Sign in to use this feature.

Years

Between: -

Subjects

remove_circle_outline
remove_circle_outline
remove_circle_outline
remove_circle_outline
remove_circle_outline
remove_circle_outline
remove_circle_outline
remove_circle_outline
remove_circle_outline

Journals

Article Types

Countries / Regions

remove_circle_outline
remove_circle_outline
remove_circle_outline
remove_circle_outline

Search Results (388)

Search Parameters:
Keywords = intraarticular injections

Order results
Result details
Results per page
Select all
Export citation of selected articles as:
11 pages, 241 KB  
Review
Current Concepts in Viscosupplementation: New Classification System and Emerging Frontiers
by Gustavo Constantino de Campos and Alberto Cliquet
Bioengineering 2025, 12(10), 1050; https://doi.org/10.3390/bioengineering12101050 - 29 Sep 2025
Abstract
Viscosupplementation with intra-articular hyaluronic acid (HA) is a key therapeutic option for osteoarthritis (OA), yet the field is hampered by clinical controversies and an outdated classification of available products. This comprehensive review critically analyzes the current landscape, moving from a mechanical to a [...] Read more.
Viscosupplementation with intra-articular hyaluronic acid (HA) is a key therapeutic option for osteoarthritis (OA), yet the field is hampered by clinical controversies and an outdated classification of available products. This comprehensive review critically analyzes the current landscape, moving from a mechanical to a biological paradigm of HA’s mechanism of action. We argue that the traditional HA product classification based solely on molecular weight is insufficient, as it conflates chemically distinct products. Therefore, we propose a new, two-tiered classification framework: the primary distinction is based on chemical structure, separating linear (non-modified) HA from cross-linked (chemically modified) HA. Linear HA is then sub-classified by molecular weight (Low, Intermediate, and High), while cross-linked HA is defined as a separate category of hydrogels with a ultra-high effective molecular weight. Within this clearer framework, we analyze the central controversy between formulations, highlighting the pivotal emergence of high-concentration, high-molecular-weight (>2 million Dalton) linear HA. These formulations not only challenge the durability rationale for cross-linking by providing year-long efficacy but also possess a superior biological profile for chondroprotection, preserving chondrocyte viability and function. Furthermore, we explore the expanding frontier of combination therapies, where linear HA serves as the ideal physiological scaffold for agents like corticosteroids, PRP and other injectable orthobiologics such as bone marrow aspirate and stromal vascular fraction. Full article
24 pages, 687 KB  
Review
Current Concepts of Local Antibiotic Delivery in Bone and Joint Infections—A Narrative Review of Techniques and Clinical Experiences
by Christof Ernst Berberich
Microorganisms 2025, 13(10), 2276; https://doi.org/10.3390/microorganisms13102276 - 29 Sep 2025
Abstract
Prophylactic measures and treatment strategies of implant-related bone and joint infections frequently involve the local delivery of high doses of antimicrobial drugs into the affected bone tissue or articular space in addition to the use of systemic antibiotics. Antibiotic-loaded biomaterials, such as Polymethyl [...] Read more.
Prophylactic measures and treatment strategies of implant-related bone and joint infections frequently involve the local delivery of high doses of antimicrobial drugs into the affected bone tissue or articular space in addition to the use of systemic antibiotics. Antibiotic-loaded biomaterials, such as Polymethyl Methacrylate (PMMA) cement, calcium sulfate, calcium phosphate, bioglass, and others, have proven to be clinically effective. However, they suffer from important limitations regarding elution and freedom of choice of admixable antimicrobial drugs. In order to overcome these shortcomings, the techniques of direct intraosseous or intra-articular injection/infusion of antibiotics via needles/cannulas or catheters are gaining popularity. Their attractiveness is based on the potential to achieve extremely high drug concentrations in situ, which can be maintained for as long as the catheters are left in place without increased risks of systemic toxicity. Although these methods are still in an experimental stage, reports on their clinical outcomes look promising. This articles summarizes the knowledge of when, how, and in which clinical settings the different modes and philosophies of local antibiotic delivery work best, with the aim to provide surgeons and infectious disease physicians guidance in clinical practice. This will help to optimize the use for the sake of the patients. Full article
(This article belongs to the Section Biofilm)
Show Figures

