Sign in to use this feature.

Years

Between: -

Subjects

remove_circle_outline
remove_circle_outline
remove_circle_outline
remove_circle_outline
remove_circle_outline
remove_circle_outline

Journals

Article Types

Countries / Regions

Search Results (14)

Search Parameters:
Keywords = lateral inflow angle

Order results
Result details
Results per page
Select all
Export citation of selected articles as:
23 pages, 3957 KB  
Article
CFD Investigation of Gas–Liquid Two-Phase Flow Dynamics and Pressure Loss at Fracture Junctions for Coalbed Methane Extraction Optimization
by Xiaohu Zhang, Mi Li, Aizhong Luo and Jiong Wang
Processes 2026, 14(1), 69; https://doi.org/10.3390/pr14010069 - 24 Dec 2025
Viewed by 382
Abstract
The dynamics of gas–liquid two-phase flow at fracture junctions are crucial for optimizing fluid transport in the complex fracture networks of coal seams, particularly for coalbed methane (CBM) extraction and gas hazard management. This study presents a comprehensive numerical investigation of transient air–water [...] Read more.
The dynamics of gas–liquid two-phase flow at fracture junctions are crucial for optimizing fluid transport in the complex fracture networks of coal seams, particularly for coalbed methane (CBM) extraction and gas hazard management. This study presents a comprehensive numerical investigation of transient air–water flow in a two-dimensional, symmetric, cross-shaped fracture junction. Using the Volume of Fluid (VOF) model coupled with the SST k-ω turbulence model, the simulations accurately capture phase interface evolution, accounting for surface tension and a 50° contact angle. The effects of inlet velocity (0.2 to 5.0 m/s) on flow patterns, pressure distribution, and energy dissipation are systematically analyzed. Three distinct phenomenological flow regimes are identified based on interface morphology and force balance: an inertia-dominated high-speed impinging flow (Re > 4000), a moderate-speed transitional flow characterized by a dynamic balance between inertial and viscous forces (∼1000 < Re < ∼4000), and a viscous-gravity dominated low-speed creeping filling flow (Re < ∼1000). Flow partitioning at the junction—defined as the quantitative split of the total inflow between the main (straight-through) flow path and the deflected (lateral) paths—exhibits a strong dependence on the Reynolds number. The main flow ratio increases dramatically from approximately 30% at Re ∼ 500 to over 95% at Re ∼ 12,000, while the deflected flow ratio correspondingly decreases. Furthermore, the pressure loss (head loss, ΔH) across the junction increases non-linearly, following a quadratic scaling relationship with the inlet velocity (ΔH ∝ V01.95), indicating that energy dissipation is predominantly governed by inertial effects. These findings provide fundamental, quantitative insights into two-phase flow behavior at fracture intersections and offer data-driven guidance for optimizing injection strategies in CBM engineering. Full article
(This article belongs to the Topic Green Mining, 3rd Edition)
Show Figures

Figure 1

27 pages, 59170 KB  
Article
Effects of Vectorial Inflow on the Multi-Axis Aerodynamic Performance of a Small-Sized UAV Rotor
by Cong Liu, Yu Wang and Zhiqiang Wei
Aerospace 2025, 12(12), 1096; https://doi.org/10.3390/aerospace12121096 - 10 Dec 2025
Viewed by 741
Abstract
Variations in flight trajectory and velocity during vertical takeoff, transition, and level flight cause substantial changes in the relative inflow vector of multi-rotor unmanned aerial vehicles (UAVs). In urban environments, disturbances from complex wind fields further increase the uncertainty of inflow conditions. This [...] Read more.
Variations in flight trajectory and velocity during vertical takeoff, transition, and level flight cause substantial changes in the relative inflow vector of multi-rotor unmanned aerial vehicles (UAVs). In urban environments, disturbances from complex wind fields further increase the uncertainty of inflow conditions. This study investigates the aerodynamic characteristics of a fixed-pitch small-sized UAV rotor under varying inflow angles, velocities, and rotational speeds using a subsonic return-flow wind tunnel. The experimental setup enables inflow angle control from −90° to +90° via a turntable. Results indicate that, without incoming flow, the axial thrust and torque coefficients remain nearly constant. With inflow, both coefficients become highly sensitive to velocity in the 2000–5000 rpm range, with deviations up to four times those under static conditions. The in-plane lateral force along the X-axis increases significantly with inflow velocity, reaching about half the axial force, while the Y-axis component is minor and negligible under symmetric configurations. Pitching and rolling moments increase rapidly once inflow velocity exceeds 8 m/s, surpassing the axial torque and exhibiting strong directional asymmetry around ±15° inflow angles. The results demonstrate coupled aerodynamic force and moment behavior of small rotors under complex inflow, providing experimental evidence for improved dynamic modeling, control design, and the energy optimization of UAVs operating in turbulent wind environments. Full article
Show Figures

