Due to scheduled maintenance work on our servers, there may be short service disruptions on this website between 11:00 and 12:00 CEST on March 28th.
Sign in to use this feature.

Years

Between: -

Subjects

remove_circle_outline
remove_circle_outline
remove_circle_outline
remove_circle_outline
remove_circle_outline
remove_circle_outline
remove_circle_outline
remove_circle_outline
remove_circle_outline

Journals

remove_circle_outline
remove_circle_outline
remove_circle_outline
remove_circle_outline
remove_circle_outline
remove_circle_outline
remove_circle_outline
remove_circle_outline
remove_circle_outline
remove_circle_outline
remove_circle_outline
remove_circle_outline
remove_circle_outline
remove_circle_outline
remove_circle_outline
remove_circle_outline
remove_circle_outline
remove_circle_outline

Article Types

Countries / Regions

remove_circle_outline
remove_circle_outline
remove_circle_outline
remove_circle_outline
remove_circle_outline
remove_circle_outline

Search Results (1,673)

Search Parameters:
Keywords = kinetic coefficient

Order results
Result details
Results per page
Select all
Export citation of selected articles as:
16 pages, 6556 KB  
Article
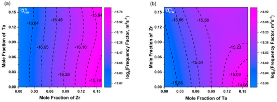
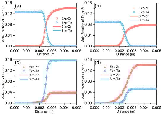
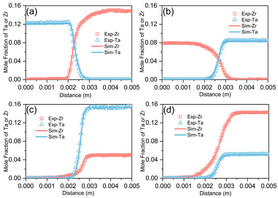
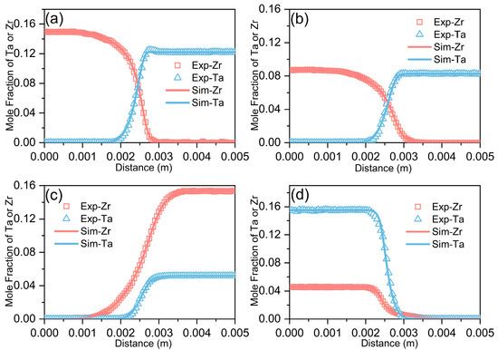
Study on Main Diffusion Coefficients and Atomic Mobility of Alloying Elements in the β-Phase of the Ti–Zr–Ta Ternary System
by Jingmin Liu, Danya Shen, Wenqing Zhao, Hongyu Zhang, Maohua Rong, Kaige Wang, Ligang Zhang and Libin Liu
Materials 2026, 19(7), 1289; https://doi.org/10.3390/ma19071289 - 24 Mar 2026
Abstract
Diffusion-controlled processes exert an indispensable influence on the thermal processing and microstructural homogenization of β-titanium alloys containing multiple β-stabilizing elements. However, credible multicomponent diffusion kinetic data corresponding to the β-phase within the Ti–Zr–Ta ternary system remain inadequate. In this work, [...] Read more.
Diffusion-controlled processes exert an indispensable influence on the thermal processing and microstructural homogenization of β-titanium alloys containing multiple β-stabilizing elements. However, credible multicomponent diffusion kinetic data corresponding to the β-phase within the Ti–Zr–Ta ternary system remain inadequate. In this work, diffusion characteristics within the β single-phase domain of the Ti–Zr–Ta system were investigated using solid-state diffusion couples combined with a numerical inverse method. Twelve diffusion couples in total were synthesized and subjected to annealing treatments at 1373, 1423, and 1473 K, with the corresponding composition–distance distributions quantified by electron probe microanalysis (EPMA). The composition-dependent main interdiffusion coefficients were measured via the numerical inverse method embedded in the HitDIC computational platform, while the atomic mobility parameters corresponding to the β-phase were refined to replicate the experimental concentration distributions and diffusion trajectories across the studied temperature and composition intervals. The results reveal pronounced temperature and composition dependence of the main interdiffusion coefficients, and the diffusion rate of Zr is faster than that of Ta in the β phase. Full article
(This article belongs to the Section Metals and Alloys)
Show Figures

