Sign in to use this feature.

Years

Between: -

Subjects

remove_circle_outline
remove_circle_outline
remove_circle_outline
remove_circle_outline
remove_circle_outline
remove_circle_outline
remove_circle_outline

Journals

Article Types

Countries / Regions

Search Results (46)

Search Parameters:
Keywords = lateral trunk flexion

Order results
Result details
Results per page
Select all
Export citation of selected articles as:
17 pages, 1760 KB  
Article
Sensor-Derived Trunk Stability and Gait Recovery: Evidence of Neuromechanical Associations Following Intensive Robotic Rehabilitation
by Hülya Şirzai, Yiğit Can Gökhan, Güneş Yavuzer and Hande Argunsah
Sensors 2026, 26(2), 573; https://doi.org/10.3390/s26020573 - 15 Jan 2026
Viewed by 243
Abstract
This quantitative observational study with pre–post design aimed to examine joint-specific kinematic adaptations and the relationship between trunk stability and spatiotemporal gait parameters following intensive robotic rehabilitation. A total of 12 neurological patients completed 16 sessions of gait training using the Tecnobody Smart [...] Read more.
This quantitative observational study with pre–post design aimed to examine joint-specific kinematic adaptations and the relationship between trunk stability and spatiotemporal gait parameters following intensive robotic rehabilitation. A total of 12 neurological patients completed 16 sessions of gait training using the Tecnobody Smart Gravity Walker. Pre- and post-training kinematic data were collected for bilateral hip and knee flexion–extension, trunk flexion–extension, trunk lateral flexion, and center-of-gravity displacement. Waveforms were normalized to 100% stride. Paired t-tests assessed pre–post differences, and correlations examined associations between trunk stability and gait performance. Significant increases were found in right hip flexion–extension (t = 3.44, p < 0.001), trunk flexion–extension (t = 9.49, p < 0.001), and center-of-gravity displacement (t = 15.15, p < 0.001), with reduced trunk lateral flexion (t = –8.64, p < 0.001). Trunk flexion–extension correlated with gait speed (r = 0.74), step length (r = 0.68), and stride length (r = 0.71); trunk lateral flexion correlated with cadence (r = 0.66) and stride length (r = 0.70). Intensive robotic rehabilitation improved trunk and hip kinematics, supporting trunk stability as an important biomechanical correlate of gait recovery. Sensor-derived metrics revealed strong neuromechanical coupling between postural control and locomotion in neurological patients. Full article
(This article belongs to the Special Issue Sensors and Wearable Device for Gait Analysis)
Show Figures

Figure 1

18 pages, 1686 KB  
Article
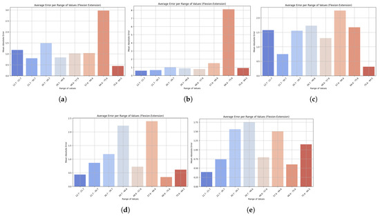
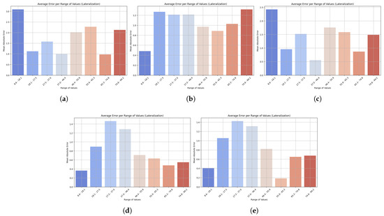
InertialMov: Machine Learning Test Based on Inertial Sensors to Predict Mobility Impairment in Low Back Pain Patients
by Jeremy Carlosama, Luis Zhinin-Vera, Cesar Guevara, Carolina Cadena-Morejón, Diego Almeida-Galárraga, Lenin Ramírez-Cando, Kevin R. Landázuri, Andrés Tirado-Espín, Patricia Acosta-Vargas and Fernando Villalba-Meneses
Sensors 2025, 25(21), 6665; https://doi.org/10.3390/s25216665 - 1 Nov 2025
Viewed by 760
Abstract
Low back pain (LBP) is one of the leading causes of disability in the world's population, yet there are limitations in providing an objective clinical assessment due to its widespread nature. In this work, five machine learning models (LightGBM, XGBoost, HistGradientBoosting, GradientBoosting, and [...] Read more.
Low back pain (LBP) is one of the leading causes of disability in the world's population, yet there are limitations in providing an objective clinical assessment due to its widespread nature. In this work, five machine learning models (LightGBM, XGBoost, HistGradientBoosting, GradientBoosting, and StackingRegressor) were compared to predict trunk mobility based on inertial sensor data. There were 77 individuals with a total of 2160 movement samples of flexion–extension, rotation, and lateralization. Synthetic data augmentation and normalization were performed to be able to work with the data efficiently. Mean absolute error (MAE), mean square error (MSE), and R2 were used to evaluate model performance. Additionally, ANOVA and Tukey’s HSD were used to assess the statistical significance of the models. GradientBoostingRegressor was found to produce the lowest error and statistical significance in flexion–extension and lateralization, while StackingRegressor produced the best error in rotation. The results indicate that inertial sensors and machine learning (ML) can be applied to predict mobility, facilitating personalized rehabilitation and reducing costs. The present study demonstrates that predictive trunk motion modeling can facilitate clinical monitoring and help reduce socioeconomic limitations in patients. Full article
(This article belongs to the Special Issue Sensors for Biomechanical and Rehabilitation Engineering)
Show Figures

