Sign in to use this feature.

Years

Between: -

Subjects

remove_circle_outline
remove_circle_outline
remove_circle_outline
remove_circle_outline
remove_circle_outline
remove_circle_outline
remove_circle_outline
remove_circle_outline
remove_circle_outline

Journals

Article Types

Countries / Regions

Search Results (23)

Search Parameters:
Keywords = interval Shapley value

Order results
Result details
Results per page
Select all
Export citation of selected articles as:
22 pages, 4825 KB  
Article
Multidimensional Visualization and AI-Driven Prediction Using Clinical and Biochemical Biomarkers in Premature Cardiovascular Aging
by Kuat Abzaliyev, Madina Suleimenova, Symbat Abzaliyeva, Madina Mansurova, Adai Shomanov, Akbota Bugibayeva, Arai Tolemisova, Almagul Kurmanova and Nargiz Nassyrova
Biomedicines 2025, 13(10), 2482; https://doi.org/10.3390/biomedicines13102482 - 12 Oct 2025
Viewed by 313
Abstract
Background: Cardiovascular diseases (CVDs) remain the primary cause of global mortality, with arterial hypertension, ischemic heart disease (IHD), and cerebrovascular accident (CVA) forming a progressive continuum from early risk factors to severe outcomes. While numerous studies focus on isolated biomarkers, few integrate multidimensional [...] Read more.
Background: Cardiovascular diseases (CVDs) remain the primary cause of global mortality, with arterial hypertension, ischemic heart disease (IHD), and cerebrovascular accident (CVA) forming a progressive continuum from early risk factors to severe outcomes. While numerous studies focus on isolated biomarkers, few integrate multidimensional visualization with artificial intelligence to reveal hidden, clinically relevant patterns. Methods: We conducted a comprehensive analysis of 106 patients using an integrated framework that combined clinical, biochemical, and lifestyle data. Parameters included renal function (glomerular filtration rate, cystatin C), inflammatory markers, lipid profile, enzymatic activity, and behavioral factors. After normalization and imputation, we applied correlation analysis, parallel coordinates visualization, t-distributed stochastic neighbor embedding (t-SNE) with k-means clustering, principal component analysis (PCA), and Random Forest modeling with SHAP (SHapley Additive exPlanations) interpretation. Bootstrap resampling was used to estimate 95% confidence intervals for mean absolute SHAP values, assessing feature stability. Results: Consistent patterns across outcomes revealed impaired renal function, reduced physical activity, and high hypertension prevalence in IHD and CVA. t-SNE clustering achieved complete separation of a high-risk group (100% CVD-positive) from a predominantly low-risk group (7.8% CVD rate), demonstrating unsupervised validation of biomarker discriminative power. PCA confirmed multidimensional structure, while Random Forest identified renal function, hypertension status, and physical activity as dominant predictors, achieving robust performance (Accuracy 0.818; AUC-ROC 0.854). SHAP analysis identified arterial hypertension, BMI, and physical inactivity as dominant predictors, complemented by renal biomarkers (GFR, cystatin) and NT-proBNP. Conclusions: This study pioneers the integration of multidimensional visualization and AI-driven analysis for CVD risk profiling, enabling interpretable, data-driven identification of high- and low-risk clusters. Despite the limited single-center cohort (n = 106) and cross-sectional design, the findings highlight the potential of interpretable models for precision prevention and transparent decision support in cardiovascular aging research. Full article
(This article belongs to the Section Molecular and Translational Medicine)
Show Figures