Figure 1

13 pages, 4802 KB  
Article
ZIF-8-Functionalized Manganese-Based Lithium-Ion Sieve: Synthesis and Lithium-Selective Extraction
by Quanmin Liu and Yueguang Yu
Appl. Sci. 2026, 16(7), 3119; https://doi.org/10.3390/app16073119 - 24 Mar 2026
Viewed by 43
Abstract
The critical role of lithium in powering the new energy economy necessitates prioritizing efficient extraction methods. This study investigates a novel zeolitic imidazolate frame work (ZIF-8)-coated manganese-based lithium-ion sieve (LIS) for enhanced lithium recovery. The precursor of LIS, Li1.6Mn1.6O [...] Read more.
The critical role of lithium in powering the new energy economy necessitates prioritizing efficient extraction methods. This study investigates a novel zeolitic imidazolate frame work (ZIF-8)-coated manganese-based lithium-ion sieve (LIS) for enhanced lithium recovery. The precursor of LIS, Li1.6Mn1.6O4, was synthesized via the hydrothermal method, followed by acid pickling to obtain the spinel lithium-ion sieve H1.6Mn1.6O4. The material was then immersed in a 2-methylimidazole/Zn(NO3)2 solution, undergoing ultrasonic-assisted hydrothermal growth to form H1.6Mn1.6O4@ZIF-8 composites. Under optimized conditions (30 °C, pH = 11, 24 h), the composite demonstrated superior lithium extraction performance compared to single-phase adsorbents, reaching 26.62 mg/g in the solution with 250 mg/L Li+. The adsorption capacity of the composite increased with Li+ concentration and reaction time. The adsorption kinetics followed a pseudo-second-order kinetic model and were dominated by chemisorption. The H1.6Mn1.6O4@ZIF-8 composite exhibited an enhanced Li+ partition coefficient Kd of 118.3 in a mixed solution containing ions such as Li+, Mg2+, K+, and Ca2+, each with a concentration of 250 mg/L (pH = 12); good structural stability with manganese dissolution of 1.6%; and a capacity retention of approximately 79.5% after five cycles (CLi+ = 250 mg/L). Full article
Show Figures

Figure 1

23 pages, 5645 KB  
Article
Numerical Analysis for Spring-Damping Parameter Effects on the Dynamic Performance for the Multi-Body Anti-Pitching Semi-Submersible Floating Wind Turbine
by Ruming Feng, Yisheng Sheng, Tianguo Pan, Jianhu Fang and Tianhui Fan
J. Mar. Sci. Eng. 2026, 14(6), 589; https://doi.org/10.3390/jmse14060589 - 23 Mar 2026
Viewed by 150
Abstract
Unlike traditional marine floating platforms, floating offshore wind turbines (FOWTs) are subjected to larger overturning moments. This study presents a novel floating offshore wind turbine concept—termed the Multi-Body Anti-Pitching Floating Wind Turbine (MAFWT)—designed to mitigate excessive pitching motion of semi-submersible FOWTs. The MAFWT [...] Read more.
Unlike traditional marine floating platforms, floating offshore wind turbines (FOWTs) are subjected to larger overturning moments. This study presents a novel floating offshore wind turbine concept—termed the Multi-Body Anti-Pitching Floating Wind Turbine (MAFWT)—designed to mitigate excessive pitching motion of semi-submersible FOWTs. The MAFWT integrates three Wave-star-like appendages arranged in the UMaine VolturnUS-S platform. A fully coupled dynamic model is developed within the FAST-to-AQWA (F2A) simulation framework. Parametric time- and frequency-domain analyses are subsequently conducted under both regular wave/steady wind and irregular wave/turbulent wind conditions to investigate the influence of stiffness parameter K and damping parameter B on system dynamics. Results demonstrate that increasing stiffness enhances the restoring moment, thereby reducing the static pitching offset and overall dynamic response (with the maximum and average values decreasing by 27.6% and 31.9%, respectively). However, it may amplify low-frequency slow-drift motions (with the maximum and average values of surge increasing by 9.4% and 9.5%, respectively). In contrast, damping primarily dissipates kinetic energy, yielding up to a 25.5% reduction in pitch angular velocity and significantly mitigating power output fluctuations (the standard deviation decreased by 16.4%). Furthermore, increases in the stiffness coefficient and damping coefficient result in respective slight increments of 0.12% and 0.18% in the average power output. This work elucidates the distinct physical mechanisms through which stiffness and damping govern pitch suppression. Full article
(This article belongs to the Special Issue Optimized Design of Offshore Wind Turbines)
Show Figures

