Sign in to use this feature.

Years

Between: -

Subjects

remove_circle_outline
remove_circle_outline
remove_circle_outline
remove_circle_outline
remove_circle_outline
remove_circle_outline
remove_circle_outline

Journals

Article Types

Countries / Regions

Search Results (32)

Search Parameters:
Keywords = lappe

Order results
Result details
Results per page
Select all
Export citation of selected articles as:
18 pages, 5819 KB  
Article
Preparation and Thermal Safety of Ammonium Polyphosphate Doping Silica Aerogels: Effects of Content and Polymerization
by Zhiyu Huo, Yumin Duan, Shaoqian Zhang, Yikai Zhu, Qiao Wang, Zhi Li and Xiaoxu Wu
Gels 2026, 12(2), 126; https://doi.org/10.3390/gels12020126 - 1 Feb 2026
Viewed by 85
Abstract
Hydrophobic silica aerogels (SAs) have attracted much attention because of their excellent thermal insulation performance and have potential applications in energy conservation and emission reduction. However, the organic groups on its surface are flammable, which brings security risks and limits its application scope. [...] Read more.
Hydrophobic silica aerogels (SAs) have attracted much attention because of their excellent thermal insulation performance and have potential applications in energy conservation and emission reduction. However, the organic groups on its surface are flammable, which brings security risks and limits its application scope. In this study, two kinds of ammonium polyphosphate (APP) with different polymerization degrees, namely low-polymerization-degree APP (LAPP) and high-polymerization-degree APP (HAPP), were introduced into SA to prepare APP/SA composites, to improve the thermal safety of the materials. The results showed that APP with two polymerization degrees significantly delayed the initial decomposition and peak temperature of heat flow, and HAPP reduced the gross calorific value by 31.01% at most, which is 29.04% greater than that of LAPP, indicating that the effect of HAPP was slightly better than that of LAPP. With the increase in APP with two polymerization degrees, the density increased and the porosity decreased: LAPP system was 0.095–0.196 g/cm3 and 96.0–91.0%. Both made the thermal conductivity increase only slightly (up to 26.8 mW/m/K), but the sample still maintained excellent thermal insulation and hydrophobicity, which indicated that the addition of APP improved the thermal safety performance of SA while maintaining its basic excellent performance. This strategy provides an effective and simple way to improve the flame retardancy of SA, which makes SA more widely used in fields with strict requirements on thermal safety. Full article
(This article belongs to the Special Issue Multifunctional Aerogels: Types, Synthesis and Applications)
Show Figures

Graphical abstract

16 pages, 2016 KB  
Article
Effect of Fertilization Timing on Nitrogen Uptake in Spring Tea of Different Sprouting Phenological Cultivars: A Field Trial with 15N Tracing
by Yongli Zhang, Kang Ni, Xiangde Yang, Lizhi Long, Lifeng Ma, Youjian Su and Jianyun Ruan
Agronomy 2025, 15(5), 1090; https://doi.org/10.3390/agronomy15051090 - 29 Apr 2025
Viewed by 890
Abstract
Applying a top dressing of nitrogen fertilizer before harvesting spring tea is vital for producing high-quality spring tea. However, the interaction between the sprouting phenological characteristics of various cultivars and the timing of top dressing remains unclear. A field trial was conducted to [...] Read more.
Applying a top dressing of nitrogen fertilizer before harvesting spring tea is vital for producing high-quality spring tea. However, the interaction between the sprouting phenological characteristics of various cultivars and the timing of top dressing remains unclear. A field trial was conducted to investigate such interaction. Urea enriched with 15N was applied to soil of the early-sprouting cultivar Jia-ming-1 (JM1) and the late-sprouting cultivar Tie-guan-yin (TGY) on 29 January (early application, EApp) or 10 March (late application, LApp), respectively. The bud density and yield of young spring shoots were significantly decreased in LApp compared to EApp. Such differences were more remarkable in the early-sprouting cultivar (JM1) than in the late-sprouting cultivar (TGY). The Ndff (N derived from 15N-enriched urea) in mature leaves and young spring shoots as well as the amount of 15N in young spring shoots were all higher in EApp than in LApp. Ndff in both mature leaves (R2 = 0.99, p < 0.001) and young spring shoots (R2 = 0.61–0.89, p < 0.01) could be well predicted by the growing degree days of the duration between the N fertilization and sampling. Ndff and 15N concentrations in mature leaves were significantly correlated with the content of nitrate and the ratio of ammonium to total inorganic nitrogen. Partial least squares path modeling revealed that thermal condition directly affected soil N supply and soil pH and thereby affected Ndff in mature leaves and young spring shoots. Our findings highlight the importance of early pre-spring topdressing of N fertilizer to improve the yield and N use efficiency of spring tea in both early- and late-sprouting tea cultivars. The work identified a synergistic effect of N uptake by tea plants, N transformation, and soil pH related to the thermo-conditions of early and late N topdressing. Full article
(This article belongs to the Section Soil and Plant Nutrition)
Show Figures