Figure 1

25 pages, 3499 KB  
Article
Dual Machine Learning Framework for Predicting Long-Term Glycemic Change and Prediabetes Risk in Young Taiwanese Men
by Chung-Chi Yang, Sheng-Tang Wu, Ta-Wei Chu, Chi-Hao Liu and Yung-Jen Chuang
Diagnostics 2025, 15(19), 2507; https://doi.org/10.3390/diagnostics15192507 - 2 Oct 2025
Viewed by 499
Abstract
Background: Early detection of dysglycemia in young adults is important but underexplored. This study aimed to (1) predict long-term changes in fasting plasma glucose (δ-FPG) and (2) classify future prediabetes using complementary machine learning (ML) approaches. Methods: We analyzed 6247 Taiwanese men aged [...] Read more.
Background: Early detection of dysglycemia in young adults is important but underexplored. This study aimed to (1) predict long-term changes in fasting plasma glucose (δ-FPG) and (2) classify future prediabetes using complementary machine learning (ML) approaches. Methods: We analyzed 6247 Taiwanese men aged 18–35 years (mean follow-up 5.9 years). For δ-FPG (continuous outcome), random forest, stochastic gradient boosting (SGB), eXtreme gradient boosting (XGBoost), and elastic net were compared with multiple linear regression using Symmetric mean absolute percentage error (SMAPE), Root mean squared error (RMSE), Relative absolute error(RAE), and Root relative squared error (RRSE) Sensitivity analyses excluded baseline FPG (FPGbase). Shapley additive explanations(SHAP) values provided interpretability, and stability was assessed across 10 repeated train–test cycles with confidence intervals. For prediabetes (binary outcome), an XGBoost classifier was trained on top predictors, with class imbalance corrected by SMOTE-Tomek. Calibration and decision-curve analysis (DCA) were also performed. Results: ML models consistently outperformed regression on all error metrics. FPGbase was the dominant predictor in full models (100% importance). Without FPGbase, key predictors included body fat, white blood cell count, age, thyroid-stimulating hormone, triglycerides, and low-density lipoprotein cholesterol. The prediabetes classifier achieved accuracy 0.788, precision 0.791, sensitivity 0.995, ROC-AUC 0.667, and PR-AUC 0.873. At a high-sensitivity threshold (0.2892), sensitivity reached 99.53% (specificity 47.46%); at a balanced threshold (0.5683), sensitivity was 88.69% and specificity was 90.61%. Calibration was acceptable (Brier 0.1754), and DCA indicated clinical utility. Conclusions: FPGbase is the strongest predictor of glycemic change, but adiposity, inflammation, thyroid status, and lipids remain informative. A dual interpretable ML framework offers clinically actionable tools for screening and risk stratification in young men. Full article
(This article belongs to the Special Issue Metabolic Diseases: Diagnosis, Management, and Pathogenesis)
Show Figures

Figure 1

30 pages, 3032 KB  
Article
A Bayesian Additive Regression Trees Framework for Individualized Causal Effect Estimation
by Lulu He, Lixia Cao, Tonghui Wang, Zhenqi Cao and Xin Shi
Mathematics 2025, 13(13), 2195; https://doi.org/10.3390/math13132195 - 4 Jul 2025
Viewed by 1009
Abstract
In causal inference research, accurate estimation of individualized treatment effects (ITEs) is at the core of effective intervention. This paper proposes a dual-structure ITE-estimation model based on Bayesian Additive Regression Trees (BART), which constructs independent BART sub-models for the treatment and control groups, [...] Read more.
In causal inference research, accurate estimation of individualized treatment effects (ITEs) is at the core of effective intervention. This paper proposes a dual-structure ITE-estimation model based on Bayesian Additive Regression Trees (BART), which constructs independent BART sub-models for the treatment and control groups, estimates ITEs using the potential outcome framework and enhances posterior stability and estimation reliability through Markov Chain Monte Carlo (MCMC) sampling. Based on psychological stress questionnaire data from graduate students, the study first integrates BART with the Shapley value method to identify employment pressure as a key driving factor and reveals substantial heterogeneity in ITEs across subgroups. Furthermore, the study constructs an ITE model using a dual-structured BART framework (BART-ITE), where employment pressure is defined as the treatment variable. Experimental results show that the model performs well in terms of credible interval width and ranking ability, demonstrating superior heterogeneity detection and individual-level sorting. External validation using both the Bootstrap method and matching-based pseudo-ITE estimation confirms the robustness of the proposed model. Compared with mainstream meta-learning methods such as S-Learner, X-Learner and Bayesian Causal Forest, the dual-structure BART-ITE model achieves a favorable balance between root mean square error and bias. In summary, it offers clear advantages in capturing ITE heterogeneity and enhancing estimation reliability and individualized decision-making. Full article
(This article belongs to the Special Issue Bayesian Learning and Its Advanced Applications)
Show Figures

