Optimal Service Strategies of Online Platform Based on Purchase Behavior
Abstract
1. Introduction
2. Literature Review
3. Model
3.1. Problem Description
3.2. Notation Description
3.3. Model Setup
4. Analysis
4.1. Benchmark Model: Limiting Data Collection
4.2. Benchmark Model: No Limitation of Data Collection (Without Platform Services)
4.2.1. The Second Period without Platform Services
4.2.2. The First Period without Platform Services
4.3. Main Model: No Limitation of Data Collection (With Platform Services)
4.3.1. The Second Period with Platform Services
4.3.2. The First Period with Platform Services
5. Welfare Comparison
5.1. Sellers’ Profits
5.1.1. Sellers’ Optimal Incomes in the First Period
5.1.2. Sellers’ Optimal Incomes in the Second Period
5.1.3. Sellers’ Optimally Total Incomes
5.1.4. Sellers’ Optimally Total Profits
5.2. Consumer Surplus
5.3. Social Welfare
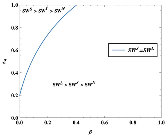
5.4. Sensitivity Analysis
5.5. Policy Implications
5.5.1. Only Considering Social Welfare
5.5.2. Only Considering Consumer Surplus
6. Implications
7. Conclusions
- (1)
- Platform’s Strategic Positioning: When the platform is capable of collecting data, it ultimately reaches an agreement with two sellers to formulate quality-perceived services tailored for all new consumers in the second period. This strategic alignment maximizes the platform’s profit potential.
- (2)
- Sellers’ Collaborative Advantage: Sellers, when able to establish an agreement with the platform on service cooperation, also agree to collaborate in order to maximize their own profits. Furthermore, under policies permitting data collection (BBP), sellers must consider privacy concerns and quality perception in their optimal pricing strategies. Specifically, pricing for all consumers in the first period and new consumers in the second period should exhibit a monotonic increase with privacy concerns and quality perception, while pricing for existing consumers in the second period should decrease monotonically with these factors.
- (3)
- Policy Implications and Regulatory Intensity: Policy-makers should determine the intensity of data collection regulation based on the ultimate objective: whether to prioritize consumer surplus or total social welfare. Considerations of privacy concerns and quality perception are crucial. When maximizing total social welfare is the priority, data collection should not be limited if privacy concerns are low and the quality perception coefficient is not overly low. Conversely, if consumer surplus is the focus, data collection should only be unlimited when both privacy concerns and quality perception are relatively low; in other scenarios, data collection should be limited.
Author Contributions
Funding
Institutional Review Board Statement
Informed Consent Statement
Data Availability Statement
Acknowledgments
Conflicts of Interest
Appendix A
| Orders | Players | |
|---|---|---|
| A | P | |
| A, P | 0 * | 855(Δq)2 + 480Δq * |
| P, A | 855(Δq)2 + 480Δq * | 0 * |
| Orders | Players | ||
|---|---|---|---|
| A | B | P | |
| A, B, P | 0 * | 0 * | 1024(Δq)2 + 2048Δq + 2048βΔq * |
| A, P, B | 0 * | 169(Δq)2 + 1568Δq + 2048βΔq * | 855(Δq)2 + 480Δq * |
| B, A, P | 0 * | 0 * | 1024(Δq)2 + 2048Δq + 2048βΔq * |
| B, P, A | 169(Δq)2 + 1568Δq + 2048βΔq * | 0 * | 855(Δq)2 + 480Δq * |
| P, A, B | 855(Δq)2 + 480Δq * | 169(Δq)2 + 1568Δq + 2048βΔq * | 0 * |
| P, B, A | 169(Δq)2 + 1568Δq + 2048βΔq * | 855(Δq)2 + 480Δq * | 0 * |
| Orders | Players | |
|---|---|---|
| A | P | |
| A, P | 0 * | 263(Δq)2 + 736Δq − 512βΔq * |
| P, A | 263(Δq)2 + 736Δq − 512βΔq * | 0 * |
| Orders | Players | ||
|---|---|---|---|
| A | B | P | |
| A, B, P | 0 * | 0 * | 1024(Δq)2 + 2048Δq + 2048βΔq * |
| A, P, B | 0 * | 761(Δq)2 + 1312Δq + 2560βΔq * | 263(Δq)2 + 736Δq − 512βΔq * |
| B, A, P | 0 * | 0 * | 1024(Δq)2 + 2048Δq + 2048βΔq * |
| B, P, A | 761(Δq)2 + 1312Δq + 2560βΔq * | 0 * | 263(Δq)2 + 736Δq − 512βΔq * |
| P, A, B | 263(Δq)2 + 736Δq − 512βΔq * | 761(Δq)2 + 1312Δq + 2560βΔq * | 0 * |
| P, B, A | 761(Δq)2 + 1312Δq + 2560βΔq * | 263(Δq)2 + 736Δq − 512βΔq * | 0 * |
References
- Li, K.J. Behavior-based pricing in marketing channels. Mark. Sci. 2018, 37, 310–326. [Google Scholar] [CrossRef]
- Kim, J.; Yum, K. Enhancing Continuous Usage Intention in E-Commerce Marketplace Platforms: The Effects of Service Quality, Customer Satisfaction, and Trust. Appl. Sci. 2024, 14, 7617. [Google Scholar] [CrossRef]
- Binlibdah, S. Investigating the Role of Artificial Intelligence to Measure Consumer Efficiency: The Use of Strategic Communication and Personalized Media Content. J. Media 2024, 5, 1142–1161. [Google Scholar] [CrossRef]