Figure 1

20 pages, 8591 KB  
Communication
Impact of Channel Confluence Geometry on Water Velocity Distributions in Channel Junctions with Inflows at Angles α = 45° and α = 60°
by Aleksandra Mokrzycka-Olek, Tomasz Kałuża and Mateusz Hämmerling
Water 2025, 17(19), 2890; https://doi.org/10.3390/w17192890 - 4 Oct 2025
Cited by 1 | Viewed by 1201
Abstract
Understanding flow dynamics in open-channel node systems is crucial for designing effective hydraulic engineering solutions and minimizing energy losses. This study investigates how junction geometry—specifically the lateral inflow angle (α = 45° and 60°) and the longitudinal bed slope (I = 0.0011 to [...] Read more.
Understanding flow dynamics in open-channel node systems is crucial for designing effective hydraulic engineering solutions and minimizing energy losses. This study investigates how junction geometry—specifically the lateral inflow angle (α = 45° and 60°) and the longitudinal bed slope (I = 0.0011 to 0.0051)—influences the water velocity distribution and hydraulic losses in a rigid-bed Y-shaped open-channel junction. Experiments were performed in a 0.3 m wide and 0.5 m deep rectangular flume, with controlled inflow conditions simulating steady-state discharge scenarios. Flow velocity measurements were obtained using a PEMS 30 electromagnetic velocity probe, which is capable of recording three-dimensional velocity components at a high spatial resolution, and electromagnetic flow meters for discharge control. The results show that a lateral inflow angle of 45° induces stronger flow disturbances and higher local loss coefficients, especially under steeper slope conditions. In contrast, an angle of 60° generates more symmetric velocity fields and reduces energy dissipation at the junction. These findings align with the existing literature and highlight the significance of junction design in hydraulic structures, particularly under high-flow conditions. The experimental data may be used for calibrating one-dimensional hydrodynamic models and optimizing the hydraulic performance of engineered channel outlets, such as those found in hydropower discharge systems or irrigation networks. Full article
(This article belongs to the Section Hydraulics and Hydrodynamics)
Show Figures

Figure 1

27 pages, 7010 KB  
Article
Trailing-Edge Noise and Amplitude Modulation Under Yaw-Induced Partial Wake: A Curl–UVLM Analysis with Atmospheric Stability Effects
by Homin Kim, Taeseok Yuk, Kukhwan Yu and Soogab Lee
Energies 2025, 18(19), 5205; https://doi.org/10.3390/en18195205 - 30 Sep 2025
Viewed by 699
Abstract
This study examines the effects of partial wakes caused by upstream turbine yaw control on the trailing-edge noise of a downstream turbine under stable and neutral atmospheric conditions. Using a combined model coupling the unsteady vortex lattice method (UVLM) with the Curl wake [...] Read more.
This study examines the effects of partial wakes caused by upstream turbine yaw control on the trailing-edge noise of a downstream turbine under stable and neutral atmospheric conditions. Using a combined model coupling the unsteady vortex lattice method (UVLM) with the Curl wake model, calibrated with large eddy simulation data, wake behavior and noise characteristics were analyzed for yaw angles from −30° to +30°. Results show that partial wakes slightly raise overall noise levels and lateral asymmetry of trailing-edge noise, while amplitude modulation (AM) strength is more strongly influenced by yaw control. AM varies linearly with wake deflection at moderate yaw angles but behaves nonlinearly beyond a threshold due to large wake deflection and deformation. Findings reveal that yaw control can significantly increase the lateral asymmetry in the AM strength directivity pattern of the downstream turbine, and that AM characteristics depend on the complex interplay between inflow distribution and convective amplification effects, highlighting the importance of accurate wake prediction, along with appropriate consideration of observer point location and blade rotation, for evaluating AM characteristics of a wind turbine influenced by a partial wake. Full article
(This article belongs to the Special Issue Progress and Challenges in Wind Farm Optimization)
Show Figures

