Effects of a Proprioceptive Training Program on Dynamic Balance and Neuromotor Performance in Adolescent Latin American Dancers
Abstract
1. Introduction
Study Aim
2. Materials and Methods
2.1. Study Design
2.2. Participants and Eligibility Criteria
2.2.1. Inclusion Criteria
- -
- ≥2 years of continuous participation in the discipline;
- -
- absence of neurological or vestibular disorders;
- -
- absence of acute musculoskeletal conditions;
- -
- attendance ≥80% of scheduled sessions;
- -
- written informed consent from legal guardians.
2.2.2. Exclusion Criteria
- -
- missing data at T0 or T1;
- -
- body mass index (BMI) < 15 or >25 kg/m2;
- -
- 20% absences during the experimental period.
2.3. Training Protocol
- -
- Unstable-surface work: balance/wobble boards, foam/air cushions, and elastic or mini-trampoline mats;
- -
- Dynamic stability tasks: balance walking, rotations, changes in base of support;
- -
- Single-leg drills (static and dynamic): controlled leg swings, single-leg squats, lunge-to-jump transitions;
- -
- Postural control and core stability: e.g., the “airplane” exercise (single-leg trunk/hip extension with controlled alignment);
- -
- Rapid transitions with reaching tasks;
- -
- Contextual variability: partner-based drills and station circuits, when appropriate, to enhance task adaptability.
| Week(s) | EG—Balance/Proprioceptive Add-on (25–30 min Before Class, 2×/Week) |
|---|---|
| 1–2 | Foundations on unstable support: bi-/uni-pedal stance on foam/air cushions (eyes open/closed); ball pick-ups from floor while maintaining balance; partner elastic-band resistance on cushion. Simple locomotor balance: single-leg hops with return on the opposite leg; lateral hops over a rope; “airplane” (single-leg trunk/hip extension). alternate stance leg; small controlled hops → faster tempo; rhythm changes; eyes-closed variants. |
| 3–4 | Directional hopping: jumps along 5 spaced pads (≈1 m) alternating single-leg landings; same in zig-zag. Dual-task balance: keep a balloon aloft while standing on cushion. Landing control: trampoline/elastic-mat jumps with stick landing. Support transitions: “airplane” on blocks; forward block-exchange stepping drill. Progressions: increase speed/amplitude; eyes-closed trials; increase consecutive jumps/hold time. |
| 5–6 | Single-leg stability on cushion: eyes open/closed; partner ball passes (bi-/uni-pedal); “airplane” on cushion. Cooperative balance: paired circle hops holding one partner’s leg; balance “duels” on blocks. Intro plyometrics: squat jumps ×5; lunge-to-jump ×5. Progressions: add free-leg movements; perform passes in single-leg stance; shorten recovery; increase reps/series; add controlled perturbations. |
