Sign in to use this feature.

Years

Between: -

Subjects

remove_circle_outline
remove_circle_outline
remove_circle_outline
remove_circle_outline
remove_circle_outline
remove_circle_outline
remove_circle_outline
remove_circle_outline
remove_circle_outline

Journals

remove_circle_outline
remove_circle_outline
remove_circle_outline
remove_circle_outline
remove_circle_outline

Article Types

Countries / Regions

remove_circle_outline
remove_circle_outline
remove_circle_outline
remove_circle_outline

Search Results (322)

Search Parameters:
Keywords = kriging regression

Order results
Result details
Results per page
Select all
Export citation of selected articles as:
28 pages, 3437 KB  
Article
Uncertainty of Temporal and Spatial δ2H Interpolation on Young Water Fraction Estimates Using the StorAge Selection Function in Subtropical Mountain Catchments
by Jui-Ping Chen, Yi-Chin Chen, Jun-Yi Lee, Li-Chi Chiang, Fi-John Chang and Jr-Chuan Huang
Water 2026, 18(8), 958; https://doi.org/10.3390/w18080958 - 17 Apr 2026
Viewed by 327
Abstract
Water age reflects water sources, storage, and pathways, and regulates the solute retention and dissolution associated with biogeochemical processes, highlighting its hydrological and ecological importance. However, accurate water age estimation in tracer-aided models depends heavily on the quality and spatio-temporal resolution of precipitation [...] Read more.
Water age reflects water sources, storage, and pathways, and regulates the solute retention and dissolution associated with biogeochemical processes, highlighting its hydrological and ecological importance. However, accurate water age estimation in tracer-aided models depends heavily on the quality and spatio-temporal resolution of precipitation isotopic signals. This study investigates how distributed rainfall δ2H signals affect the simulation of young water fraction (Fyw) via the Storage Age Selection (SAS) model in topographically complex subtropical mountain catchments. Eight precipitation δ2H scenarios were generated using two temporal approaches (stepwise and sinewave) and four spatial interpolation methods: (1) raw data, (2) reversed effective recharge elevation method (rERE), (3) linear regression with elevation (ER), and (4) regression-kriging (RK). Later on, the time-variant SAS model was calibrated against observed stream water δ2H collected from the year 2022 to the year 2024. Results show that the SAS model consistently produced similar Fyw estimates for catchments (8%~40%) across all eight scenarios, demonstrating strong robustness to input uncertainty and validating the dominant role of catchment characteristics in regulating water age. The combined stepwise temporal and rERE spatial approach provided better agreement with observed stream δ2H, particularly in the eastern, steeper catchments, yielding superior model efficiency along with better constrained uncertainty. This study highlights the sensitivity of age-tracking models to precipitation isotopic inputs and provides practical guidance for selecting an interpolation strategy in data-limited mountainous environments. Full article
(This article belongs to the Section Hydrology)
Show Figures

Graphical abstract

12 pages, 2787 KB  
Article
Prenatal Fine Particulate Matter (PM2.5) Exposure and the Risk of Pediatric Inguinal Hernia or Hydrocele: A Retrospective Cohort Study
by Eun Jung Kim, Jin-Gon Bae and Eun-jung Koo
J. Clin. Med. 2026, 15(8), 3089; https://doi.org/10.3390/jcm15083089 - 17 Apr 2026
Viewed by 224
Abstract
Background/Objectives: Inguinal hernia and hydrocele are common pediatric surgical conditions resulting from failed obliteration of the processus vaginalis during fetal development. Although prenatal exposure to fine particulate matter (PM2.5) has been linked to adverse perinatal outcomes and congenital anomalies, its role in [...] Read more.
Background/Objectives: Inguinal hernia and hydrocele are common pediatric surgical conditions resulting from failed obliteration of the processus vaginalis during fetal development. Although prenatal exposure to fine particulate matter (PM2.5) has been linked to adverse perinatal outcomes and congenital anomalies, its role in structurally defined pediatric surgical diseases remains unclear. We examined the association between maternal PM2.5 exposure during pregnancy and the risk of inguinal hernia or hydrocele in offspring. Methods: We performed a retrospective cohort study of 1093 mother–offspring pairs delivering at a tertiary referral center (July 2016–June 2019). Monthly residential PM2.5 levels were estimated at geocoded maternal addresses using kriging interpolation from fixed-site monitoring stations. Offspring diagnosed with inguinal hernia or hydrocele through March 2024 were identified using ICD-10 codes. Perinatal characteristics were compared using t-tests and chi-square tests, and multivariable logistic regression assessed trimester-specific PM2.5 exposure and risk. Results: During follow-up, 53 offspring (4.85%) developed inguinal hernia or hydrocele. Male sex (odds ratio [OR], 24.71; 95% CI, 5.95–102.54; p < 0.001) and second-trimester PM2.5 exposure (OR, 1.07 per µg/m3; 95% CI, 1.01–1.14; p = 0.028) were independent risk factors. A dose–response pattern was observed across quartiles of second-trimester exposure; an interquartile range increase was associated with a 64% higher risk (OR, 1.64). The model showed good discrimination (AUC, 0.804). Conclusions: Elevated maternal PM2.5 exposure during the second trimester was independently associated with increased risk of inguinal hernia or hydrocele in offspring. Prenatal air pollution may contribute to persistence of the processus vaginalis and represents a potentially modifiable environmental risk factor. Full article
(This article belongs to the Section Obstetrics & Gynecology)
Show Figures

