Production of Margarine Fat Containing Medium- and Long-Chain Triacylglycerols by Enzymatic Interesterification of Peony Seed Oil, Palm Stearin and Coconut Oil Blends
Abstract
1. Introduction
2. Materials and Methods
2.1. Materials
2.2. Fat Blending
2.3. Enzymatic Interesterification
2.4. Fatty Acid Composition
2.5. Triacylglycerol Composition
2.6. Peroxide Value
2.7. Slip Melting Point
2.8. Solid Fat Content
2.9. Melting and Crystallization Characteristics
2.10. Polymorphism
2.11. Statistical Analysis
3. Results and Discussion
3.1. Fatty Acid Composition
3.2. Triacylglycerol Composition
3.3. Peroxide Value
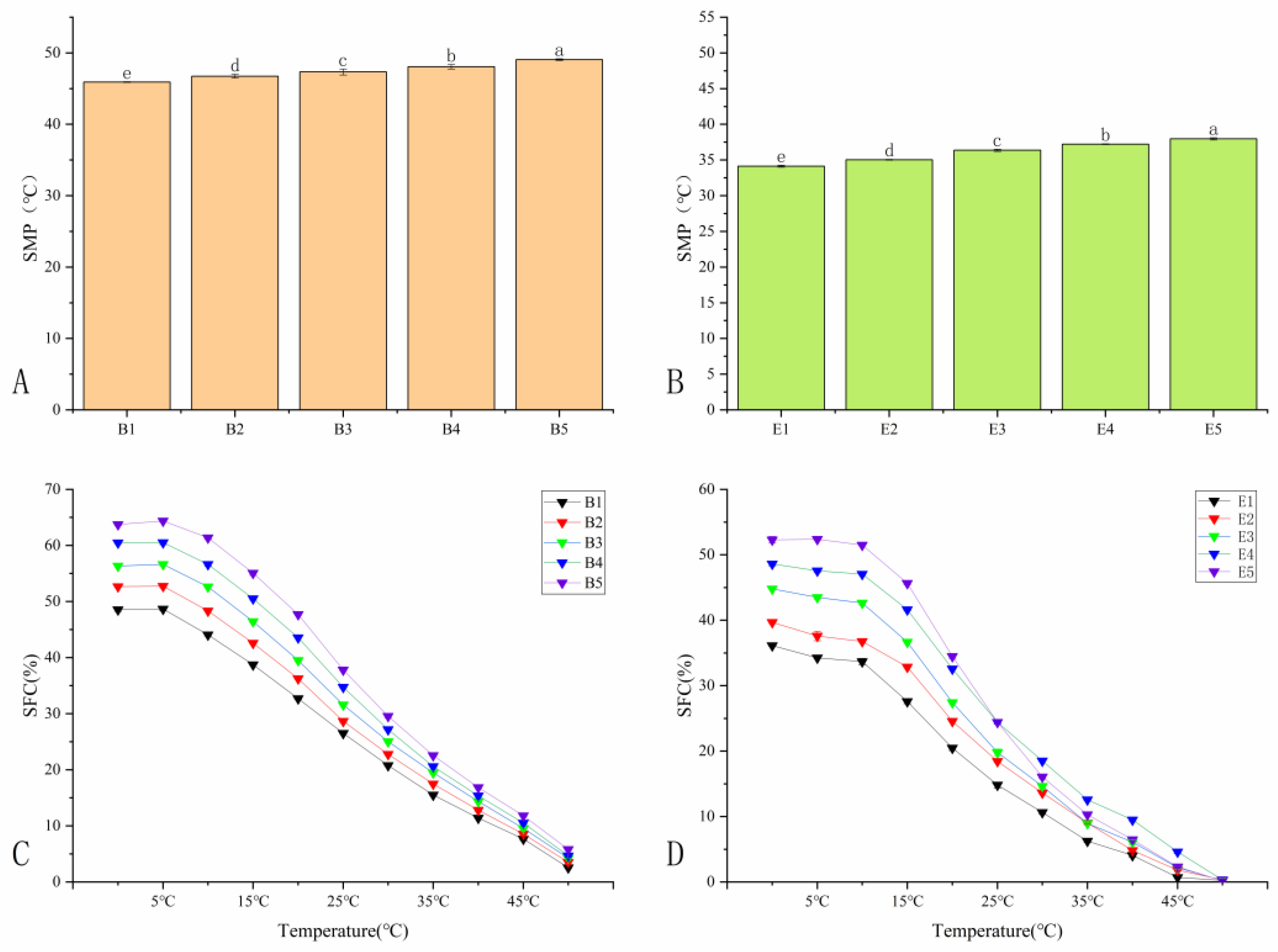
3.4. Slip Melting Point and Solid Fat Content
3.5. Melting and Crystallisation Characteristics
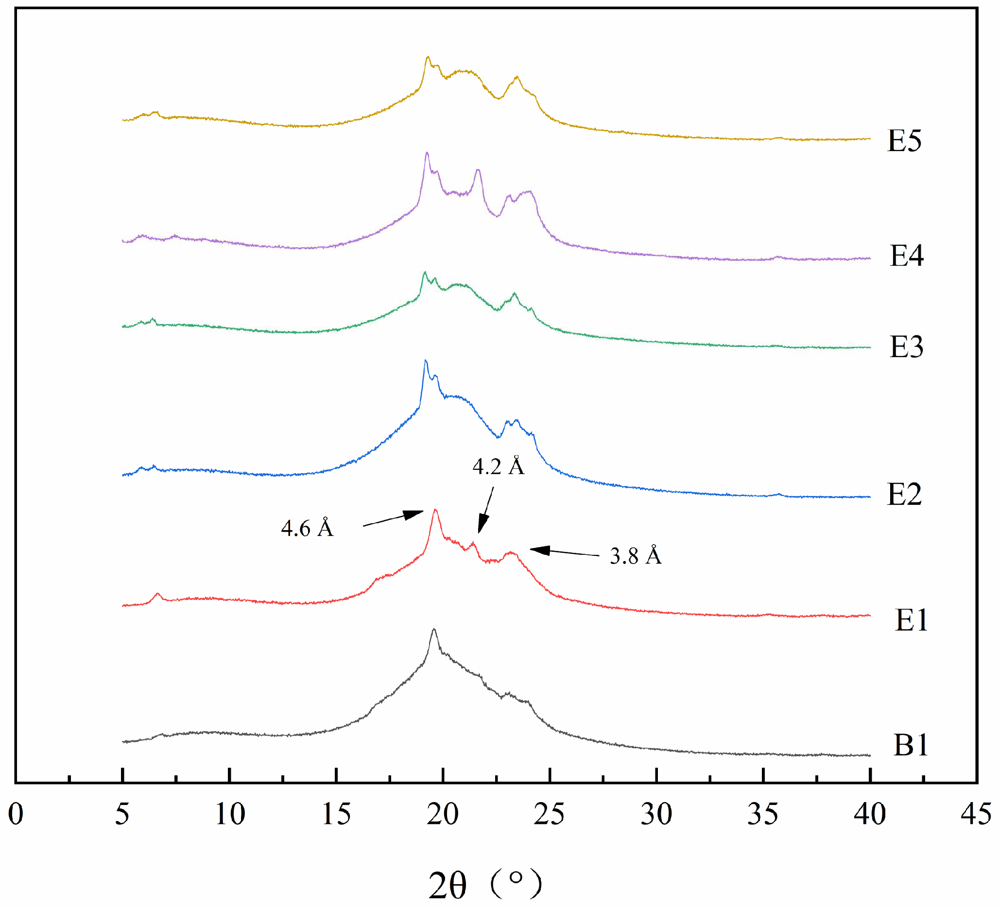
3.6. Polymorphism
4. Conclusions
Author Contributions
Funding
Institutional Review Board Statement
Informed Consent Statement
Data Availability Statement
Conflicts of Interest
References
- Abramovič, H.; Vidrih, R.; Zlatić, E.; Kokalj, D.; Schreiner, M.; Žmitek, K.; Pravst, I. Trans fatty acids in margarines and shortenings in the food supply in Slovenia. J. Food Compos. Anal. 2018, 74, 53–61. [Google Scholar] [CrossRef]
- Paik, J.M.; Mir, S.; Alqahtani, S.A.; Younossi, Y.; Ong, J.P.; Younossi, Z.M. Dietary risks for liver mortality in NAFLD: Global burden of disease data. Hepatol. Commun. 2022, 6, 90–100. [Google Scholar] [CrossRef] [PubMed]
- Pipoyan, D.; Stepanyan, S.; Stepanyan, S.; Beglaryan, M.; Costantini, L.; Molinari, R. The effect of trans fatty acids on human health: Regulation and consumption patterns. Foods 2021, 10, 2452. [Google Scholar] [CrossRef] [PubMed]
