Sign in to use this feature.

Years

Between: -

Subjects

remove_circle_outline
remove_circle_outline
remove_circle_outline
remove_circle_outline
remove_circle_outline
remove_circle_outline
remove_circle_outline
remove_circle_outline
remove_circle_outline

Journals

remove_circle_outline
remove_circle_outline
remove_circle_outline
remove_circle_outline
remove_circle_outline
remove_circle_outline
remove_circle_outline
remove_circle_outline
remove_circle_outline
remove_circle_outline
remove_circle_outline
remove_circle_outline
remove_circle_outline
remove_circle_outline
remove_circle_outline
remove_circle_outline
remove_circle_outline
remove_circle_outline

Article Types

Countries / Regions

remove_circle_outline
remove_circle_outline
remove_circle_outline
remove_circle_outline
remove_circle_outline

Search Results (2,617)

Search Parameters:
Keywords = isotropization

Order results
Result details
Results per page
Select all
Export citation of selected articles as:
14 pages, 1773 KB  
Article
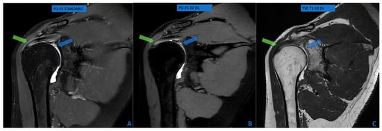
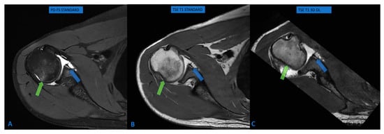
Accuracy of Deep Learning-Driven MR Arthrography of the Shoulder: Compressed 3D in Comparison to Standard FSE Sequences
by Gianluca Tripodi, Flavio Spoto, Giuseppe Ocello, Leonardo Monterubbiano, Paolo Avanzi and Giovanni Foti
Osteology 2026, 6(1), 4; https://doi.org/10.3390/osteology6010004 - 27 Feb 2026
Abstract
Background/Objectives: Magnetic resonance arthrography is the reference standard for evaluating glenoid labral lesions. Deep learning (DL) reconstruction algorithms may accelerate 3D acquisitions while maintaining image quality. This study assesses the diagnostic accuracy of DL-based isotropic 3D MR imaging for detecting glenoid labral lesions. [...] Read more.
Background/Objectives: Magnetic resonance arthrography is the reference standard for evaluating glenoid labral lesions. Deep learning (DL) reconstruction algorithms may accelerate 3D acquisitions while maintaining image quality. This study assesses the diagnostic accuracy of DL-based isotropic 3D MR imaging for detecting glenoid labral lesions. Methods: This prospective study included 128 consecutive patients (79 men, 49 women; mean age 38.4 years) undergoing shoulder MR arthrography between June 2023 and April 2025. DL-based 3D sequences (acquisition time: 3:26) were compared with conventional multiplanar TSE and PD-FS sequences (acquisition time: 24–28 min). Two independent radiologists assessed glenoid labral lesions, bone marrow edema, and rotator cuff abnormalities using a four-point Likert scale. Sensitivity, specificity, and interobserver agreement were calculated. Results: DL-based 3D sequences demonstrated 94.7–95.1% sensitivity and 100% specificity for glenoid labral lesions, with excellent interobserver agreement (κ = 0.812). The area under the ROC curve was 0.894. Combined 3D protocols (T1 + PD-FS) showed superior accuracy (97.8%) compared to single sequences (90.5%, p = 0.012). For bone marrow edema, sensitivity was 82.9% with 100% specificity. Rotator cuff evaluation achieved 75% sensitivity with 100% specificity. Conclusions: DL-based isotropic 3D sequences provide high diagnostic accuracy for glenoid labral pathology while reducing scan time by 75%. Combined T1 and PD-FS protocols optimize performance. These findings support selective implementation of DL-accelerated 3D protocols in shoulder MR arthrography, particularly for labral assessment, while acknowledging that conventional protocols may remain preferable in specific clinical scenarios. Full article
Show Figures