Figure 1

25 pages, 9287 KB  
Article
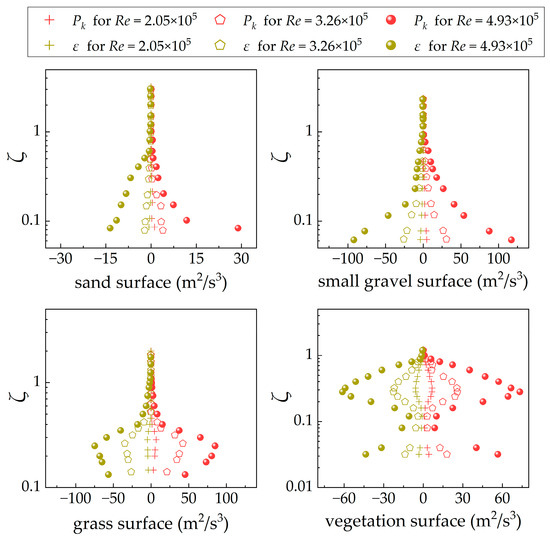
Surface Morphology Effects on Turbulent Structure and Diffusion Across Multiple Underlying Surfaces in a Wind Tunnel
by Yu Zhao, Jie Zhang, Binbin Pei, Kan He, Jianjun Wu and Ning Huang
Appl. Sci. 2026, 16(6), 3058; https://doi.org/10.3390/app16063058 - 22 Mar 2026
Viewed by 65
Abstract
Turbulent structure and diffusion over different underlying surfaces are fundamental to understanding mass and momentum exchange in the atmospheric boundary layer. This study investigated these processes over six distinct surfaces—flat plate, sand, grass, small gravel, large gravel, and vegetation—through wind tunnel experiments combined [...] Read more.
Turbulent structure and diffusion over different underlying surfaces are fundamental to understanding mass and momentum exchange in the atmospheric boundary layer. This study investigated these processes over six distinct surfaces—flat plate, sand, grass, small gravel, large gravel, and vegetation—through wind tunnel experiments combined with high-frequency velocity measurements. Quadrant analysis, Reynolds stress decomposition, and turbulence kinetic energy budget analysis were employed to elucidate the mechanisms driving variations in diffusion coefficients. The results reveal two distinct turbulence generation regimes: over rigid surfaces (flat plate, sand, gravel), turbulence is primarily generated by roughness elements, whereas over canopy surfaces (grass, vegetation), canopy-induced shear and wake dynamics dominate. Consequently, the vertical profiles of turbulent diffusion coefficients Kx and Kz exhibit markedly different patterns across surface types. For rigid surfaces, diffusion coefficients peak near the surface and decay monotonically with height. For canopy surfaces, diffusion coefficients reach their maximum at the canopy top, reflecting the dual influence of canopy-induced shear and energy dissipation within the canopy. These findings provide a mechanistic understanding of surface-induced variability in turbulent diffusion processes and offer quantitative parameterizations that can improve pollutant dispersion modeling over complex terrain. Full article
(This article belongs to the Section Fluid Science and Technology)
Show Figures

Figure 1

17 pages, 1021 KB  
Article
Pre-Treatment Breast MRI Features and ADC Values as Predictors of Pathologic Complete Response in Breast Cancer: A Molecular Subtype-Based Analysis
by Ela Kaplan, Hüseyin Alakus and Selcuk Kaplan
Diagnostics 2026, 16(6), 938; https://doi.org/10.3390/diagnostics16060938 - 22 Mar 2026
Viewed by 157
Abstract
Background/Objectives: The role of pre-treatment breast magnetic resonance imaging (MRI) findings and apparent diffusion coefficient (ADC) values in predicting pathologic complete response (pCR) in breast cancer patients receiving neoadjuvant chemotherapy (NAC) has not yet been sufficiently clarified, especially in the context of [...] Read more.
Background/Objectives: The role of pre-treatment breast magnetic resonance imaging (MRI) findings and apparent diffusion coefficient (ADC) values in predicting pathologic complete response (pCR) in breast cancer patients receiving neoadjuvant chemotherapy (NAC) has not yet been sufficiently clarified, especially in the context of molecular subtype differences. In this study, we questioned whether these imaging parameters were independent predictors of pCR. Methods: This study retrospectively explored MRI characteristics of 188 patients who underwent NAC from 2015 to 2023. The patients were divided into the pCR-positive and pCR-negative groups—the latter comprising patients with partial response (n = 61) and stable disease (n = 90)—and were classified into four molecular subtypes: Luminal A/B, HER2-enriched, and triple-negative breast cancer (TNBC). The MRI parameters included pre-chemotherapy T2-weighted signal characteristics, shape features, contrast kinetics, peritumoral edema, and ADC MIN/ADC MAX. Post-treatment ADC and ΔADC were the post-chemotherapy MRI parameters. Independent predictors were evaluated by logistic regression and discriminant performance by ROC analysis. Results: The overall pCR rate was 19.7%. In multivariate analysis, T2-weighted isointense signal (OR = 4.50), uniform tumor shape (OR = 12.83), HER2-enriched subtype (OR = 6.03), TNBC (OR = 5.15), ADC MIN (OR = 1.41), tumor size (OR = 1.28), and kinetic Type 3 pattern (OR = 3.21) were identified as independent predictors. Pre-treatment ADC MIN yielded an AUC of 0.724, while post-treatment ADC achieved 100% sensitivity and 96.7% specificity (AUC = 0.967). Conclusions: MRI morphology and ADC values may make a meaningful contribution to the prediction of pCR when evaluated in the context of molecular subtype. Post-treatment ADC demonstrated particularly strong discriminatory performance; however, external validation in multicenter cohorts is required before clinical implementation. Full article
(This article belongs to the Section Medical Imaging and Theranostics)
Show Figures