- Mirmiran, P.; Hosseini, S.; Hosseinpour-Niazi, S. Hydrogenated vegetable oils and trans fatty acids: Profile and application to diabetes. In Bioactive Food as Dietary Interventions for Diabetes, 2nd ed.; Academic Press: Cambridge, MA, USA, 2019; pp. 19–32. [Google Scholar]
- Li, D.; Zheng, H.; Tong, Y.; Li, Y. Prospective association between trans fatty acid intake and depressive symptoms: Results from the study of women’s health across the nation. JAD 2020, 264, 256–262. [Google Scholar] [CrossRef] [PubMed]
- Reena, M.B.; Reddy, S.R.; Lokesh, B.R. Changes in triacylglycerol molecular species and thermal properties of blended and interesterified mixtures of coconut oil or palm oil with rice bran oil or sesame oil. Eur. J. Lipid Sci. Technol. 2009, 111, 346–357. [Google Scholar] [CrossRef]
- Soares, F.A.S.D.M.; da Silva, R.C.; Hazzan, M.; Capacla, I.R.; Viccola, E.R.; Maruyama, J.M.; Gioielli, L.A. Chemical interesterification of blends of palm stearin, coconut oil, and canola oil: Physicochemical properties. J. Agric. Food Chem. 2012, 60, 1461–1469. [Google Scholar] [CrossRef] [PubMed]
- Lakum, R.; Sonwai, S. Production of trans-free margarine fat by enzymatic interesterification of soy bean oil, palm stearin and coconut stearin blend. Int. J. Food Sci. Technol. 2018, 53, 2761–2769. [Google Scholar] [CrossRef]
- Zhao, M.L.; Hu, J.N.; Zhu, X.M.; Li, H.; Li, J.; Fan, Y.W.; Deng, Z.Y. Enzymatic synthesis of medium-and long-chain triacylglycerols–enriched structured lipid from C innamomum camphora seed oil and camellia oil by L ipozyme RM IM. Int. J. Food Sci. Technol. 2014, 49, 453–459. [Google Scholar] [CrossRef]
- Cui, H.; Li, J.; Xu, X.; Li, J.; Lu, M.; Song, H.; Liu, H. Enzymatic interesterification of beef tallow/coconut oil blends to produce a superior margarine base stock. Int. J. Food Sci. Technol. 2022, 57, 908–919. [Google Scholar] [CrossRef]