Figure 1

14 pages, 5712 KB  
Article
Quantifying Stress Shielding in Dental Implants: A Comparative Finite Element Study of Titanium, CFR-PEEK, and Ceramic Materials
by Mario Ceddia, Tea Romasco, Natalia Di Pietro, Alessandro Cipollina, Adriano Piattelli, Luciano Lamberti and Bartolomeo Trentadue
Materials 2026, 19(5), 869; https://doi.org/10.3390/ma19050869 - 26 Feb 2026
Abstract
Background: Stress shielding, which occurs when there is a mismatch between the stiffness of the implant and the bone, can alter load transfer and drive peri-implant bone remodeling, particularly in low-density bone. Methods: We compared the biomechanical responses of one-piece implants [...] Read more.
Background: Stress shielding, which occurs when there is a mismatch between the stiffness of the implant and the bone, can alter load transfer and drive peri-implant bone remodeling, particularly in low-density bone. Methods: We compared the biomechanical responses of one-piece implants made of Ti-6Al-4V, Y-TZP, and CFR-PEEK. We modelled the bone as linearly isotropic in the transverse direction and the implants as linearly isotropic with a fully bonded interface. A static load of 200 N was applied at an inclination of 30° buccal-to-lingual, with the transverse bone bottom faces fully constrained. Results: The peak cortical von Mises stress was highest for Y-TZP (87 MPa), followed by Ti-6Al-4V (57 MPa) and CFR-PEEK (approximately 37 MPa). Peak cortical von Mises strain showed the same relative order of magnitude: 3450 µε, 3103 µε, and 1523 µε, respectively. The stress-shielding factor (SSF) revealed that shielding was present in the mid-apical regions. Y-TZP exhibited the greatest shielding (SSF: 0.844–0.877), followed by Ti-6Al-4V (SSF: 0.380–0.568) and CFR-PEEK (SSF: 0.375–0.437). No crestal shielding was observed (SSF < 0). Conclusions: Overall, implants with higher stiffness increased crestal stress concentration and deepened peri-implant shielding. Meanwhile, CFR-PEEK improved load sharing and produced a more homogeneous mechanical stimulus in low-density bone. Full article
(This article belongs to the Section Biomaterials)
Show Figures

Figure 1

18 pages, 4195 KB  
Article
WeldSimAM and EnNWD Co-Optimization: Enhancing Lightweight YOLOv11 for Multi-Scale Weld Defect Detection
by Wenquan Huang, Qing Cheng and Jing Zhu
Technologies 2026, 14(3), 140; https://doi.org/10.3390/technologies14030140 - 26 Feb 2026
Abstract
In the context of Industry 4.0, reliable automatic inspection of weld surface defects is critical for structural safety, yet current deep learning-based detectors struggle with the extreme scale variation and anisotropic shapes characteristic of weld flaws such as pores, cracks, and lack of [...] Read more.
In the context of Industry 4.0, reliable automatic inspection of weld surface defects is critical for structural safety, yet current deep learning-based detectors struggle with the extreme scale variation and anisotropic shapes characteristic of weld flaws such as pores, cracks, and lack of fusion. Existing YOLO-family models, although effective on general-purpose datasets, often fail to robustly localize tiny defects and long, slender discontinuities while remaining lightweight enough for industrial edge deployment. A critical research gap lies in the lack of task-specific optimization for weld defects: standard attention mechanisms are isotropic and cannot capture linear defect continuity, while existing loss functions ignore scale disparity between tiny pores (area < 100 pixels2) and large incomplete fusion defects (area > 5000 pixels2), leading to unstable regression. Here, we propose a dual-optimized lightweight YOLOv11 framework tailored for weld defect detection that addresses both feature representation and bounding-box regression. Here, we propose a dual-optimized lightweight YOLOv11 framework tailored for weld defect detection that addresses both feature representation and bounding-box regression. First, we introduce WeldSimAM, an enhanced attention module that augments parameter-free SimAM with directional (horizontal/vertical) and channel-wise enhancement to better capture the directional texture of linear weld defects. Second, we develop an Enhanced Normalized Wasserstein Distance (EnNWD) loss, which incorporates scale-disparity penalties and relative-area-based weighting to mitigate sample imbalance and improve regression accuracy for tiny and large-aspect-ratio targets. Validated via 10-fold cross-validation on three datasets (self-built + two public), the method achieves 99.48% mAP@0.5 and 73.29% mAP@0.5:0.95, outperforming YOLOv11 by 0.13 and 3.76 percentage points (p < 0.01, two-tailed t-test), with 5.21 MB and 132 FPS on NVIDIA RTX 4090. It also surpasses non-YOLO SOTA methods (e.g., EfficientDet-Lite3) by 3.8–5.5 percentage points in mAP@0.5 (p < 0.05), offering a practical real-time solution for industrial inspection. Full article
(This article belongs to the Section Manufacturing Technology)
Show Figures