Figure 1

25 pages, 686 KB  
Systematic Review
Autogenous Injections in Temporomandibular Disorders: A Systematic Review
by Sylwia Orzeszek, Andrzej Malysa, Andrej Jenca, Magdalena Gebska, Katarzyna Sluzalec-Wieckiewicz, Marek Zietek and Piotr Seweryn
J. Clin. Med. 2025, 14(18), 6640; https://doi.org/10.3390/jcm14186640 - 20 Sep 2025
Viewed by 293
Abstract
Background/Objectives: Temporomandibular disorders (TMD) are a heterogeneous group of musculoskeletal conditions affecting the temporomandibular joints and masticatory muscles. In recent years, autogenous injections have been investigated as minimally invasive therapeutic options to alleviate pain and improve function. However, the clinical effectiveness of such [...] Read more.
Background/Objectives: Temporomandibular disorders (TMD) are a heterogeneous group of musculoskeletal conditions affecting the temporomandibular joints and masticatory muscles. In recent years, autogenous injections have been investigated as minimally invasive therapeutic options to alleviate pain and improve function. However, the clinical effectiveness of such therapies across different TMD phenotypes remains uncertain. Methods: Electronic searches were performed in MEDLINE, Embase, and Web of Science for articles published between January 2015 and May 2025. Studies involving intra-articular or intra-muscular autogenous injections in TMD patients were included. The risk of bias was assessed using the Cochrane Risk of Bias 2 tool and the Joanna Briggs Institute (JBI) Critical Appraisal Tools. Results: Thirteen studies met the inclusion criteria. Six were randomized controlled trials (RCTs) and seven were non-randomized clinical studies. Ten studies evaluated intra-articular conditions such as disc displacement or Temporomandibular Joint (TMJ) osteoarthritis, while three focused on myofascial pain. Platelet-Rich Plasma (PRP) was the most frequently investigated agent. Most studies reported statistically significant reductions in pain and improvements in mandibular mobility following autogenous injections, with PRP generally outperforming comparators such as hyaluronic acid, corticosteroids, or saline. No serious adverse events were reported. Conclusions: All PRP and Platelet-Rich Fibrin (PRF) injection protocols reviewed were effective in reducing pain and improving mobility in patients with TMD. However, differences in protocols and follow-up times prevented a meta-analysis from being conducted. More standardized RCTs are needed to determine clear clinical guidelines. Full article
Show Figures

Figure 1

27 pages, 1088 KB  
Article
Clinical and dGEMRIC Evaluation of Microfragmented Adipose Tissue Versus Hyaluronic Acid in Inflammatory Phenotype of Knee Osteoarthritis: A Randomized Controlled Trial
by Vilim Molnar, Željko Jeleč, Eduard Rod, Damir Hudetz, Petar Brlek, Igor Borić, Vid Matišić, Jana Mešić, Eduard Stjepan Pavelić, Dinko Vidović, Dejan Blažević, Fabijan Čukelj, Srećko Sabalić, Josip Štivičić, Tomislav Dujmović, Mario Starešinić, Martin Čemerin, David Glavaš Weinberger, Iva Molnar, Martina Smolić and Dragan Primoracadd Show full author list remove Hide full author list
Biomedicines 2025, 13(9), 2301; https://doi.org/10.3390/biomedicines13092301 - 19 Sep 2025
Viewed by 428
Abstract
Background: Knee osteoarthritis (OA) is a leading cause of disability, with limited therapies that modify both symptoms and structural degeneration. Autologous microfragmented adipose tissue (MFAT) has emerged as a promising regenerative option, especially in phenotypically distinct OA subgroups. This randomized controlled trial [...] Read more.
Background: Knee osteoarthritis (OA) is a leading cause of disability, with limited therapies that modify both symptoms and structural degeneration. Autologous microfragmented adipose tissue (MFAT) has emerged as a promising regenerative option, especially in phenotypically distinct OA subgroups. This randomized controlled trial evaluated the clinical and structural efficacy of intra-articular MFAT versus hyaluronic acid (HA) in patients with early to moderate inflammatory phenotype knee OA. Methods: Fifty-three patients were randomized in a 2:1 ratio to receive either MFAT (n = 35) or HA (n = 18). Patients were followed-up for six months post-injection and evaluated using patient-reported outcome measures (KOOS, WOMAC, VAS) and delayed gadolinium-enhanced MRI of cartilage (dGEMRIC). A responder analysis defined structural response as ≥10% increase in dGEMRIC in ≥3 of 7 predefined cartilage regions. Results: Both MFAT and HA led to statistically significant improvements in clinical scores and cartilage glycosaminoglycan content. MFAT showed greater mean improvements across most clinical and dGEMRIC measures, although without reaching statistical significance, except for KOOS Symptoms (MFAT: +25.0 vs. HA: +12.7, p = 0.008). Responder-level analysis revealed that all patients who demonstrated structural response also experienced clinically meaningful pain improvement (KOOS Pain ≥ 10), while no patient showed structural benefit without parallel symptomatic relief. Conclusions: MFAT led to greater improvement in symptoms related to joint stiffness, swelling, and crepitus compared to HA, reflecting its potential benefit in targeting the inflammatory features of knee OA. Importantly, HA also led to significant clinical and structural improvements, supporting its continued role as a standard-of-care comparator in knee OA management. Furthermore, the correlation between dGEMRIC and clinical response suggests its utility as a predictive biomarker of treatment success. Full article
Show Figures