Figure 1

16 pages, 543 KB  
Article
Associations of Academic Study- and Non-Study-Related Sedentary Behaviors with Incident Obesity in Children and Adolescents
by Tingyu Lu, Meng Li, Ruihang Zhang, Ruiqiang Li, Shaojun Shen, Qiuxia Chen, Rong Liu, Jiao Wang, Yabin Qu and Lin Xu
Nutrients 2025, 17(10), 1633; https://doi.org/10.3390/nu17101633 - 9 May 2025
Viewed by 891
Abstract
Objective: To assess the associations between academic study- and non-study-related sedentary behaviors and the risk of overweight/obesity in children and adolescents, as well as their joint association with sugar-sweetened beverage (SSB) consumption. Methods: Sedentary behaviors and SSB consumption were assessed using [...] Read more.
Objective: To assess the associations between academic study- and non-study-related sedentary behaviors and the risk of overweight/obesity in children and adolescents, as well as their joint association with sugar-sweetened beverage (SSB) consumption. Methods: Sedentary behaviors and SSB consumption were assessed using self-reported questionnaires. Overweight/obesity were defined by age- and sex-specific body mass index cut-off values according to the criteria of “Screening for overweight and obesity among school-age children and adolescents” in China. Poisson regression with robust error variance was used to assess the associations of sedentary behaviors and/or SSB consumption with the risk of overweight/obesity, yielding relative risks (RRs) and 95% confidence intervals (CIs). The Shapley additive explanations (SHAP) method was used to rank the contribution of five specific sedentary behaviors to obesity risk. Results: Among 47,148 participants with a 3-year follow-up, longer durations of screen-related, academic study-related, and total sedentary time were each associated with a higher risk of overweight/obesity (adjusted RR (95% CI) per hour increment: 1.01 (1.00–1.02), 1.03 (1.01–1.06), and 1.02 (1.01–1.03)). After mutual adjustment, the associations of engaging in homework, attending tutorial classes, and using mobile electronic devices remained significantly associated with higher overweight/obesity risk. The SHAP summary plot shows that using mobile electronic devices, attending tutorial classes, and doing homework were the three most important sedentary obesogenic contributors. A significant interaction of age with sedentary time was found (p for interaction < 0.05). No significant interaction was found between SSB consumption and sedentary time. Conclusions: Excessive sedentary behaviors were associated with a higher risk of overweight/obesity, particularly due to mobile electronic device use, attending tutorial classes, and doing homework. Full article
(This article belongs to the Special Issue Diet and Lifestyle Interventions for Child Obesity)
Show Figures

Figure 1

32 pages, 2985 KB  
Article
Green Supplier Evaluation and Selection Based on Bi-Directional Shapley Choquet Integral in Interval Intuitive Fuzzy Environment
by Wenkun Zhou and Yitao Gu
Sustainability 2025, 17(7), 3136; https://doi.org/10.3390/su17073136 - 1 Apr 2025
Cited by 2 | Viewed by 545
Abstract
The evaluation and selection of green suppliers is an important way for enterprises to maintain sustainable development and help them reduce costs and increase efficiency. This paper proposes a multi-criteria decision-making (MCDM) model in an interval intuitive fuzzy environment. This model uses interval-valued [...] Read more.
The evaluation and selection of green suppliers is an important way for enterprises to maintain sustainable development and help them reduce costs and increase efficiency. This paper proposes a multi-criteria decision-making (MCDM) model in an interval intuitive fuzzy environment. This model uses interval-valued intuitive uncertainty language number (IVIULN) to describe expert evaluation of qualitative indices. Expert weights are determined through expert social networks, and an improved aggregation operator is proposed to aggregate the evaluation information. The proposed operator can ensure the stability of the results even in the case of extreme values. Subsequently, considering a large number of mutually related indices, a novel teaching-learning-based optimization (NTLBO) algorithm is used to identify the value of λ-fuzzy measures. This algorithm improves the teaching stage and proposes the idea of teaching students in accordance with their aptitude, introduces precision parameters, and adds a self-study stage. It has been verified by numerical examples that it is far superior to commonly used heuristic algorithms in terms of algorithm accuracy and run time. Finally, the alternatives are ranked by bi-direction Shapley–Choquet integral. The model’s effectiveness is demonstrated through a case study. This paper also examines the impact of key parameters on the results through sensitivity analysis. Full article
Show Figures