Figure 1

13 pages, 279 KB  
Article
Conics Inscribed in a Standard Triangle in the Isotropic Plane
by Vladimir Volenec and Ružica Kolar-Šuper
Mathematics 2026, 14(5), 779; https://doi.org/10.3390/math14050779 - 25 Feb 2026
Abstract
In this paper, we study conics inscribed in a standard triangle in the isotropic plane. Our research gives the conditions under which the inscribed conic is an ellipse, a parabola, or a hyperbola, expressed through the elements of a standard triangle. We also [...] Read more.
In this paper, we study conics inscribed in a standard triangle in the isotropic plane. Our research gives the conditions under which the inscribed conic is an ellipse, a parabola, or a hyperbola, expressed through the elements of a standard triangle. We also determine and analyze the loci of centers of certain conics, leading to the discovery of interesting new and previously unknown results on inscribed conics of a standard triangle in the isotropic plane. We further explore the analogies between these findings and those in the Euclidean plane. Full article
(This article belongs to the Section B: Geometry and Topology)
20 pages, 9801 KB  
Article
Polarization-Resolved Speckle Technique for Rapid Non-Destructive Characterization of Macroporous Silica Thin Films
by Yaiza Lozano, David Levy and Félix Salazar-Bloise
Sensors 2026, 26(5), 1431; https://doi.org/10.3390/s26051431 - 25 Feb 2026
Viewed by 45
Abstract
Macroporous silica thin films were synthesized via the sol–gel method to elucidate the relationship between pore structure and the degree of polarization of light (DoP). The films were characterized by scanning electron microscopy (SEM) to determine their mean pore size and surface porosity, [...] Read more.
Macroporous silica thin films were synthesized via the sol–gel method to elucidate the relationship between pore structure and the degree of polarization of light (DoP). The films were characterized by scanning electron microscopy (SEM) to determine their mean pore size and surface porosity, while polarization-resolved speckle imaging was employed to evaluate the degree of polarization and its distribution on the Poincaré sphere. The results show that surface porosity is a key structural parameter governing the DoP, with increasing values leading to enhanced scattering and a progressive isotropization of the polarization-state distributions. Poincaré sphere mapping further reveals distinct scattering regimes and polarization-conversion pathways, providing insights that are not accessible with conventional optical measurements. Overall, these findings show that speckle imaging is a rapid, cost-effective, and non-destructive approach to probing structural and optical anisotropies in porous materials, with direct relevance to systems where pore accessibility dictates performance, including liquid-crystal devices, photochromic coatings, and other nanostructured photonic platforms. Full article
(This article belongs to the Special Issue Advances in Optical Sensing, Instrumentation and Systems: 2nd Edition)
Show Figures