- Gerstenberg Kirkeby, P. Innovations in margarines, shortenings and spreads. Lipid Technol. 2011, 23, 83–86. [Google Scholar] [CrossRef]
- Tian, X.; Guo, S.; Zhang, S.; Li, P.; Wang, T.; Ho, C.T.; Bai, N. Chemical characterization of main bioactive constituents in Paeonia ostii seed meal and GC-MS analysis of seed oil. J. Food Biochem. 2020, 44, e13088. [Google Scholar] [CrossRef] [PubMed]
- Kwek, E.; Zhu, H.; Ding, H.; He, Z.; Hao, W.; Liu, J.; Chen, Z.Y. Peony seed oil decreases plasma cholesterol and favorably modulates gut microbiota in hypercholesterolemic hamsters. Eur. J. Nutr. 2022, 61, 2341–2356. [Google Scholar] [CrossRef] [PubMed]
- Xue, L.; Yang, R.; Wang, X.; Ma, F.; Yu, L.; Zhang, L.; Li, P. Comparative advantages of chemical compositions of specific edible vegetable oils. Oil Crop Sci. 2023, 8, 1–6. [Google Scholar] [CrossRef]
- Sarker, S.D.; Whiting, P.; Dinan, L.; Šik, V.; Rees, H.H. Identification and ecdysteroid antagonist activity of three resveratrol trimers (suffruticosols A, B and C) from Paeonia suffruticosa. Tetrahedron 1999, 55, 513–524. [Google Scholar] [CrossRef]
- Wang, S.L.; Ren, X.X.; Xue, J.Q.; Zhang, X.X. Research progress in the competent, function and process technology of peony seed oil. J. Chin. Cereals Oils Assoc. 2016, 31, 139–146. [Google Scholar]
- Wallace, T.C. Health effects of coconut oil—A narrative review of current evidence. J. Am. Coll. Nutr. 2019, 38, 97–107. [Google Scholar] [CrossRef] [PubMed]
- GB 5009.168; The Chinese Food Safety Standards, Standards for Determination of Fatty Acid. National Health and Family Planning Commission of the PRC: Beijing, China, 2016.