Figure 1

12 pages, 1911 KB  
Article
Production of Margarine Fat Containing Medium- and Long-Chain Triacylglycerols by Enzymatic Interesterification of Peony Seed Oil, Palm Stearin and Coconut Oil Blends
by Man Zhang, Baocheng Xu, Dongkun Zhao, Mengqi Shen, Mengjie Li, Donghao Liu and Lili Liu
Foods 2024, 13(9), 1405; https://doi.org/10.3390/foods13091405 - 2 May 2024
Cited by 12 | Viewed by 5326
Abstract
This paper reports the preparation of margarine fat using Lipozyme TL IM as a catalyst and peony seed oil (PSO), palm stearin (PS) and coconut oil (CO) as raw materials. The results indicate that there were no significant changes in fatty acid composition [...] Read more.
This paper reports the preparation of margarine fat using Lipozyme TL IM as a catalyst and peony seed oil (PSO), palm stearin (PS) and coconut oil (CO) as raw materials. The results indicate that there were no significant changes in fatty acid composition before or after interesterification of the oil samples. However, the total amount of medium- and long-chain triglycerides (MLCTs) increased from 2.92% to 11.38% in sample E1 after interesterification, mainly including LaLaO, LaMO, LaPM, LaOO, LaPO and LaPP. Moreover, the slip melting point (SMP) of sample E1 decreased from 45.9 °C (B1) to 33.5 °C. The solid fat content (SFC) of all the samples at 20 °C was greater than 10%, indicating that they could effectively prevent oil exudation. After interesterification, the samples exhibited a β′ crystal form and could be used to prepare functional margarine. Full article
(This article belongs to the Special Issue Healthy Lipids for Food Processing)
Show Figures

Figure 1

9 pages, 1033 KB  
Article
Opioid Prescribing for Noncancer Patients—Issues of Drug Therapy Safety: Results from a German Study Based on Routine Data
by Veronika Lappe, Daniel Grandt, Ursula Marschall and Ingrid Schubert
Pharmacoepidemiology 2024, 3(1), 94-102; https://doi.org/10.3390/pharma3010007 - 22 Feb 2024
Viewed by 3001
Abstract
Opioids are highly effective drugs but need close monitoring to avoid harm to patients. The aim of this study was to analyze how guideline recommendations are met for (i) the avoidance of the concomitant use of anxiolytics, hypnotics, or sedatives; (ii) the prescribing [...] Read more.
Opioids are highly effective drugs but need close monitoring to avoid harm to patients. The aim of this study was to analyze how guideline recommendations are met for (i) the avoidance of the concomitant use of anxiolytics, hypnotics, or sedatives; (ii) the prescribing of laxatives in long-term opioid treatment; (iii) the co-prescribing of drugs to control the emetic effect of opioids; (iv) pretreatment with non-opioids; and (v) screening for depression when initiating opioids. The results are based on a routine data analysis of a large German health insurance fund. Different study populations of noncancer patients (18+ years old) treated with opioids were analyzed: 10.4% of the opioid recipients in 2021 received at least one concomitant prescription with anxiolytics, hypnotics, or sedatives; 69.3% of those with long-term opioid treatment received at least one laxative prescription. Of those with first-time opioid prescriptions, 4.8% received an antiemetic drug; 47.3% of those with a newly initiated opioid therapy received a non-opioid prescription within three months before the start of the opioid therapy; and 22.0% of patients with incident opioid prescription had at least one documentation of a depression diagnosis within three months of the first prescription. There is an urgent need to improve opioid prescribing to avoid risky combinations and adverse effects. Full article
(This article belongs to the Special Issue Pharmacoepidemiology and Addiction)
Show Figures