Figure 1

27 pages, 1437 KB  
Article
Three-Dimensional Infinite Cluster Function as a Descriptor of Through-Plane Effective Conductivity in Porous Electrodes of Membrane Electrode Assemblies
by Abimael Rodriguez, Jaime Ortegón, Abraham Rios, Carlos Couder and Romeli Barbosa
Materials 2026, 19(5), 835; https://doi.org/10.3390/ma19050835 - 24 Feb 2026
Viewed by 100
Abstract
Through-plane electronic transport in porous membrane electrode assembly (MEA) electrodes is governed by the three-dimensional (3D) connectivity of the conducting phase. Here, we quantify the role of the spanning-cluster fraction P, defined as the fraction of conducting-phase voxels that belong to [...] Read more.
Through-plane electronic transport in porous membrane electrode assembly (MEA) electrodes is governed by the three-dimensional (3D) connectivity of the conducting phase. Here, we quantify the role of the spanning-cluster fraction P, defined as the fraction of conducting-phase voxels that belong to the z-spanning connected component in a finite reconstructed volume, on effective conductivity using scanning electron microscopy (SEM)-informed 3D reconstructions of four archetypal morphologies: a granular catalyst layer (CL), labeled CL1; a fibrous gas diffusion layer (GDL), labeled GDL1; an open-cell foam (OCF); and a micro-fibrous non-woven (MFM), labeled MFM1. Each morphology is reconstructed on a 150 × 150 × 150 voxel grid, and z-spanning connectivity is identified with a 26-neighbor flood-fill algorithm. Steady-state conduction is solved by a finite-volume method (FVM) with an imposed potential difference between the z—faces and no-flux lateral boundaries. Although all samples exhibit through-thickness connectivity, the normalized conductivity σeff/σbulk varies widely, from ≈0.134 (MFM1) to ≈0.706 (OCF). The corresponding (P, σeff/σbulk) pairs are (0.996, ≈ 0.306) for CL1, (0.999, ≈ 0.303) for GDL1, (0.997, ≈ 0.706) for OCF, and (0.901, ≈ 0.134) for MFM1. OCF exhibits the highest response due to vertically coherent channels, whereas MFM1 underperforms due to laminated constrictions; CL1 and GDL1 lie in an intermediate regime with nearly isotropic skeletons. Overall, the results show that while a z-spanning connected component is required for measurable conduction, the magnitude of σeff is dictated by percolating-skeleton quality (bottlenecks, cross-sectional constrictions, and pathway alignment) rather than phase amount alone. The proposed descriptors therefore enable percolation-aware screening metrics for designing and comparing MEA-relevant GDL and CL microstructures. Full article
(This article belongs to the Section Materials Simulation and Design)
20 pages, 3322 KB  
Article
Parametric Finite Element Evaluation of Load Redistribution Under Progressive Lumbar Disc Degeneration
by Oleg Ardatov, Sofia Rita Fernandes, Artūras Kilikevičius and Vidmantas Alekna
Bioengineering 2026, 13(2), 234; https://doi.org/10.3390/bioengineering13020234 - 17 Feb 2026
Viewed by 223
Abstract
This study presents a finite element (FE) investigation of intervertebral disc (IVD) degeneration in the human lumbar spine (L1–L3 segment). The model, based on CT-derived geometry and isotropic hyperelastic representation of disc tissues, incorporates controlled simplifications, detailed in the limitations section. Degenerative changes [...] Read more.
This study presents a finite element (FE) investigation of intervertebral disc (IVD) degeneration in the human lumbar spine (L1–L3 segment). The model, based on CT-derived geometry and isotropic hyperelastic representation of disc tissues, incorporates controlled simplifications, detailed in the limitations section. Degenerative changes were parametrically simulated across healthy, mild, moderate, and severe stages by reducing disc height (up to 60%), nucleus pulposus volume (up to 70%), and adjusting tissue stiffness to reflect dehydration and fibrosis. Displacement-controlled compressive loading was applied to assess von Mises stress distributions, reaction forces, and load transfer mechanisms. Results indicate significant load redistribution: annulus fibrosus stresses increased by up to 175% in severe degeneration, while nucleus pulposus stresses decreased by ~70%, indicating a diminished compressive load-bearing contribution of the nucleus. Model predictions were validated against cadaveric and in vivo data, confirming trends in intradiscal pressure (IDP) reductions (40–70%) and stress elevations. The parametric framework elucidates interactions between geometric and material changes, providing clinicians with insights into degeneration progression and guiding biomedical engineers in implant design and interventions. Full article
(This article belongs to the Special Issue Spine Biomechanics)
Show Figures