- GB 5009.257; The Chinese Food Safety Standards, Standards for Determination of Trans Fatty Acid. National Health and Family Planning Commission of the PRC: Beijing, China, 2016.
- AOCS. Melting Point, Capillary Tube Method. In AOCS Official Methods Cc 1–25; AOCS: Champaign, IL, USA, 2017. [Google Scholar]
- AOCS. Solid Fat Content (SFC) by Low-Resolution Nuclear Magnetic Resonance—The Direct Method. In AOCS Official Method Cd 16b-93; AOCS: Champaign, IL, USA, 1999. [Google Scholar]
- AOCS. Peroxide Value Acetic Acid-Isooctane Method. AOCS Official Method Cd 8b–90; AOCS: Champaign, IL, USA, 2009. [Google Scholar]
- Kadhum, A.A.H.; Shamma, M.N. Edible lipids modification processes: A review. Crit. Rev. 2017, 57, 48–58. [Google Scholar] [CrossRef] [PubMed]
- Bhatt, K.; Av, P.; Musta Agolli, A. Antioxidant, antibacterial, antiviral and antifungal properties of virgin coconut oil (VCO). J. Nutr. Biol. 2021, 7, 458–471. [Google Scholar]
- Naghshi, S.; Aune, D.; Beyene, J.; Mobarak, S.; Asadi, M.; Sadeghi, O. Dietary intake and biomarkers of alpha linolenic acid and risk of all cause, cardiovascular, and cancer mortality: Systematic review and dose-response meta-analysis of cohort studies. BMJ 2021, 375, n2213. [Google Scholar] [CrossRef] [PubMed]
- Singh, P.K.; Chopra, R.; Dhiman, A.; Chuahan, K.; Garg, M. Development of omega-3-rich structured lipids using perilla seed oil and palm olein: Optimization and characterization. Biomass Conv. Bioref. 2023. [Google Scholar] [CrossRef]
- Zhu, T.; Zhao, Y.; Zong, M.; Li, B.; Zhang, X.; Wu, H. Improvement of physical properties of palm stearin and soybean oil blends by enzymatic interesterification and their application in fast frozen food. RSC Adv. 2017, 7, 34435–34441. [Google Scholar] [CrossRef]
- Zhang, Y.; Qing, X.U.; Liu, Y.H.; Zhang, X.S.; Wang, J.; Yu, X.M.; Xue, C.Y. Medium-chain triglyceride activated brown adipose tissue and induced reduction of fat mass in C57BL/6J mice fed high-fat diet. Biomed. Environ. Sci. 2015, 28, 97–104. [Google Scholar]
- Zhou, S.; Wang, Y.; Jacoby, J.J.; Jiang, Y.; Zhang, Y.; Yu, L.L. Effects of medium-and long-chain triacylglycerols on lipid metabolism and gut microbiota composition in C57BL/6J mice. J. Agric. Food Chem. 2017, 65, 6599–6607. [Google Scholar] [CrossRef]
- Karami, H.; Rasekh, M.; Mirzaee-Ghaleh, E. Qualitative analysis of edible oil oxidation using an olfactory machine. J. Food Meas. Charact. 2020, 14, 2600–2610. [Google Scholar] [CrossRef]
- Yang, X.; Han, Z.; Xia, T.; Xu, Y.; Wu, Z. Monitoring the oxidation state evolution of unsaturated fatty acids in four microwave-treated edible oils by low-field nuclear magnetic resonance and 1H nuclear magnetic resonance. LWT 2021, 138, 110740. [Google Scholar] [CrossRef]