Figure 1

37 pages, 4109 KB  
Review
Biodiesel Production Processes with Yeast: A Sustainable Approach
by Alejandra Sánchez-Solís, Odette Lobato-Calleros, Rubén Moreno-Terrazas, Patricia Lappe-Oliveras and Elier Neri-Torres
Energies 2024, 17(2), 302; https://doi.org/10.3390/en17020302 - 7 Jan 2024
Cited by 4 | Viewed by 4847
Abstract
In recent years, renewable sources of energy have been sought due to the environmental impacts associated with fossil fuels, such as greenhouse gas emissions into the atmosphere. A promising alternative is biodiesel, particularly when obtained using yeast, as they offer certain advantages over [...] Read more.
In recent years, renewable sources of energy have been sought due to the environmental impacts associated with fossil fuels, such as greenhouse gas emissions into the atmosphere. A promising alternative is biodiesel, particularly when obtained using yeast, as they offer certain advantages over other microorganisms due to their resilience to grow in various conditions, short reproduction times, and lower susceptibility to bacterial infections because they thrive at lower pH levels and have the ability to utilize a wide variety of substrates. Furthermore, biodiesel produced with yeast is composed of methyl ester fatty acids (FAME), providing it with good quality and performance in internal combustion engines, resulting in reduced greenhouse gas emissions compared to conventional diesel. The production of biodiesel using yeast involves six general stages, which offer various methodological alternatives with different degrees of sustainability. The objective of this review is to assess the sustainability degree of various methodologies employed in each of the stages of yeast-based biodiesel production through environmental and economic sustainability indicators. Full article
(This article belongs to the Special Issue Bioenergy Economics: Analysis, Modeling and Application)
Show Figures

Figure 1

13 pages, 1334 KB  
Article
Consumers’ Segmentation Influences Acceptance and Preferences of Cheeses with Sanitary Inspection and Artisanal Seals
by Larissa Santos Pereira, Bruna Klein Borges de Moraes, Elizandro Max Borba, Bruna Bresolin Roldan, Rosiele Lappe Padilha and Voltaire Sant’Anna
Foods 2023, 12(20), 3805; https://doi.org/10.3390/foods12203805 - 17 Oct 2023
Cited by 3 | Viewed by 2369
Abstract
Food labeling serves as a crucial medium for industries to communicate product qualities to consumers. Sanitary inspection and artisanal seals are significant markers for traditional cheeses, yet current information on this topic is limited. Therefore, this study aims to evaluate the impact of [...] Read more.
Food labeling serves as a crucial medium for industries to communicate product qualities to consumers. Sanitary inspection and artisanal seals are significant markers for traditional cheeses, yet current information on this topic is limited. Therefore, this study aims to evaluate the impact of sanitary inspection and the ARTE seal on the acceptance of artisanal cheese. To achieve this objective, four hypothetical cheese labels featuring all combinations of sanitary inspection and ARTE seals were presented to 404 consumers. These consumers rated their acceptance of each label, a conjoint analysis was conducted, and the relative importance of each seal was calculated. Subsequently, consumers were segmented using hierarchical cluster analysis. Their socio-demographic profiles were statistically correlated to the clusters through a chi-squared method. The results revealed the existence of three distinct consumer groups: those who strongly prefer cheeses with a sanitary seal (assigning a relative importance of 80.2% to the seal), those who favor cheeses with an artisanal seal (assigning a relative importance of 52.5% to the seal), and those for whom the presence of either seal did not significantly affect acceptance. Consumers residing in metropolitan areas generally placed less value on both seals, whereas frequent purchasers of artisanal foods and residents of rural areas showed a preference for the artisanal seal. Other socio-demographic variables did not statistically correlate with cluster membership. In conclusion, consumer segmentation based on preferences for sanitary inspection and artisanal seals in food labeling is vital for developing effective marketing strategies and food safety education policies. Full article
Show Figures