Graphical abstract

21 pages, 4627 KB  
Article
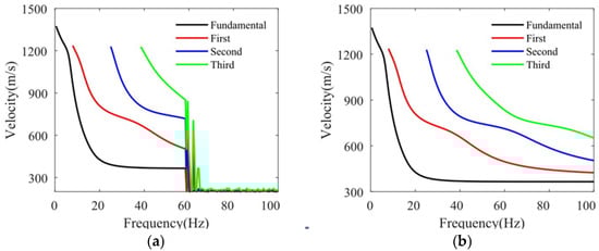
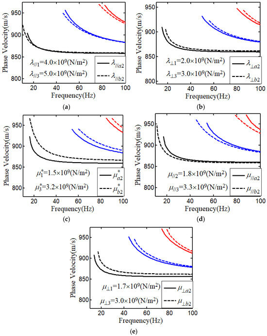
Analytical Non-Decoupled Solution and Dispersion Characteristics of Rayleigh Waves in Multi-Layered Vertical Transverse Isotropic Media
by Xiaobo Liu, Linjing Zhao and Alexey Stovas
Mathematics 2026, 14(4), 700; https://doi.org/10.3390/math14040700 - 16 Feb 2026
Viewed by 196
Abstract
Seismic wavefield simulation is the primary technique used to study the effects of vertical transverse isotropy (VTI) on the propagation of Rayleigh waves. However, conventional Rayleigh wave dispersion equations are based on isotropic assumptions and cannot be applied to the dispersion characteristics of [...] Read more.
Seismic wavefield simulation is the primary technique used to study the effects of vertical transverse isotropy (VTI) on the propagation of Rayleigh waves. However, conventional Rayleigh wave dispersion equations are based on isotropic assumptions and cannot be applied to the dispersion characteristics of multi-layered VTI media. Based on the Rayleigh wave potential functions in VTI media, this study derives inhomogeneous wave equations governing the Rayleigh wave potentials. These equations exhibit a distinctive duality; the particular solution associated with the inhomogeneous term in the P-wave equation coincides exactly with the solution of the homogeneous SV-wave equation. Compared to existing methods, the solution to the wave equations does not require decoupling. Using conventional exponential-form potential function solutions, this study realizes the analytical computation of Rayleigh wave inhomogeneous wave equations in VTI media and establishes a dispersion equation for multi-layered VTI media. The reliability of the method is verified through mathematical back substitution and numerical validation. To further explore the dispersion characteristics of Rayleigh waves in VTI media, a three-layered model is designed, and the dispersion response features under different VTI parameters are computed, indicating the high sensitivity of the dispersion curves to changes in any of the five VTI parameters. This paper presents a non-decoupled recursive analytical method for computing Rayleigh wave wavefields and dispersion curves in VTI media. The approach requires solving only a second-order inhomogeneous boundary-value differential equation and adopts the standard exponential potential representation used for isotropic media. This makes the method more practical and yields a fast, convenient algorithm for seismic parameter inversion and data processing in VTI media. Full article
(This article belongs to the Section C1: Difference and Differential Equations)
Show Figures

Figure 1

17 pages, 596 KB  
Article
Temporal Attentive Graph Networks for Financial Surveillance: An Incremental Multi-Scale Framework
by Wei Zhang, Yimin Shen, Hang Zhou, Bo Zhou, Xianju Zheng and Xiang Chen
J. Sens. Actuator Netw. 2026, 15(1), 23; https://doi.org/10.3390/jsan15010023 - 16 Feb 2026
Viewed by 253
Abstract
Systemic risk propagation in modern financial markets is characterized by non-linear contagion and rapid topological evolution, rendering traditional static monitoring methods ineffective. Existing Graph Neural Networks (GNNs) often struggle to capture “structural breaks” during crises due to their reliance on static adjacency assumptions [...] Read more.
Systemic risk propagation in modern financial markets is characterized by non-linear contagion and rapid topological evolution, rendering traditional static monitoring methods ineffective. Existing Graph Neural Networks (GNNs) often struggle to capture “structural breaks” during crises due to their reliance on static adjacency assumptions and isotropic aggregation. To address these challenges, this study proposes the Temporal Attentive Graph Networks (TAGN), a dynamic framework designed for extreme volatility prediction and financial surveillance. TAGN constructs an incremental multi-scale graph by fusing high-frequency trading data, supply chain linkages, and institutional co-holdings to model heterogeneous risk transmission channels. Technically, it employs a deeply coupled GAT-GRU architecture, where the Graph Attention Network (GAT) dynamically assigns weights to contagion sources, and the Gated Recurrent Unit (GRU) memorizes the trajectory of structural evolution. Extensive experiments on the S&P 500 dataset (2018–2024) demonstrate that TAGN significantly outperforms state-of-the-art baselines, including WinGNN and PatchTST, achieving an AUC of 0.890 and a Precision at 50 of 61.5%. Notably, a risk early-warning index derived from TAGN exhibits a 1–2 week lead time over the VIX index during major market stress events, such as the Silicon Valley Bank collapse. This research facilitates a paradigm shift from historical statistical estimation to dynamic network-aware sensing, offering interpretable tools for RegTech applications. Full article
(This article belongs to the Section Big Data, Computing and Artificial Intelligence)
Show Figures