Figure 1

23 pages, 11186 KB  
Article
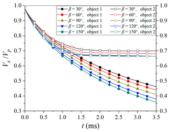
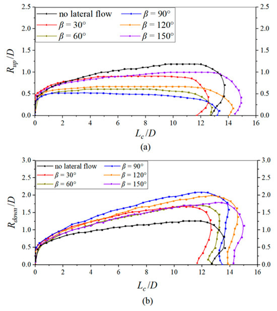
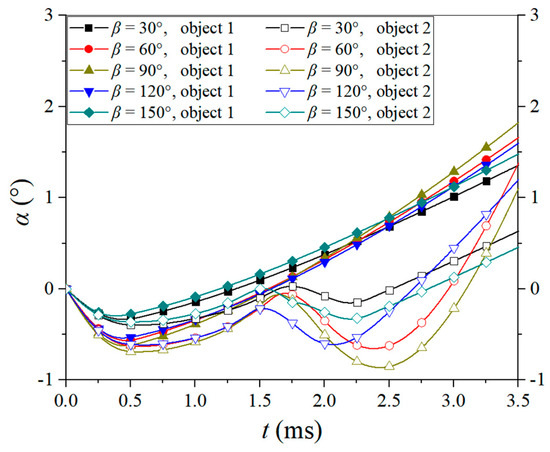
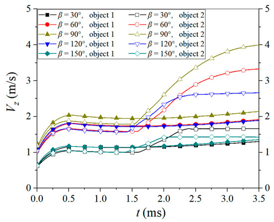
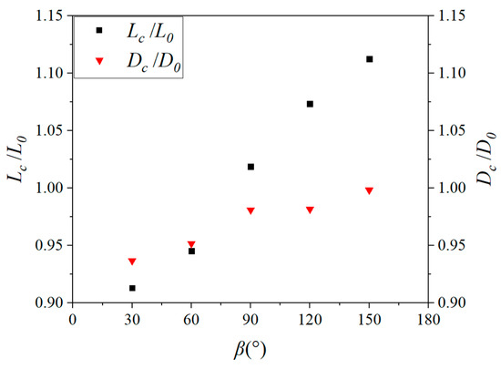
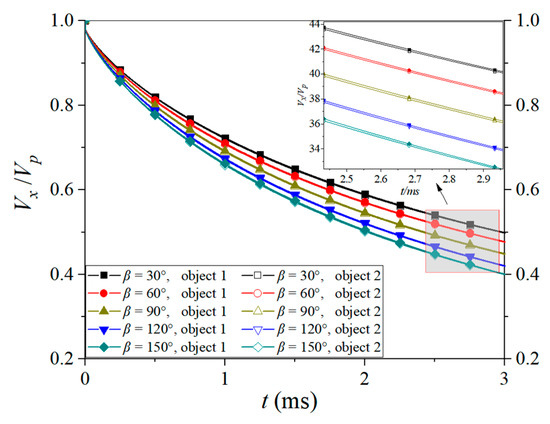
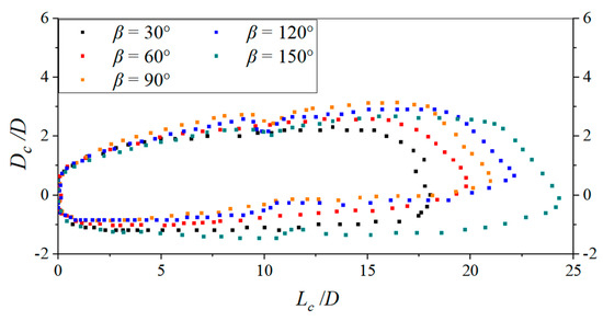
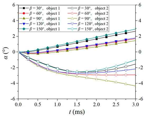
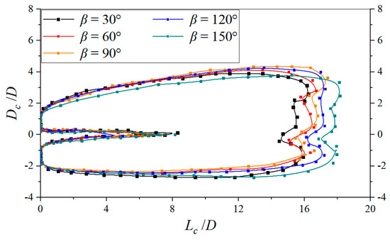
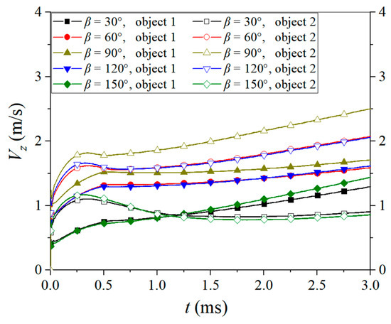
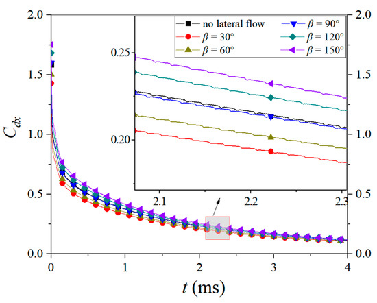
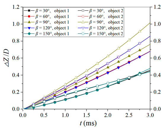
Research of the Influence of Lateral Inflow Angles on the Cavitation Flow and Movement Characteristics of Underwater Moving Objects
by Rishan Xie, Huixia Jia, Jiawei Chen, Lite Zhang and Chengwei Zhang
Processes 2024, 12(6), 1051; https://doi.org/10.3390/pr12061051 - 21 May 2024
Cited by 2 | Viewed by 1515
Abstract
This study examined the multi-phase flow field for a single object and two parallel/series objects under different incoming angles of lateral flow. The volume of fluid model, the Sauer–Schnerr cavitation model, and the six degrees of freedom (DOF) method were adopted to consider [...] Read more.
This study examined the multi-phase flow field for a single object and two parallel/series objects under different incoming angles of lateral flow. The volume of fluid model, the Sauer–Schnerr cavitation model, and the six degrees of freedom (DOF) method were adopted to consider simulations of multi-phase flow, phase change, and object movement, respectively. The results show that, for a single object, the degree of asymmetry in the cavity profile depends on the component (the z-component) of the lateral inflow velocity in the direction perpendicular to the initial velocity of the object. As this component increases, the asymmetry of the cavity increases. The cavity length is related to the relative axial speed between the object and the water. For parallel objects, the cavity asymmetry is determined by the superimposed influence of the z-component of the lateral incoming speed and the high-pressure zone induced by the nearby object. The object located downstream relative to the lateral flow has a stronger cavity asymmetry than that of the upstream object, and the trajectory of the downstream object is more easily deviated than that of the upstream object. For tandem objects, with the increase in the lateral incoming angle, the supercavity length increases after the rear object enters into the front cavity. With the increase in the z-component of the lateral flow velocity, the deviation speed increases. Full article
(This article belongs to the Section AI-Enabled Process Engineering)
Show Figures