- Adhikari, P.; Hu, P.; Yafei, Z. Oxidative stabilities of enzymatically interesterified fats containing conjugated linoleic acid. J. Am. Oil Chem. Soc. 2012, 89, 1961–1970. [Google Scholar] [CrossRef]
- Zhang, Z.; Ye, J.; Lee, W.J.; Akoh, C.C.; Li, A.; Wang, Y. Modification of palm-based oil blend via interesterification: Physicochemical properties, crystallization behaviors and oxidative stabilities. Food Chem. 2021, 347, 129070. [Google Scholar] [CrossRef] [PubMed]
- Adhikari, P.; Shin, J.A.; Lee, J.H.; Hu, J.N.; Zhu, X.M.; Akoh, C.C.; Lee, K.T. Production of trans-free margarine stock by enzymatic interesterification of rice bran oil, palm stearin and coconut oil. J. Sci. Food Agric. 2010, 90, 703–711. [Google Scholar] [CrossRef] [PubMed]
- Li, Y.; Zhao, J.; Xie, X.; Zhang, Z.; Zhang, N.; Wang, Y. A low trans margarine fat analog to beef tallow for healthier formulations: Optimization of enzymatic interesterification using soybean oil and fully hydrogenated palm oil. Food Chem. 2018, 255, 405–413. [Google Scholar] [CrossRef] [PubMed]
- Mayamol, P.N.; Samuel, T.; Balachandran, C.; Sundaresan, A.; Arumughan, C. Zero-trans shortening using palm stearin and rice bran oil. J. Am. Oil Chem. Soc. 2004, 81, 407–413. [Google Scholar] [CrossRef]
- Wassell, P.; Young, N.W. Food applications of trans fatty acid substitutes. Food Sci. Technol. Int. 2007, 42, 503–517. [Google Scholar] [CrossRef]
- Rao, R.; Sankar, K.U.; Sambaiah, K.; Lokesh, B.R. Differential scanning calorimetric studies on structured lipids from coconut oil triglycerides containing stearic acid. Eur. Food Res. Technol. 2001, 212, 334–343. [Google Scholar] [CrossRef]
- Osborn, H.T.; Akoh, C.C. Enzymatically modified beef tallow as a substitute for cocoa butter. J. Food Sci. 2002, 67, 2480–2485. [Google Scholar] [CrossRef]
- Danthine, S.; Lefébure, E.; Trinh, H.N.; Blecker, C. Effect of palm oil enzymatic interesterification on physicochemical and structural properties of mixed fat blends. J. Am. Oil Chem. Soc. 2014, 91, 1477–1487. [Google Scholar] [CrossRef]
- Wang, Y.; Wang, R.; Li, Y.; Zhang, L. Beef tallow/lard blends in O/W emulsions: Characterization of fat crystals, partial coalescence, rheology, and aeration performance. Food Res. Int. 2023, 172, 113140. [Google Scholar] [CrossRef] [PubMed]
- Masuchi, M.H.; Gandra, K.M.; Marangoni, A.L.; de Sá Perenha, C.; Chiu, M.C.; Grimaldi, R.; Gonçalves, L.A.G. Fats from chemically interesterified high-oleic sunflower oil and fully hydrogenated palm oil. JAOCS 2014, 91, 859–866. [Google Scholar] [CrossRef]