Figure 1

31 pages, 7155 KB  
Article
Deep Learning-Based Synthesis, Classification and Analysis of Sedimentation Boundaries in Analytical Centrifugation Experiments
by Moritz Moß, Sebastian Boldt, Gurbandurdy Dovletov, Adjie Salman, Josef Pauli, Dietmar Lerche, Marco Gleiß, Hermann Nirschl, Johannes Walter and Wolfgang Peukert
Mach. Learn. Knowl. Extr. 2026, 8(3), 81; https://doi.org/10.3390/make8030081 - 20 Mar 2026
Viewed by 161
Abstract
Applications for machine learning (ML) and deep learning (DL) are constantly growing and have already been adopted in the field of particle measurement technology. Even though analytical (ultra-)centrifugation (AC/AUC) is a widely used technique for characterizing dispersed particle systems, ML and DL have [...] Read more.
Applications for machine learning (ML) and deep learning (DL) are constantly growing and have already been adopted in the field of particle measurement technology. Even though analytical (ultra-)centrifugation (AC/AUC) is a widely used technique for characterizing dispersed particle systems, ML and DL have not yet been applied in this area. Data evaluation and interpretation in AC/AUC can be challenging and often requires expert knowledge. DL models can help, but their development is limited by a lack of annotated training data. One solution is to generate and use synthetic data instead. In the first part of this study, a model was trained to synthesize data from experiments using a combination of Variational Autoencoder (VAE) and Generative Adversarial Networks (GANs). The results appear highly realistic. Novice users could distinguish real from synthetic samples with only 63% accuracy. Then, a classifier was trained on experimental AC data to categorize real-world examples based on their underlying separation kinetics, testing different DL architectures. After initial training, the models were further fine-tuned with synthetic AC data. ResNet34 models achieved the best performance with 94% accuracy, comparable to an AC expert (91%), while inexperienced users reached only 53%. In the second part of our study, a regression model was trained for the analysis of sedimentation coefficients. Therefore, various generative models were developed and evaluated for synthesizing AUC data based on numerically simulated sedimentation boundaries. The best results were achieved by combining VAE and GAN architectures with embedded physical constraints. However, the generative networks have so far led to additional smearing of the profiles, resulting in a broadening of the sedimentation coefficient distribution and indicating that further refinement is necessary. Full article
Show Figures