Figure 1

21 pages, 9535 KB  
Article
Numerical Investigation on the Transition Flow around NLF Airfoil
by Hongbiao Wang, Lei Tan, Ming Liu, Xiang Liu and Baoshan Zhu
Energies 2023, 16(4), 1826; https://doi.org/10.3390/en16041826 - 12 Feb 2023
Cited by 2 | Viewed by 2346
Abstract
A natural laminar flow (NLF) airfoil is designed to reduce drag by expanding laminar flow areas. In-depth knowledge of transition performance is essential for its aerodynamic design. The k-ω-γ-Reθ framework, which consists of the SST k- [...] Read more.
A natural laminar flow (NLF) airfoil is designed to reduce drag by expanding laminar flow areas. In-depth knowledge of transition performance is essential for its aerodynamic design. The k-ω-γ-Reθ framework, which consists of the SST k-ω turbulence model and γ-Reθ transition model, is employed to simulate transitional flows around an NLF wing RAE5243 airfoil. The transition performances of the RAE5243 airfoil under various values of turbulent intensity, temperature, angle of attack, and Mach number are simulated and compared. The results show that the rise of inflow turbulent intensity will promote an earlier transition on both the suction and pressure sides. The influence of wall temperature on transition is limited. The rise of angle of attack will lead to an earlier transition on the pressure side but a later transition on the suction side. With the rise of Mach number, the transition happens earlier under a zero and positive angle of attack but later under a negative angle of attack. In addition, the correlation of transition onset locations with respect to turbulent intensity, surface temperature, angle of attack, and Mach number is established based on numerical results. Full article
(This article belongs to the Special Issue Recent Studies on Fluid Dynamics Applied in Energy Systems)
Show Figures