Figure 1

17 pages, 2828 KB  
Article
Enhanced Landslide Risk Evaluation in Hydroelectric Reservoir Zones Utilizing an Improved Random Forest Approach
by Aichen Wei, Hu Ke, Shuni He, Mingcheng Jiang, Zeying Yao and Jianbo Yi
Water 2025, 17(7), 946; https://doi.org/10.3390/w17070946 - 25 Mar 2025
Cited by 1 | Viewed by 640
Abstract
Landslides on reservoir slopes are one of the key geologic hazards that threaten the safe operation of hydropower plants. The aim of our study was to reduce the limitations of the existing methods of landslide risk assessment when dealing with complex nonlinear relationships [...] Read more.
Landslides on reservoir slopes are one of the key geologic hazards that threaten the safe operation of hydropower plants. The aim of our study was to reduce the limitations of the existing methods of landslide risk assessment when dealing with complex nonlinear relationships and the difficulty of quantifying the uncertainty of predictions. We established a multidimensional system of landslide risk assessment that covers geological settings, meteorological conditions, and the ecological environment, and we proposed a model of landslide risk assessment that integrates Bayesian theory and a random forest algorithm. In addition, the model quantifies uncertainty through probability distributions and provides confidence intervals for the prediction results, thus significantly improving the usefulness and reliability of the assessment. In this study, we adopted the Gini index and SHAP (SHapley Additive exPlanations) value, an analytical methodology, to reveal the key factors affecting slope stability and their interaction. The empirical results obtained show that the model effectively identifies the key risk factors and also provides an accurate prediction of landslide risk, thus enhancing scientific and targeted decision making. This study offers strong support for managing landslide risk and providing a more solid guarantee of the safe operation of hydropower station sites. Full article
Show Figures

Figure 1

20 pages, 6801 KB  
Article
Uncertainty Quantification in Shear Wave Velocity Predictions: Integrating Explainable Machine Learning and Bayesian Inference
by Ayele Tesema Chala and Richard Ray
Appl. Sci. 2025, 15(3), 1409; https://doi.org/10.3390/app15031409 - 30 Jan 2025
Cited by 4 | Viewed by 1509
Abstract
The accurate prediction of shear wave velocity (Vs) is critical for earthquake engineering applications. However, the prediction is inevitably influenced by geotechnical variability and various sources of uncertainty. This paper investigates the effectiveness of integrating explainable machine learning (ML) model and Bayesian generalized [...] Read more.
The accurate prediction of shear wave velocity (Vs) is critical for earthquake engineering applications. However, the prediction is inevitably influenced by geotechnical variability and various sources of uncertainty. This paper investigates the effectiveness of integrating explainable machine learning (ML) model and Bayesian generalized linear model (GLM) to enhance both predictive accuracy and uncertainty quantification in Vs prediction. The study utilizes an Extreme Gradient Boosting (XGBoost) algorithm coupled with Shapley Additive Explanations (SHAPs) and partial dependency analysis to identify key geotechnical parameters influencing Vs predictions. Additionally, a Bayesian GLM is developed to explicitly account for uncertainties arising from geotechnical variability. The effectiveness and predictive performance of the proposed models were validated through comparison with real case scenarios. The results highlight the unique advantages of each model. The XGBoost model demonstrates good predictive performance, achieving high coefficient of determination (R2), index of agreement (IA), Kling–Gupta efficiency (KGE) values, and low error values while effectively explaining the impact of input parameters on Vs. In contrast, the Bayesian GLM provides probabilistic predictions with 95% credible intervals, capturing the uncertainty associated with the predictions. The integration of these two approaches creates a comprehensive framework that combines the strengths of high-accuracy ML predictions with the uncertainty quantification of Bayesian inference. This hybrid methodology offers a powerful and interpretable tool for Vs prediction, providing engineers with the confidence to make informed decisions. Full article
(This article belongs to the Special Issue Uncertainty and Reliability Analysis for Engineering Systems)
Show Figures