Figure 1

15 pages, 1571 KB  
Article
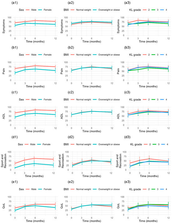
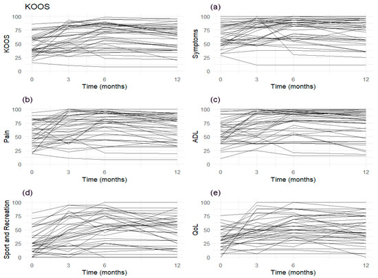
Autologous Micro-Fragmented Adipose Tissue (MFAT) Injections May Be an Effective Treatment for Advanced Knee Osteoarthritis: A Longitudinal Study
by Joachim De Groote, Caro Roten, Elizaveta Fomenko, Pascal Coorevits, André Harth and Yves Depaepe
J. Clin. Med. 2025, 14(18), 6571; https://doi.org/10.3390/jcm14186571 - 18 Sep 2025
Viewed by 249
Abstract
Background/Objectives: Knee osteoarthritis (OA) is a major cause of pain and functional disability worldwide, leading to a growing interest in more durable and less invasive therapies. Micro-fragmented adipose tissue (MFAT) injections have emerged as a promising frontier in regenerative therapies using mesenchymal [...] Read more.
Background/Objectives: Knee osteoarthritis (OA) is a major cause of pain and functional disability worldwide, leading to a growing interest in more durable and less invasive therapies. Micro-fragmented adipose tissue (MFAT) injections have emerged as a promising frontier in regenerative therapies using mesenchymal stem cells (MSCs). This study assessed the safety and effectiveness of MFAT injections for symptomatic knee OA while investigating the duration of treatment effects. Methods: This longitudinal study screened patients with symptomatic Kellgren-Lawrence (KL) grade II-IV knee OA who received single-dose MFAT injections. Outcomes were assessed using the Knee injury and Osteoarthritis Outcome Score (KOOS) subscales at baseline, 3, 6, and 12 months. A linear mixed effects model was performed to explore how age, BMI, sex, and OA severity influence outcomes. Results: Among 39 evaluable patients, mean baseline KOOS was 46.5 (SD 18.1). KOOS scores improved significantly across all subscales, peaking at six months and remaining higher than baseline at 12 months. Improvements exceeded clinically meaningful thresholds, including KL grades IV. Female patients reported significantly worse overall outcomes than male patients (p < 0.05). Minor self-limiting synovitis was reported in 18% of cases, and no severe adverse events were observed. Conclusions: MFAT infiltration may represent a safe, minimally invasive option to improve symptoms and delay surgery in patients with knee OA, including those with advanced disease. These findings highlight the potential role of MFAT as part of the treatment algorithm for knee OA, although strategies to sustain long-term benefits and confirmatory trials are needed. Full article
(This article belongs to the Special Issue Knee Osteoarthritis: Clinical Updates and Perspectives)
Show Figures

Figure 1

13 pages, 403 KB  
Review
The Role of Platelet-Rich Plasma (PRP) in the Treatment of Patellofemoral Arthritis and Anterior Knee Pain: A Systematic Review
by Byron Chalidis, Charalampos Pitsilos and Vasileios Davitis
Int. J. Mol. Sci. 2025, 26(18), 9006; https://doi.org/10.3390/ijms26189006 - 16 Sep 2025
Viewed by 502
Abstract
Patellofemoral osteoarthritis (OA) and chondromalacia patellae (CMP) are common and disabling conditions that significantly affect physical performance and quality of life. Despite the great deal of scientific research on the subject, there is limited evidence regarding the outcome of nonoperative interventional procedures. Platelet-rich [...] Read more.
Patellofemoral osteoarthritis (OA) and chondromalacia patellae (CMP) are common and disabling conditions that significantly affect physical performance and quality of life. Despite the great deal of scientific research on the subject, there is limited evidence regarding the outcome of nonoperative interventional procedures. Platelet-rich plasma (PRP) has demonstrated positive results for tibiofemoral knee osteoarthritis, but its role in anterior knee pain (AKP) remains unclear. The aim of this study was to review the evidence on the efficacy (clinical and radiological) and safety of PRP in patients suffering from patellofemoral OA, CMP, and AKP. Medline/Pubmed, Web of Science, and Scopus databases were systematically searched up to June 2025 to identify all the available relevant studies. Five studies, including 146 patients, fulfilled the eligibility criteria and were included in the systematic review. Although there was a statistically significant improvement in clinical setting, radiologic evidence of cartilage regeneration was limited and uncertain. Specifically, the pooled analysis revealed an improvement of the Visual Analogue Scale from 6.7 to 2.1 (p < 0.001), the Western Ontario and McMaster Universities Osteoarthritis Index score from 24 to 10.3 (p < 0.001), the Oxford score from 35.1 to 37.4 (p < 0.001), the Kujala score from 71 to 83 (p < 0.001), and the Tegner/Lysholm score from 65.3 to 86.5 (p < 0.001). Well-designed and appropriately powered randomized trials with imaging endpoints are needed to validate the efficacy of PRP administration in PFA, CMP, and AKP and refine patient selection criteria. Full article
Show Figures