Graphical abstract

26 pages, 12932 KB  
Article
Accurate Regional Above-Ground Biomass Mapping: Canopy Height-Constrained Upscaling from In Situ to Satellite Data
by Qiyu Guo, Jinbao Jiang, Xiaojun Qiao, Kangning Li, Xuzhe Yan and Yinpeng Zhao
Remote Sens. 2026, 18(8), 1170; https://doi.org/10.3390/rs18081170 - 14 Apr 2026
Viewed by 331
Abstract
Accurate estimation of forest above-ground biomass (AGB) is essential for quantifying forest carbon stocks and supporting regional carbon accounting. However, regional AGB mapping requires the integration of field observations with satellite data, and the associated scale transformation often causes the loss of spatial [...] Read more.
Accurate estimation of forest above-ground biomass (AGB) is essential for quantifying forest carbon stocks and supporting regional carbon accounting. However, regional AGB mapping requires the integration of field observations with satellite data, and the associated scale transformation often causes the loss of spatial detail and reduced estimation consistency. To address this issue, this study proposes a forest canopy height-constrained area-to-area regression kriging (CCAM) method for upscaling UAV-derived AGB and generating a high-precision wall-to-wall AGB map for artificial forests in the sandy lands of northwest Liaoning Province, China. The framework integrates RFE-SVM-based feature selection, XGBoost-based UAV-AGB modeling, and CHM-constrained residual correction within a Regression-then-Kriging (R-K) strategy, while also evaluating the effects of moving-window size, scale transition, and the order of regression and kriging on upscaling performance. The results showed that the reconstructed UAV-AGB model achieved the highest accuracy, with R2 = 0.91 and rRMSE = 0.12, providing a reliable 0.1 m AGB baseline for subsequent upscaling. Among the tested moving-window sizes, the 7×7 window was identified as optimal. Under this setting, CCAM achieved R2 = 0.81 and rRMSE = 0.08, substantially outperforming direct GF-2-based estimation (R2 = 0.49, rRMSE = 0.24). The final 2 m regional AGB map further attained a validation accuracy of R2 = 0.79 and rRMSE = 0.18. These results demonstrate that CCAM can effectively preserve fine-scale UAV-derived biomass information during scale transformation and provide a reliable pathway for linking UAV and satellite observations in regional forest AGB mapping. Full article
Show Figures