Figure 1

23 pages, 1592 KB  
Article
Kinetic Investigation of Dyeing Polyamide Fabrics with Acid Dyestuff in Microwave and Conventional Heating Media
by Raşit Dağlı, Murat Teker and Ayşe Usluoğlu
Processes 2026, 14(6), 992; https://doi.org/10.3390/pr14060992 - 20 Mar 2026
Viewed by 187
Abstract
In this study, the dyeing kinetics of polyamide fabrics with acid dyes, such as Telon Blue M2R, under both conventional and microwave-assisted heating conditions were comprehensively investigated. While the conventional dyeing reaction was completed in 30 min, microwave-assisted dyeing was performed in the [...] Read more.
In this study, the dyeing kinetics of polyamide fabrics with acid dyes, such as Telon Blue M2R, under both conventional and microwave-assisted heating conditions were comprehensively investigated. While the conventional dyeing reaction was completed in 30 min, microwave-assisted dyeing was performed in the microwave device for 10 min. Dyeing kinetics were investigated as a function of reaction time, reaction concentration and dyeing temperatures. The K/S values (color depth) of the dyed fabrics were correlated with the concentration. A significant reduction in the dyeing process time for polyamide fabric was observed with microwave heating compared to the conventional method. Kinetic analysis revealed that the Pseudo-Second-Order (PSO) kinetic model provides a better fit to the experimental data on the diffusion process of acid dye in polyamide fabrics, as evidenced by higher correlation coefficients (R2) compared to the Pseudo-First-Order (PFO) model. The activation energy of the reaction in dyeing was found to be 63.27 kJ/mol, and the Arrhenius constant was determined as 7.20 × 1010 L/g·min in conventional media and 18.70 × 1010 L/g·min in microwave media. The Arrhenius factor in the microwave medium was more than two times higher than in the conventional media. Full article
Show Figures

Graphical abstract

18 pages, 1575 KB  
Article
Association Between Calcaneal Inclination Angle and Spinal and Lower Limb Alignment: A Retrospective Radiographic Analysis
by Yunhee Han, Seojae Jeon, Hyeonjun Woo, Wonbae Ha, Tae-Yong Park, Jin-Hyun Lee and Junghan Lee
Diagnostics 2026, 16(6), 921; https://doi.org/10.3390/diagnostics16060921 - 19 Mar 2026
Viewed by 253
Abstract
Background/Objectives: This study aimed to clinically investigate how variations in foot morphology influence spinal and lower limb alignment, based on the concept of an ascending kinetic chain. Methods: We analyzed the medical records of 100 patients who met the inclusion criteria. The X-ray [...] Read more.
Background/Objectives: This study aimed to clinically investigate how variations in foot morphology influence spinal and lower limb alignment, based on the concept of an ascending kinetic chain. Methods: We analyzed the medical records of 100 patients who met the inclusion criteria. The X-ray image data used in the analysis included weight-bearing lateral views of both feet, whole-spine anteroposterior (AP) and lateral views, and full-length standing AP scanograms of the lower legs. In the obtained X-ray images, Calcaneal Inclination Angle (CIA), Tibiotalar Tilt Angle (TTA), Tibiotalar Angle (TA), Quadriceps Angle (Q-angle), Pelvic Incidence (PI), Pelvic Tilt (PT), Sacral Slope (SS), and L1–S1 Lordosis (LL) were measured. Participants were categorized into subgroups based on their CIA values: Pes Planus, Normal, and Pes Cavus. These subgroups were analyzed by foot orientation (right and left) using one-way analysis of variance (ANOVA) and Pearson correlation coefficient analysis. Results: The one-way ANOVA identified significant differences in mean right foot PT values among subgroups. Correlation analysis shows moderate associations between foot CIA and Q-angle of the knee, as well as pelvic parameters including PI, PT, SS, and LL. Conclusions: Analysis of the correlation between foot parameters and body alignment, in the context of diagnostic and evaluative aspects of Chuna manual medicine (CMM), revealed moderate correlations among the foot, ankle, knee, pelvis, and lumbosacral regions. These findings suggest that foot morphology may play a clinically relevant role in posture-related disorders and could contribute to preventive and corrective strategies for musculoskeletal alignment. Full article
(This article belongs to the Special Issue Musculoskeletal Imaging 2025, 2nd Edition)
Show Figures