Figure 1

16 pages, 4333 KB  
Article
Curled-Skewed Wakes behind Yawed Wind Turbines Subject to Veered Inflow
by Mohammadreza Mohammadi, Majid Bastankhah, Paul Fleming, Matthew Churchfield, Ervin Bossanyi, Lars Landberg and Renzo Ruisi
Energies 2022, 15(23), 9135; https://doi.org/10.3390/en15239135 - 2 Dec 2022
Cited by 9 | Viewed by 4608
Abstract
This work presents a new engineering analytical model that predicts the effect of both the turbine yaw misalignment and the inflow wind veer on the wake flow distribution downwind of a wind turbine. To consider the veered inflow, two methods were examined. In [...] Read more.
This work presents a new engineering analytical model that predicts the effect of both the turbine yaw misalignment and the inflow wind veer on the wake flow distribution downwind of a wind turbine. To consider the veered inflow, two methods were examined. In the first method, the curled shape of the wake due to the yaw offset is initially modelled. The wake shape is then laterally skewed at each height due to the wind veer based on the assumption that the turbine wake is transported downstream by the incoming flow. The second method is a more realistic approach that accounts for the effect of wind veer on the wind velocity direction and the yaw angle seen by the wind turbine. This models the wake region in a local coordinate system defined based on the wind direction at each height. A coordinate transformation is then performed to represent the wake flow distribution in the global coordinate system attached to the ground. The results show that while the two methods provide similar outputs for small variations in the wind direction across the rotor, the difference becomes more evident with an increase in wind veer. High-fidelity simulations for a turbine subject to a neutral atmospheric boundary layer were employed to validate model predictions for different operating conditions. Full article
(This article belongs to the Special Issue Fast-Running Engineering Models of Wind Farm Flows)
Show Figures

Figure 1

24 pages, 12278 KB  
Article
Parameter Sensitivity Study on Inflow Distortion of Boundary Layer Ingested Turbofans
by Xin Zhao, Philip Van Hoorn, Hua-Dong Yao and James Alderman
Aerospace 2022, 9(8), 426; https://doi.org/10.3390/aerospace9080426 - 4 Aug 2022
Cited by 6 | Viewed by 2923
Abstract
The inflow distortion to the fan introduced by the ingestion of the fuselage boundary layer is the most critical challenge in realizing the benefits of boundary later ingesting (BLI) concepts. Minimizing the level of distortion while maintaining the desired amount of ingested boundary [...] Read more.
The inflow distortion to the fan introduced by the ingestion of the fuselage boundary layer is the most critical challenge in realizing the benefits of boundary later ingesting (BLI) concepts. Minimizing the level of distortion while maintaining the desired amount of ingested boundary layer and free stream flow is crucial in minimizing the penalties to fan efficiency and noise emissions. In this paper, a parametric sensitivity study is performed to examine the integration of two semi-buried BLI turbofans at the rear end of a typical tube-and-wing body (TWB) fuselage. The key parameters influencing BLI, such as the nacelle installation positions, wing position, fuselage length, rear fuselage shape, intake shape and operating conditions were evaluated by computational fluid dynamics (CFD). Among the investigated parameters, increasing the nacelle spanwise installation spacing improved inflow distortion by reducing the diffusion separation, but this needs to be offset against the added weight and nacelle drag. A high wing position variant showed strong interference between the wing and the nacelle, which must be avoided as this significantly increases the complexity of the inflow distortion. A moderate angle of attack (AOA) variation did not affect the fan inflow distortion but there was a tendency for interference from the wing to increase when the AOA was increased. The general conclusions from this study will be useful in the conceptual design of a similar type of BLI configuration, as well as a more comprehensive optimization of this type of aircraft–engine integration. Full article
(This article belongs to the Section Aeronautics)
Show Figures