Figure 1

32 pages, 13617 KB  
Article
Reliability Analysis of Turbine Blade–Disk Dovetail Joints Considering Failure Correlation
by Shaohua Wang, Hua Yuan, Xi Liu, Rongqiao Wang, Gaoxiang Chen and Dianyin Hu
Crystals 2026, 16(4), 257; https://doi.org/10.3390/cryst16040257 - 11 Apr 2026
Viewed by 216
Abstract
The service environment of the turbine blade–disk dovetail joint structure in aero-engines is complex. Uncertainties in material properties and geometry, as well as the failure correlations among multiple locations or components, make reliability assessment challenging. First, a probabilistic life modeling method based on [...] Read more.
The service environment of the turbine blade–disk dovetail joint structure in aero-engines is complex. Uncertainties in material properties and geometry, as well as the failure correlations among multiple locations or components, make reliability assessment challenging. First, a probabilistic life modeling method based on linear heteroscedastic regression is proposed, and the Manson–Coffin probabilistic life models of DD6 and FGH96 alloys at 650 °C are established. Then, the Copula function is introduced to characterize the failure dependence structure, and the effectiveness of the method is verified through numerical examples. Fatigue-critical locations of the dovetail are identified, and a Kriging surrogate model is established to obtain the probabilistic stress distribution at the critical locations. Subsequently, the Copula method is employed to conduct reliability analysis of dovetail structures. The results show that the reliability of multiple dovetails considering correlation lies between that of a single dovetail and that under the assumption of complete independence. Moreover, the life of the entire disk dovetail structure is significantly influenced by the number of dovetails and the required reliability level. Finally, the study is extended to the blade–disk dovetail multi-component system. The results indicate that when correlation is considered, the reliability of both components decreases, and the overall structural life is dominated by the dovetail component with the lower life. The analytical method proposed in this paper provides theoretical support and engineering reference for the reliability design and life assessment of aero-engine rotor structures. Full article
(This article belongs to the Special Issue Fatigue and Fracture of Crystalline Metal Structures)
Show Figures

Figure 1

23 pages, 2761 KB  
Article
Spatial Modelling of Soil Quality Index Using Regression–Kriging and Delineation of Nutrient Management Zones in High-Andean Quinoa Fields, Southern Peru
by Nestor Cuellar-Condori, Sharon Mejia, Robert Quiñones, Ruth Mercado, Ali Cristhian, Karla Chávez-Zea, Elvis Ccosi, Madeleiny Cahuide and Kenyi Quispe
Agronomy 2026, 16(7), 680; https://doi.org/10.3390/agronomy16070680 - 24 Mar 2026
Viewed by 866
Abstract
The pronounced heterogeneity of high-Andean soils constitutes a critical constraint to the sustainable productivity of quinoa in southern Peru, where current yields (1.6 t ha−1) remain well below potential (>5 t ha−1). This study aimed to develop a spatially [...] Read more.
The pronounced heterogeneity of high-Andean soils constitutes a critical constraint to the sustainable productivity of quinoa in southern Peru, where current yields (1.6 t ha−1) remain well below potential (>5 t ha−1). This study aimed to develop a spatially predictive model of a weighted soil quality index (SQIw), the edaphic supply of nitrogen (N), phosphorus (P) and potassium (K), and the agricultural gypsum requirement by integrating edaphoclimatic covariates through regression–kriging. A total of 198 quinoa-cultivated soil samples were analysed; a minimum data set (MDS) was defined using correlation and principal component analyses, and regression–kriging was applied to map SQIw and the variables of interest. The MDS comprised electrical conductivity (EC), organic matter (OM), available P, exchangeable Na, sand, clay, and effective cation exchange capacity (ECEC); exchangeable Na (Wi = 0.160) and available P (Wi = 0.158) received the largest weights in the SQIw. SQIw values ranged from 0.22 to 0.84 and supported a five-class soil quality taxonomy; spatial modelling revealed a dominance of moderate-quality soils across the territory (85.21% of the agricultural area, 13,461.19 ha). The model achieved R2 = 0.56, RMSE = 0.05, and MAE = 0.04 for SQIw. Most of the area (12,175.65 ha; 77%) exhibited an intermediate gypsum requirement (9.73–14.33 t ha−1). Nitrogen and phosphorus showed the greatest territorial limitations, whereas potassium was largely non-limiting (84.82–570.17 kg ha−1). These results indicate that sodicity and N–P deficiencies are the primary functional constraints; the generated maps enable prioritisation of gypsum amendments and targeted variable-rate fertilisation strategies to optimise the sustainability of quinoa production in the Altiplano. Full article
Show Figures