Figure 1

35 pages, 2872 KB  
Article
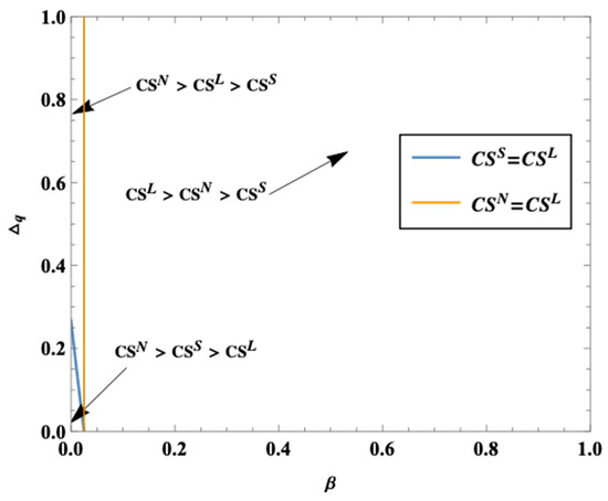
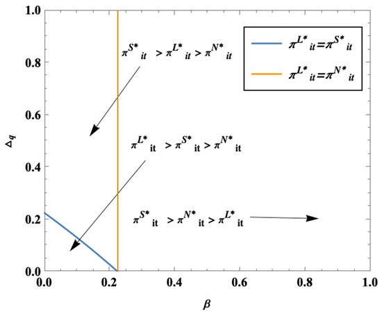
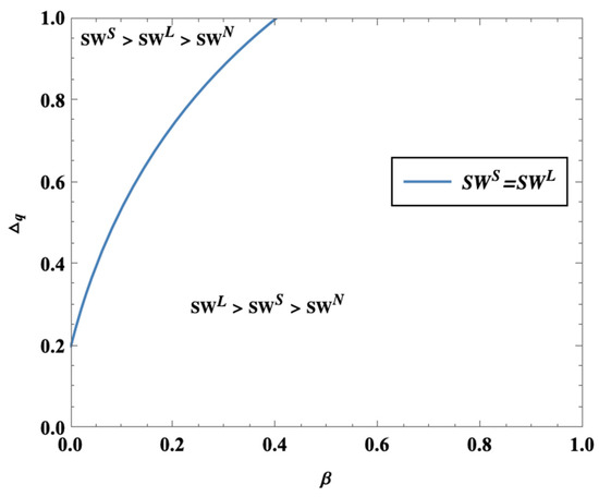
Optimal Service Strategies of Online Platform Based on Purchase Behavior
by Xudong Lin, Tingyi Shi, Hanyang Luo and Hao Zhu
Sustainability 2024, 16(19), 8545; https://doi.org/10.3390/su16198545 - 30 Sep 2024
Viewed by 1489
Abstract
In the rapidly evolving platform economy, online platforms have emerged as pivotal providers of digital services to sellers. The paper investigates how online platforms optimize service strategies based on consumers’ purchase behavior, influencing sellers’ pricing and social welfare. Using a two-period Hotelling model [...] Read more.
In the rapidly evolving platform economy, online platforms have emerged as pivotal providers of digital services to sellers. The paper investigates how online platforms optimize service strategies based on consumers’ purchase behavior, influencing sellers’ pricing and social welfare. Using a two-period Hotelling model and a cooperative game framework, we discover that the optimal service strategies of a platform with data collecting capabilities are collaborating with two sellers to offer to extend services to new consumers in the second period, maximizing profits for all sellers and platform. Applying Shapley value analysis, we determine the platform’s equitable service charge strategies. When sellers adopt behavior-based pricing (BBP), the pricing escalates in the first period, and the platform’s optimal service strategies also enhance the pricing of sellers. However, in the second period, BBP intensifies competition, leading to generally lower pricing. Our findings suggest that optimal pricing in the second period for new consumers should increase with enhanced quality perception, which is provided by the platform’s digital services and heightened by consumers’ privacy concerns, while decreasing for regular consumers. Lastly, we offer policy recommendations, exploring optimal regulatory scenarios—limiting or not limiting data collection—to maximize social welfare or consumer surplus, and the Mathematica software is used to identify distinct optimal policy intervals. Full article
Show Figures