Figure 1

26 pages, 3790 KB  
Article
Experimental Investigation on the Breaching Process of Landslide Dams with Differing Materials under Different Inflow Conditions
by Zhenming Shi, Gongding Zhang, Ming Peng, Qingzhao Zhang, Yuanyuan Zhou and Mingjun Zhou
Materials 2022, 15(6), 2029; https://doi.org/10.3390/ma15062029 - 9 Mar 2022
Cited by 27 | Viewed by 3643
Abstract
Landslide dams are dangerous because the outburst floods produced by dam failures seriously threaten life and property downstream. In this study, a series of physical flume tests were conducted to investigate the breaching process of landslide dams with fine-grained, well graded, and coarse-grained [...] Read more.
Landslide dams are dangerous because the outburst floods produced by dam failures seriously threaten life and property downstream. In this study, a series of physical flume tests were conducted to investigate the breaching process of landslide dams with fine-grained, well graded, and coarse-grained material under different inflow conditions. The effects of dam material and inflow discharge on the breach development, outflow discharge and erosion characteristics were studied. The erosion resistance of materials and lateral collapses were also discussed. Experimental results reveal that the whole breaching process is determined by the water-sediment interaction. For the fine-grained dams, a general constant downstream slope angle is maintained during the breaching process. For the well-graded dams, a step-pool structure is generated due to the scarp erosion. For the coarse-grained dams, they can remain stable under normal circumstances but fail by overtopping in a short duration under the extreme inflow condition. The final breach of the dam with higher fine content or larger inflow discharge is deeper and narrower. In addition, many fluctuations are observed in the changing curve of the erosion rates along the flow direction for the well-graded and coarse-grained dams. The erosion resistance of materials increases along the flow direction, which needs to be further considered in physically based breach models. Furthermore, the lateral collapse is affected by the dam material instead of inflow discharge. The lower fine content causes more lateral collapses with smaller volumes. Full article
(This article belongs to the Special Issue Advancement of Functionalized Mineral Materials and Rock)
Show Figures

Figure 1

26 pages, 15113 KB  
Article
Research on the Dynamic Performance of a Novel Floating Offshore Wind Turbine Considering the Fully-Coupled-Effect of the System
by Hongjian Zhang, Hao Wang, Xin Cai, Jiaojie Xie, Yazhou Wang and Ningchuan Zhang
J. Mar. Sci. Eng. 2022, 10(3), 341; https://doi.org/10.3390/jmse10030341 - 1 Mar 2022
Cited by 20 | Viewed by 5192
Abstract
Floating offshore wind turbines (FOWTs) still face many challenges in improving platform stability. A fully submersible FOWT platform with inclined side columns is designed to tackle the current technical bottleneck of the FOWT platform, combining the structural characteristics of the semi-submersible and Spar [...] Read more.
Floating offshore wind turbines (FOWTs) still face many challenges in improving platform stability. A fully submersible FOWT platform with inclined side columns is designed to tackle the current technical bottleneck of the FOWT platform, combining the structural characteristics of the semi-submersible and Spar platform. An integrated numerical model of FOWT is established considering the fully coupled effect, and the hydrodynamic performance of the novel FOWT, the semi-submersible FOWT, and the Spar FOWT are compared and analyzed under different wave incidence angles and wave frequencies, as well as the blade and tower dynamic response of the three FOWTs under the coupling effect of wind, wave, and current. The results show that the novel floating platform can significantly optimize the hydrodynamic performance and has a better recovery ability after being subjected to external loads. The novel floating platform can significantly reduce the heave peak and its corresponding wave frequency compared to the semi-submersible platform, reducing the possibility of heave resonance. FOWT operation should ensure positive wave inflow as far as possible to avoid excessive wave forces in the lateral direction. Both blade and tower dynamic response are affected by rotor rotation and tower vibration to varying degrees, while tower dynamic response is mainly affected by platform motion. This study suggests that the application of the novel FOWT concept is feasible and can be an alternative in offshore wind exploitation in deep water. Full article
Show Figures