Figure 1

31 pages, 5995 KB  
Article
First Predictive Mapping of Persistent Organic Pollutants in Mosses Across Germany, 2020
by Stefan Nickel, Winfried Schröder and Annekatrin Dreyer
Atmosphere 2026, 17(3), 263; https://doi.org/10.3390/atmos17030263 - 28 Feb 2026
Viewed by 310
Abstract
Persistent organic pollutants (POPs) are globally distributed toxic contaminants. Since 1990, mosses have been used in the UNECE European Moss Survey as cost-effective biomonitors of atmospheric deposition. This study provides the first predictive maps of POP concentrations in mosses, revealing nationwide contamination patterns [...] Read more.
Persistent organic pollutants (POPs) are globally distributed toxic contaminants. Since 1990, mosses have been used in the UNECE European Moss Survey as cost-effective biomonitors of atmospheric deposition. This study provides the first predictive maps of POP concentrations in mosses, revealing nationwide contamination patterns across Germany. As a case study within the Moss Survey, predictive models were built from POP concentrations measured at 21 sites in 2020 and combined with environmental and land-use data. Random Forest analyses explained more than 20% of the variance for seven of eleven POP groups, yielding robust spatial estimates, particularly for PAH, BDE 209, and DBDPE, despite moderate systematic differences. Explanatory power was limited for PCDD/F, PCDD/F TEQ values, DPTE, and HBBz, while HBCD, PBDE, DP, and PBT showed a moderate performance. A comparison with geostatistical reference maps indicated moderate to good concordance, though regional uncertainties persisted. Industrialized regions such as North Rhine–Westphalia, Rhine Neckar, Halle/Leipzig, and Saarland emerged as consistent hotspots, whereas rural and forested areas showed lower contamination. The findings highlight the value of moss surveys for spatial POP assessment and underscore the need for additional predictors, especially atmospheric deposition, and for integrating Random Forest models with geostatistical approaches such as regression kriging to enhance predictive accuracy. Full article
(This article belongs to the Special Issue Biomonitoring Air Pollution for a Healthier Planet)
Show Figures

Figure 1

22 pages, 5982 KB  
Article
Geodetector–Geographically Weighted Regression Integrated Analysis of Factors Controlling Selenium Distribution in Farmland Topsoil: A Case Study of Xin’an Town (Linli County, Hunan, China)
by Siyu Guo, Bo Duan, Junbo Ren, Xianfa Ma, Zhijia Lin, Bo Song, Yujie He, Xinyang Li and Djido Abdelkerim-Ouba
Agriculture 2026, 16(5), 529; https://doi.org/10.3390/agriculture16050529 - 27 Feb 2026
Viewed by 347
Abstract
Selenium (Se) is an essential trace element for humans, and agricultural soils are a major source of dietary Se. Therefore, identifying the key environmental drivers of Se in farmland is crucial for evaluating the resource base for Se-rich agriculture and improving human health. [...] Read more.
Selenium (Se) is an essential trace element for humans, and agricultural soils are a major source of dietary Se. Therefore, identifying the key environmental drivers of Se in farmland is crucial for evaluating the resource base for Se-rich agriculture and improving human health. Although soil Se distribution and its controlling factors have been widely investigated, quantitative assessments of soil Se in small-scale farmland systems under humid monsoon conditions remain limited. Sampling sites were designed to represent different geological types, soil types, and topography, and 314 farmland topsoil (0–20 cm) samples were collected. Total Se was determined after complete HNO3–HClO4 wet digestion and quantified by HG–AFS (AFS–830), with certified reference materials showing recoveries of 95.3–101.2%. The spatial patterns were mapped using ordinary kriging. Geographically weighted regression (GWR) and Geodetector were used to explore the impact of environmental factors (geological type, precipitation, etc.) on soil Se from both local and overall perspectives. The findings reveal a mean total soil Se of 1.76 mg/kg (95% CI: 1.540–1.974), and 91.40% (n = 287) of soil samples were classified as Se-rich (0.4–3 mg/kg). Organic matter (OM), elevation, slope, and the topographic wetness index (TWI) exhibited non-stationary spatial relationships with Se. The spatial variation trend of precipitation corresponds with the local R2 values between Se and elevation, indicating that precipitation may strengthen the association between elevation and Se distribution. Geological type and rainfall were identified as key driving factors affecting soil Se content within the study area, particularly through their interactions with OM. Overall, the synergistic effects of geological type, precipitation, and OM are responsible for the accumulation of Se in the agricultural soils of Xin’an Town. Full article
(This article belongs to the Section Agricultural Soils)
Show Figures