Figure 1

26 pages, 1549 KB  
Review
Physical State and Mass Transport of Metals in Liquid Cadmium Cathodes: A Review
by Yilin Wang, Yanhong Jia, Yiqun Xiao, Benlin Yao and Hui He
Processes 2026, 14(6), 953; https://doi.org/10.3390/pr14060953 - 17 Mar 2026
Viewed by 287
Abstract
Liquid metal cathodes, particularly liquid cadmium (Cd), are widely used in molten salt electrorefining and pyrochemical reprocessing of spent nuclear fuel due to their high electrical conductivity, strong affinity for actinides, and favorable alloying characteristics. During electrorefining, reduced metal species enter the liquid [...] Read more.
Liquid metal cathodes, particularly liquid cadmium (Cd), are widely used in molten salt electrorefining and pyrochemical reprocessing of spent nuclear fuel due to their high electrical conductivity, strong affinity for actinides, and favorable alloying characteristics. During electrorefining, reduced metal species enter the liquid Cd phase and may exist as dissolved atoms, liquid alloys, or intermetallic compounds, all of which significantly influence deposition behavior, separation selectivity, and cathode performance. Although numerous experimental and theoretical studies have investigated metal solubility, alloy formation, and diffusion in liquid Cd systems, the current understanding remains fragmented. Thermodynamic phase behavior and mass transport kinetics are often discussed separately, and reported diffusion data show considerable discrepancies owing to variations in experimental techniques and interpretations. In addition, the relationship between phase stability, diffusion mechanisms, and electrochemical conditions in practical electrorefining environments has not yet been systematically clarified. This review aims to present an integrated thermodynamic–kinetic perspective on the behavior of metals in liquid Cd cathodes. Recent progress in dissolution behavior, alloy phase formation, and diffusion-controlled transport processes is critically summarized. The differences in solubility and precipitation behavior of actinides, rare-earth elements, and selected transition metals are analyzed in relation to binary phase diagrams and thermodynamic stability. Furthermore, experimental methods for determining diffusion coefficients, including capillary techniques and electrochemical approaches, are comparatively evaluated. By correlating thermodynamic phase stability with diffusion-driven mass transport, this work provides a coherent framework for understanding metal behavior in liquid Cd cathodes and offers insights for optimizing molten salt electrorefining and advanced nuclear fuel cycle technologies. Full article
(This article belongs to the Topic Energy Extraction and Processing Science)
Show Figures

Graphical abstract

16 pages, 1835 KB  
Article
A Kinetic Model for the Quantitative Estimation of Carryover Slag During BOF Tapping Using Computational Thermodynamics
by Puhong Cheng, Christian Bernhard, Daniel Kavić and Qing Zheng
Metals 2026, 16(3), 334; https://doi.org/10.3390/met16030334 - 17 Mar 2026
Viewed by 137
Abstract
Carryover slag (COS) entrained from the basic oxygen furnace (BOF) during tapping is highly oxidizing and affects secondary steelmaking by increasing deoxidizer consumption, refractory wear, P reversion, and decreasing steel cleanliness. A kinetic COS amount estimation model was developed by using the effective [...] Read more.
Carryover slag (COS) entrained from the basic oxygen furnace (BOF) during tapping is highly oxidizing and affects secondary steelmaking by increasing deoxidizer consumption, refractory wear, P reversion, and decreasing steel cleanliness. A kinetic COS amount estimation model was developed by using the effective equilibrium reaction zone (EERZ) method. The amount of COS was determined by iteratively adjusting the carryover slag coefficient (CSC) until predicted steel and slag compositions approached industrial measurements. Validation with four industrial heats confirmed that the model effectively predicts COS under both complete and incomplete deoxidation conditions. Further simulation results show that increasing the CSC from 2 to 4 kg per tonne of steel leads to 9.3 ppm P reversion. The calculations also confirmed that larger COS amounts accelerate refractory wear due to the higher input of readily reducible components, particularly FeO and MnO. Full article
(This article belongs to the Special Issue Advances in Continuous Casting and Refining of Steel)
Show Figures

Figure 1

26 pages, 10504 KB  
Article
The Impact of Implementing Kinetic Interior Techniques on the Functional Performance of Office Spaces Using Space Syntax
by Naglaa Megahed, Eman Atef, Basma Nashaat and Dalia Elgheznawy
Sustainability 2026, 18(6), 2832; https://doi.org/10.3390/su18062832 - 13 Mar 2026
Viewed by 179
Abstract
With the increasing use of modern technologies in interior design, numerous recent studies have made the effects of kinetic-based design techniques on users’ perceptions a crucial topic, and sustainable performance has emerged as essential. From this standpoint, this study uses a space syntax [...] Read more.
With the increasing use of modern technologies in interior design, numerous recent studies have made the effects of kinetic-based design techniques on users’ perceptions a crucial topic, and sustainable performance has emerged as essential. From this standpoint, this study uses a space syntax approach to investigate how human behavioral performance in workspaces is affected by kinetic interiors. Three kinetic-based design strategies were employed to evaluate changes in spatial configuration characteristics, and the relevant terminology was adapted to account for the use of kinetic technology. The paper adopts a comparative analysis model to follow these changes using four syntactic measures: integration, choice, connectivity, and clustering coefficient. The proposed evaluation approach is applied to a traditional office building in Port Said, Egypt, showcasing various aspects of kinetic technology in workspaces. The study’s findings elucidate the correlations between design strategies and the resulting spatial characteristics, guiding designers in evaluating the features of each system and facilitating comparisons between them. Finally, the study’s main aim is to propose a three-step design process as a guideline for creating an integrated kinetic technology design, involving the evaluation of the proposed alternatives to achieve the desired spatial characteristics. Full article
Show Figures