Figure 1

19 pages, 2185 KB  
Article
Postural Fitness Protocol in Children and Adolescents: Descriptive Values from the ISQUIOS Program
by María Teresa Martínez-Romero, Mark De Ste Croix and Pilar Sainz de Baranda
Children 2025, 12(9), 1253; https://doi.org/10.3390/children12091253 - 17 Sep 2025
Cited by 2 | Viewed by 1676
Abstract
Background/Objectives: Back pain is increasingly prevalent during childhood and adolescence, often predicting adult spinal disorders. This study aimed to describe sex-specific anthropometric and “Postural Fitness” characteristics in school-aged children and adolescents and to introduce a standardized, field-based assessment protocol for early screening of [...] Read more.
Background/Objectives: Back pain is increasingly prevalent during childhood and adolescence, often predicting adult spinal disorders. This study aimed to describe sex-specific anthropometric and “Postural Fitness” characteristics in school-aged children and adolescents and to introduce a standardized, field-based assessment protocol for early screening of postural and functional deficits. Methods: This cross-sectional study included a total of 494 students (8–17 years; 50% girls) from 14 schools in Murcia (Spain). Exclusion criteria included diagnosed spinal pathology or major physical injury, lack of signed informed consent, absence on the testing day, and incomplete Postural Fitness assessment. The “Postural Fitness” protocol included assessments of sagittal spinal alignment (inclinometer), hip range of motion (ROM) (inclinometer with an extendable telescopic arm), pelvic tilt (goniometer with a spirit level system), and trunk muscle endurance (chronometer). Tests were conducted in physical education sessions by trained sports scientists. Results: Significant sex-based differences were observed. Boys exhibited greater thoracic kyphosis (40.3 ± 9.6° vs. 36.7 ± 9.2°), reduced hip ROM (passive hip extension (PHE): 16.8 ± 8.1°, passive hip flexion with knee extension (PHFKE): 68.9 ± 8.6°), and more posterior pelvic tilt (104.9 ± 8.4° vs. 99.7 ± 8.1°), whereas girls demonstrated increased lumbar lordosis (35.7 ± 8.6° vs. 31.5 ± 8.5°), greater hip ROM (PHE: 18.5 ± 9°, PHFKE: 77.9 ± 13°), and superior trunk extensor endurance (123.2 ± 74.7 s vs. 106.2 ± 69.8 s). Lateral trunk muscle endurance was higher in boys (48.7 ± 31 s vs. 41.4 ± 24.9 s). Conclusions: The “Postural Fitness” protocol proved feasible in school settings and revealed key sex-based disparities in spinal and neuromuscular profiles. These findings highlight the need for individualized, sex-specific screening and preventive programs to enhance back health during growth. Implementing this protocol may support early identification of modifiable risk factors linked to spinal dysfunction and pain in youth. Full article
(This article belongs to the Section Pediatric Orthopedics & Sports Medicine)
Show Figures