| 7–8 | Refinement (weeks 1–2 repeated at higher precision): single-leg on cushion eyes open/eyes closed; ball pick-ups (bi-/uni-pedal); partner elastic resistance. Rotational control: forward/return rope hops; single-leg rotations with stop in balance; “airplane” with forefoot stepping. Progressions: longer holds; stronger elastic traction; faster hops; eyes-closed arrests. |
| 9–10 | Integration and complexity phase. Linear and zig-zag pad jumps with ball dribble/taps; “airplane” on blocks with eyes closed plus tactile/visual cues; paired balance challenges with tactile prompts (eyes closed); coordinated ball passes on unstable surfaces with circular free-leg motions; plyometric tasks with reduced visual input. Progressions: shorter rests, higher speed, varied arm positions; maximal neuromotor control under destabilization. |
| Variable | EG T0 | EG T1 | CG T0 | CG T1 |
|---|---|---|---|---|
| Composite Score Right (%) | 79.26 ± 6.72 | 94.72 ± 8.07 | 76.85 ± 9.00 | 77.09 ± 7.99 |
| Composite Score Left (%) | 80.93 ± 7.42 | 94.25 ± 9.53 | 77.26 ± 9.23 | 78.76 ± 8.59 |
| Asymmetry Composite (%) | −1.68 ± 2.10 | 0.47 ± 2.37 | −0.41 ± 4.89 | −1.68 ± 3.35 |
| PRT_Anterior (cm) | 25.09 ± 4.57 | 29.87 ± 4.27 | 24.19 ± 2.68 | 23.39 ± 2.75 |
| PRT_Lateral Right (cm) | 19.85 ± 5.65 | 24.60 ± 4.91 | 17.57 ± 3.23 | 16.19 ± 3.35 |
| PRT_Lateral Left (cm) | 20.89 ± 4.17 | 25.08 ± 4.12 | 18.06 ± 4.42 | 17.41 ± 2.92 |
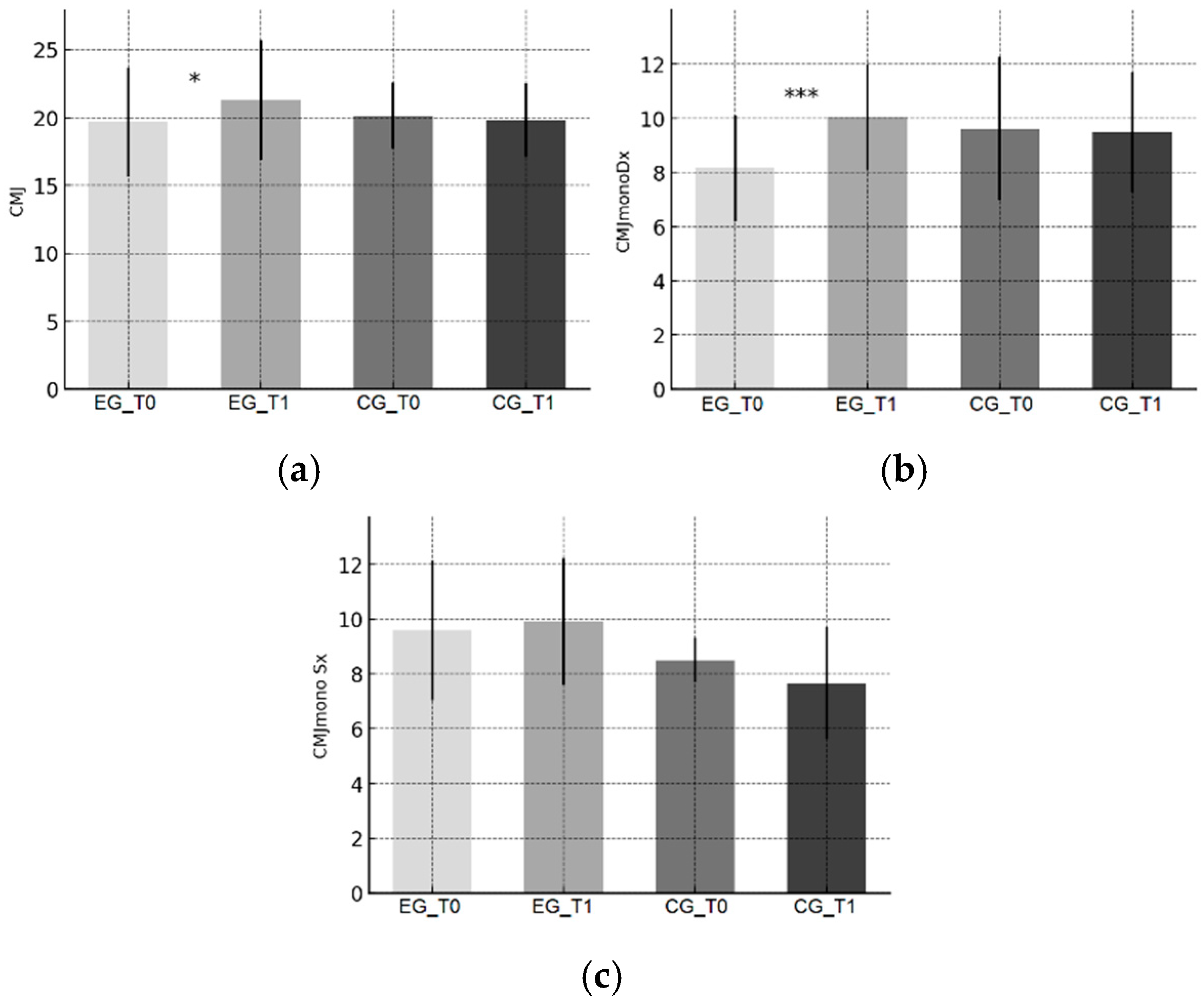
| CMJ (cm) | 19.67 ± 4.01 | 21.30 ± 4.41 | 20.14 ± 2.45 | 19.82 ± 2.70 |
| CMJ_Single Right (cm) | 8.17 ± 1.95 | 10.05 ± 1.96 | 9.62 ± 2.63 | 9.48 ± 2.23 |
| CMJ_Single Left (cm) | 9.59 ± 2.54 | 9.92 ± 2.31 | 8.51 ± 0.82 | 7.66 ± 2.04 |
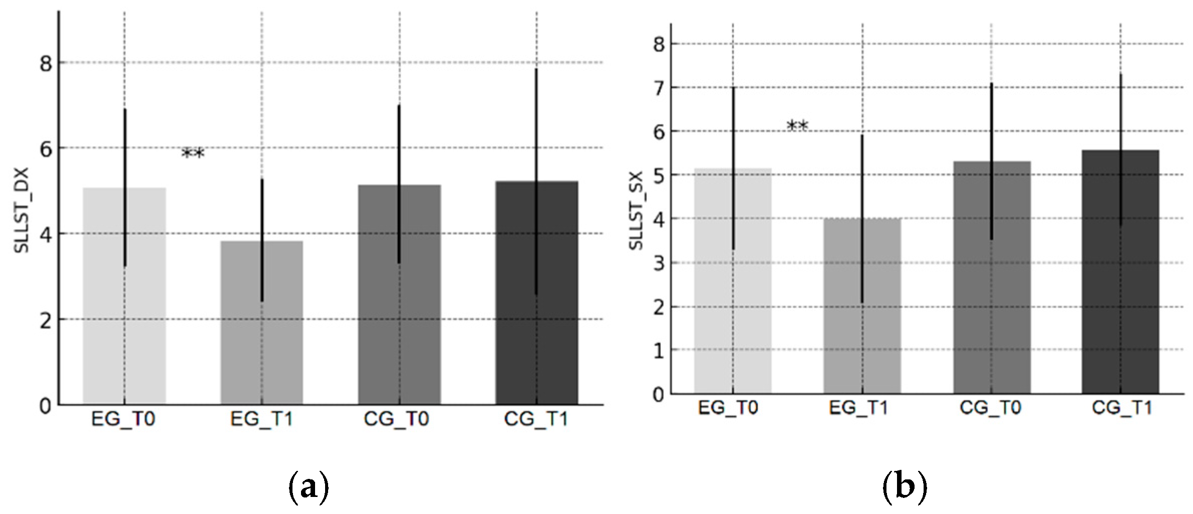
| SLLST_Right (s) | 5.08 ± 1.84 | 3.84 ± 1.44 | 5.15 ± 1.86 | 5.22 ± 2.65 |
| SLLST_Left (s) | 5.15 ± 1.87 | 4.00 ± 1.92 | 5.30 ± 1.80 | 5.57 ± 1.73 |
2.4. Ethics Statement
2.5. Outcome Measures
2.5.1. Y Balance Test (YBT)
2.5.2. Pediatric Reach Test (PRT)
2.5.3. Single-Leg Landing Stability Test (SLLST)
2.5.4. Countermovement Jump (CMJ)
2.6. Data Collection Procedures
2.7. Statistical Analysis
3. Results
3.1. Sample and Adherence
3.2. Variable Trajectories and Within-Group Comparisons
3.3. Group × Time Interaction (Two-Way Repeated-Measures ANOVA)
- YBT composite—right: F(1,122) = 43.534, p < 0.001, ηP2 = 0.263; left: F(1,122) = 25.929, p < 0.001, ηP2 = 0.175;