Figure 1

17 pages, 2733 KB  
Article
Multifidelity Topology Optimization with Runtime Verification and Acceptance Control: Benchmark Study in 2D and 3D
by Nikhil Tatke and Jarosław Kaczmarczyk
Materials 2026, 19(4), 769; https://doi.org/10.3390/ma19040769 - 16 Feb 2026
Viewed by 253
Abstract
Topology optimization using density-based approaches often requires high-resolution meshes to achieve reliable compliance evaluation and robustness against mesh dependency. However, increasing the problem sizes—especially in 3D—results in prohibitively expensive computation times. Coarse-mesh approaches significantly accelerate runtimes; however, they also introduce discretization errors that [...] Read more.
Topology optimization using density-based approaches often requires high-resolution meshes to achieve reliable compliance evaluation and robustness against mesh dependency. However, increasing the problem sizes—especially in 3D—results in prohibitively expensive computation times. Coarse-mesh approaches significantly accelerate runtimes; however, they also introduce discretization errors that can guide the optimizer towards incorrect topology families if left unregulated. To address this issue, a multifidelity framework with acceptance control was developed that enables runtime verification and explicitly manages the optimizer state. The main idea is to use coarse discretizations to generate new design proposals and transfer candidate designs to fine discretizations at periodic intervals for verification. Proposals are then accepted or rejected using a best-referenced criterion; if verification fails, the optimizer reverts to the best verified state. The proposed framework balances fine-discretization accountability with coarse-discretization efficiency through configurable verification schedules and a cleanup phase. The framework is evaluated on standard 2D and 3D structural benchmark problems with deterministic load perturbations, and performance is assessed in terms of final verified compliance, wall-clock runtime, acceptance rate, and gray fraction. Full article
(This article belongs to the Section Materials Simulation and Design)
Show Figures

Graphical abstract

15 pages, 6478 KB  
Article
Growth and Characterization of Multicomponent, Equimolar Cubic Solid-Solution Crystals in the CaF2–SrF2–BaF2–NdF3 System
by Irina I. Buchinskaya, Nikolay I. Sorokin, Pavel A. Popov and Denis N. Karimov
Crystals 2026, 16(2), 140; https://doi.org/10.3390/cryst16020140 - 15 Feb 2026
Viewed by 242
Abstract
Equimolar crystals of a high-entropy Ca0.25Sr0.25Ba0.25Nd0.25F2.25 (CaSrBaNdF9) fluoride solid solution were grown from a melt by the Bridgman technique, and their optical, electrical, and thermal properties were studied for the first time. [...] Read more.
Equimolar crystals of a high-entropy Ca0.25Sr0.25Ba0.25Nd0.25F2.25 (CaSrBaNdF9) fluoride solid solution were grown from a melt by the Bridgman technique, and their optical, electrical, and thermal properties were studied for the first time. This solid solution crystallizes in a fluorite-type structure (space group Fm-3m with lattice parameter a = 5.807 Å), is transparent over a wide spectral range, and has a refractive index of nD = 1.5035(5). In terms of ionic conductivity (σdc increases monotonically from 3.7 × 10−5 to 3.9 × 10−4 S/cm in the studied temperature range of 643–810 K), it significantly exceeds the parameters of binary and ternary NdF3-based single crystals, such as M1−xNdxF2+x (M = Ca, Sr, Ba; x = 0.24–0.25) and Ca0.58Sr0.21Nd0.21F2.21. The grown multicomponent material is a hard (HV~3.6 GPa) isomorphic-capacious crystalline matrix for various applications in solid-state ionics, optics and photonics, and opens up prospects for the development of new functional isotropic optical crystalline materials in quaternary CaF2–SrF2–BaF2RF3 and higher-order complex fluoride systems nMF2–mRF3, where n + m ≥ 4, M and R are ions of alkaline earth and rare earth elements, respectively. Full article
(This article belongs to the Special Issue Polymorphism and Phase Transitions in Crystal Materials)
Show Figures