Figure 1

18 pages, 1645 KB  
Article
Validation of Inertial Measurement Units for Measuring Lower-Extremity Kinematics During Squat–Pivot and Stoop–Twist Lifting Tasks
by Rutuja A. Kulkarni, Rajit Banerjee, Vicki Z. Wang, Marcel Oliart, Verity Rampulla, Prithvi Das and Alicia M. Koontz
Sensors 2025, 25(18), 5673; https://doi.org/10.3390/s25185673 - 11 Sep 2025
Cited by 1 | Viewed by 1472
Abstract
Optokinetic motion capture (OMC) is the gold standard for measuring the kinematics associated with lifting posture. Unfortunately, limitations exist, including cost, portability, and marker occlusion. The purpose of this study is to evaluate the agreement between OMC and inertial measurement units (IMUs) for [...] Read more.
Optokinetic motion capture (OMC) is the gold standard for measuring the kinematics associated with lifting posture. Unfortunately, limitations exist, including cost, portability, and marker occlusion. The purpose of this study is to evaluate the agreement between OMC and inertial measurement units (IMUs) for quantifying joint kinematics during squat–pivot and stoop–twist lifting tasks. Ten unimpaired adults wearing both IMUs and OMC markers performed 24 lifting trials. Correlation coefficients and Root Mean Square Error (RMSE) between IMU and OMC time-series signals were computed for trunk and lower-extremity joints. Peak values obtained from each system during each trial were analyzed via Bland–Altman plots. Results show high correlations for trunk, knee, and ankle flexion angles (>0.9) and ankle rotation angles (>0.7). Moderate correlation was found for trunk axial rotation and lateral flexion angles (0.5–0.7). RMSE was under 9° for each angle. Biases between systems ranged from 0.3° to 16°. Both systems were able to detect statistically significant differences in peak angles between the two postures (p < 0.05). IMUs show promise for recording field data on complex lifting tasks. Full article
(This article belongs to the Special Issue Wearable Inertial Sensors for Human Movement Analysis)
Show Figures

Figure 1

11 pages, 567 KB  
Article
Multidirectional Trunk Movements Reveal Hidden Symmetry Loss in Stroke: An Electromyography-Based Comparative Study
by Hyejin Shin, Taewoong Jeong and Yijung Chung
Medicina 2025, 61(9), 1603; https://doi.org/10.3390/medicina61091603 - 5 Sep 2025
Cited by 1 | Viewed by 920
Abstract
Background and Objectives: Stroke and hemiplegia disrupts symmetrical activation of skeletal and abdominal muscles, impairing trunk control and functional movement. Although asymmetry is also present in healthy adults, its magnitude and patterns differ with neurological impairment. Understanding trunk muscle symmetry across functional [...] Read more.
Background and Objectives: Stroke and hemiplegia disrupts symmetrical activation of skeletal and abdominal muscles, impairing trunk control and functional movement. Although asymmetry is also present in healthy adults, its magnitude and patterns differ with neurological impairment. Understanding trunk muscle symmetry across functional tasks in healthy individuals and patients with stroke is essential for targeted rehabilitation strategies. Materials and Methods: A comparative cross-sectional study was conducted including healthy adults and patients with stroke. Muscle activation symmetry of the rectus abdominis, external oblique, internal oblique, and multifidus was analyzed across four trunk movements: flexion, extension, and lateral flexion to the dominant or non-dominant side. A two-way repeated measures ANOVA examined main and interaction effects of condition, muscle, and group. Results: Trunk muscle symmetry was significantly influenced by the movement conditions, and patterns of change differed between groups. While no consistent differences were observed across muscles, specific interactions revealed condition-dependent variations, particularly between abdominal and deep spinal muscles. Lateral flexion elicited the greatest asymmetry, with distinct response patterns in healthy individuals compared with patients with stroke. Conclusions: This study highlights the importance of addressing movement-specific demands in trunk rehabilitation. Rather than focusing on isolated muscles, interventions should consider the dynamic and condition-dependent nature of symmetry to optimize functional recovery in patients with stroke. Full article
(This article belongs to the Section Neurology)
Show Figures