Figure 1

14 pages, 412 KB  
Article
MRI-Based Evaluation of PRP Therapy in Knee Osteoarthritis: WORMS and Synovial Changes at 6 Months
by Takanori Wakayama, Yoshitomo Saita, Sayuri Uchino, Yohei Kobayashi, Hirofumi Nishio, Shin Fukusato, Yasumasa Momoi, Hiroshi Ikeda, Kazuo Kaneko and Muneaki Ishijima
J. Clin. Med. 2025, 14(18), 6408; https://doi.org/10.3390/jcm14186408 - 11 Sep 2025
Viewed by 1010
Abstract
Objective: Platelet-rich plasma (PRP) therapy has become a popular treatment for knee osteoarthritis. We aimed to determine the outcomes of knee osteoarthritis patients following PRP therapy using magnetic resonance imaging (MRI) findings and patient-reported outcome measures (PROMs). Design: In this retrospective observational cohort [...] Read more.
Objective: Platelet-rich plasma (PRP) therapy has become a popular treatment for knee osteoarthritis. We aimed to determine the outcomes of knee osteoarthritis patients following PRP therapy using magnetic resonance imaging (MRI) findings and patient-reported outcome measures (PROMs). Design: In this retrospective observational cohort study, we enrolled 161 patients (221 knees) with varus knee osteoarthritis who received multiple PRP injections at our hospital from June 2017 to June 2019. Patients underwent whole-body MRI before and 6 months after treatment. Whole-organ MRI score (WORMS) cartilage integrity and synovial fluid volume were assessed for the medial femorotibial (MFTJ), lateral femorotibial (LFTJ), and patellofemoral joints (PFJ). Pain visual analog scale and Knee Injury and Osteoarthritis Outcome scores were used as PROMs. In addition, a historical control group of 30 patients with medial knee osteoarthritis who did not receive intra-articular injections was evaluated by MRI over the same period for comparison. Results: After 6 months of PRP therapy, the mean WORMS cartilage score of the LFTJ and PFJ and the total WORMS cartilage score for all three joints improved significantly, and synovial fluid volume reduced significantly. Moreover, a reduction in synovial fluid volume correlated with improvements in several KOOS subscales but not with VAS, which may explain the lack of association with responder status. These results suggest that synovial fluid reduction reflects functional improvement but is not a direct surrogate for pain relief. In addition, the change score of WORMS PFJ cartilage correlated positively with clinical outcomes in responders. By contrast, in the control group, no compartment demonstrated improvement in WORMS cartilage scores, and several compartments showed a trend toward deterioration. Conclusions: In this retrospective observational study, PRP therapy was associated with improvements in WORMS cartilage integrity scores and reductions in synovial fluid volume, with partial correlations to patient-reported outcomes. The inclusion of a historical control group strengthens the interpretation of these findings, although definitive conclusions cannot be drawn. Further randomized controlled trials are needed to confirm these preliminary observations. Full article
(This article belongs to the Special Issue Knee Osteoarthritis: Clinical Updates and Perspectives)
Show Figures