Figure 1

19 pages, 1820 KB  
Article
Genotypic and Phenotypic Diversity of Kluyveromyces marxianus Isolates Obtained from the Elaboration Process of Two Traditional Mexican Alcoholic Beverages Derived from Agave: Pulque and Henequen (Agave fourcroydes) Mezcal
by Patricia Lappe-Oliveras, Morena Avitia, Sara Darinka Sánchez-Robledo, Ana Karina Castillo-Plata, Lorena Pedraza, Guillermo Baquerizo and Sylvie Le Borgne
J. Fungi 2023, 9(8), 795; https://doi.org/10.3390/jof9080795 - 28 Jul 2023
Cited by 6 | Viewed by 3504
Abstract
Seven Kluyveromyces marxianus isolates from the elaboration process of pulque and henequen mezcal were characterized. The isolates were identified based on the sequences of the D1/D2 domain of the 26S rRNA gene and the internal transcribed spacer (ITS-5.8S) region. Genetic differences were found [...] Read more.
Seven Kluyveromyces marxianus isolates from the elaboration process of pulque and henequen mezcal were characterized. The isolates were identified based on the sequences of the D1/D2 domain of the 26S rRNA gene and the internal transcribed spacer (ITS-5.8S) region. Genetic differences were found between pulque and henequen mezcal isolates and within henequen mezcal isolates, as shown by different branching patterns in the ITS-5.8S phylogenetic tree and (GTG)5 microsatellite profiles, suggesting that the substrate and process selective conditions may give rise to different K. marxianus populations. All the isolates fermented and assimilated inulin and lactose and some henequen isolates could also assimilate xylose and cellobiose. Henequen isolates were more thermotolerant than pulque ones, which, in contrast, presented more tolerance to the cell wall-disturbing agent calcofluor white (CFW), suggesting that they had different cell wall structures. Additionally, depending on their origin, the isolates presented different maximum specific growth rate (µmax) patterns at different temperatures. Concerning tolerance to stress factors relevant for lignocellulosic hydrolysates fermentation, their tolerance limits were lower at 42 than 30 °C, except for glucose and furfural. Pulque isolates were less tolerant to ethanol, NaCl, and Cd. Finally, all the isolates could produce ethanol by simultaneous saccharification and fermentation (SSF) of a corncob hydrolysate under laboratory conditions at 42 °C. Full article
Show Figures