Figure 1

15 pages, 1463 KB  
Article
Acute Effects of Diaphragmatic Breathing on Trunk and Shoulder Mobility and Pulmonary Function in Healthy Young Adults
by Ana Ristovski, Marko Kapeleti, Igor Zlatović and Vladimir Mrdaković
J. Funct. Morphol. Kinesiol. 2025, 10(3), 325; https://doi.org/10.3390/jfmk10030325 - 23 Aug 2025
Viewed by 8157
Abstract
Background: This study investigated whether diaphragmatic breathing intervention could lead to acute improvements in trunk and shoulder mobility and pulmonary function in healthy young adults. Methods: Twenty-six physically active males (aged 24.3 ± 2.0 years, body height of 182.9 ± 6.4 cm, and [...] Read more.
Background: This study investigated whether diaphragmatic breathing intervention could lead to acute improvements in trunk and shoulder mobility and pulmonary function in healthy young adults. Methods: Twenty-six physically active males (aged 24.3 ± 2.0 years, body height of 182.9 ± 6.4 cm, and body weight of 82.8 ± 10.4 kg) were randomly assigned to either an experimental or a control group. The experimental group underwent a 22 min diaphragmatic breathing intervention in a lying position. The control group lay passively, breathing naturally. Mobility assessments (chest expansion, thoracic spine rotation, lateral trunk flexion, and shoulder girdle mobility) and pulmonary function tests (forced vital capacity, forced expiratory volume in one second and their ratio) were conducted before and after the intervention. Results: Only experimental group showed significant improvements after the intervention (p ≤ 0.01) in the chest expansion (+22.2%, ES = 0.62), thoracic spine rotation (+21.7%, ES = 0.76 on the left and +23.3%, ES = 0.84 on the right side), lateral trunk flexion (+11.7%, ES = 0.62 on the left and +15.4%, ES = 1 on the right side), shoulder girdle mobility (+20.2%, ES = 0.44 on the left and +21.5%, ES = 0.38 on the right side), forced vital capacity (+4.7%, ES = 0.39) and reduction (p ≤ 0.01) in ratio between forced expiratory volume in one second and forced vital capacity (−4.6%, ES = 0.47). Conclusion: The results revealed that a 22 min diaphragmatic breathing intervention could immediately improve trunk and shoulder mobility and pulmonary function, likely due to anatomical relationships and more efficient use of respiratory muscles, especially the diaphragm. Full article
Show Figures

Figure 1

15 pages, 2401 KB  
Article
Case Series and Literature Review on Botulinum Toxin Efficacy in Axial Extensor Truncal Dystonia
by Jarosław Sławek, Iga Alicja Łobińska, Michał Schinwelski, Joanna Kopcewicz-Wiśniewska and Anna Castagna
Toxins 2025, 17(8), 375; https://doi.org/10.3390/toxins17080375 - 29 Jul 2025
Cited by 2 | Viewed by 2916 | Correction
Abstract
Axial truncal dystonia can present as either flexion or extension, often with a tendency toward lateral movement. Flexion dystonia is more common and may represent a clinical spectrum associated with parkinsonism. In contrast, extensor trunk dystonia is less frequent and exhibits a diverse [...] Read more.
Axial truncal dystonia can present as either flexion or extension, often with a tendency toward lateral movement. Flexion dystonia is more common and may represent a clinical spectrum associated with parkinsonism. In contrast, extensor trunk dystonia is less frequent and exhibits a diverse range of causes. In this paper, we reviewed the literature on axial extensor trunk dystonia. We identified 11 studies involving 49 patients, of which only 10 had idiopathic trunk dystonia. Treatment with botulinum neurotoxin A (BoNT/A) emerged as the most effective therapy; however, many studies did not provide detailed descriptions of the treatment (4/11) and follow-up periods were not specified or short term (up to one–two years). We present four new, well-documented patients with the idiopathic form of extensor trunk dystonia who were treated with BoNT/A with moderate to significant effect according to Global Clinical Impression scale (GCI) and Burke-Fahn-Marsden (BFM) dystonia scale. These cases include long-term follow-up for three patients, all without any adverse events. While the diagnostic process and treatment can be challenging, we recommend using BoNT/A with adjusted doses tailored to the appropriate muscle groups as a first-line treatment. Full article
(This article belongs to the Special Issue Advances in the Treatment of Movement Disorders with Botulinum Toxins)
Show Figures