- PRT—anterior: F(1,122) = 19.284, p < 0.001, ηP2 = 0.136; right lateral: F(1,122) = 16.357, p < 0.001, ηP2 = 0.118; left lateral: F(1,122) = 10.327, p = 0.004, ηP2 = 0.078;
- CMJ—single-leg right: F(1,122) = 7.676, p = 0.011, ηP2 = 0.059; bilateral: F(1,122) = 5.307, p = 0.031, ηP2 = 0.042;
- SLLST—right: F(1,122) = 6.190, p = 0.021, ηP2 = 0.048; left: F(1,122) = 5.315, p = 0.031, ηP2 = 0.042;
- YBT asymmetry: F(1,122) = 4.858, p = 0.038, ηP2 = 0.038.
3.4. Summary Relative to the Hypotheses
Sensitivity Analyses
3.5. Interpretation of Results—Hypothesis Testing
- -
- H1. In the EG, YBT composite scores increased markedly for both limbs (dz ≈ 1.30 and 0.87), with significant group × time interactions [F(1,122) = 43.534 and 25.929; ηP2 = 0.263 and 0.175].
- -
- H2. YBT asymmetry decreased significantly [F(1,122) = 4.858; ηP2 = 0.038].
- -
- H3. Explosive strength improved in the bilateral CMJ and the right single-leg CMJ (small–moderate effects); the left single-leg CMJ showed only a non-significant favorable trend.
- -
- H4. Time to stabilization (SLLST) decreased significantly on both sides [F(1,122) = 6.190 and 5.315; ηP2 = 0.048–0.042].
4. Discussion
4.1. Confirmation or Refutation of the Hypotheses
4.2. Comparison with the Literature and Implications
4.2.1. Y Balance Test (Dynamic Balance and Functional Symmetry)
4.2.2. Pediatric Reach Test (Anticipatory Postural Control)
4.2.3. CMJ (Stretch–Shortening Explosive Strength)
4.2.4. SLLST (Post-Landing Stabilization)
4.2.5. Synthesis of ANOVA Findings and Test Sensitivity
4.3. Between-Group Comparison and Hypothesis Verification
4.4. Practical Implications
4.5. Study Limitations
- -
- Sampling and allocation. Convenience sampling from schools in Southern Italy and the absence of full randomization may introduce selection bias and unmodeled cluster effects (instructor/context differences).
- -
- Examiner blinding. Likely lack of assessor blinding may have increased the risk of measurement bias.
- -
- Instrumentation. Although objective measures were used (lumbar IMU for SLLST; Chronojump for CMJ), gold-standard systems (force platforms, 3D motion capture, EMG) were not employed. A single IMU cannot capture distal/proximal segmental contributions to postural control.
- -
- Intervention duration and dose. The 10-week, 2×/week, 25–30 min cycle is pragmatic but does not establish dose–response relationships or longer-periodization effects.
- -
- External validity. The sample comprised adolescent females practicing Latin American dance; generalizability to males, other dance styles, or age groups remains to be verified.