- Stahl, M.A.; Buscato, M.H.M.; Grimaldi, R.; Cardoso, L.P.; Ribeiro, A.P.B. Structuration of lipid bases with fully hydrogenated crambe oil and sorbitan monostearate for obtaining zero-trans/low sat fats. Food Res. Int. 2018, 107, 61–72. [Google Scholar] [CrossRef] [PubMed]
- Pang, M.; Ge, Y.; Cao, L.; Cheng, J.; Jiang, S. Physicochemical properties, crystallization behavior and oxidative stabilities of enzymatic interesterified fats of beef tallow, palm stearin and camellia oil blends. J. Oleo Sci. 2019, 68, 131–139. [Google Scholar] [CrossRef] [PubMed]
- Xue, S.S.; Wang, X.R.; Bai, J.; Yang, C.; Wang, M.; Wang, C.M. Preparation of Nutritious Plastic Fat by Interesterification of Lard and Perilla Seed Oil. Food Sci. Technol. 2019, 10, 200–205+211. [Google Scholar]





| FA (%) | PSO | PS | CO | B1 | B2 | B3 | B4 | B5 |
|---|---|---|---|---|---|---|---|---|
| C6:0 | ND | ND | 0.64 ± 0.02 a | ND | ND | ND | ND | ND |
| C8:0 | ND | ND | 8.88 ± 0.40 a | 0.37 ± 0.01 b | 0.41 ± 0.01 b | 0.37 ± 0.02 b | 0.37 ± 0.01 b | 0.43 ± 0.00 b |
| C10:0 | ND | ND | 8.20 ± 0.42 a | 0.40 ± 0.02 b | 0.43 ± 0.02 b | 0.44 ± 0.06 b | 0.42 ± 0.01 b | 0.44 ± 0.00 b |
| C12:0 | ND | 0.17 ±0.01 c | 35.89 ± 0.11 a | 3.69 ± 0.12 b | 3.80 ± 0.13 b | 3.79 ± 0.14 b | 3.90 ± 0.10 b | 3.90 ± 0.03 b |
| C14:0 | 0.05 ± 0.00 d | 1.40 ± 0.03 c | 19.88 ± 1.11 a | 2.26 ± 0.16 b | 2.37 ± 0.08 b | 2.70 ± 0.04 b | 2.82 ± 0.01 b | 2.65 ± 0.04 b |
| C16:0 | 6.69 ± 0.19 g | 48.34 ± 0.12 a | 11.87 ± 0.16 f | 29.94 ± 0.97 e | 32.40 ± 0.60 d | 32.43 ± 1.27 d | 34.15 ± 0.20 c | 36.66 ± 0.40 b |
| C17:0 | ND | 0.18 ± 0.00 a | ND | 0.12 ± 0.01 cd | 0.12 ± 0.02 d | 0.14 ± 0.01 bc | 0.15 ± 0.00 b | 0.14 ± 0.01 bcd |
| C18:0 | 4.58 ± 0.02 e | 8.63 ± 0.13 a | 5.27 ± 0.01 d | 6.45 ± 0.32 c | 6.30 ± 0.05 c | 7.49 ± 0.59 b | 7.63 ± 0.13 b | 7.62 ± 0.06 b |
| C18:1 | 25.05 ± 0.10 e | 33.09 ± 0.21 a | 8.01 ± 0.10 f | 27.24 ± 0.44 d | 27.23 ± 0.21 d | 27.82 ± 0.44 cd | 28.17 ± 0.13 bc | 28.84 ± 0.64 b |
| C18:2 | 26.80 ± 0.58 a | 7.57 ± 0.14 g | 1.23 ± 0.09 h | 14.35 ± 0.11 b | 13.58 ± 0.45 c | 12.73 ± 0.20 d | 11.90 ± 0.04 e | 10.96 ± 0.28 f |
| C18:3 | 36.30 ± 0.31 a | ND | ND | 14.76 ± 0.30 b | 12.95 ± 0.27 c | 11.56 ± 0.38 d | 9.93 ± 0.05 e | 7.87 ± 0.06 f |
| C20:0 | 0.24 ± 0.00 d | 0.62 ± 0.02 a | 0.13 ± 0.01 e | 0.41 ± 0.02 c | 0.40 ± 0.02 c | 0.53 ± 0.09 b | 0.57 ± 0.00 ab | 0.52 ± 0.00 b |
| C22:0 | 0.30 ± 0.00 a | ND | ND | ND | ND | ND | ND | ND |
| ΣUSFA | 88.14 ± 0.17 a | 40.67 ± 0.08 g | 9.24 ± 0.03 h | 56.36 ± 0.64 b | 53.76 ± 0.51 c | 52.11 ± 0.64 d | 49.99 ± 0.04 e | 47.66 ± 0.37 f |
| TAG (%) | PSO | PS | CO | B1 | E1 |
|---|---|---|---|---|---|
| CaCaCa | ND | TD | 2.58 ± 0.12 | 0.17 ± 0.04 | TD |
| CaCaLa | ND | 0.03 ± 0.00 | 17.89 ± 0.59 | 1.82 ± 0.11 | 0.04 ± 0.02 |