Figure 1

12 pages, 1010 KB  
Article
Changes in Dietary Inflammatory Index Score over Time and Cancer Development in Rural Post-Menopausal Women
by Mariah Kay Jackson, Joan Lappe, Jihyun Ma, Megan Timmerman, Elizabeth R. Lyden, Nitin Shivappa, James R. Hébert, Dianne Travers Gustafson, Laura Graeff-Armas and Corrine Hanson
Antioxidants 2023, 12(4), 946; https://doi.org/10.3390/antiox12040946 - 18 Apr 2023
Cited by 4 | Viewed by 4218
Abstract
Inflammation plays a key role in cancer development. As an important modulator of inflammation, the role of diet should be explored. The purpose of this study was to determine the association between diets with a higher inflammatory potential, as measured by the Dietary [...] Read more.
Inflammation plays a key role in cancer development. As an important modulator of inflammation, the role of diet should be explored. The purpose of this study was to determine the association between diets with a higher inflammatory potential, as measured by the Dietary Inflammatory Index (DII®), and cancer development in a cohort of rural post-menopausal women. Dietary intake from a randomized controlled trial cohort of rural, post-menopausal women in Nebraska was used to compute energy-adjusted DII (E-DIITM) scores at baseline and four years later (visit 9). A linear mixed model analysis and multivariate logistic regression evaluated the association between E-DII scores (baseline, visit 9, change score) and cancer status. Of 1977 eligible participants, those who developed cancer (n = 91, 4.6%) had a significantly larger, pro-inflammatory change in E-DII scores (Non-cancer: Δ 0.19 ± 1.43 vs. Cancer: Δ 0.55 ± 1.43, p = 0.02). After adjustment, odds of cancer development were over 20% higher in those with a larger change (more pro-inflammatory) in E-DII scores than those with smaller E-DII changes (OR = 1.21, 95% CI [1.02, 1.42], p = 0.02). Shifting to a more pro-inflammatory diet pattern over four years was associated with increased odds of cancer development, but not with E-DII at baseline or visit 9 alone. Full article
(This article belongs to the Special Issue Oxidative Stress in Tumor Genesis, Progression and Therapy)
Show Figures

Graphical abstract

10 pages, 946 KB  
Article
Sex Differences in Ischemic Cerebral Infarction: A Nationwide German Real-Life Analysis from 2014 to 2019
by Claudia Lappe, Holger Reinecke, Jannik Feld and Jeanette Köppe
Clin. Transl. Neurosci. 2022, 6(3), 23; https://doi.org/10.3390/ctn6030023 - 12 Sep 2022
Cited by 1 | Viewed by 2748
Abstract
Female sex has been shown to be associated with an unfavorable outcome after ischemic stroke. In this nationwide analysis, we evaluate a large dataset of patients suffering from acute ischemic stroke to elucidate the factors associated with an increased risk of mortality after [...] Read more.
Female sex has been shown to be associated with an unfavorable outcome after ischemic stroke. In this nationwide analysis, we evaluate a large dataset of patients suffering from acute ischemic stroke to elucidate the factors associated with an increased risk of mortality after stroke in women. We analyzed a nationwide dataset from the German Federal Bureau of Statistics including 1,577,884 (761,537 female sex, 48.3%) in-hospital cases admitted between 1 January 2014 and 31 December 2019 with a primary diagnosis of acute ischemic cerebral infarction. Patients were analyzed regarding morbidity, treatments and in-hospital mortality. A multiple logistic regression analysis was performed, adjusted by patients’ risk profile including age, to evaluate the association of sex and in-hospital mortality. According to the median, women were older than men (79 years vs. 73 years). The multiple logistic regression analysis however revealed female sex remained an independent factor for an increased in-hospital mortality (odds ratio [OR] 1.12; 95% confidence interval [CI] 1.11–1.14; p < 0.001). Women had a higher prevalence of relevant risk factors, namely arterial hypertension (77.0% vs. 74.7%), arterial fibrillation (33.3% vs. 25.6%), chronic heart failure (12.3% vs. 9.7%), chronic kidney disease (15.6% vs. 12.9%) and dementia (6.6% vs. 4.1%), but were less affected with respect to other relevant co-morbidities such as cerebrovascular disease (11.7% vs. 15.1%), coronary heart disease (11.7% vs. 18.8%), diabetes mellitus (26.4% vs. 29.6%), dyslipidemia (38.1% vs. 42.0%), ischemic heart disease (12.3% vs. 19.3%) and previous coronary artery bypass grafting (1.1% vs. 3.2%). Overall, therapeutic interventions were performed less frequently in women such as carotid endarterectomy (1.1% vs. 2.3%), carotid stent (0.7% vs. 1.4%), as well as hematoma drainage (0.1% vs. 0.2%), and renal replacement therapy (0.4% vs. 0.6%). Conclusions: Our nationwide analysis revealed a higher mortality rate after stroke in women. Nevertheless, women had fewer in-hospital complications and were also less likely to experience the severe effects of some important co-morbidities. The dataset, however, showed that women received surgical or interventional carotid treatments after stroke less often. It is important for research on sex disparities in stroke to keep these treatment frequency differences in mind. Full article
(This article belongs to the Section Neuroscience/translational neurology)
Show Figures