Figure 1

24 pages, 5985 KB  
Article
Stepwise-Regression-Based Finite Mixture Model for Multi-Aspect SAR Image Modeling
by Rui Zhu, Fei Teng and Wen Hong
Remote Sens. 2026, 18(4), 610; https://doi.org/10.3390/rs18040610 - 15 Feb 2026
Viewed by 139
Abstract
Compared with conventional synthetic aperture radar (SAR), multi-aspect SAR can observe a scene from various aspects, thus providing a more detailed and comprehensive analysis and description of the target. As a result, an accurate, stable, and efficient model is required to adaptively model [...] Read more.
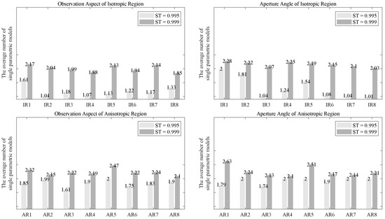
Compared with conventional synthetic aperture radar (SAR), multi-aspect SAR can observe a scene from various aspects, thus providing a more detailed and comprehensive analysis and description of the target. As a result, an accurate, stable, and efficient model is required to adaptively model the multi-aspect SAR images according to the precision requirements. To address this challenge, we propose a stepwise-regression-based finite mixture model (SRFMM), with the aim of constructing a finite mixture model (FMM) by combining the fewest single parametric models that meet a specified accuracy demand. The SRFMM first employs a voting-based ranking strategy to determine the order in which the single parametric models are added to the FMM. And then, it linearly combines single parametric models one by one in the determined order until the desired accuracy is achieved or overfitting occurs to obtain the final FMM. In the implementation of SRFMM, we employ the particle swarm optimization (PSO) algorithm for parameter and coefficient estimation due to its robustness and parallelism. We have conducted an experimental evaluation of the SRFMM using the C-band circular SAR (CSAR) data, and the results indicated that the SRFMM can accurately, stably, and efficiently model the isotropic and anisotropic regions in multi-aspect SAR images under various observation aspects and aperture angles. Evaluation on the X-band CSAR data also indicates the applicability of the SRFMM. Full article
Show Figures

Figure 1

19 pages, 5874 KB  
Article
Biomechanical Comparison of Three Fixation Constructs for Tile Type C1.2 Pelvic Ring Fractures: A Finite Element Analysis
by Adrian Claudiu Carp, Bogdan Veliceasa, Dmour Awad, Alexandru Filip, Mihaela Perțea, Norin Forna, Bogdan Puha, Ștefan Dragoș Tîrnovanu, Mihnea Theodor Sîrbu, Silviu Dumitru Pavăl and Paul Dan Sîrbu
Life 2026, 16(2), 336; https://doi.org/10.3390/life16020336 - 15 Feb 2026
Viewed by 297
Abstract
Fractures of the pelvic ring are among the most severe injuries in orthopaedic practice and Tile type C lesions are characterized by complete disruption of the posterior arch with both vertical and rotational instability. The optimal construct for posterior ring fixation remains a [...] Read more.
Fractures of the pelvic ring are among the most severe injuries in orthopaedic practice and Tile type C lesions are characterized by complete disruption of the posterior arch with both vertical and rotational instability. The optimal construct for posterior ring fixation remains a matter of debate. The aim of this study was to compare, by means of finite element analysis, the biomechanical performance of three different methods of osteosynthesis for Tile type C1.2 pelvic ring fractures: a transiliac plate, one iliosacral screw and two anterior reconstruction plates on the sacroiliac joint. A three-dimensional model of an intact pelvis was reconstructed from computed tomography images of a healthy adult male. A Tile type C1.2 injury pattern was created virtually, and three fixation constructs were designed in Ansys SpaceClaim according to manufacturer specifications. All materials were assumed to be homogeneous, isotropic and linearly elastic. Vertical loads of 400 N and 800 N were applied to the sacral endplate to simulate partial and full weight bearing, while the acetabular regions were constrained to represent standing stance. In this study, mechanical stability was operationally defined as resistance to global displacement under applied vertical load, with lower displacement indicating higher construct stiffness. Construct stiffness, total deformation and von Mises stress were assessed for bone and implants. For both loading conditions, the iliosacral screw construct showed the lowest overall displacement and provided the greatest stiffness. The transiliac plate construct presented larger displacements, whereas the anterior reconstruction plate construct provided intermediate stability with higher stresses at the sacroiliac joint. Among the analyzed constructs, the iliosacral screw provided the greatest stiffness and lowest overall displacement, suggesting superior mechanical performance under vertical loading conditions. Full article
(This article belongs to the Section Physiology and Pathology)
Show Figures