- -
- Maturation and load. Maturational status (e.g., PHV/Tanner) and training load (e.g., weekly RPE) were not controlled, representing potential confounders in youth.
- -
- Multiple comparisons and learning. Although primary outcomes were pre-specified and Holm–Bonferroni was applied, type I error cannot be fully excluded; residual learning effects cannot be ruled out (mitigated by the CG).
- -
- Moreover, as all participants were recruited from Latin dance schools in a single geographic region of Southern Italy, the generalizability of the findings to other populations and contexts may be limited.
4.6. Future Directions
- -
- Conduct randomized trials (preferably cluster-RCTs by school/instructor) with blinded assessors;
- -
- Include medium/long-term follow-ups (≥3–6 months) to assess retention;
- -
- Extend the population to males, other disciplines, and multiple centers, controlling for maturational status and limb dominance;
- -
- Integrate advanced instrumentation (force platforms, 3D motion capture, surface EMG, multi-segment IMU networks) and dual-task/visuo-vestibular paradigms to stress anticipatory and reactive control;
- -
- Test balance-training variants (perturbation-based, visuo-proprioceptive, progressive instability) and define dose–response and progressions;
- -
- Monitor clinically relevant outcomes (injuries, training absences) and adherence/feasibility in school–sport settings.
5. Conclusions
Author Contributions
Funding
Institutional Review Board Statement
Informed Consent Statement
Data Availability Statement
Acknowledgments
Conflicts of Interest
Abbreviations
| EG | Experimental Group |
| CG | Control Group |
| YBT | Y Balance Test |
| PRT | Pediatric Reach Test |
| SLLST | Single-Leg Landing Stability Test |
| CMJ | Countermovement Jump |
| T0 | Baseline (pre-test) |
| T1 | Post-test |
| LL | Lower Limb Length |
| ASIS | Anterior Superior Iliac Spine |
| IMU | Inertial Measurement Unit |
| ICC | Intraclass Correlation Coefficient |
| ηP2 | Partial Eta Squared |
| SOP | Standard Operating Procedure |
References
- Pollock, A.S.; Durward, B.R.; Rowe, P.J.; Paul, J.P. What is balance? Clin. Rehabil. 2000, 14, 402–406. [Google Scholar] [CrossRef]
- Wanke, E.M.; Mörl-Kreitschmann, M.; Holzgreve, F.; Groneberg, D.; Ohlendorf, D. Upper body posture in Latin American dancers: A quantitative cross-sectional study comparing different postures. BMC Sports Sci. Med. Rehabil. 2023, 15, 66. [Google Scholar] [CrossRef] [PubMed]
- Shumway-Cook, A.; Woollacott, M.H. Motor Control: Translating Research into Clinical Practice; Lippincott Williams & Wilkins: Philadelphia, PA, USA, 2007; ISBN 978-0-7817-6691-3. [Google Scholar]
- Arnold, B.L.; De La Motte, S.; Linens, S.; Ross, S.E. Ankle instability is associated with balance impairments: A meta-analysis. Med. Sci. Sports Exerc. 2009, 41, 1048–1062. [Google Scholar] [CrossRef] [PubMed]
- Hutt, K.; Redding, E. The effect of an eyes-closed dance-specific training program on dynamic balance in elite pre-professional ballet dancers: A randomized controlled pilot study. J. Dance Med. Sci. 2014, 18, 3–11. [Google Scholar] [CrossRef] [PubMed]
- Pérez, R.M.; Solana, R.S.; Murillo, D.B.; Hernández, F.J.M. Visual availability, balance performance and movement complexity in dancers. Gait Posture 2014, 40, 556–560. [Google Scholar] [CrossRef]
- Hopper, D.M.; Grisbrook, T.L.; Newnham, P.J.; Edwards, D.J. The effects of vestibular stimulation and fatigue on postural control in classical ballet dancers. J. Dance Med. Sci. 2014, 18, 67–73. [Google Scholar] [CrossRef]
- Chilom, D.; Potop, V.; Mihăilă, I.; Mihaiu, C.; Mihai, I.; Mancini, N.; Grosu, V.T.; Mateescu, A. Influence of dancesport on segmental coordination development in 6–8-year-old children. Pedagog. Phys. Cult. Sports 2024, 28, 147–155. [Google Scholar] [CrossRef]
- D’Ottavio, S. L’allenamento Della Danza Sportiva. Dalla Teoria Scientifica All’applicazione Pratica; Mariucci: Rome, Italy, 2016; ISBN 978-8860284952. [Google Scholar]