| CaLaLa | ND | 0.06 ± 0.02 | 18.85 ± 0.71 | 1.97 ± 0.13 | 0.08 ± 0.03 |
| LnLnLn | 5.61 ± 0.18 | TD | TD | 2.17 ± 0.06 | 0.12 ± 0.01 |
| LnLnL | 4.64 ± 0.15 | TD | TD | 1.67 ± 0.14 | 0.33 ± 0.03 |
| LaLaM | ND | 0.10 ± 0.02 | 22.94 ± 1.09 | 2.05 ± 0.15 | 0.12 ± 0.04 |
| LnLL | 5.94 ± 0.19 | 0.04 ± 0.01 | TD | 2.34 ± 0.10 | 0.94 ± 0.06 |
| LnLnO | 5.90 ± 0.21 | 0.02 ± 0.00 | TD | 2.40 ± 0.09 | 0.92 ± 0.06 |
| LnLnP | 2.71 ± 0.10 | TD | TD | 1.07 ± 0.04 | 1.04 ± 0.04 |
| LaLaO | ND | 0.02 ± 0.01 | 3.96 ± 0.18 | 0.26 ± 0.06 | 0.64 ± 0.04 |
| LaMM | ND | 0.06 ± 0.03 | 13.33 ± 0.44 | 0.93 ± 0.08 | 0.37 ± 0.02 |
| LLL | 5.80 ± 0.13 | 0.11 ± 0.02 | TD | 2.25 ± 0.15 | 0.80 ± 0.05 |
| LnLnS | 1.93 ± 0.09 | TD | TD | 0.62 ± 0.05 | 0.70 ± 0.02 |
| LnLO | 8.98 ± 0.21 | 0.14 ± 0.02 | 0.02 ± 0.00 | 3.56 ± 0.13 | 2.05 ± 0.17 |
| LnLP | 2.30 ± 0.08 | 0.06 ± 0.03 | TD | 0.90 ± 0.06 | 2.55 ± 0.13 |
| PoLL | 0.02 ± 0.00 | 0.02 ± 0.02 | ND | 0.02 ± 0.01 | 0.08 ± 0.04 |
| LaMO | ND | ND | 2.67 ± 0.20 | 0.17 ± 0.05 | 0.47 ± 0.03 |
| LaPM | ND | ND | 8.73 ± 0.31 | 0.58 ± 0.04 | 0.86 ± 0.14 |
| LnLS | 6.43 ± 0.17 | 0.28 ± 0.02 | 0.02 ± 0.01 | 1.18 ± 0.10 | 1.76 ± 0.11 |
| LLO | 8.86 ± 0.22 | 0.42 ± 0.02 | 0.03 ± 0.02 | 3.99 ± 0.29 | 2.52 ± 0.20 |
| LnOO | 7.14 ± 0.15 | 0.20 ± 0.01 | 0.02 ± 0.00 | 3.12 ± 0.20 | 2.67 ± 0.13 |
| LnOP | 3.64 ± 0.15 | 0.66 ± 0.05 | 0.02 ± 0.01 | 1.80 ± 0.12 | 6.54 ± 0.26 |
| LLP | 3.45 ± 0.07 | 1.30 ± 0.11 | 0.03 ± 0.02 | 2.01 ± 0.13 | 3.55 ± 0.11 |
| LaOO | TD | ND | 0.65 ± 0.05 | 0.05 ± 0.02 | 1.40 ± 0.07 |
| LaPO | ND | ND | 1.72 ± 0.13 | 0.14 ± 0.04 | 3.93 ± 0.25 |
| MMO | ND | 0.04 | 1.02 ± 0.09 | 0.08 ± 0.03 | 1.50 ± 0.09 |
| LaPP | ND | ND | 1.81 ± 0.13 | 0.17 ± 0.02 | 3.59 ± 0.23 |
| LOO | 3.57 ± 0.14 | 0.98 ± 0.08 | 0.03 ± 0.02 | 1.60 ± 0.09 | 2.09 ± 0.16 |
| LLS | 2.94 ± 0.09 | 0.22 ± 0.02 | 0.02 ± 0.00 | 0.84 ± 0.05 | 1.33 ± 0.06 |
| LOP | 3.15 ± 0.08 | 7.60 ± 0.54 | 0.16 ± 0.03 | 4.06 ± 0.19 | 6.95 ± 0.15 |
| PoOO | 1.04 ± 0.05 | 2.51 ± 0.15 | 0.05 ± 0.02 | 1.33 ± 0.07 | 2.33 ± 0.08 |
| PPL | 0.53 ± 0.04 | 9.38 ± 0.41 | 0.13 ± 0.01 | 4.42 ± 0.26 | 6.07 ± 0.29 |
| POPo | 0.40 ± 0.04 | 7.02 ± 0.35 | 0.35 ± 0.03 | 3.30 ± 0.26 | 4.30 ± 0.14 |
| MPO | TD | 2.29 ± 0.14 | 0.95 ± 0.08 | 0.97 ± 0.07 | 1.91 ± 0.15 |
| OOO | 4.85 ± 0.12 | 2.36 ± 0.09 | 0.06 ± 0.03 | 2.45 ± 0.11 | 2.19 ± 0.13 |
| SOL | 5.89 ± 0.14 | 2.85 ± 0.22 | 0.08 ± 0.04 | 2.82 ± 0.11 | 2.82 ± 0.20 |
| POO | 1.65 ± 0.07 | 9.25 ± 0.68 | 0.24 ± 0.07 | 4.59 ± 0.20 | 3.60 ± 0.17 |
| PPO | 0.68 ± 0.06 | 26.21 ± 1.07 | 1.05 ± 0.08 | 14.07 ± 0.69 | 12.80 ± 0.49 |
| PPP | ND | 8.68 ± 0.32 | 0.31 ± 0.07 | 11.03 ± 0.29 | 6.72 ± 0.27 |