Figure 1

15 pages, 589 KB  
Article
A Comparative Study of the Effects of Augmented Reality Application on Movement Accuracy and Subjective Satisfaction in Rehabilitation Training for Individuals with Lower Limb Amputations
by Yunhee Chang, Jungsun Kang, Hyeonseok Cho and Sehoon Park
Appl. Sci. 2025, 15(12), 6703; https://doi.org/10.3390/app15126703 - 14 Jun 2025
Cited by 1 | Viewed by 2287
Abstract
This study investigated the efficacy of Augmented Reality (AR) in the rehabilitation of lower limb amputees by comparing movement accuracy and subjective satisfaction with and without AR. Ten individuals with unilateral lower limb amputations participated. Joint range of motion during exercises was measured [...] Read more.
This study investigated the efficacy of Augmented Reality (AR) in the rehabilitation of lower limb amputees by comparing movement accuracy and subjective satisfaction with and without AR. Ten individuals with unilateral lower limb amputations participated. Joint range of motion during exercises was measured using a 3D motion capture system. Subjective satisfaction was assessed via a 5-point Likert scale. Movement accuracy was evaluated by analyzing changes and variability (standard deviation) in joint angles across eight selected movements. Results showed that AR feedback significantly increased average joint angles in specific movements: standing arm raise to the side, standing trunk lateral flexion, and standing knee flexion to maximum height. Furthermore, AR feedback led to a significant reduction in the standard deviation of joint angles for most exercises, indicating improved movement consistency. Subjective satisfaction scores for interest, motivation, exercise effectiveness, movement accuracy, and overall satisfaction were significantly higher with AR. Full article
Show Figures

Figure 1

17 pages, 2275 KB  
Article
Comparative Assessment of an IMU-Based Wearable Device and a Marker-Based Optoelectronic System in Trunk Motion Analysis: A Cross-Sectional Investigation
by Fulvio Dal Farra, Serena Cerfoglio, Micaela Porta, Massimiliano Pau, Manuela Galli, Nicola Francesco Lopomo and Veronica Cimolin
Appl. Sci. 2025, 15(11), 5931; https://doi.org/10.3390/app15115931 - 24 May 2025
Cited by 3 | Viewed by 6477
Abstract
Wearable inertial measurement units (IMUs) are increasingly used in human motion analysis due to their ability to measure movement in real-world environments. However, with rapid technological advancement and a wide variety of models available, it is essential to evaluate their performance and suitability [...] Read more.
Wearable inertial measurement units (IMUs) are increasingly used in human motion analysis due to their ability to measure movement in real-world environments. However, with rapid technological advancement and a wide variety of models available, it is essential to evaluate their performance and suitability for analyzing specific body regions. This study aimed to assess the accuracy and precision of an IMU-based sensor in measuring trunk range of motion (ROM). Twenty-seven healthy adults (11 males, 16 females; mean age: 31.1 ± 11.0 years) participated. Each performed trunk movements—flexion, extension, lateral bending, and rotation—while angular data were recorded simultaneously using a single IMU and a marker-based optoelectronic motion capture (MoCap) system. Analyses included accuracy indices, Root Mean Square Error (RMSE), Pearson’s correlation coefficient (r), concordance correlation coefficient (CCC), and Bland–Altman limits of agreement. The IMU showed high accuracy in rotation (92.4%), with strong correlation (r = 0.944, p < 0.001) and excellent agreement [CCC = 0.927; (0.977–0.957)]. Flexion (72.1%), extension (64.1%), and lateral bending (61.4%) showed moderate accuracy and correlations (r = 0.703, 0.564, and 0.430, p < 0.05). The RMSE ranged from 1.09° (rotation) to 3.01° (flexion). While the IMU consistently underestimated ROM, its accuracy in rotation highlights its potential as a cost-effective MoCap alternative, warranting further study for broader clinical use. Full article
Show Figures