- Bojanowska, M.; Trybulec, B.; Zyznawska, J.; Barłowska-Trybulec, M.; Mańko, G. Assessment of the level of static and dynamic balance in healthy people, practicing selected Latin American dances. Acta Bioeng. Biomech. 2021, 23, 61–68. [Google Scholar] [CrossRef]
- Ardoino, A.; Iervasi, E.; Zarcone, D.; Saverino, D. Evaluation and comparison of static balance among different competitive female athletes. Gazz. Medica Ital.—Arch. Per Le Sci. Med. 2021, 180, 545–550. [Google Scholar] [CrossRef]
- Stawicki, P.; Wareńczak, A.; Lisiński, P. Does regular dancing improve static balance? Int. J. Environ. Res. Public Health 2021, 18, 5056. [Google Scholar] [CrossRef]
- Liu, Y.T.; Lin, A.C.; Chen, S.F.; Shih, C.J.; Kuo, T.Y.; Wang, F.C.; Lee, P.H.; Lee, A.P. Superior gait performance and balance ability in Latin dancers. Front. Med. 2022, 9, 834497. [Google Scholar] [CrossRef]
- Kiliç, M.; Nalbant, S.S. The effect of Latin dance on dynamic balance. Gait Posture 2022, 92, 264–270. [Google Scholar] [CrossRef] [PubMed]
- Maria, S.A.; Nicolae, O.M.; Nicola, M.; Szekely, A.S.; Sorin, S.; Dorina, I.; Hervás-Gómez, C.; Cornelia, P.; Florina, G.E.; Teodor, G.V. Jump Rope Training Improves Muscular Strength and Cardiovascular Fitness in University Students: A Controlled Educational Intervention. Sports 2025, 13, 307. [Google Scholar] [CrossRef] [PubMed]
- Tekin, D.; Agopyan, A.; Baltaci, G. Balance training in modern dancers: Proprioceptive-neuromuscular training vs kinesio taping. Med. Probl. Perform. Art. 2018, 33, 156–165. [Google Scholar] [CrossRef]
- Zhang, M.; Ma, H.; Liu, Z.; Smith, D.M.; Wang, X. The effects of a 10-week neuromuscular training on postural control in elite youth competitive ballroom dancers: A randomized controlled trial. Front. Physiol. 2021, 12, 636209. [Google Scholar] [CrossRef]
- Andrieieva, O.; Kashuba, V.; Yarmak, O.; Cheverda, A.; Dobrodub, E.; Zakharina, A. Efficiency of children’s fitness training program with elements of sport dances in improving balance, strength and posture. J. Phys. Educ. Sport 2021, 21, 2872–2879. [Google Scholar] [CrossRef]
- Özkal, Ö.; Demircioğlu, A.; Topuz, S. Clarifying the relationships between trunk muscle endurance, respiratory muscle strength and static/dynamic postural control in Latin dancers. Sports Biomech. 2025, 24, 1562–1575. [Google Scholar] [CrossRef] [PubMed]
- Behm, D.; Colado, J.C. The effectiveness of resistance training using unstable surfaces and devices for rehabilitation. Int. J. Sports Phys. Ther. 2012, 7, 226–241. [Google Scholar] [PubMed] [PubMed Central]
- Richardson, M.; Liederbach, M.; Sandow, E. Functional criteria for assessing pointe-readiness. J. Dance Med. Sci. 2010, 14, 82–88. [Google Scholar] [CrossRef]
- Hrysomallis, C. Balance ability and athletic performance. Sports Med. 2011, 41, 221–232. [Google Scholar] [CrossRef]
- Mancini, N.; Polito, R.; Colecchia, F.P.; Colella, D.; Messina, G.; Grosu, V.T.; Messina, A.; Mancini, S.; Monda, A.; Ruberto, M.; et al. Effectiveness of multisport play-based practice on motor coordination in children: A cross-sectional study using the KTK test. J. Funct. Morphol. Kinesiol. 2025, 10, 199. [Google Scholar] [CrossRef] [PubMed]
- Mancini, N.; Di Padova, M.; Polito, R.; Mancini, S.; Dipace, A.; Basta, A.; Colella, D.; Limone, P.; Messina, G.; Monda, M. The Impact of Perception–Action Training Devices on Quickness and Reaction Time in Female Volleyball Players. J. Funct. Morphol. Kinesiol. 2024, 9, 147. [Google Scholar] [CrossRef]
- Steinberg, N.; Nemet, D.; Pantanowitz, M.; Zeev, A.; Hallumi, M.; Sindiani, M.; Meckel, Y.; Eliakim, A. Longitudinal study evaluating postural balance of young athletes. Percept. Mot. Skills 2016, 122, 256–279. [Google Scholar] [CrossRef]
- Steinberg, N.; Adams, R.; Waddington, G.; Karin, J.; Tirosh, O. Is there a correlation between static and dynamic postural balance among young male and female dancers? J. Motor Behav. 2017, 49, 163–171. [Google Scholar] [CrossRef]
- Pajek, M.B.; Hedbávný, P.; Kalichová, M.; Čuk, I. The asymmetry of lower limb load in balance beam routines. Sci. Gymnast. J. 2016, 8, 5–13. [Google Scholar] [CrossRef]