Figure 1

20 pages, 3084 KB  
Article
Natural Gradient Boosting for Probabilistic Prediction of Soaked CBR Values Using an Explainable Artificial Intelligence Approach
by Esteban Díaz and Giovanni Spagnoli
Buildings 2024, 14(2), 352; https://doi.org/10.3390/buildings14020352 - 26 Jan 2024
Cited by 10 | Viewed by 2676
Abstract
The California bearing ratio (CBR) value of subgrade is the most used parameter for dimensioning flexible and rigid pavements. The test for determining the CBR value is typically conducted under soaked conditions and is costly, labour-intensive, and time-consuming. Machine learning (ML) techniques have [...] Read more.
The California bearing ratio (CBR) value of subgrade is the most used parameter for dimensioning flexible and rigid pavements. The test for determining the CBR value is typically conducted under soaked conditions and is costly, labour-intensive, and time-consuming. Machine learning (ML) techniques have been recently implemented in engineering practice to predict the CBR value from the soil index properties with satisfactory results. However, they provide only deterministic predictions, which do not account for the aleatoric uncertainty linked to input variables and the epistemic uncertainty inherent in the model itself. This work addresses this limitation by introducing an ML model based on the natural gradient boosting (NGBoost) algorithm, becoming the first study to estimate the soaked CBR value from this probabilistic perspective. A database of 2130 soaked CBR tests was compiled for this study. The NGBoost model showcased robust predictive performance, establishing itself as a reliable and effective algorithm for predicting the soaked CBR value. Furthermore, it produced probabilistic CBR predictions as probability density functions, facilitating the establishment of reliable confidence intervals, representing a notable improvement compared to conventional deterministic models. Finally, the Shapley additive explanations method was implemented to investigate the interpretability of the proposed model. Full article
Show Figures

Figure 1

13 pages, 1864 KB  
Article
Exploring the Potential Role of Upper Abdominal Peritonectomy in Advanced Ovarian Cancer Cytoreductive Surgery Using Explainable Artificial Intelligence
by Alexandros Laios, Evangelos Kalampokis, Marios Evangelos Mamalis, Amudha Thangavelu, Richard Hutson, Tim Broadhead, David Nugent and Diederick De Jong
Cancers 2023, 15(22), 5386; https://doi.org/10.3390/cancers15225386 - 13 Nov 2023
Cited by 4 | Viewed by 2950
Abstract
The Surgical Complexity Score (SCS) has been widely used to describe the surgical effort during advanced stage epithelial ovarian cancer (EOC) cytoreduction. Referring to a variety of multi-visceral resections, it best combines the numbers with the complexity of the sub-procedures. Nevertheless, not all [...] Read more.
The Surgical Complexity Score (SCS) has been widely used to describe the surgical effort during advanced stage epithelial ovarian cancer (EOC) cytoreduction. Referring to a variety of multi-visceral resections, it best combines the numbers with the complexity of the sub-procedures. Nevertheless, not all potential surgical procedures are described by this score. Lately, the European Society for Gynaecological Oncology (ESGO) has established standard outcome quality indicators pertinent to achieving complete cytoreduction (CC0). There is a need to define what weight all these surgical sub-procedures comprising CC0 would be given. Prospectively collected data from 560 surgically cytoreduced advanced stage EOC patients were analysed at a UK tertiary referral centre.We adapted the structured ESGO ovarian cancer report template. We employed the eXtreme Gradient Boosting (XGBoost) algorithm to model a long list of surgical sub-procedures. We applied the Shapley Additive explanations (SHAP) framework to provide global (cohort) explainability. We used Cox regression for survival analysis and constructed Kaplan-Meier curves. The XGBoost model predicted CC0 with an acceptable accuracy (area under curve [AUC] = 0.70; 95% confidence interval [CI] = 0.63–0.76). Visual quantification of the feature importance for the prediction of CC0 identified upper abdominal peritonectomy (UAP) as the most important feature, followed by regional lymphadenectomies. The UAP best correlated with bladder peritonectomy and diaphragmatic stripping (Pearson’s correlations > 0.5). Clear inflection points were shown by pelvic and para-aortic lymph node dissection and ileocecal resection/right hemicolectomy, which increased the probability for CC0. When UAP was solely added to a composite model comprising of engineered features, it substantially enhanced its predictive value (AUC = 0.80, CI = 0.75–0.84). The UAP was predictive of poorer progression-free survival (HR = 1.76, CI 1.14–2.70, P: 0.01) but not overall survival (HR = 1.06, CI 0.56–1.99, P: 0.86). The SCS did not have significant survival impact. Machine Learning allows for operational feature selection by weighting the relative importance of those surgical sub-procedures that appear to be more predictive of CC0. Our study identifies UAP as the most important procedural predictor of CC0 in surgically cytoreduced advanced-stage EOC women. The classification model presented here can potentially be trained with a larger number of samples to generate a robust digital surgical reference in high output tertiary centres. The upper abdominal quadrants should be thoroughly inspected to ensure that CC0 is achievable. Full article
(This article belongs to the Special Issue Clinical Management and Prognosis of Gynecological Cancer)
Show Figures