Figure 1

17 pages, 7783 KB  
Article
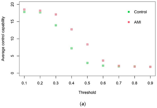
Identifying Genes Related to Acute Myocardial Infarction Based on Network Control Capability
by Yanhui Wang and Huimin Xian
Genes 2022, 13(7), 1238; https://doi.org/10.3390/genes13071238 - 13 Jul 2022
Cited by 8 | Viewed by 2868
Abstract
Identifying genes significantly related to diseases is a focus in the study of disease mechanisms. In this paper, from the perspective of integrated analysis and dynamic control, a method for identifying genes significantly related to diseases based on logic networks constructed by the [...] Read more.
Identifying genes significantly related to diseases is a focus in the study of disease mechanisms. In this paper, from the perspective of integrated analysis and dynamic control, a method for identifying genes significantly related to diseases based on logic networks constructed by the LAPP method, referred to as NCCM, is proposed and applied to the study of the mechanism of acute myocardial infarction (AMI). It is found that 82.35% of 17 differential control capability genes (DCCGs) identified by NCCM are significantly correlated with AMI/MI in the literature and DISEASES database. The enrichment analysis of DCCGs shows that AMI is closely related to the positive regulation of vascular-associated smooth muscle cell proliferation and regulation of cytokine production involved in the immune response, in which HBEGF, THBS1, NR4A3, NLRP3, EDN1, and MMP9 play a crucial role. In addition, although the expression levels of CNOT6L and ACYP1 are not significantly different between the control group and the AMI group, NCCM shows that they are significantly associated with AMI. Although this result still needs further verification, it shows that the method can not only identify genes with large differences in expression but also identify genes that are associated with diseases but with small changes in expression. Full article
(This article belongs to the Section Bioinformatics)
Show Figures

Figure 1

24 pages, 6596 KB  
Article
State of the Vietnamese Coast—Assessing Three Decades (1986 to 2021) of Coastline Dynamics Using the Landsat Archive
by Ronja Lappe, Tobias Ullmann and Felix Bachofer
Remote Sens. 2022, 14(10), 2476; https://doi.org/10.3390/rs14102476 - 21 May 2022
Cited by 18 | Viewed by 9031
Abstract
Vietnam’s 3260 km coastline is densely populated, experiences rapid urban and economic growth, and faces at the same time a high risk of coastal hazards. Satellite archives provide a free and powerful opportunity for long-term area-wide monitoring of the coastal zone. This paper [...] Read more.
Vietnam’s 3260 km coastline is densely populated, experiences rapid urban and economic growth, and faces at the same time a high risk of coastal hazards. Satellite archives provide a free and powerful opportunity for long-term area-wide monitoring of the coastal zone. This paper presents an automated analysis of coastline dynamics from 1986 to 2021 for Vietnam’s entire coastal zone using the Landsat archive. The proposed method is implemented within the cloud-computing platform Google Earth Engine to only involve publicly and globally available datasets and tools. We generated annual coastline composites representing the mean-high water level and extracted sub-pixel coastlines. We further quantified coastline change rates along shore-perpendicular transects, revealing that half of Vietnam’s coast did not experience significant change, while the remaining half is classified as erosional (27.7%) and accretional (27.1%). A hotspot analysis shows that coastal segments with the highest change rates are concentrated in the low-lying deltas of the Mekong River in the south and the Red River in the north. Hotspots with the highest accretion rates of up to +47 m/year are mainly associated with the construction of artificial coastlines, while hotspots with the highest erosion rates of −28 m/year may be related to natural sediment redistribution and human activity. Full article
(This article belongs to the Special Issue Coastal Erosion Monitoring Based on Earth Observation Products)
Show Figures