Figure 1

16 pages, 25287 KB  
Article
Design and Numerical Simulation of Biomimetic Structures to Capture Particles in a Microchannel
by Lung-Jieh Yang, Vivek-Jabaraj Joseph, Neethish-Kumar Unnam and Balasubramanian Esakki
Fluids 2022, 7(1), 32; https://doi.org/10.3390/fluids7010032 - 12 Jan 2022
Cited by 4 | Viewed by 4556
Abstract
The study of separating different sizes of particles through a microchannel has been an interest in recent years and the primary attention of this study is to isolate the particles to the specific outlets. The present work highly focuses on the design and [...] Read more.
The study of separating different sizes of particles through a microchannel has been an interest in recent years and the primary attention of this study is to isolate the particles to the specific outlets. The present work highly focuses on the design and numerical analysis of a microchip and the microparticles capture using special structures like corrugated dragonfly wing structure and cilia walls. The special biomimetic structured corrugated wing is taken from the cross-sectional area of the dragonfly wing and cilia structure is obtained from the epithelium terminal bronchioles to the larynx from the human body. Parametric studies were conducted on different sizes of microchip scaled and tested up in the range between 2–6 mm and the thickness was assigned as 80 µm in both dragonfly wing structure and cilia walls. The microflow channel is a low Reynolds number regime and with the help of the special structures, the flow inside the microchannel is pinched and a sinusoidal waveform pattern is observed. The pinched flow with sinusoidal waveform carries the particles downstream and induces the particles trapped in desired outlets. Fluid particle interaction (FPI) with a time-dependent solver in COMSOL Multiphysics was used to carry out the numerical study. Two particle sizes of 5 µm and 20 µm were applied, the inlet velocity of 0.52 m/s with an inflow angle of 50° was used throughout the study and it suggested that: the microchannel length of 3 mm with corrugated dragonfly wing structure had the maximum particle capture rate of 20 µm at the mainstream outlet. 80% capture rate for the microchannel length of 3 mm with corrugated dragonfly wing structure and 98% capture rate for the microchannel length of 2 mm with cilia wall structure were observed. Numerical simulation results showed that the cilia walled microchip is superior to the corrugated wing structure as the mainstream outlet can conduct most of the 20 µm particles. At the same time, the secondary outlet can laterally capture most of the 5 µm particles. This biomimetic microchip design is expected to be implemented using the PDMS MEMS process in the future. Full article
Show Figures

Graphical abstract

12 pages, 3823 KB  
Article
Effect of the Location of Strut Chordae Insertion on Computational Modeling and Biomechanical Evaluation of Mitral Valve Dynamics
by Woojae Hong, Soohwan Jeong, Minsung Ko, Hyun Hak Kim and Hyunggun Kim
Appl. Sci. 2021, 11(13), 6205; https://doi.org/10.3390/app11136205 - 5 Jul 2021
Cited by 1 | Viewed by 3494
Abstract
The strut chordae (SC) have a unique structure and play an important role in reinforcing the tunnel-shaped configuration of the mitral valve (MV) at the inflow and outflow tracts. We investigated the effect of varying the SC insertion location on normal MV function [...] Read more.
The strut chordae (SC) have a unique structure and play an important role in reinforcing the tunnel-shaped configuration of the mitral valve (MV) at the inflow and outflow tracts. We investigated the effect of varying the SC insertion location on normal MV function and dynamics to better understand the complex MV structures. A virtual parametric MV model was designed to replicate a normal human MV, and a total of nine MV modes were created from combinations of apical and lateral displacements of the SC insertion location. MV function throughout the full cardiac cycle was simulated using dynamic finite element analysis for all MV models. While the leaflet stress distribution and coaptation showed similar patterns in all nine MV models, the maximum leaflet stress values increased in proportion to the width of the SC insertion locations. A narrower SC insertion location resulted in a longer coaptation length and a smaller anterior coaptation angle. The top-narrow MV model demonstrated the shortest anterior leaflet bulging distance, lower stresses across the anterior leaflet, and the lowest maximum stresses. This biomechanical evaluation strategy can help us better understand the effect of the SC insertion locations on mechanism, function, and pathophysiology of the MV. Full article
(This article belongs to the Special Issue Biotechnology and Sports Engineering)
Show Figures