Figure 1

15 pages, 1838 KB  
Review
Preliminary Evidence on Intra-Articular Autologous Conditioned Serum (ACS) in Temporomandibular Joint Disorders (TMDs): A Systematic Review with a Focus on Mechanisms and Potential Application in Clinical Practice
by Marcin Pasternak, Maciej Chęciński, Kamila Chęcińska, Natalia Turosz, Izabella Chyży, Bartosz Kosiński, Klaudia Kwiatkowska, Kalina Romańczyk, Amelia Hoppe and Maciej Sikora
Int. J. Mol. Sci. 2025, 26(18), 8798; https://doi.org/10.3390/ijms26188798 - 10 Sep 2025
Viewed by 425
Abstract
Intra-articular injections form a substantial element of the temporomandibular joint disorder (TMD) therapy. Given the role played by IL-1β in pathology, the use of autologous conditioned serum (ACS) is well-founded. Despite years of effective use in different locations, data regarding the intra-articular administration [...] Read more.
Intra-articular injections form a substantial element of the temporomandibular joint disorder (TMD) therapy. Given the role played by IL-1β in pathology, the use of autologous conditioned serum (ACS) is well-founded. Despite years of effective use in different locations, data regarding the intra-articular administration of ACS in TMD is scarce, and the strategy itself is not routinely applied. This study aims to provide preliminary evidence on the therapeutic efficacy of administering intra-articular ACS in treating TMD. Patients with TMD who received intra-articular ACS were included. More invasive co-interventions, such as arthroscopy, were excluded. Final searches were conducted on 17 June 2025, using five databases (ACM, BASE, DOAJ, PubMed, and SciELO). Risk of bias was evaluated using the RoB 2 tool. The results were tabulated. Only one study met the inclusion criteria. When compared to dextrose prolotherapy in internal TMD, ACS therapy resulted in greater improvement in mouth opening, pain, and joint-sound reduction. The small sample size, head-to-head design, and limited blinding suggest a highly cautious interpretation of the findings. ACS is a promising, but still experimental, therapeutic strategy addressing critical mechanisms in TMD. However, the currently available data is insufficient to confirm the effectiveness and safety of such an approach, and further high-quality studies are needed. This study received no funding. PROSPERO registration number: CRD420251069310. Full article
Show Figures

Figure 1

24 pages, 2508 KB  
Systematic Review
Platelet-Rich Plasma in Equine Osteoarthritis: A Systematic Review of Clinical and Experimental Evidence
by Jorge U. Carmona and Catalina López
Animals 2025, 15(18), 2647; https://doi.org/10.3390/ani15182647 - 9 Sep 2025
Viewed by 556
Abstract
Osteoarthritis (OA) is a major cause of equine lameness, with few effective disease-modifying treatments. This systematic review, conducted following the Preferred Reporting Items for Systematic Reviews and Meta-Analyses (PRISMA) guidelines, evaluated the efficacy of platelet-rich plasma (PRP) for equine OA by analyzing 11 [...] Read more.
Osteoarthritis (OA) is a major cause of equine lameness, with few effective disease-modifying treatments. This systematic review, conducted following the Preferred Reporting Items for Systematic Reviews and Meta-Analyses (PRISMA) guidelines, evaluated the efficacy of platelet-rich plasma (PRP) for equine OA by analyzing 11 studies (6 clinical, 5 experimental) identified through Web of Science, Scopus, and PubMed (2000–2024). The screening process identified 252 records, of which 136 were duplicates and 105 were excluded based on predefined criteria. The analysis showed that intra-articular PRP injections are generally safe, with transient synovial inflammation occurring mainly when PRP was activated with bovine thrombin. Both leukocyte-rich (L-PRP) and leukocyte-poor (P-PRP) formulations exhibited comparable efficacy, though optimal platelet concentrations (423–658 × 103/μL) and dosing regimens remain undefined. A PRISMA-based quality assessment highlighted substantial variability in study design, with clinical trials constrained by small sample sizes and high risk of bias. Experimental studies confirmed PRP’s biological activity but showed inconsistencies in preparation methods. The findings indicate that PRP activation is unnecessary and may even be pro-inflammatory, that multiple injections could improve outcomes, and that reporting of cellular composition is inconsistent across studies. The PRISMA framework identified critical evidence gaps, particularly regarding long-term efficacy and protocol standardization. These results emphasize the need for PRISMA-compliant randomized controlled trials featuring standardized PRP protocols, validated outcome measures, and extended follow-up periods to establish evidence-based guidelines for managing equine OA. Full article
Show Figures