Figure 1

15 pages, 3599 KB  
Article
Real-Time Probing of Molecular Affinity Using Optical Tweezers
by Joana Teixeira, José A. Ribeiro, Marcus Monteiro, Nuno A. Silva and Pedro A. S. Jorge
Sensors 2026, 26(6), 1814; https://doi.org/10.3390/s26061814 - 13 Mar 2026
Viewed by 185
Abstract
The ability to assess molecular binding kinetics in real time is critical for advancing our understanding of molecular interactions in biochemical and biotechnological systems. This work presents a novel optical tweezer (OT)-based method to monitor molecular affinity in real time, focusing on the [...] Read more.
The ability to assess molecular binding kinetics in real time is critical for advancing our understanding of molecular interactions in biochemical and biotechnological systems. This work presents a novel optical tweezer (OT)-based method to monitor molecular affinity in real time, focusing on the high-affinity streptavidin–biotin system as a model. Transparent poly(methyl methacrylate) (PMMA) microparticles functionalized with streptavidin were trapped before, during, and after binding with biotinylated bovine serum albumin (biotin–BSA), enabling the analysis of forward-scattered signals to detect nanoscale changes in particle size. By applying the Power Spectral Density method, the friction coefficient of individual particles was calculated, allowing for real-time tracking of binding dynamics and the estimation of the association rate constant (kon106M1s1). These results are consistent with literature values and demonstrate the potential of this OT-based approach for non-invasive, label-free detection of molecular interactions. Compared to existing techniques, such as atomic force microscopy and cantilever-based sensors, this method offers significant advantages, including real-time monitoring, adaptability to different bioaffinity systems, and compatibility with miniaturized setups. This work establishes a foundation for using OT-based tools to monitor high-affinity molecular interactions in real time. While demonstrated here using biotinylated BSA as a model ligand, future studies will explore the method’s applicability to smaller ligands and more subtle surface modifications. Full article
(This article belongs to the Special Issue Optical Tweezers in Sensing Technologies)
Show Figures

Figure 1

14 pages, 2284 KB  
Article
Kinetics of Growth and Mechanical Characterization of Hard Layers Obtained on the Surface of AISI H13 Steel by the Boriding Process Using a Non-Commercial Mixture
by Yesenia Sánchez-Fuentes, Rafael Carrera-Espinosa, Raúl Tadeo-Rosas, Cintia Proa-Coronado, José A. Balderas-López, Luz A. Linares-Duarte, Melvyn Alvarez-Vera, José G. Miranda-Hernández and Enrique Hernández-Sánchez
Lubricants 2026, 14(3), 124; https://doi.org/10.3390/lubricants14030124 - 13 Mar 2026
Viewed by 208
Abstract
Boriding is a thermochemical process that improves the surface properties of metallic materials, such as wear resistance, hardness, and Young’s modulus. The current work evaluated the kinetics of boride layers formed by boriding on AISI H13 steel. The AISI H13 steel samples were [...] Read more.
Boriding is a thermochemical process that improves the surface properties of metallic materials, such as wear resistance, hardness, and Young’s modulus. The current work evaluated the kinetics of boride layers formed by boriding on AISI H13 steel. The AISI H13 steel samples were covered with a non-commercial powder mixture of 70% wt. SiC, 20% B4C wt. and 10% wt. KBF4. The samples were treated for 2, 4, and 6 h at 850, 875, and 900 °C, respectively. The growth kinetics of boride layers were estimated as a function of the treatment parameters, using a solution of the second Fick’s Law, as in a parabolic model. Also, the hardness of layers was assessed by Vickers microindentation. Optical examination of the samples showed a biphasic FeB/Fe2B layer at all temperatures after 6 h of treatment. In contrast, those exposed for 2 h exhibited a monophasic Fe2B layer with isolated zones of the FeB phase in all temperatures. The results suggested that the obtained layer thicknesses are highly dependent on the treatment parameters. After 2 h at 850 °C, the samples exhibited a well-defined layer with a thickness of 8.51 ± 1.01 μm, whereas after 6 h it was 24.39 ± 1.01 μm. The activation energy was estimated at 230.63 kJ/mol, with a correlation coefficient (R2) of 0.97, consistent with values reported in the literature. Additionally, the hardness values were estimated to range from 1880 to 2192 HV for the FeB phase and from 1294 to 1715 HV for the Fe2B phase, indicating that the hardness of the boride layers is highly dependent on the treatment conditions. Full article
(This article belongs to the Special Issue Tribological Behaviour of Borided Surfaces)
Show Figures