Graphical abstract

14 pages, 687 KB  
Article
Multimedication Guidelines: Assessment of the Size of the Target Group for Medication Review and Description of the Frequency of Their Potential Drug Safety Problems with Routine Data
by Veronika Lappe, Truc Sophia Dinh, Sebastian Harder, Maria-Sophie Brueckle, Joachim Fessler, Ursula Marschall, Christiane Muth, Ingrid Schubert and on behalf of the EVITA Study Group
Pharmacoepidemiology 2022, 1(1), 12-25; https://doi.org/10.3390/pharma1010002 - 15 Apr 2022
Cited by 7 | Viewed by 4869
Abstract
(1) Background: About 10 years ago, several guidelines for the better management of patients with polypharmacy were issued. A central issue is the definition of the target group. The primary aim of this study is therefore to assess the size of the target [...] Read more.
(1) Background: About 10 years ago, several guidelines for the better management of patients with polypharmacy were issued. A central issue is the definition of the target group. The primary aim of this study is therefore to assess the size of the target group, applying the criteria of the German guidelines. A further aim is to describe the frequency of occurrence of medication safety issues for patients of the target group. (2) Methods: The study is based on administrative data of one large statutory health insurer in Germany (n = 9,012,523). (3) Results: The criteria of multimorbidity (at least three chronic diseases) and utilization of five or more concurrent drugs over at least 91 days is fulfilled by 14.1% of the insured patients, or almost 1.3 million persons. About 5% of this multimorbid and poly-medicated population fulfilled at least three of out of five additional occasion-related criteria. Medication safety issues occur frequently: treatment prevalence with potentially inadequate medication, QT-drugs, benzodiazepine or Z-drugs and proton pump inhibitors was 30.4%, 28.9%, 11.1% and 52.4%, respectively. (4) Conclusions: The analysis shows the scope of patients eligible for a structured medication review and demonstrates the relevance for counselling based on the high percentage potentially at risk due to medication therapy safety problems. Full article
Show Figures