Figure 1

17 pages, 11550 KB  
Article
Cartilage Regeneration Potential in Early Osteoarthritis of the Knee: A Prospective, Randomized, Open, and Blinded Endpoint Study Comparing Adipose-Derived Mesenchymal Stem Cell (ADSC) Therapy Versus Hyaluronic Acid
by Ponthep Tangkanjanavelukul, Saradej Khuangsirikul, Danai Heebthamai, Montarop Yamabhai, Thitima Sumphanapai, Nattapat Khumtong and Thanainit Chotanaphuti
Int. J. Mol. Sci. 2025, 26(17), 8476; https://doi.org/10.3390/ijms26178476 - 31 Aug 2025
Viewed by 868
Abstract
Early-stage knee osteoarthritis (knee OA) lacks effective regenerative therapies. This study aimed to compare the cartilage regenerative effects, clinical efficacy, and safety of intra-articular injections of autologous adipose-derived mesenchymal stem cells (ADSCs) versus hyaluronic acid (HA). Forty-eight patients with early knee OA were [...] Read more.
Early-stage knee osteoarthritis (knee OA) lacks effective regenerative therapies. This study aimed to compare the cartilage regenerative effects, clinical efficacy, and safety of intra-articular injections of autologous adipose-derived mesenchymal stem cells (ADSCs) versus hyaluronic acid (HA). Forty-eight patients with early knee OA were enrolled in a prospective open-blinded multi-center study at Suranaree University of Technology Hospital and Phramongkutklao Hospital. Participants were randomized into either the ADSC or HA group. Primary outcomes included MRI-based cartilage lesion volume, synovial thickness via ultrasound, and WOMAC scores over 6 months. MRI results revealed significant and progressive cartilage regeneration in the ADSC group. In particular, medial femoral cartilage lesion volume decreased by 50.06 mm3, whereas the HA group showed an increase of 36.44 mm3. Synovial thickness also declined significantly in the ADSC group at 3 and 6 months. Both groups demonstrated reduced symptoms, but the ADSC group achieved superior and sustained improvements in WOMAC pain, stiffness, and function scores throughout the 6-month follow-up. The clinical benefits were consistent and more pronounced compared with HA. No serious adverse events occurred. In conclusion, intra-articular ADSC injections show superior cartilage restoration on MRI and better clinical outcomes than HA injection, making them a promising treatment for early-stage knee OA. Full article
Show Figures

Figure 1

33 pages, 3149 KB  
Review
Advances in Intra-Articular Injection Hydrogel Drug Delivery Systems in the Treatment of Rheumatoid Arthritis
by Mong-Hsiu Song, Yuxuan Yan, Bohan Chen, Liming Gong, Liqing Chen, Jing Feng, Mingfeng Han, Chenfei Liu, Congcong Xiao, Mingji Jin, Zhonggao Gao and Wei Huang
Pharmaceutics 2025, 17(9), 1118; https://doi.org/10.3390/pharmaceutics17091118 - 27 Aug 2025
Viewed by 1018
Abstract
Rheumatoid arthritis (RA) is a systemic autoimmune disorder characterized by chronic inflammation of the synovial membrane, leading to synovial hyperplasia, infiltration of immune cells, and subsequent cartilage and bone erosion. This progressive joint pathology results in persistent pain and functional impairment. Currently, convenient [...] Read more.
Rheumatoid arthritis (RA) is a systemic autoimmune disorder characterized by chronic inflammation of the synovial membrane, leading to synovial hyperplasia, infiltration of immune cells, and subsequent cartilage and bone erosion. This progressive joint pathology results in persistent pain and functional impairment. Currently, convenient oral traditional disease-modifying anti-rheumatic drugs (DMARDs) are available, and increasingly precise biologic agents and targeted synthetic DMARDs (tsDMARDs) have been developed, offering promising therapeutic options. However, systemic administration generally fails to achieve therapeutic drug concentrations in the joints owing to poor biodistribution and dose-limiting systemic toxicity. Intra-articular (IA) administration has demonstrated promising potential in addressing these challenges. Among the various strategies employed for IA administration, hydrogels have gained significant attention due to their tunable mechanical properties, biocompatibility, and controlled release capabilities. These unique properties enable hydrogel-based IA delivery systems to simultaneously modulate the inflammatory microenvironment and protect cartilage tissue. This review comprehensively summarizes the histopathological changes and associated cellular and molecular events in RA, while also highlighting the design principles of hydrogels and advanced strategies for hydrogel-based IA administration. By addressing the limitations of conventional treatments, hydrogel-based IA injection holds significant promise for improving RA treatment. Full article
(This article belongs to the Section Drug Delivery and Controlled Release)
Show Figures