Graphical abstract

25 pages, 4245 KB  
Article
Comprehensive Early Alert and Adaptive Local Response Framework for Wildfire Risk in Transmission Line Corridors Using Coupled Global Factors in Power System
by Tianliang Xue, Chengsi Xiang, Xi Chen and Lei Zhang
Processes 2026, 14(5), 752; https://doi.org/10.3390/pr14050752 - 25 Feb 2026
Viewed by 286
Abstract
Escalating global climate change has intensified the frequency and scale of wildfires in mountainous regions hosting transmission line infrastructure. These conflagrations act as extreme meteorological events, capable of generating localized heatwaves that compromise the air insulation of power lines and trigger protective relay [...] Read more.
Escalating global climate change has intensified the frequency and scale of wildfires in mountainous regions hosting transmission line infrastructure. These conflagrations act as extreme meteorological events, capable of generating localized heatwaves that compromise the air insulation of power lines and trigger protective relay operations, thereby posing systemic threats to regional grid stability. To enhance wildfire early-warning efficacy for grid security, this study formulates wildfire early warning for power transmission corridors as a regression-based risk prediction problem and proposes a hierarchical “global screening–local refinement” risk assessment framework. The primary contribution of this study lies in the integration of a machine-learning-based global wildfire risk screening model with tower-level spatial refinement using geographically weighted regression (GWR), enabling coordinated global–local wildfire risk characterization along power transmission corridors The framework employs a predictive model built on a Gradient Boosting Decision Tree algorithm, integrating geospatial and statistical analyses. A global risk model, utilizing historical data from the Himawari-8 satellite alongside meteorological, topographic, and anthropogenic variables, produces a composite risk index. This index is spatially interpolated via Kriging to generate stratified wildfire risk maps for broad-area assessment. For precise corridor-level analysis, these Globally Projected Risk Indices, along with localized terrain features, inter-tower clearance distances, and proximity to historical ignition points, are incorporated into a Geographically Weighted Regression model. This yields a spatially calibrated wildfire risk index along critical routes. The results show that the GBDT-based model achieved the best predictive performance among the evaluated regression models, with an R2 of 0.626 and a mean squared error of 0.178. This approach offers a scientifically robust and operationally viable reference for wildfire prevention strategies in power line maintenance. Full article
Show Figures

Figure 1

23 pages, 4500 KB  
Article
Spatial Modelling of Soil Quality and Lime Requirement for Precision Management in Humid Tropical Coffee Systems
by Henry Diaz-Chuquizuta, Sharon Mejia, Ruth Mercado, Michell K. Arroyo-Julca, Ruddy Ore, Percy Diaz-Chuquizuta, Luis Fernando Manrique Gonzales, Martín Sánchez-Ojanasta and Kenyi Quispe
AgriEngineering 2026, 8(3), 79; https://doi.org/10.3390/agriengineering8030079 - 25 Feb 2026
Viewed by 438
Abstract
Soil heterogeneity and acidity are major constraints to Coffea arabica production in the Amazonian soils of Peru. This study developed a spatial predictive framework that integrates a weighted Soil Quality Index (SQIw) and geostatistical modelling (Regression–Kriging and Ordinary Kriging) to estimate lime requirements [...] Read more.
Soil heterogeneity and acidity are major constraints to Coffea arabica production in the Amazonian soils of Peru. This study developed a spatial predictive framework that integrates a weighted Soil Quality Index (SQIw) and geostatistical modelling (Regression–Kriging and Ordinary Kriging) to estimate lime requirements (LRs) and delineate management zones. A total of 69 coffee-cultivated soil samples were analysed, and spectral information (NDVI) was incorporated to estimate relative yield (RR). Multivariate analysis defined a Minimum Data Set (MDS) composed of exchangeable Na, available P, pH and silt percentage; the highest weights were assigned to P (Wi = 0.292) and pH (Wi = 0.276). SQIw exhibited wide variability (0.01–0.87; CV = 51.8%) and was grouped into five classes, with low (43.5%)- and very low (21.7%)-quality classes predominating. SQIw showed a strong relationship with RR (r = 0.64). Geostatistical models performed differently between localities: in Nuevo Huancabamba, Regression–Kriging improved prediction accuracy (SQIw: R2 = 0.58; LR: R2 = 0.396), whereas in San José de Sisa, Ordinary Kriging provided better fits only for LRs (R2 = 0.32). Nuevo Huancabamba is dominated by moderate-to-high-quality soils (87.29%; SQIw > 0.6) and low lime requirements (74.94%; <0.84 t ha−1), in contrast with San José de Sisa, where low-quality soils prevail (89.45%; SQIw < 0.4) alongside high LRs (75.26%; 2.54–7.13 t ha−1). The resulting maps enable targeted interventions—precision liming and focused P fertilisation—to correct acidity and phosphorus deficiency, thereby improving input-use efficiency and enhancing the sustainability of Amazonian coffee systems. Full article
Show Figures