- Plisky, P.J.; Rauh, M.J.; Kaminski, T.W.; Underwood, F.B. Star Excursion Balance Test as a predictor of lower extremity injury in high school basketball players. J. Orthop. Sports Phys. Ther. 2006, 36, 911–919. [Google Scholar] [CrossRef]
- Plisky, P.J.; Gorman, P.P.; Butler, R.J.; Kiesel, K.B.; Underwood, F.B.; Elkins, B. The reliability of an instrumented device for measuring components of the Star Excursion Balance Test. N. Am. J. Sports Phys. Ther. 2009, 4, 92–99. [Google Scholar] [PubMed] [PubMed Central]
- Bartlett, D.; Birmingham, T. Validity and reliability of a pediatric reach test. Pediatr. Phys. Ther. 2003, 15, 84–92. [Google Scholar] [CrossRef]
- Troester, J.C.; Jasmin, J.G.; Duffield, R. Reliability of single-leg balance and landing tests in rugby union; prospect of using postural control to monitor fatigue. J. Sports Sci. Med. 2018, 17, 174–180. [Google Scholar] [PubMed] [PubMed Central]
- Wiese, K.R.; Ambegaonkar, J.P.; Hansen-Honeycutt, J. Limb symmetry index in collegiate dancers using the modified Star Excursion Balance Test and single leg hops. J. Dance Med. Sci. 2024, 29. [Google Scholar] [CrossRef]
- Fransz, D.P.; Huurnink, A.; Kingma, I.; van Dieën, J.H. How does postural stability following a single leg drop jump landing task relate to postural stability during a single leg stance balance task? J. Biomech. 2014, 47, 3248–3253. [Google Scholar] [CrossRef]
- de Blas Foix, X.; Riu, J.M.P.; del Amo, J.L.L.; Bálic, M.G. Creation and validation of Chronojump-Boscosystem: A free tool to measure vertical jumps. Rev. Int. Cienc. Deporte 2012, 8, 334–356. [Google Scholar] [CrossRef]
- Markovic, G.; Dizdar, D.; Jukic, I.; Cardinale, M. Reliability and factorial validity of squat and countermovement jump tests. J. Strength Cond. Res. 2004, 18, 551–555. [Google Scholar] [CrossRef] [PubMed]
- Pueo, B.; Penichet-Tomás, A.; Jimenez-Olmedo, J. Reliability and validity of the Chronojump open-source jump mat system. Biol. Sport 2020, 37, 255–259. [Google Scholar] [CrossRef] [PubMed]
- Bosco, C.; Luhtanen, P.; Komi, P.V. A simple method for measurement of mechanical power in jumping. Eur. J. Appl. Physiol. 1983, 50, 273–282. [Google Scholar] [CrossRef]
- Plisky, P.; Schwartkopf-Phifer, K.; Huebner, B.; Garner, M.B.; Bullock, G. Systematic review and meta-analysis of the Y-balance test lower quarter: Reliability, discriminant validity, and predictive validity. Int. J. Sports Phys. Ther. 2021, 16, 1190. [Google Scholar] [CrossRef] [PubMed]
- Kalaycioglu, T.; Apostolopoulos, N.C.; Goldere, S.; Duger, T.; Baltaci, G. Effect of a core stabilization training program on performance of ballet and modern dancers. J. Strength Cond. Res. 2020, 34, 1166–1175. [Google Scholar] [CrossRef] [PubMed]
- Wijaya, F.J.M.; Kartiko, D.C.; Pranoto, A.; Kusuma, I.D.M.A.W.; Phanpheng, Y. Improving the physical components of gymnastics athletes following long-term circuit training with static and dynamic core stabilization. Pedagog. Phys. Cult. Sports 2024, 28, 509–515. [Google Scholar] [CrossRef]
- Viktoria, K.B.; Brigitta, S.; Gabriella, K.; Eleonora, L.; Pongrac, A.; Andras, O.; Melinda, J. Application and examination of the efficiency of a core stability training program among dancers. Eur. J. Integr. Med. 2016, 8, 3–7. [Google Scholar] [CrossRef]
- Mohammed, A.; Arulsingh, W.; Kandakurti, P.K. The effectiveness of core stability exercise program on lower limb performance in athletes—A scoping review. Crit. Rev.™ Phys. Rehabil. Med. 2022, 34, 57–67. [Google Scholar] [CrossRef]
- Rønnestad, B.R.; Kvamme, N.H.; Sunde, A.; Raastad, T. Short-term effects of strength and plyometric training on sprint and jump performance in professional soccer players. J. Strength Cond. Res. 2008, 22, 773–780. [Google Scholar] [CrossRef] [PubMed]
- Nikolaidou, M.E.; Sotiropoulos, K.; Barzouka, K. Postural balance ability and vertical jumping performance in female veteran volleyball athletes and non-athletes. Front. Sports Act. Living 2023, 5, 1109488. [Google Scholar] [CrossRef] [PubMed]