Figure 1

28 pages, 2622 KB  
Article
Effects of a Wearable Assistive Device on Postural Control and Stability During Symmetric and Asymmetric Intermittent Trunk Flexion Tasks
by Pranav Madhav Kuber and Ehsan Rashedi
Bioengineering 2025, 12(5), 456; https://doi.org/10.3390/bioengineering12050456 - 25 Apr 2025
Cited by 2 | Viewed by 1467
Abstract
Assistive devices, such as Exoskeletons (EXOs) can enhance endurance, but could inadvertently alter body mechanics, compromise balance, and elevate fall risk, particularly under fatigue. We evaluated effects of an EXO on postural stability during standing still and sustained trunk flexion tasks as users [...] Read more.
Assistive devices, such as Exoskeletons (EXOs) can enhance endurance, but could inadvertently alter body mechanics, compromise balance, and elevate fall risk, particularly under fatigue. We evaluated effects of an EXO on postural stability during standing still and sustained trunk flexion tasks as users become fatigued during intermittently performed tasks. As trunk bending is common across many occupational/routine tasks, a repetitive 45° trunk flexion task was selected. In this controlled laboratory study, symmetric and asymmetric trunk flexion tasks were performed by twelve participants with a Back-support EXO until medium-high fatigue level (7/10 on Borg CR10 scale). Outcomes showed that the device increased trunk flexion durations (~16~25%), and upper-body movement beyond intended position. EXO-use improved stability by reducing maximum deviation (~22%) and mean velocity (~57%) of Center of Pressure (COP) co-ordinates. Asymmetric trunk flexion without assistance led to highest mean velocity of COP during fatigued state, but the same remained lower (~67%) with EXO-use, even with fatigue. The device decreased variance of COP during in medial/lateral direction (~44%), but increased the same in anterior/posterior direction by the same amount. Efforts in this study contribute towards understanding implications of using assistive devices for improving human performance across diverse applications. Full article
(This article belongs to the Section Biomechanics and Sports Medicine)
Show Figures

Figure 1

12 pages, 2074 KB  
Article
Markerless Upper Body Movement Tracking During Gait in Children with HIV Encephalopathy: A Pilot Study
by Maaike M. Eken, Pieter Meyns, Robert P. Lamberts and Nelleke G. Langerak
Appl. Sci. 2025, 15(8), 4546; https://doi.org/10.3390/app15084546 - 20 Apr 2025
Cited by 1 | Viewed by 994
Abstract
The aim of this pilot study was to investigate the feasibility of markerless tracking to assess upper body movements of children with and without human immunodeficiency virus encephalopathy (HIV-E). Sagittal and frontal video recordings were used to track anatomical landmarks with the DeepLabCut [...] Read more.
The aim of this pilot study was to investigate the feasibility of markerless tracking to assess upper body movements of children with and without human immunodeficiency virus encephalopathy (HIV-E). Sagittal and frontal video recordings were used to track anatomical landmarks with the DeepLabCut pre-trained human model in five children with HIV-E and five typically developing (TD) children to calculate shoulder flexion/extension, shoulder abduction/adduction, elbow flexion/extension and trunk lateral sway. Differences in joint angle trajectories of the two cohorts were investigated using a one-dimensional statistical parametric mapping method. Children with HIV-E showed a larger range of motion in shoulder abduction and trunk sway than TD children. In addition, they showed more shoulder extension and more lateral trunk sway compared to TD children. Markerless tracking was feasible for 2D movement analysis and sensitive to observe expected differences in upper limb and trunk sway movements between children with and without HIVE. Therefore, it could serve as a useful alternative in settings where expensive gait laboratory instruments are unavailable, for example, in clinical centers in low- to middle-income countries. Future research is needed to explore 3D markerless movement analysis systems and investigate the reliability and validity of these systems against the gold standard 3D marker-based systems that are currently used in clinical practice. Full article
(This article belongs to the Special Issue Human Biomechanics and EMG Signal Processing)
Show Figures