Figure 1

23 pages, 6233 KB  
Article
Spatially Optimized Multi-Level Modeling of Housing Price Differentiation and Resource Allocation Strategies
by Zihan Xu, Yuze Dan and Jiaxin Zhang
Buildings 2026, 16(4), 770; https://doi.org/10.3390/buildings16040770 - 13 Feb 2026
Viewed by 319
Abstract
China’s rapid urbanization has intensified its intra-urban differentiation, with housing prices increasingly reflecting the uneven distribution of public resources and development opportunities. Taking Nanchang as a case study, this study examines the spatial structure of housing prices and the heterogeneity of their driving [...] Read more.
China’s rapid urbanization has intensified its intra-urban differentiation, with housing prices increasingly reflecting the uneven distribution of public resources and development opportunities. Taking Nanchang as a case study, this study examines the spatial structure of housing prices and the heterogeneity of their driving mechanisms. By comparing ordinary least squares and geographically weighted regression models, we identify a strong spatial non-stationarity in the determinants of housing prices, with key factors exhibiting location-dependent effects and, in some cases, directional reversals. To enhance spatial interpretation, Kriging interpolation is applied to local coefficients, revealing continuous spatial gradients in the factors’ influence. Building on these findings, a capitalization potential index is simulated under standardized resource-improvement scenarios to diagnose potential mismatches between market price responsiveness and spatial equity. The results indicate that areas with high capitalization potential often coincide with relatively low housing prices, suggesting a structural misalignment between market efficiency and spatial equity. This study contributes to a deeper understanding of housing price spatial heterogeneity and provides insights for promoting spatial equity and sustainable urban development. Full article
(This article belongs to the Section Architectural Design, Urban Science, and Real Estate)
Show Figures

Figure 1

39 pages, 7508 KB  
Article
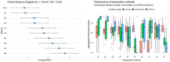
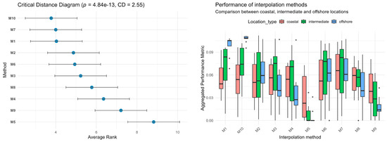
The Effects of Offshore Wind Interpolation Methods on Wind Power Density and Energy Assessment
by Takvor Soukissian and Vasilis Apostolou
Energies 2026, 19(4), 971; https://doi.org/10.3390/en19040971 - 12 Feb 2026
Viewed by 509
Abstract
This work assesses the performance of different spatial interpolation methods (inverse distance weighting/IDW family, nearest neighbour, linear interpolation, natural neighbour, and spherical kriging) for the preliminary wind energy assessment and the estimation of wind speed and direction from numerical models that constitute key [...] Read more.
This work assesses the performance of different spatial interpolation methods (inverse distance weighting/IDW family, nearest neighbour, linear interpolation, natural neighbour, and spherical kriging) for the preliminary wind energy assessment and the estimation of wind speed and direction from numerical models that constitute key factors in early-stage feasibility studies for offshore wind farm (OWF) development. Using the CERRA reanalysis dataset over the Mediterranean Sea, long-term measurements from 31 buoys have been used as ground truth data, and the methods’ performance was evaluated through multiple statistical metrics and a weighted aggregated performance metric (WAPM). To ensure statistically robust comparisons, the non-parametric Friedman and Nemenyi tests were applied, along with the Aligned Rank Transform ANOVA to examine interactions between performance and distance from shore. The numerical results suggest that for wind power density and energy production, inverse distance weighted regression (IDW-R) and natural neighbour perform better than the rest of the interpolation methods and should be considered for assessing wind energy characteristics of candidate areas for OWF development. The same methods perform best for wind speed interpolation, while IDW-R and IDW0 (mean of four) perform best for wind direction. One of the most important advantages of the IDW-R is that it reduces local bias and improves accuracy due to the embedded linear regression framework, while its interpolation quality is superior when the available data points are limited. Overall, the numerical results clearly suggest that the selection of an appropriate interpolation method can significantly reduce errors in the preliminary estimation of the available wind power and projected offshore energy production. Full article
(This article belongs to the Section A3: Wind, Wave and Tidal Energy)
Show Figures