Figure 1

17 pages, 3519 KB  
Article
Day-Ahead Electricity Price Probabilistic Forecasting Based on SHAP Feature Selection and LSTNet Quantile Regression
by Huixin Liu, Xiaodong Shen, Xisheng Tang and Junyong Liu
Energies 2023, 16(13), 5152; https://doi.org/10.3390/en16135152 - 4 Jul 2023
Cited by 10 | Viewed by 3403
Abstract
Electricity prices are a central element of the electricity market, and accurate electricity price forecasting is critical for market participants. However, in the context of increasingly integrated economic markets, the complexity of the electricity system has increased. As a result, the number of [...] Read more.
Electricity prices are a central element of the electricity market, and accurate electricity price forecasting is critical for market participants. However, in the context of increasingly integrated economic markets, the complexity of the electricity system has increased. As a result, the number of factors required to consider in electricity price forecasting is growing. In addition, the high percentage of renewable energy penetration has increased the volatility of electricity generation, making it more challenging to predict prices accurately. In this paper, we propose a probabilistic forecasting method based on SHAP (SHapley Additive exPlanation) feature selection and LSTNet (long- and short-term time-series network) quantile regression. First, to reduce feature redundancy and overfitting, we use the SHAP method to perform feature selection in a high-dimensional input feature set, and specifically analyze the magnitude and manner in which features affect electricity prices. Second, we apply the LSTNet quantile regression model to predict the electricity value under different quantiles. Finally, the probability density function and the prediction interval of the predicted electricity prices are obtained by kernel density estimation. The case of the Danish electricity market validates the effectiveness and accuracy of our proposed method. The accuracy of the proposed method is better than that of other methods, and we assess the importance and direction of the impact of features on electricity prices. Full article
(This article belongs to the Special Issue Energy Management of Smart Grids with Renewable Energy Resource)
Show Figures

Figure 1

10 pages, 292 KB  
Article
Some Properties of Interval Shapley Values: An Axiomatic Analysis
by Shinichi Ishihara and Junnosuke Shino
Games 2023, 14(3), 50; https://doi.org/10.3390/g14030050 - 15 Jun 2023
Cited by 3 | Viewed by 2231
Abstract
Interval games are an extension of cooperative coalitional games, in which players are assumed to face payoff uncertainty. Characteristic functions thus assign a closed interval instead of a real number. This study revisits two interval game versions of Shapley values (i.e., the interval [...] Read more.
Interval games are an extension of cooperative coalitional games, in which players are assumed to face payoff uncertainty. Characteristic functions thus assign a closed interval instead of a real number. This study revisits two interval game versions of Shapley values (i.e., the interval Shapley value and the interval Shapley-like value) and characterizes them using an axiomatic approach. For the interval Shapley value, we show that the existing axiomatization can be generalized to a wider subclass of interval games called size monotonic games. For the interval Shapley-like value, we show that a standard axiomatization using Young’s strong monotonicity holds on the whole class of interval games. Full article
(This article belongs to the Section Cooperative Game Theory and Bargaining)
15 pages, 15837 KB  
Article
An Approach for the Classification of Rock Types Using Machine Learning of Core and Log Data
by Yihan Xing, Huiting Yang and Wei Yu
Sustainability 2023, 15(11), 8868; https://doi.org/10.3390/su15118868 - 31 May 2023
Cited by 15 | Viewed by 4530
Abstract
Classifying rocks based on core data is the most common method used by geologists. However, due to factors such as drilling costs, it is impossible to obtain core samples from all wells, which poses challenges for the accurate identification of rocks. In this [...] Read more.
Classifying rocks based on core data is the most common method used by geologists. However, due to factors such as drilling costs, it is impossible to obtain core samples from all wells, which poses challenges for the accurate identification of rocks. In this study, the authors demonstrated the application of an explainable machine-learning workflow using core and log data to identify rock types. The rock type is determined utilizing the flow zone index (FZI) method using core data first, and then based on the collection, collation, and cleaning of well log data, four supervised learning techniques were used to correlate well log data with rock types, and learning and prediction models were constructed. The optimal machine learning algorithm for the classification of rocks is selected based on a 10-fold cross-test and a comparison of AUC (area under curve) values. The accuracy rate of the results indicates that the proposed method can greatly improve the accuracy of the classification of rocks. SHapley Additive exPlanations (SHAP) was used to rank the importance of the various well logs used as input variables for the prediction of rock types and provides both local and global sensitivities, enabling the interpretation of prediction models and solving the “black box” problem with associated machine learning algorithms. The results of this study demonstrated that the proposed method can reliably predict rock types based on well log data and can solve hard problems in geological research. Furthermore, the method can provide consistent well log interpretation arising from the lack of core data while providing a powerful tool for well trajectory optimization. Finally, the system can aid with the selection of intervals to be completed and/or perforated. Full article
Show Figures