Figure 1

19 pages, 4983 KB  
Article
The Role of Chair Design in Dental Ergonomics: A Kinematic Assessment of Movement and Ergonomic Risk
by Fabian Holzgreve, Jasmin Preuß, Christina Erbe, Werner Betz, Eileen M. Wanke, Gerhard Oremek, Doerthe Brueggmann, Albert Nienhaus, David A. Groneberg, Christian Maurer-Grubinger and Daniela Ohlendorf
Bioengineering 2025, 12(4), 353; https://doi.org/10.3390/bioengineering12040353 - 29 Mar 2025
Cited by 2 | Viewed by 2640
Abstract
Introduction: Dental professionals are susceptible to musculoskeletal disorders due to unphysiological postures during treatment, which can be mitigated by the choice of a work chair to improve ergonomic working posture. Methods: In this study, the influence of five different work chairs on the [...] Read more.
Introduction: Dental professionals are susceptible to musculoskeletal disorders due to unphysiological postures during treatment, which can be mitigated by the choice of a work chair to improve ergonomic working posture. Methods: In this study, the influence of five different work chairs on the ergonomic risk assessment using RULA and the working behaviour of 22 right-handed dentists was investigated. To this end, dental treatment was simulated on a phantom head, with the body posture recorded using an inertial motion capture system. The resulting kinematic data were converted into a continuous RULA scheme, and statistical methods (Friedman test with Conover–Iman comparisons and statistical parametric mapping) were used to compare the chairs. The significance level was set at p ≤ 0.05. Results: The RULA analysis revealed no significant differences between the task chairs that were tested; however, it should be noted that all of the task chairs exhibited an increased ergonomic risk (RULA ≥ 5), which indicates an increased risk of musculoskeletal disorders. Significant multiple comparisons (SPM analysis) between the selected chairs of the relative occurrence of total joint angles were between Chair 1 vs. 5 (p ≤ 0.03 for shoulder left flexion–extension), Chair 2 vs. 4 (p ≤ 0.03 for shoulder right flexion–extension), Chair 1 vs. 3 (p ≤ 0.03 for trunk right flexion–extension, 0.04 for trunk lateral flexion and 0.05 for elbow left flexion–extension), Chair 3 vs. 4 (p ≤ 0.05 for shoulder left flexion–extension and 0.01 shoulder right flexion–extension), and between Chair 2 vs. 3 (p ≤ 0.05 for elbow left flexion–extension). Discussion: The study’s findings indicate that the selection of work chairs did not have a significant impact on the ergonomic risk, which remained consistently high across all the chairs. Nevertheless, the analysis of joint angles demonstrated that the Ghopec chair was more frequently associated with greater joint angles, with only a few significant deviations. However, it should be noted that these significant differences in joint angles occurred only sporadically, did not demonstrate a clear and consistent trend across all the chairs, and have no clinical impact. Overall, the results confirm that the working posture of the dentists has a potential risk of developing musculoskeletal disorders, while the ergonomic design of the work chairs plays a rather subordinate role. Full article
(This article belongs to the Section Biomechanics and Sports Medicine)
Show Figures

Figure 1

14 pages, 1393 KB  
Article
Use of Wearable Inertial Sensors to Assess Trunk and Cervical Postures Among Surgeons: Effect of Surgical Specialties and Roles
by Giulia Casu, Micaela Porta, Luigi Isaia Lecca, Alessandro Murru, Fabio Medas, Massimiliano Pau and Marcello Campagna
Bioengineering 2025, 12(3), 299; https://doi.org/10.3390/bioengineering12030299 - 15 Mar 2025
Cited by 1 | Viewed by 2407
Abstract
This study aimed to quantitatively assess trunk and cervical non-neutral postures assumed by surgeons during the performance of routine open procedures. Indeed, musculoskeletal disorders are frequently reported by surgeons, especially at the head and neck level, due to the prolonged time spent in [...] Read more.
This study aimed to quantitatively assess trunk and cervical non-neutral postures assumed by surgeons during the performance of routine open procedures. Indeed, musculoskeletal disorders are frequently reported by surgeons, especially at the head and neck level, due to the prolonged time spent in ergonomically challenging postures. Therefore, the posture of fourteen surgeons was monitored using wearable inertial sensors (and processed according to the ISO 11226 standard) by considering the effect of different surgical specialties (thyroid vs. breast) and roles (primary vs. assistants). Overall, surgeons spent most of their time in a standing posture, remaining within the acceptable limits of trunk flexion. More concerning results were observed analyzing the time spent in static head flexion and lateral bending (~72% and 48% of the time, respectively). Assistants, compared with primary surgeons, spent more than twice as much time in extreme neck flexion, although this was only when performing thyroid surgeries. The opposite was observed during breast surgeries. By spending most of their time in a standing posture with extreme forward neck flexion, surgeons are exposed to a high ergonomic risk, especially when frequently performing thyroid surgeries. The assumed role appeared to influence postural loading, with an effect that varies according to the surgical specialty. Full article
(This article belongs to the Special Issue Body-Worn Sensors for Biomedical Applications)
Show Figures