- Wikstrom, E.A.; Tillman, M.D.; Chmielewski, T.L.; Cauraugh, J.H.; Naugle, K.E.; Borsa, P.A. Dynamic postural control but not mechanical stability differs among those with and without chronic ankle instability. Scand. J. Med. Sci. Sports 2010, 20, e137–e144. [Google Scholar] [CrossRef] [PubMed]




| Characteristic | EG | CG |
|---|---|---|
| Age (years) | 14.5 ± 0.6 | 14.7 ± 0.7 |
| Stature (cm) | 156.17 ± 8.09 | 156.50 ± 6.19 |
| Body mass (kg) | 50.50 ± 8.55 | 49.75 ± 7.48 |
| BMI (kg/m2) | 20.61 ± 2.67 | 20.23 ± 2.18 |
| Week(s) | EG—Balance/Proprioceptive Add-on (25–30 min Before Class, 2×/Week) |
|---|---|
| 1 | Static and dynamic tasks on foam and air cushions; ball and elastic band drills; landing balance and the ‘airplane’ exercise (single-leg trunk/hip extension). |
| 2 | Progression of week 1 tasks; add rotations and eyes-closed variants. |
| 3 | Jumps on pads in line and zig-zag; balloon games; “airplane” on blocks; elastic-spring device; single-leg balance with weight transfers. |
| 4 | Progression of week 3 tasks (greater range, control, and hold time). |
| 5 | Return to cushion-based proprioception; ball exchanges; paired balance on blocks; squat jumps; lunge-to-jump transitions. |
| 6 | Progression of week 5 tasks; introduce competitive balance games and controlled destabilization. |
| 7–8 | Repeat weeks 1–2 protocol with higher postural precision and longer holds. |
| 9 | Repeat weeks 3–4 with added direction changes, unstable contacts, and reduced visual input. |
| 10 | Final combination: static, dynamic, cooperative, and eyes-closed sequences. |
| Variable | F(1,122) | p-Value | Sig. | ηP2 |
|---|---|---|---|---|
| Composite Score Right (%) | 43.534 | <0.001 | *** | 0.263 |
| Composite Score Left (%) | 25.929 | <0.001 | *** | 0.175 |
| PRT_Anterior (cm) | 19.284 | <0.001 | *** | 0.136 |
| PRT_Lateral Right (cm) | 16.357 | <0.001 | *** | 0.118 |
| PRT_Lateral Left (cm) | 10.327 | 0.004 | ** | 0.078 |
| CMJ_Single Right (cm) | 7.676 | 0.011 | * | 0.059 |
| SLLST_Right (s) | 6.190 | 0.021 | * | 0.048 |
| SLLST_Left (s) | 5.315 | 0.031 | * | 0.042 |
| CMJ (cm) | 5.307 | 0.031 | * | 0.042 |
| Asymmetry Composite (%) | 4.858 | 0.038 | * | 0.038 |
| Variable | Group | t (T0 vs. T1) | p-Value | Sig. | Cohen’s d_z |
|---|---|---|---|---|---|
| Composite Score Right (%) | EG | −10.214 | <0.001 | *** | −1.297 |
| Composite Score Right (%) | CG | −0.135 | 0.895 | n.s. | −0.017 |
| Composite Score Left (%) | EG | −6.847 | <0.001 | *** | −0.870 |
| Composite Score Left (%) | CG | −1.191 | 0.259 | n.s. | −0.151 |
| Asymmetry Composite (%) | EG | −2.350 | 0.038 | * | −0.298 |
| Asymmetry Composite (%) | CG | 1.014 | 0.332 | n.s. | 0.129 |
| PRT_Anterior (cm) | EG | −4.088 | 0.002 | ** | −0.519 |
| PRT_Anterior (cm) | CG | 1.609 | 0.136 | n.s. | 0.204 |
| PRT_Lateral Right (cm) | EG | −3.391 | 0.006 | ** | −0.431 |
| PRT_Lateral Right (cm) | CG | 2.379 | 0.037 | * | 0.302 |
| PRT_Lateral Left (cm) | EG | −3.179 | 0.009 | ** | −0.404 |
| PRT_Lateral Left (cm) | CG | 0.895 | 0.390 | n.s. | 0.114 |
| CMJ_Single Right (cm) | EG | −4.883 | <0.001 | *** | −0.620 |
| CMJ_Single Right (cm) | CG | 0.229 | 0.823 | n.s. | 0.029 |
| CMJ_Single Left (cm) | EG | −1.194 | 0.258 | n.s. | −0.152 |
| CMJ_Single Left (cm) | CG | 1.276 | 0.228 | n.s. | 0.162 |
| CMJ (cm) | EG | −2.327 | 0.040 | * | −0.296 |
| CMJ (cm) | CG | 0.678 | 0.512 | n.s. | 0.086 |
| SLLST_Right (s) | EG | 3.711 | 0.003 | ** | 0.471 |
| SLLST_Right (s) | CG | −0.172 | 0.866 | n.s. | −0.022 |
| SLLST_Left (s) | EG | 3.246 | 0.008 | ** | 0.412 |
| SLLST_Left (s) | CG | −0.538 | 0.601 | n.s. | −0.068 |
| Variable | Test Type | Statistic | p-Value | Effect Size | Sig. | Interpretation |
|---|---|---|---|---|---|---|
| Composite Score Right (YBT) | Paired t-test (EG) | t = −10.214 | <0.001 | d_z = −1.297 | *** | Very large improvement |
| Composite Score Left (YBT) | Paired t-test (EG) | t = −6.847 | <0.001 | d_z = −0.870 | *** | Large improvement |
| Asymmetry Composite (YBT) | Paired t-test (EG) | t = −2.350 | 0.038 | d_z = −0.298 | * | Significant asymmetry reduction |
