip, were conducted with three able-bodied participants. Each participant walked back and forth on a level 10 m walkway. Custom hardware and software captured joint angles. Spatiotemporal parameters were determined from video clips processed in the Kinovea software (ver. 0.9.5). Results: The powered hip passed all force and finite element checks and ISO 15032:2000 A100 static compression tests. The participants, weighing 96 ± 2 kg, achieved steady gait at 0.45 ± 0.11 m/s with the powered hip. Participant kinematic gait profiles resembled those seen in transfemoral amputee gait. Some gait asymmetries occurred between the sound and prosthetic legs. No signs of mechanical failure were seen. Most design requirements were met. Areas for powered hip improvement include hip flexion range, mechanical advantage at high hip flexion, and device mass. Conclusions: The novel powered four-bar hip provides safe level-ground walking with a full-leg prosthesis simulator and is viable for future testing with hip-level amputees. Full article
Show Figures

Figure 1

16 pages, 3466 KB  
Article
Direction-Dependent Limb Asymmetries in Female Lateral Jumps: A Ground Reaction Force and Knee Torque Study
by Michalina Błażkiewicz, Aleksandra Malec, Marta Trawczyńska, Michał Skalik and Jacek Wąsik
Appl. Sci. 2025, 15(16), 9150; https://doi.org/10.3390/app15169150 - 20 Aug 2025
Viewed by 733
Abstract
Background: Movement symmetry in the lower limbs is critical for biomechanical efficiency, injury prevention, and athletic performance. Lateral (sideways) jumping challenges force production and control in the frontal plane and provide a unique assessment of neuromuscular coordination that may not be detected through [...] Read more.
Background: Movement symmetry in the lower limbs is critical for biomechanical efficiency, injury prevention, and athletic performance. Lateral (sideways) jumping challenges force production and control in the frontal plane and provide a unique assessment of neuromuscular coordination that may not be detected through sagittal-plane tasks such as running or vertical jumping. This study aimed to evaluate limb asymmetries in isometric knee muscle torque and ground reaction forces (GRFs) during lateral jumps in healthy young women, using the Symmetry Index (SI) to quantify differences between limbs. Methods: Twenty right-limb dominant females (mean age: 20.65 ± 4.51 years) participated in the study. Isometric torque of the knee flexors and extensors was measured using a dynamometric testing station. Lateral jumps were performed onto dual force platforms, with GRF components (vertical (PD), anterior–posterior (AP), mediolateral (ML)) recorded separately for rightward and leftward jumps. SI was calculated for all parameters to determine side-to-side asymmetries, and paired Student’s t-tests were used for statistical comparisons. Results: Right-limb dominance was evident in both knee flexor and extensor torque. Significant asymmetries were observed across all GRF components, varying with jump direction. The trailing limb in each jump direction typically generated greater propulsion forces. In lateral jumps, the trailing limb is generally the leg positioned opposite to the direction of travel, playing a primary role in generating propulsion and absorbing forces during take-off. SI values revealed both inter-individual variability and consistent direction-dependent asymmetry patterns. Conclusions: The or-posterior and vertical components, with greater loading on the dominant leg. Muscle torque measurements also revealed imbalances, with flexors showing more symmetry than extensors. These findings underline the importance of assessing load symmetry to prevent injury and guide rehabilitation. Full article
(This article belongs to the Special Issue Research of Sports Medicine and Health Care: Second Edition)
Show Figures

Figure 1

12 pages, 1927 KB  
Case Report
Cutis Marmorata Telangiectatica Congenita: Case Series and Literature Review
by Mărioara Boia, Daniela-Eugenia Popescu, Ana Maria Cristina Jura, Valerica Belengeanu, Nicoleta Lungu, Aniko Maria Manea, Florina Stoica, Corina Pienar and Eugen Radu Boia
Diagnostics 2025, 15(16), 2043; https://doi.org/10.3390/diagnostics15162043 - 14 Aug 2025
Viewed by 1021
Abstract
Background: Cutis marmorata telangiectatica congenita (CMTC) is a rare congenital vascular anomaly characterized by a persistent, violaceous, reticulated skin pattern. It may present as a benign isolated lesion or as part of a broader syndrome with systemic anomalies such as limb asymmetry, glaucoma, [...] Read more.
Background: Cutis marmorata telangiectatica congenita (CMTC) is a rare congenital vascular anomaly characterized by a persistent, violaceous, reticulated skin pattern. It may present as a benign isolated lesion or as part of a broader syndrome with systemic anomalies such as limb asymmetry, glaucoma, or neurological impairment. Methods: We report a case series of three neonates with CMTC, each representing a distinct clinical pattern: localized, segmental, and generalized. All patients underwent comprehensive clinical assessment, including dermatologic, neurologic, and ophthalmologic evaluations. Additionally, a systematic literature review was conducted using PubMed, Scopus, and Web of Science databases, covering publications from 2012 to 2025. Results: Case 1 involved a localized lesion of the calf; Case 2 had segmental involvement of the forearm and leg; Case 3 presented with generalized CMTC covering over 85% of the body surface, accompanied by dysmorphism and bilateral persistent fetal vasculature (PFV). Literature findings highlighted significant clinical variability and a stronger association of generalized forms with systemic abnormalities. Conclusions: CMTC exhibits a broad clinical spectrum. While localized cases often resolve spontaneously, generalized forms may require multidisciplinary evaluation. Early recognition and systemic screening are crucial for optimal management. Full article
(This article belongs to the Special Issue Rare Diseases: Diagnosis and Management)
Show Figures