Figure 1

20 pages, 16028 KB  
Article
An Investigation of Flow Patterns and Mixing Characteristics in a Cross-Shaped Micromixer within the Laminar Regime
by Shuai Yuan, Bingyan Jiang, Tao Peng, Qiang Li and Mingyong Zhou
Micromachines 2021, 12(4), 462; https://doi.org/10.3390/mi12040462 - 20 Apr 2021
Cited by 29 | Viewed by 4696
Abstract
A fast mixing is critical for subsequent practical development of microfluidic devices, which are often used for assays in the detection of reagents and samples. The present work sets up computational fluid dynamics simulations to explore the flow characteristic and mixing mechanism of [...] Read more.
A fast mixing is critical for subsequent practical development of microfluidic devices, which are often used for assays in the detection of reagents and samples. The present work sets up computational fluid dynamics simulations to explore the flow characteristic and mixing mechanism of fluids in cross-shaped mixers within the laminar regime. First, the effects of increasing an operating parameter on local mixing quality along the microchannels are investigated. It is found that sufficient diffusion cannot occur even though the concentration gradient is large at a high Reynolds number. Meanwhile, a method for calculating local mixing efficiency is also characterized. The mixing efficiency varies exponentially with the flow distance. Second, in order to optimize the cross-shaped mixer, the effects of design parameters, namely aspect ratio, mixing angle and blockage, on mixing quality are captured and the visualization of velocity and concentration distribution are demonstrated. The results show that the aspect ratio and the blockage play an important role in accelerating the mixing process. They can improve the mixing efficiency by increasing the mass transfer area and enhancing the chaotic advection, respectively. In contrast, the inflow angle that affects dispersion length is not an effective parameter. Besides, the surface roughness, which makes the disturbance of fluid flow by roughness more obvious, is considered. Three types of rough elements bring benefits for enhancing mixing quality due to the convection induced by the lateral velocity. Full article
(This article belongs to the Special Issue Micro-Reaction Engineering)
Show Figures

Figure 1

24 pages, 9229 KB  
Article
Implications of Stably Stratified Atmospheric Boundary Layer Turbulence on the Near-Wake Structure of Wind Turbines
by Kiran Bhaganagar and Mithu Debnath
Energies 2014, 7(9), 5740-5763; https://doi.org/10.3390/en7095740 - 2 Sep 2014
Cited by 35 | Viewed by 10872
Abstract
Turbulence structure in the wake behind a full-scale horizontal-axis wind turbine under the influence of real-time atmospheric inflow conditions has been investigated using actuator-line-model based large-eddy-simulations. Precursor atmospheric boundary layer (ABL) simulations have been performed to obtain mean and turbulence states of the [...] Read more.
Turbulence structure in the wake behind a full-scale horizontal-axis wind turbine under the influence of real-time atmospheric inflow conditions has been investigated using actuator-line-model based large-eddy-simulations. Precursor atmospheric boundary layer (ABL) simulations have been performed to obtain mean and turbulence states of the atmosphere under stable stratification subjected to two different cooling rates. Wind turbine simulations have revealed that, in addition to wind shear and ABL turbulence, height-varying wind angle and low-level jets are ABL metrics that influence the structure of the turbine wake. Increasing stability results in shallower boundary layers with stronger wind shear, steeper vertical wind angle gradients, lower turbulence, and suppressed vertical motions. A turbulent mixing layer forms downstream of the wind turbines, the strength and size of which decreases with increasing stability. Height dependent wind angle and turbulence are the ABL metrics influencing the lateral wake expansion. Further, ABL metrics strongly impact the evolution of tip and root vortices formed behind the rotor. Two factors play an important role in wake meandering: tip vortex merging due to the mutual inductance form of instability and the corresponding instability of the turbulent mixing layer. Full article
(This article belongs to the Special Issue Wind Turbines 2014)
Show Figures

Figure 1

Back to TopTop