Figure 1

18 pages, 3618 KB  
Article
Improved Methodology for Simulation-Driven Environmental Sensitivity Assessment of Host Rock in Huashan Art Paintings
by Jinhua Wang, Yi Wang and Junxia Wang
Appl. Sci. 2026, 16(6), 2746; https://doi.org/10.3390/app16062746 - 13 Mar 2026
Viewed by 139
Abstract
This study presents an improved methodology for assessing the environmental sensitivity of the host rock in Huashan art paintings. A hygroscopic experiment was first designed to determine the moisture diffusion coefficient of the rock mass preserving the Huashan rock paintings, as verified by [...] Read more.
This study presents an improved methodology for assessing the environmental sensitivity of the host rock in Huashan art paintings. A hygroscopic experiment was first designed to determine the moisture diffusion coefficient of the rock mass preserving the Huashan rock paintings, as verified by hygroscopic kinetics. Additionally, variations in color difference values were simultaneously used to quantitatively evaluate moisture absorption characteristics. Subsequently, a finite element (FE) simulation was conducted to assess potential damage to the rock art system with respect to varying environmental conditions. Regarding the correlated functions with consideration of the influencing factors, the environmental sensitivity of the host rock in Huashan art paintings was clarified to illustrate the deterioration process resulting from the combined effects of temperature and humidity. It is found that the deformation gradient (F) and maximum tensile stress (σmax) exhibit a linear relationship with ambient temperature (Ta), and an exponential relationship with heat transfer coefficient (h). The ambient humidity (Hen) and surface humidity exchange coefficient (f) primarily influence the water content of the rock mass. This insight into the host rock in Huashan art paintings provides a valuable approach to highlight the active role of environmental conditions and offers an additional methodology to understand the detachment of large superficial rock flakes and the granular disintegration of the rock. Full article
Show Figures

Figure 1

14 pages, 17510 KB  
Article
Engineering Polymorphic Phase Boundary in Aerosol-Deposited Ba(ZrxTi1−x)O3 Thick Films for Large Transverse Piezoelectricity
by Jinlin Yang, Long Teng, Zhenwei Shen, Wenjia Zhang, Shuping Li, Hanfei Zhu, Hongbo Cheng and Yongguang Xiao
Nanomaterials 2026, 16(6), 352; https://doi.org/10.3390/nano16060352 - 13 Mar 2026
Viewed by 253
Abstract
Conventional deposition techniques hinder the integration of high-performance lead-free piezoelectric thick films on silicon substrates due to slow growth kinetics and complex processing. Herein, dense, crack–free Ba(ZrxTi1−x)O3 (BZT, x = 0–0.10) thick films (~2 μm) were fabricated [...] Read more.
Conventional deposition techniques hinder the integration of high-performance lead-free piezoelectric thick films on silicon substrates due to slow growth kinetics and complex processing. Herein, dense, crack–free Ba(ZrxTi1−x)O3 (BZT, x = 0–0.10) thick films (~2 μm) were fabricated via aerosol deposition (AD) followed by annealing, forming a nanocrystalline microstructure with an average grain size of ~78 nm. Compositional tuning showed optimal electromechanical performance at x = 0.03, attributed to the coexistence of tetragonal and orthorhombic phases near room temperature that reduce the phase transformation energy barrier. The optimized BZT films exhibit excellent electrical properties: saturation polarization of 31.3 μC/cm2, relative permittivity of 430, dielectric tunability figure of merit (FOM) of 155, and a large transverse piezoelectric coefficient |e31, f| of 1.01 C/m2—comparable to textured magnetron–sputtered BaTiO3 films but with higher deposition efficiency. This work provides a high-throughput route for fabricating piezoelectric thick films, highlighting the potential of compositionally engineered AD–processed BZT in lead-free MEMS applications. Full article
(This article belongs to the Special Issue Advances in Ferroelectric and Multiferroic Nanostructures)
Show Figures

Graphical abstract

Back to TopTop