Figure 1

19 pages, 4302 KB  
Article
Enhanced Synovial Fluid Rheology in Moderate Knee Osteoarthritis Through Combined Intra-Articular Hyaluronic Acid and Multimodal Physiotherapy: A Monocentric Observational Study
by Daniel Andrei Iordan, Mădălina-Gabriela Coman, Oana-Diana Hrisca-Eva, Alexandru Stavrică-George, Alina-Claudia Gherghin and Ilie Onu
J. Clin. Med. 2025, 14(17), 6051; https://doi.org/10.3390/jcm14176051 - 27 Aug 2025
Viewed by 774
Abstract
Background: Knee osteoarthritis (KOA) is a degenerative joint disorder marked by cartilage degradation, synovial inflammation, and altered synovial fluid (SF) rheology, resulting in pain and impaired joint function. Intra-articular hyaluronic acid (IA-HA) injections aim to restore SF viscoelasticity and improve lubrication; however, their [...] Read more.
Background: Knee osteoarthritis (KOA) is a degenerative joint disorder marked by cartilage degradation, synovial inflammation, and altered synovial fluid (SF) rheology, resulting in pain and impaired joint function. Intra-articular hyaluronic acid (IA-HA) injections aim to restore SF viscoelasticity and improve lubrication; however, their efficacy may be potentiated when combined with physiotherapy (PT). This monocentric observational study evaluated whether the addition of a multimodal PT program to IA-HA therapy enhances SF rheologic properties compared to IA-HA alone. Methods: A total of 52 patients (aged 47–61) with radiographically confirmed moderate KOA (Kellgren–Lawrence grade 2) were enrolled. Patients were assigned to a pilot group (PG; n = 37) receiving IA-HA (Kombihylan®, 3 MDa) combined with a multimodal PT protocol, or a control group (CG; n = 15) receiving IA-HA alone. The PT program included ten sessions of transcutaneous electrical nerve stimulation, low-level laser therapy, therapeutic ultrasound, progressive exercise, and cryotherapy. SF samples were collected immediately after the first injection and again at six weeks, then analyzed rheologically using the Kinexus Pro+ rheometer. Viscosity parameters were assessed via steady and oscillatory shear tests. Results: At baseline, both groups demonstrated comparable SF viscosity profiles. After six weeks, the PG exhibited significantly higher shear viscosity values across all measured percentiles and reduced variability in rheological parameters, suggesting a more stable intra-articular milieu. Rheometric analysis indicated enhanced SF viscoelasticity, potentially mediated by reduced inflammation and stimulation of endogenous HA synthesis. In contrast, the CG showed inconsistent viscosity changes, reflecting variable responses to IA-HA monotherapy. Conclusions: Combining IA-HA with multimodal PT significantly improves SF rheological properties in moderate KOA patients compared to IA-HA alone. These findings support the role of mechanical stimulation in enhancing joint lubrication and homeostasis, offering a more consistent and effective approach to viscosupplementation. Full article
Show Figures

Figure 1

14 pages, 11268 KB  
Article
Hyaluronan-Related Granulomatous Synovitis, Adipositis, and Osteomyelitis in the Osteoarthritic Knee: A Morphological Case Series of Three Patients
by Vera Lyalina, Gulnara Eshmotova, Alexandra Karavan, Andrey Korshunov, Alexey Zarov, Anton Bonartsev, Natalia Serejnikova, Alexey Prizov, George Airapetov and Alexey Volkov
Int. J. Mol. Sci. 2025, 26(16), 8073; https://doi.org/10.3390/ijms26168073 - 21 Aug 2025
Cited by 1 | Viewed by 799
Abstract
Intra-articular hyaluronan injections represent a widely used and generally safe therapeutic approach for knee osteoarthritis (OA). However, the side effects of this treatment remain insufficiently studied. Acute post-injection reactions, particularly those arising from an improper technique resulting in the deposition of the therapeutic [...] Read more.
Intra-articular hyaluronan injections represent a widely used and generally safe therapeutic approach for knee osteoarthritis (OA). However, the side effects of this treatment remain insufficiently studied. Acute post-injection reactions, particularly those arising from an improper technique resulting in the deposition of the therapeutic agent into joint tissues, are well-documented. In contrast, chronic hyaluronan-induced inflammatory responses have received scant attention in the scientific literature. The aim of this study is to characterize for the first time the morphological patterns of chronic granulomatous inflammation induced by exogenous hyaluronan (e-HA) in osteoarthritic knees, focusing on three distinct tissue reactions: synovitis, adipositis, and osteomyelitis. Using a three-case series approach and morphological analysis, we identified e-HA penetration pathways; described associated foreign body responses in the synovial, adipose, and bone tissues of the joints; and emphasized the clinical relevance of these underreported adverse effects. These observations highlight an understudied phenomenon—an active conflict between e-HA and joint tissues that recognize it as a foreign body. The prevalence, clinical significance, and prognostic implications of this phenomenon require further investigation. Full article
(This article belongs to the Special Issue Molecular Mechanisms and Therapeutic Approaches to Osteoarthritis)
Show Figures