Figure 1

31 pages, 18140 KB  
Article
Mapping Soil Trace Metals Using VIS–NIR–SWIR Spectroscopy and Machine Learning in Aligudarz District, Western Iran
by Saeid Pourmorad, Samira Abbasi and Luca Antonio Dimuccio
Remote Sens. 2026, 18(3), 465; https://doi.org/10.3390/rs18030465 - 1 Feb 2026
Viewed by 1255
Abstract
Detecting trace metals in soil across geologically diverse terrains remains challenging due to complex mineral–metal interactions and the limited spatial coverage of traditional geochemical tests. This study develops a scalable VIS–NIR–SWIR spectroscopy and machine learning (ML) framework to predict and map soil concentrations [...] Read more.
Detecting trace metals in soil across geologically diverse terrains remains challenging due to complex mineral–metal interactions and the limited spatial coverage of traditional geochemical tests. This study develops a scalable VIS–NIR–SWIR spectroscopy and machine learning (ML) framework to predict and map soil concentrations of Cr, As, Cu, and Cd in the Aligudarz District, located within the geotectonically complex Sanandaj–Sirjan Zone of western Iran. Laboratory reflectance spectra (~350–2500 nm) obtained from 110 soil samples were pre-processed using derivative filtering, scatter-correction techniques, and genetic algorithm (GA)-based wavelength optimisation to enhance diagnostic absorption features linked to Fe-oxides, clay minerals, and carbonates. Multiple ML-based approaches, including artificial neural networks (ANNs), support vector regression (SVR), and partial least squares regression (PLSR), as well as stepwise multiple linear regression (SMLR), were compared using nested, spatial, and external validation. Nonlinear models, particularly ANNs, exhibited the highest predictive accuracy, with strong generalisation confirmed via an independent test set. GA-selected wavelengths and derivative-enhanced spectra revealed mineralogical controls on metal retention, confirming that spectral predictions reflect underlying geological processes. Ordinary kriging of spectral-ML residuals generated spatially consistent metal-distribution maps that aligned well with local and regional geological features. The integrated framework demonstrates high predictive accuracy and operational scalability, providing a reproducible, field-ready method for rapid geochemical assessment. The findings highlight the potential of VIS–NIR–SWIR spectroscopy, combined with advanced modelling and geostatistics, to support environmental monitoring, mineral exploration, and risk assessment in geologically complex terrains. Full article
Show Figures

Figure 1

40 pages, 8586 KB  
Article
An Integrated Geotechnical Ground–HAZUS Framework for Urban Seismic Vulnerability Assessment in Seoul, Korea
by Han-Saem Kim and Ju-Hyung Lee
Appl. Sci. 2026, 16(3), 1349; https://doi.org/10.3390/app16031349 - 29 Jan 2026
Viewed by 469
Abstract
This study presents an integrated framework that couples three-dimensional geotechnical ground modeling with a HAZUS-based urban seismic vulnerability assessment for Seoul, Korea. Over 63,000 boreholes, in situ seismic tests, and building inventory records were compiled into a unified relational database following rigorous multi-stage [...] Read more.
This study presents an integrated framework that couples three-dimensional geotechnical ground modeling with a HAZUS-based urban seismic vulnerability assessment for Seoul, Korea. Over 63,000 boreholes, in situ seismic tests, and building inventory records were compiled into a unified relational database following rigorous multi-stage quality control. A multi-parameter NVs regression model was calibrated to supplement missing shear-wave velocity (Vs) data, reducing prediction errors by more than 20% relative to conventional empirical equations. Based on the quality-controlled Vs dataset, a high-resolution three-dimensional Vs–ground model was constructed to represent subsurface heterogeneity and associated uncertainty across the metropolitan area. The building inventory, comprising approximately 700,000 structures, was standardized according to the HAZUS structural taxonomy and mapped to Korean seismic design eras, enabling a Seoul-adapted vulnerability assessment in which exposure characterization and seismic demand are localized. Site-specific ground-motion amplification and response spectra derived from the 3D ground model were used to modify the spectral acceleration input to the HAZUS fragility functions. Results reveal pronounced spatial variability in site conditions, with northern mountainous zones corresponding primarily to NEHRP Site Class B, central districts to Class C, and southern alluvial basins to Classes D–E, producing amplification differences of up to 1.7 under identical input spectral accelerations. High-risk zones such as Gangnam, Songpa, and Yeouido exhibit concentrated expected damage where thick alluvial deposits coincide with dense stocks of mid-rise reinforced-concrete buildings. Overall, the study demonstrates that integrating high-resolution 3D geotechnical ground models with HAZUS-based fragility analysis provides a physically consistent and data-driven basis for urban-scale seismic risk assessment and resilience planning. Full article
(This article belongs to the Special Issue Soil Dynamics and Earthquake Engineering)
Show Figures