Figure 1

10 pages, 656 KB  
Article
Asymmetries of Force and Power During Single-Leg Counter Movement Jump in Young Adult Females and Males
by Jarosław Kabaciński, Joanna Gorwa, Waldemar Krakowiak and Michał Murawa
Sensors 2025, 25(16), 4995; https://doi.org/10.3390/s25164995 - 12 Aug 2025
Cited by 1 | Viewed by 1003
Abstract
Background/Objectives: Inter-limb asymmetry of a given variable for vertical jumps is commonly assessed in both healthy individuals and those undergoing rehabilitation post-injury. The aim of this study was to compare the asymmetry index between the take-off and landing of a single-leg counter movement [...] Read more.
Background/Objectives: Inter-limb asymmetry of a given variable for vertical jumps is commonly assessed in both healthy individuals and those undergoing rehabilitation post-injury. The aim of this study was to compare the asymmetry index between the take-off and landing of a single-leg counter movement jump (CMJ), as well as between females and males. Methods: Twenty-three healthy females (age: 21.5 ± 1.6 years) and twenty-three healthy males (age: 21.1 ± 1.8 years) participated in this study. The assessment of two asymmetry indices (AI1 and AI2) was conducted for the peak vertical ground reaction force (PVGRF) and maximum power (MP) during single-leg CMJ take-offs and landings performed on the force platform. Results: The analysis showed significant main effects (p < 0.001) for the phase factor (only AI2) and for the gender factor (only AI1). Moreover, there was a non-significant interaction effect between the phase factor and gender factor (p = 0.476). Pairwise comparisons revealed significant differences in the values of (1) AI2 between the take-off and landing (p < 0.001) and (2) AI1 between females and males (p < 0.001). Conclusions: Findings showed significant effects of the phase factor (only for AI2) and gender factor (only for AI1) on the magnitude of inter-limb asymmetry during single-leg CMJs. Furthermore, this study reported the significantly higher asymmetry of the PVGRF and MP for landing than take-off, which may result from difficulties in controlling the jumper’s landing technique on one foot at higher velocity. In addition, the assessment of asymmetry for single-leg CMJs using AI1 should be performed separately for females and males, as opposed to AI2. Participants of both genders generally demonstrated a higher AI level for the power than for the force. Full article
(This article belongs to the Special Issue Sensors and Data Analysis for Biomechanics and Physical Activity)
Show Figures

Figure 1

10 pages, 470 KB  
Article
Asymmetry in Muscle Activation and Co-Contraction Between Lower Limb During Zap-3 Flamenco Footwork
by Ningyi Zhang, Sebastián Gómez-Lozano, Ross Armstrong, Hui Liu, Ce Guo and Alfonso Vargas-Macías
Sensors 2025, 25(15), 4829; https://doi.org/10.3390/s25154829 - 6 Aug 2025
Viewed by 758
Abstract
This study aims to investigate asymmetries in muscle activation and co-contraction of main lower limb muscles during flamenco Zap-3 footwork with consideration of the footwork speed and dancer proficiency. Twelve flamenco dancers participated, including six professionals and six amateurs. Each participant performed the [...] Read more.
This study aims to investigate asymmetries in muscle activation and co-contraction of main lower limb muscles during flamenco Zap-3 footwork with consideration of the footwork speed and dancer proficiency. Twelve flamenco dancers participated, including six professionals and six amateurs. Each participant performed the Zap-3 sequence under three speed conditions: 160 beats per minute (bpm), 180 bpm and the fastest speed level (F). The normalized surface electromyography was recorded in the gastrocnemius medialis (GM), biceps femoris (BF), tibialis anterior (TA) and rectus femoris (RF) in the dominant (DL) and non-dominant leg (NDL). The co-contraction index was also calculated for selected muscle pairs. The results showed that significant asymmetries occurred only in professional dancers and exclusively at the F speed level. Specifically, the value of the GM in the NDL was higher than that of the DL (p < 0.05, d = 1.97); the value of the BF in the DL was higher than that of the NDL (p < 0.05, d = 1.86) and the co-contraction index of BF/RF in the DL was higher than that of the NDL (p < 0.05, d = 1.87). Understanding these asymmetries may help to inform individualized training strategies aimed at optimizing performance and reducing potential risks. Full article
Show Figures

Figure 1

Back to TopTop