Graphical abstract

13 pages, 959 KB  
Article
Influence of Thoracolumbar Mobility on Running Performance: A Comparative Study
by Kübra Sarıoğlu and Volga Bayrakcı Tunay
Appl. Sci. 2025, 15(5), 2777; https://doi.org/10.3390/app15052777 - 5 Mar 2025
Viewed by 4560
Abstract
Background: Running, a fundamental motor skill, evolves with experience, significantly influencing coordination and thoracic mobility. Our study aims to investigate whether prolonged engagement in running could result in distinct variations in thoracolumbar mobility and kinematic efficiency among individuals with varying levels of running [...] Read more.
Background: Running, a fundamental motor skill, evolves with experience, significantly influencing coordination and thoracic mobility. Our study aims to investigate whether prolonged engagement in running could result in distinct variations in thoracolumbar mobility and kinematic efficiency among individuals with varying levels of running experience. Methods: This study examined thoracic mobility among sedentary individuals and runners who have been running for the last six months and the last two years. Measurements included latissimus dorsi (LD) muscle tone, elasticity, stiffness, trunk flexibility and range of motion (ROM), lumbar extensor shortness, thoracolumbar fascia (TLF) length, and the modified Schober test. Results: LD tone was lower in six-month runners, while sedentary individuals had the greatest LD elasticity and stiffness. The modified Schober test results indicated that the six-month runners scored the highest. Two-year runners had significantly greater dominant-side lateral flexion than sedentary individuals and six-month runners. TLF length was highest in running for two-year runners. Two-year runners exhibited the greatest dominant-side lateral flexion, while six-month runners showed more flexion and two-year runners more extension. Conclusions: Prolonged running experience may enhance thoracolumbar mobility and muscle tone. Furthermore, the observed stiffness and reduced elasticity in sedentary individuals highlight the detrimental effects of inactivity on spinal and muscular health. Full article
Show Figures

Figure 1

12 pages, 2117 KB  
Article
Do Different Two-Dimensional Camera Speeds Detect Different Lower-Limb Kinematics Measures? A Laboratory-Based Cross-Sectional Study
by Abdulaziz Rsheed Alenzi, Msaad Alzhrani, Ahmad Alanazi and Hosam Alzahrani
J. Clin. Med. 2025, 14(5), 1687; https://doi.org/10.3390/jcm14051687 - 2 Mar 2025
Cited by 1 | Viewed by 1308
Abstract
Background/Objectives: Football poses a high risk of sustaining lower-limb injuries, particularly anterior cruciate ligament (ACL) injuries, owing to the frequent jumping and landing movements. Identifying risk factors for these injuries is crucial to successful prevention. Two-dimensional (2D) video analysis is a commonly employed [...] Read more.
Background/Objectives: Football poses a high risk of sustaining lower-limb injuries, particularly anterior cruciate ligament (ACL) injuries, owing to the frequent jumping and landing movements. Identifying risk factors for these injuries is crucial to successful prevention. Two-dimensional (2D) video analysis is a commonly employed tool for assessing movement patterns and determining injury risk in clinical settings. This study aims to investigate whether variations in the camera frame rate impact the accuracy of key angle measurements (knee valgus, hip adduction (HADD), and lateral trunk flexion (LTF)) in male football players during high-risk functional tasks such as single-leg landing and 45° side-cutting. Methods: This laboratory-based cross-sectional study included 29 football players (mean (SD) age: 24.37 [3.14] years). The frontal plane projection angle (FPPA), HADD, and LTF during single-leg landing and side-cutting tasks were measured using two different camera frame rates: 30 frames per second (fps) and 120 fps. The 2D kinematic data were analyzed using Quintic Biomechanics software. Results: Significant differences in FPPA scores during single-leg landing were observed between the 30 fps and 120 fps for both the dominant (mean difference = 2.65 [95% confidence interval [CI]: 0.76–4.55], p = 0.008) and non-dominant leg (3.53 [1.53–5.54], p = 0.001). Additionally, the FPPA of the right leg during the side-cutting task showed significant differences (2.18 [0.43–3.93], p = 0.016). The LTF of the right leg during side-cutting displayed a significant variation between frame rates (−2.69 [−5.17–−0.22], p = 0.034). No significant differences in HADD were observed. Conclusions: Compared with a 30 fps camera, a high-speed (120 fps) camera demonstrated a superior performance in delivering accurate kinematic assessments of lower-limb injury risk factors. This improved precision supports injury screening, rehabilitation monitoring, and return-to-play decision-making through determining subtle biomechanical deficits crucial for lower-limb injury prevention and management. Full article
(This article belongs to the Section Sports Medicine)
Show Figures

Figure 1

Back to TopTop