| SOO | 1.34 ± 0.10 | 2.71 ± 0.11 | 0.06 ± 0.02 | 1.60 ± 0.05 | 1.03 ± 0.08 |
| POS | 0.37 ± 0.04 | 10.00 ± 0.53 | 0.15 ± 0.03 | 4.70 ± 0.18 | 3.28 ± 0.11 |
| SPP | ND | 3.15 ± 0.11 | ND | 3.86 ± 0.14 | 2.46 ± 0.15 |
| SSO | 0.17 ± 0.03 | 0.77 ± 0.04 | 0.02 ± 0.00 | 0.40 ± 0.03 | 0.22 ± 0.03 |
| SSP | 0.03 ± 0.01 | 0.43 ± 0.03 | ND | 0.46 ± 0.03 | 0.31 ± 0.02 |
| SSS | TD | 0.02 ± 0.01 | TD | 0.02 ± 0.01 | 0.02 ± 0.01 |
| S3 | 0.04 ± 0.01 | 12.53 ± 0.39 | 86.44 ± 2.87 | 23.07 ± 1.07 | 14.59 ± 0.52 |
| S2U | 1.76 ± 0.11 | 48.70 ± 1.56 | 11.66 ± 0.38 | 25.21 ± 0.92 | 30.81 ± 2.01 |
| SU2 | 35.83 ± 1.33 | 31.96 ± 0.89 | 1.64 ± 0.05 | 24.82 ± 1.12 | 37.55 ± 1.83 |
| U3 | 62.37 ± 1.42 | 6.80 ± 0.37 | 0.26 ± 0.05 | 26.90 ± 0.78 | 17.05 ± 0.40 |
| MLCT | ND | 0.18 ± 0.04 | 55.80 ± 1.81 | 2.92 ± 0.13 | 11.38 ± 0.36 |
Disclaimer/Publisher’s Note: The statements, opinions and data contained in all publications are solely those of the individual author(s) and contributor(s) and not of MDPI and/or the editor(s). MDPI and/or the editor(s) disclaim responsibility for any injury to people or property resulting from any ideas, methods, instructions or products referred to in the content. |
© 2024 by the authors. Licensee MDPI, Basel, Switzerland. This article is an open access article distributed under the terms and conditions of the Creative Commons Attribution (CC BY) license (https://creativecommons.org/licenses/by/4.0/).
Share and Cite
Zhang, M.; Xu, B.; Zhao, D.; Shen, M.; Li, M.; Liu, D.; Liu, L. Production of Margarine Fat Containing Medium- and Long-Chain Triacylglycerols by Enzymatic Interesterification of Peony Seed Oil, Palm Stearin and Coconut Oil Blends. Foods 2024, 13, 1405. https://doi.org/10.3390/foods13091405
Zhang M, Xu B, Zhao D, Shen M, Li M, Liu D, Liu L. Production of Margarine Fat Containing Medium- and Long-Chain Triacylglycerols by Enzymatic Interesterification of Peony Seed Oil, Palm Stearin and Coconut Oil Blends. Foods. 2024; 13(9):1405. https://doi.org/10.3390/foods13091405
Chicago/Turabian StyleZhang, Man, Baocheng Xu, Dongkun Zhao, Mengqi Shen, Mengjie Li, Donghao Liu, and Lili Liu. 2024. "Production of Margarine Fat Containing Medium- and Long-Chain Triacylglycerols by Enzymatic Interesterification of Peony Seed Oil, Palm Stearin and Coconut Oil Blends" Foods 13, no. 9: 1405. https://doi.org/10.3390/foods13091405
APA StyleZhang, M., Xu, B., Zhao, D., Shen, M., Li, M., Liu, D., & Liu, L. (2024). Production of Margarine Fat Containing Medium- and Long-Chain Triacylglycerols by Enzymatic Interesterification of Peony Seed Oil, Palm Stearin and Coconut Oil Blends. Foods, 13(9), 1405. https://doi.org/10.3390/foods13091405