| PRT—Anterior (cm) | Paired t-test (EG) | t = −4.088 | 0.002 | d_z = −0.519 | ** | Significant improvement |
| PRT—Lateral Right (cm) | Paired t-test (EG) | t = −3.391 | 0.006 | d_z = −0.431 | ** | Significant improvement |
| PRT—Lateral Left (cm) | Paired t-test (EG) | t = −3.179 | 0.009 | d_z = −0.404 | ** | Significant improvement |
| CMJ_Single Right (cm) | Paired t-test (EG) | t = −4.883 | <0.001 | d_z = −0.620 | *** | Significant jump-height increase |
| CMJ (cm) | Paired t-test (EG) | t = −2.327 | 0.040 | d_z = –0.296 | * | Significant improvement |
| SLLST Right (s) | Paired t-test (EG) | t = 3.711 | 0.003 | d_z = 0.471 | ** | Shorter stabilization time (better) |
| SLLST Left (s) | Paired t-test (EG) | t = 3.246 | 0.008 | d_z = 0.412 | ** | Shorter stabilization time (better) |
| Composite Score Right (YBT) | ANOVA (group × time) | F(1,122) = 43.534 | <0.001 | ηP2 = 0.263 | *** | Significant interaction |
| Composite Score Left (YBT) | ANOVA (group × time) | F(1,122) = 25.929 | <0.001 | ηP2 = 0.175 | *** | Significant interaction |
| Asymmetry Composite (YBT) | ANOVA (group × time) | F(1,122) = 4.858 | 0.038 | ηP2 = 0.038 | * | Significant interaction |
| PRT—Anterior (cm) | ANOVA (group × time) | F(1,122) = 19.284 | <0.001 | ηP2 = 0.136 | *** | Significant interaction |
| PRT—Lateral Right (cm) | ANOVA (group × time) | F(1,122) = 16.357 | <0.001 | ηP2 = 0.118 | *** | Significant interaction |
| PRT—Lateral Left (cm) | ANOVA (group × time) | F(1,122) = 10.327 | 0.004 | ηP2 = 0.078 | ** | Significant interaction |
| CMJ_Single Right (cm) | ANOVA (group × time) | F(1,122) = 7.676 | 0.011 | ηP2 = 0.059 | * | Significant interaction |
| CMJ (cm) | ANOVA (group × time) | F(1,122) = 5.307 | 0.031 | ηP2 = 0.042 | * | Significant interaction |
| SLLST Right (s) | ANOVA (group × time) | F(1,122) = 6.190 | 0.021 | ηP2 = 0.048 | * | Significant interaction |
| SLLST Left (s) | ANOVA (group × time) | F(1,122) = 5.315 | 0.031 | ηP2 = 0.042 | * | Significant interaction |
Disclaimer/Publisher’s Note: The statements, opinions and data contained in all publications are solely those of the individual author(s) and contributor(s) and not of MDPI and/or the editor(s). MDPI and/or the editor(s) disclaim responsibility for any injury to people or property resulting from any ideas, methods, instructions or products referred to in the content. |
© 2025 by the authors. Licensee MDPI, Basel, Switzerland. This article is an open access article distributed under the terms and conditions of the Creative Commons Attribution (CC BY) license (https://creativecommons.org/licenses/by/4.0/).
Share and Cite
Mancini, N.; Mancini, S.; Ferrantino, M.; Moscatelli, F.; Messina, G.; Monda, M.; Ruberto, M.; Vasco, P.; Casella, C.; Colecchia, F.P.; et al. Effects of a Proprioceptive Training Program on Dynamic Balance and Neuromotor Performance in Adolescent Latin American Dancers. Sports 2025, 13, 388. https://doi.org/10.3390/sports13110388
Mancini N, Mancini S, Ferrantino M, Moscatelli F, Messina G, Monda M, Ruberto M, Vasco P, Casella C, Colecchia FP, et al. Effects of a Proprioceptive Training Program on Dynamic Balance and Neuromotor Performance in Adolescent Latin American Dancers. Sports. 2025; 13(11):388. https://doi.org/10.3390/sports13110388
Chicago/Turabian StyleMancini, Nicola, Siria Mancini, Miriana Ferrantino, Fiorenzo Moscatelli, Giovanni Messina, Marcellino Monda, Maria Ruberto, Paride Vasco, Claudia Casella, Francesco Paolo Colecchia, and et al. 2025. "Effects of a Proprioceptive Training Program on Dynamic Balance and Neuromotor Performance in Adolescent Latin American Dancers" Sports 13, no. 11: 388. https://doi.org/10.3390/sports13110388
APA StyleMancini, N., Mancini, S., Ferrantino, M., Moscatelli, F., Messina, G., Monda, M., Ruberto, M., Vasco, P., Casella, C., Colecchia, F. P., Messina, A., & Polito, R. (2025). Effects of a Proprioceptive Training Program on Dynamic Balance and Neuromotor Performance in Adolescent Latin American Dancers. Sports, 13(11), 388. https://doi.org/10.3390/sports13110388