Figure 1

24 pages, 6035 KB  
Article
Cross-Scale Coupling Model of CPFEM and Thermo-Elasto-Plastic FEM for Residual Stress Prediction in TA15 Welds
by Xuezhi Zhang, Yilai Chen, Anguo Huang, Shengyong Pang and Lvjie Liang
Materials 2026, 19(4), 754; https://doi.org/10.3390/ma19040754 - 14 Feb 2026
Viewed by 296
Abstract
Existing macroscopic finite element models for electron beam welding (EBW) typically assume isotropic material behavior, often failing to accurately predict residual stresses induced by strong crystallographic textures. To address this limitation, this study established a sequential dual-scale coupled numerical model bridging micro-texture to [...] Read more.
Existing macroscopic finite element models for electron beam welding (EBW) typically assume isotropic material behavior, often failing to accurately predict residual stresses induced by strong crystallographic textures. To address this limitation, this study established a sequential dual-scale coupled numerical model bridging micro-texture to macro-mechanics by combining the crystal plasticity finite element method (CPFEM) with thermal-elastic-plastic theory. Representative volume elements (RVEs) incorporating α and β dual-phase characteristics were constructed based on electron backscatter diffraction (EBSD) data from the TA15 weld cross-section. Through simulated tensile and shear calculations on the RVEs, homogenized orthotropic stiffness matrices and Hill yield constitutive parameters were derived and mapped onto the macroscopic model. Simulation results indicate that the proposed model maintains the prediction error for molten pool morphology within 16.3%, while effectively correcting the stress overestimation inherent in isotropic models. Specifically, it adjusts the peak longitudinal residual stress at the weld center from 800 MPa to approximately 350 MPa, significantly reducing the anomalous “M-shaped” stress distribution. By successfully capturing shear stress components, this work provides a high-fidelity computational approach for predicting complex stress states in welded joints, offering critical insights for structural integrity assessment. Full article
(This article belongs to the Section Materials Simulation and Design)
Show Figures

Figure 1

20 pages, 646 KB  
Article
Kinematic Anisotropies in PTA Observations: Analytical Toolkit
by Maximilian Blümke, Kai Schmitz, Tobias Schröder, Deepali Agarwal and Joseph D. Romano
Symmetry 2026, 18(2), 355; https://doi.org/10.3390/sym18020355 - 14 Feb 2026
Viewed by 143
Abstract
The reported evidence for an isotropic gravitational-wave background (GWB) from pulsar timing array (PTA) collaborations has motivated searches for extrinsic and intrinsic anisotropies. Kinematic anisotropies may arise as a consequence of a boosted observer moving with respect to the frame in which the [...] Read more.
The reported evidence for an isotropic gravitational-wave background (GWB) from pulsar timing array (PTA) collaborations has motivated searches for extrinsic and intrinsic anisotropies. Kinematic anisotropies may arise as a consequence of a boosted observer moving with respect to the frame in which the GWB appears isotropic. In this work, we present an analytical toolbox to describe the effects of kinematic anisotropies on the overlap reduction function. Our analytical results differ from previous findings at the quadrupole order and are detailed in three appendices. For the first time, we also derive the corresponding auto-correlation using two approaches, taking the pulsar distances to be infinite or finite, respectively. Our formulas can be used in forecasts or Bayesian analysis pipelines. Full article
Show Figures

Figure 1

Back to TopTop