Figure 1

27 pages, 3407 KB  
Article
The iPSM-SD Framework: Enhancing Predictive Soil Mapping for Precision Agriculture Through Spatial Proximity Integration
by Peng-Tao Guo, Wen-Tao Li, Mao-Fen Li, Pei-Sheng Yan, Yan Liu and Ju Zhao
Agronomy 2026, 16(2), 231; https://doi.org/10.3390/agronomy16020231 - 18 Jan 2026
Viewed by 391
Abstract
A key challenge in precision agriculture is acquiring reliable spatial soil information under varying sampling densities, from sparse surveys to intensive monitoring. The individual predictive soil mapping (iPSM) method performs well in data-scarce conditions but neglects spatial proximity, limiting its predictive accuracy where [...] Read more.
A key challenge in precision agriculture is acquiring reliable spatial soil information under varying sampling densities, from sparse surveys to intensive monitoring. The individual predictive soil mapping (iPSM) method performs well in data-scarce conditions but neglects spatial proximity, limiting its predictive accuracy where spatial autocorrelation exists. To overcome this, we developed an enhanced framework, iPSM-Spatial Distance (iPSM-SD), which systematically integrates spatial proximity through multiplicative (MUL) and additive (ADD) strategies. The framework was validated using two contrasting cases: sparse soil organic carbon density data from Yunnan Province (n = 118) and dense soil organic matter data from Bayi Farm (n = 2511). Results show that the additive model (iPSM-ADD) significantly outperformed the original iPSM and benchmark models, including random forest, regression kriging, geographically weighted regression, and multiple linear regression, under sufficient sampling, achieving an R2 of 0.86 and reducing RMSE by 46.6% at Bayi Farm. It also maintained robust accuracy under sparse sampling conditions. The iPSM-SD framework thus provides a unified and adaptive tool for digital soil mapping across a wide range of data availability, supporting scalable soil management decisions from regional assessment to field-scale variable-rate applications in precision agriculture. Full article
(This article belongs to the Section Precision and Digital Agriculture)
Show Figures

Figure 1

20 pages, 16754 KB  
Article
GSA-cGAN: A Geospatial-Aware Conditional Wasserstein Generative Adversarial Network for Mineral Resources Interpolation
by Hosang Han and Jangwon Suh
Appl. Sci. 2026, 16(2), 674; https://doi.org/10.3390/app16020674 - 8 Jan 2026
Viewed by 497
Abstract
In the context of mineral resource exploration, spatial prediction must cope with heterogeneous, non-normal data distributions and limited sampling. While conventional geostatistics and standard machine learning provide baseline estimates, they often suffer from excessive smoothing or fail to capture continuous spatial dependencies. This [...] Read more.
In the context of mineral resource exploration, spatial prediction must cope with heterogeneous, non-normal data distributions and limited sampling. While conventional geostatistics and standard machine learning provide baseline estimates, they often suffer from excessive smoothing or fail to capture continuous spatial dependencies. This study proposes a geospatially aware Wasserstein conditional Generative Adversarial Network (GSA-cGAN) to complement existing workflows for multivariate mineral interpolation. The framework augments a baseline cGAN with WGAN-GP for stable adversarial training, CoordConv to encode absolute spatial coordinates and Self-Attention to capture long-range spatial dependencies. Eight model configurations were trained on 272 samples from a mineralized zone in the Taebaek Mountains, Korea, and strictly benchmarked against Ordinary/Universal Kriging and multivariate machine learning baselines (Random Forest, XGBoost). Under the adopted experimental design, the full GSA-cGAN achieved the lowest test root mean squared error and highest coefficient of determination, demonstrating a significant performance improvement over the baselines. Furthermore, distribution analysis confirmed that the model effectively overcomes the smoothing limitations of regression-based methods, generating high-resolution 10 m × 10 m maps that preserve statistical variance, hotspot anomalies, and complex spatial patterns. The results indicate that deep generative models can serve as practical decision-support tools for identifying drilling targets and prioritizing follow-up exploration in geologically complex settings. Full article
Show Figures

Figure 1

Back to TopTop