Figure 1

22 pages, 5130 KB  
Article
Explainable Machine-Learning Predictions for Peak Ground Acceleration
by Rui Sun, Wanwan Qi, Tong Zheng and Jinlei Qi
Appl. Sci. 2023, 13(7), 4530; https://doi.org/10.3390/app13074530 - 3 Apr 2023
Cited by 3 | Viewed by 3417
Abstract
Peak ground acceleration (PGA) prediction is of great significance in the seismic design of engineering structures. Machine learning is a new method to predict PGA and does have some advantages. To establish explainable prediction models of PGA, 3104 sets of uphole and downhole [...] Read more.
Peak ground acceleration (PGA) prediction is of great significance in the seismic design of engineering structures. Machine learning is a new method to predict PGA and does have some advantages. To establish explainable prediction models of PGA, 3104 sets of uphole and downhole seismic records collected by the KiK-net in Japan were used. The feature combinations that make the models perform best were selected through feature selection. The peak bedrock acceleration (PBA), the predominant frequency (FP), the depth of the soil when the shear wave velocity reaches 800 m/s (D800), and the bedrock shear wave velocity (Bedrock Vs) were used as inputs to predict the PGA. The XGBoost (eXtreme Gradient Boosting), random forest, and decision tree models were established, and the prediction results were compared with the numerical simulation results The influence between the input features and the model prediction results were analyzed with the SHAP (SHapley Additive exPlanations) value. The results show that the R2 of the training dataset and testing dataset reach up to 0.945 and 0.915, respectively. On different site classifications and different PGA intervals, the prediction results of the XGBoost model are better than the random forest model and the decision tree model. Even if a non-integrated algorithm (decision tree model) is used, its prediction effect is better than the numerical simulation methods. The SHAP values of the three machine learning models have the same distribution and densities, and the influence of each feature on the prediction results is consistent with the existing empirical data, which shows the rationality of the machine learning models and provides reliable support for the prediction results. Full article
(This article belongs to the Special Issue Geotechnical Earthquake Engineering: Current Progress and Road Ahead)
Show Figures

Figure 1

19 pages, 4264 KB  
Article
Machine Learning Models Using SHapley Additive exPlanation for Fire Risk Assessment Mode and Effects Analysis of Stadiums
by Ying Lu, Xiaopeng Fan, Yi Zhang, Yong Wang and Xuepeng Jiang
Sensors 2023, 23(4), 2151; https://doi.org/10.3390/s23042151 - 14 Feb 2023
Cited by 19 | Viewed by 4316
Abstract
Machine learning methods can establish complex nonlinear relationships between input and response variables for stadium fire risk assessment. However, the output of machine learning models is considered very difficult due to their complex “black box” structure, which hinders their application in stadium fire [...] Read more.
Machine learning methods can establish complex nonlinear relationships between input and response variables for stadium fire risk assessment. However, the output of machine learning models is considered very difficult due to their complex “black box” structure, which hinders their application in stadium fire risk assessment. The SHapley Additive exPlanations (SHAP) method makes a local approximation to the predictions of any regression or classification model so as to be faithful and interpretable, and assigns significant values (SHAP value) to each input variable for a given prediction. In this study, we designed an indicator attribute threshold interval to classify and quantify different fire risk category data, and then used a random forest model combined with SHAP strategy in order to establish a stadium fire risk assessment model. The main objective is to analyze the impact analysis of each risk characteristic on four different risk assessment models, so as to find the complex nonlinear relationship between risk characteristics and stadium fire risk. This helps managers to be able to make appropriate fire safety management and smart decisions before an incident occurs and in a targeted manner to reduce the incidence of fires. The experimental results show that the established interpretable random forest model provides 83% accuracy, 86% precision, and 85% recall for the stadium fire risk test dataset. The study also shows that the low level of data makes it difficult to identify the range of decision boundaries for Critical mode and Hazardous mode. Full article
(This article belongs to the Section Internet of Things)
Show Figures

Figure 1

Back to TopTop