Figure 1

19 pages, 2846 KB  
Article
Synovial Fluid Biomarker Profile After Intra-Articular Administration of Neosaxitoxin in Horses: A Feasibility Study
by Cristóbal Dörner, Néstor Lagos, Lissette Oyaneder, Bruno C. Menarim and Galia Ramírez-Toloza
Animals 2025, 15(16), 2453; https://doi.org/10.3390/ani15162453 - 21 Aug 2025
Viewed by 516
Abstract
Osteoarthritis (OA) is an inflammatory joint disease and the leading cause of musculoskeletal disability affecting human and veterinary patients. New therapeutics halting inflammation while preserving joint homeostasis remain a critical need. Voltage-gated sodium (NaV) channels regulate the pro-inflammatory response of macrophages in the [...] Read more.
Osteoarthritis (OA) is an inflammatory joint disease and the leading cause of musculoskeletal disability affecting human and veterinary patients. New therapeutics halting inflammation while preserving joint homeostasis remain a critical need. Voltage-gated sodium (NaV) channels regulate the pro-inflammatory response of macrophages in the synovium, the central driver of joint homeostasis. Neosaxitoxin (NeoSTX) is a phycotoxin that blocks NaV channels, conferring a unique potential to regulate joint inflammation. This study evaluated the safety of intra-articular administration of NeoSTX in horses. Sixteen horses were allocated into two groups (n = 8/each). One group received one intraarticular dose (20 µg/2 mL of saline) of NeoSTX into one tarsocrural joint, while the control group received 2 mL of saline (0.9% NaCl). No differences were observed between groups for systemic or local signs of inflammation, including objective measures of surface temperature and joint effusion. Concentrations of synovial fluid total nucleated and differential cell counts, total protein, glucose, calcium, and 23 cytokines/chemokines measured throughout this study did not differ between treatment groups. In this short-term study, intra-articular NeoSTX injection was shown to be well tolerated and likely safe. Ongoing studies should elucidate the role of NeoSTX in modulating synovial mechanisms of inflammation and its endogenous resolution. Full article
(This article belongs to the Section Equids)
Show Figures

Figure 1

24 pages, 3018 KB  
Systematic Review
The Effects of Hyaluronic Acid on Gait Parameters in Patients with Knee Osteoarthritis: A Systematic Literature Review
by Cosimo Costantino, Sara Ronzoni, Annalisa Ingletto, Roberto Sabato, Antonello Salerno, Stefano Palermi, Ruben Foresti, Chiara Martini and Andrea Demeco
Medicina 2025, 61(8), 1488; https://doi.org/10.3390/medicina61081488 - 20 Aug 2025
Viewed by 760
Abstract
Background and Objectives: Knee Osteoarthritis affects about 10% of people over 50, causing pain and functional limitation. Hyaluronic acid (HA) is crucial in regulating the osteocartilaginous matrix. Patients are usually assessed using clinical scores to examine symptoms and quality of life, and [...] Read more.
Background and Objectives: Knee Osteoarthritis affects about 10% of people over 50, causing pain and functional limitation. Hyaluronic acid (HA) is crucial in regulating the osteocartilaginous matrix. Patients are usually assessed using clinical scores to examine symptoms and quality of life, and in this context, gait analysis could provide an objective assessment of walking patterns to identify any deficits. This systematic review investigates the short and long-term effects of intra-articular HA injections on gait kinematics, pain and activities of daily living (ADL), investigating the correlation between outcomes. Materials and Methods: The review followed PRISMA guidelines. The PICO model included patients with radiographic knee osteoarthritis who received intra-articular HA injections, comparing them to healthy controls or those receiving corticosteroids or placebo. Outcomes included gait kinetics and functional scales at baseline and during follow-ups. Results: From 342 identified articles, 13 were included, comprising a total of 321 patients. The gait analysis utilized optoelectronic systems, inertial sensors, and electromyographic sensors pre- and post-HA treatment. Clinical parameters were assessed using the Visual Analogue Scale, WOMAC OA, Knee Society Score, Lequesne Score, and SF-36. The data showed significant improvement in speed (p = 0.001) and step cadence (p < 0.005) 30 days post-treatment and improvements in knee adduction moment (p < 0.001) and sagittal ground reaction force vectors (p < 0.01) up to six months post-treatment. Pain reduction and improvements in VAS (p < 0.001) and Lequesne score (p < 0.001) were observed in short-term follow-ups. Conclusions: Our study suggests an improvement in pain and knee function after hyaluronic acid injection. Moreover, gait analysis is an important tool for objectively assessing deficits and developing personalized rehabilitation programs. Furthermore, combining infiltrative treatment with rehabilitation could extend the effects of hyaluronic acid and improve results. Full article
(This article belongs to the Section Orthopedics)
Show Figures

Figure 1

Back to TopTop