Figure 1

16 pages, 362 KB  
Review
Reproductive Technologies Used in Female Neo-Tropical Hystricomorphic Rodents
by Kavita Ranjeeta Lall, Kegan Romelle Jones and Gary Wayne Garcia
Animals 2022, 12(5), 618; https://doi.org/10.3390/ani12050618 - 1 Mar 2022
Cited by 2 | Viewed by 4390
Abstract
This is the second of two literature reviews that focuses on the female reproductive anatomy and reproductive technologies used in selected neo-tropical hystricomorphic rodents. The rodents chosen included the agouti (Dasyprocta leporina), the capybara (Hydrochoerus hydrochaeris), and the paca [...] Read more.
This is the second of two literature reviews that focuses on the female reproductive anatomy and reproductive technologies used in selected neo-tropical hystricomorphic rodents. The rodents chosen included the agouti (Dasyprocta leporina), the capybara (Hydrochoerus hydrochaeris), and the paca (Cuniculus paca). Over seventy references were used, spanning the years 1919–2021. Knowledge of the reproductive tract is important in understanding any unique features, which may affect the use of reproductive technologies. Some unique characteristics common to these species included the presence of a vaginal closure membrane and a lobulated placenta with a vascular sub-placenta. The capybara had hyperpigmentation of the vagina that was unique to each individual, while the agouti and paca had accessory corpora lutea, in addition to the main one. Some reproductive technologies have been used, with attempts at estrous induction and synchronization taking place within the past five years. Even though most work has been done over the past twenty years, there is still a dearth of information. Full article
(This article belongs to the Special Issue Advances in Wildlife Endocrinology and Reproduction)
18 pages, 998 KB  
Review
Reproductive Technologies Used in Male Neo-Tropical Hystricomorphic Rodents
by Kavita Ranjeeta Lall, Kegan Romelle Jones and Gary Wayne Garcia
Animals 2022, 12(1), 34; https://doi.org/10.3390/ani12010034 - 24 Dec 2021
Cited by 5 | Viewed by 8436
Abstract
This review, which is the first of two, focuses on the male reproductive anatomy and reproductive technologies used in Neo-tropical hystricomorphic rodents with the potential for domestication, which are the agouti (Dasyprocta leporina), the capybara (Hydrochoerus hydrochaeris) and the [...] Read more.
This review, which is the first of two, focuses on the male reproductive anatomy and reproductive technologies used in Neo-tropical hystricomorphic rodents with the potential for domestication, which are the agouti (Dasyprocta leporina), the capybara (Hydrochoerus hydrochaeris) and the paca (Cuniculus paca). We consider over seventy references spanning from 1965 to 2020, with the majority of work being done in the past twenty years. Knowledge of the reproductive tract and reproductive technologies is critical to the conservation and preservation of these species. Although all three animals had similarities in their anatomy, such as no overt scrotums and testes located intra-abdominally in the inguinal region, some had unique features—for example, the agouti and the paca had penile spines, and two lateral penile cartilages. High spermatogenic efficiency was noted in the agouti and the paca, making them good candidates for increasing their reproductive performance in conservation programs. A review of the literature has shown that there is increasing work taking place on the reproductive technologies used in these animals; however, a lot of work is still lacking, as, to the author’s knowledge, standard protocols and artificial insemination procedures are yet to be established. Full article
(This article belongs to the Special Issue Biotechnologies for the Advancement of Wildlife Conservation)
Show Figures

Figure 1

14 pages, 1772 KB  
Article
Biotransformation of Chromium (VI) via a Reductant Activity from the Fungal Strain Purpureocillium lilacinum
by Juan Fernando Cárdenas González, Ismael Acosta Rodríguez, Yolanda Terán Figueroa, Patricia Lappe Oliveras, Rebeca Martínez Flores and Adriana Sarai Rodríguez Pérez
J. Fungi 2021, 7(12), 1022; https://doi.org/10.3390/jof7121022 - 29 Nov 2021
Cited by 13 | Viewed by 3362
Abstract
Industrial effluents from chromium-based products lead to chromium pollution in the environment. Several technologies have been employed for the removal of chromium (Cr) from the environment, including adsorption, ion-exchange, bioremediation, etc. In this study, we isolated a Cr (VI)-resistant fungus, Purpureocillium lilacinum, from [...] Read more.
Industrial effluents from chromium-based products lead to chromium pollution in the environment. Several technologies have been employed for the removal of chromium (Cr) from the environment, including adsorption, ion-exchange, bioremediation, etc. In this study, we isolated a Cr (VI)-resistant fungus, Purpureocillium lilacinum, from contaminated soil, which could reduce chromium. We also characterized a reductant activity of dichromate found in the cellular fraction of the fungus: optimal pH and temperature, effect of enzymatic inhibitors and enhancers, metal ions, use of electron donors, and initial Cr (VI) and protein concentration. This study also shows possible mechanisms that could be involved in the elimination of this metal. We observed an increase in the reduction of Cr (VI) activity in the presence of NADH followed by that of formate and acetate, as electron donor. This reduction was highly inhibited by EDTA followed by NaN3 and KCN, and this activity showed the highest activity at an optimal pH of 7.0 at 37 °C with a protein concentration of 3.62 µg/mL. Full article
(This article belongs to the Section Environmental and Ecological Interactions of Fungi)
Show Figures

Figure 1

Back to TopTop