- Bimpikis, K.; Papanastasiou, Y.; Zhang, W. Information provision in two-sided platforms: Optimizing for supply. Manag. Sci. 2024, 70, 4533–4547. [Google Scholar] [CrossRef]
- Yang, B.; Yang, S.; Dutta, S. Platform service offering to business customers: Strategic considerations in engendering seller use of marketing tools. Mark. Sci. 2022, 41, 361–379. [Google Scholar] [CrossRef]
- Shravani, D.; Prajwal, Y.R.; Atreyas, P.V.; Shobha, G. VR supermarket: A virtual reality online shopping platform with a dynamic recommendation system. In Proceedings of the 2021 IEEE International Conference on Artificial Intelligence and Virtual Reality (AIVR), Taichung, Taiwan, 15–17 November 2021; pp. 119–123. [Google Scholar]
- Huang, Y.C.; Liu, S.Y. Virtual reality online shopping (vros) platform. In HCI in Business, Government and Organizations, Proceedings of the 7th International Conference, HCIBGO 2020, Held as Part of the 22nd HCI International Conference, HCII 2020, Copenhagen, Denmark, 19–24 July 2020; Springer International Publishing: Berlin/Heidelberg, Germany, 2020; pp. 339–353. [Google Scholar]
- Monsalve-Obreque, P.; Vargas-Villarroel, P.; Hormazabal-Astorga, Y.; Hochstetter-Diez, J.; Bustos-Gómez, J.; Diéguez-Rebolledo, M. Proposal to improve the E-commerce platform development process with an exploratory case study in Chile. Appl. Sci. 2023, 13, 8362. [Google Scholar] [CrossRef]
- Lin, X.; Huang, X.; Liu, S.; Li, Y.; Luo, H.; Yu, S. Competitive price-quality strategy of platforms under user privacy concerns. J. Theor. Appl. Electron. Commer. Res. 2022, 17, 571–589. [Google Scholar] [CrossRef]
- Jia, J.; Jin, G.Z.; Wagman, L. The short-run effects of the general data protection regulation on technology venture investment. Mark. Sci. 2021, 40, 661–684. [Google Scholar] [CrossRef]
- Shy, O.; Stenbacka, R. Customer privacy and competition. J. Econ. Manag. Strategy 2016, 25, 539–562. [Google Scholar] [CrossRef]
- Lin, X.; Huang, X.; Liu, S.; Li, Y.; Luo, H.; Yu, S. Social welfare analysis under different levels of consumers privacy regulation. J. Theor. Appl. Electron. Commer. Res. 2021, 16, 2943–2964. [Google Scholar] [CrossRef]
- Li, J.; Pisano, G.; Xu, Y.; Zhu, F. Marketplace scalability and strategic use of platform investment. Manag. Sci. 2023, 69, 3958–3975. [Google Scholar] [CrossRef]
- He, E.J.; Savin, S.; Goh, J.; Teo, C.P. Off-platform threats in on-demand services. Manuf. Serv. Oper. Manag. 2023, 25, 775–791. [Google Scholar] [CrossRef]
- Liu, Y.; Wang, X.; Gilbert, S.; Lai, G. On the participation, competition and welfare at customer-intensive discretionary service platforms. Manuf. Serv. Oper. Manag. 2023, 25, 218–234. [Google Scholar] [CrossRef]
- Liu, Z.; Zhang, D.J.; Zhang, F. Information sharing on retail platforms. Manuf. Serv. Oper. Manag. 2021, 23, 606–619. [Google Scholar] [CrossRef]
- Liu, W.; Long, S.; Xie, D.; Liang, Y.; Wang, J. How to govern the big data discriminatory pricing behavior in the platform service supply chain? An examination with a three-party evolutionary game model. Int. J. Prod. Econ. 2021, 231, 107910. [Google Scholar] [CrossRef]
- Ma, L.; Hu, W.; Liang, R. The Impact of the Industrial Internet on the Innovation and Development Level of China’s Manufacturing Industry: Under the Perspective of Government Incentives. Sustainability 2024, 16, 3935. [Google Scholar] [CrossRef]
- Rathor, S.; Zhang, M.; Im, T. Web 3.0 and Sustainability: Challenges and Research Opportunities. Sustainability 2023, 15, 15126. [Google Scholar] [CrossRef]
- Xie, F.; Guan, X.; Peng, X.; Wang, C.; Zeng, Y.; Wang, Z.; Bai, R. Exploration of the Deep Impact of Digital Platforms on Innovation and Entrepreneurship Activities of Entrepreneurs under the Information Management Framework. Sustainability 2024, 16, 3919. [Google Scholar] [CrossRef]
- Fudenberg, D.; Tirole, J. Customer poaching and brand switching. RAND J. Econ. 2000, 31, 634–657. [Google Scholar] [CrossRef]
- Chen, Y. Paying customers to switch. J. Econ. Manag. Strategy 1997, 6, 877–897. [Google Scholar] [CrossRef]
- Gehrig, T.; Shy, O.; Stenbacka, R. Market Dominance and Behavior-Based Pricing under Horizontal and VERTICAL Differentiation; Working paper; University of Freiburg: Freiburg, Germany, 2008. [Google Scholar]
- Rhee, K.E.; Thomadsen, R. Behavior-based pricing in vertically differentiated industries. Manag. Sci. 2017, 63, 2729–2740. [Google Scholar] [CrossRef]
- Jing, B. Behavior-based pricing, production efficiency, and quality differentiation. Manag. Sci. 2017, 63, 2365–2376. [Google Scholar] [CrossRef]
- Li, K.J. Behavior-based quality discrimination. Manuf. Serv. Oper. Manag. 2021, 23, 425–436. [Google Scholar]
- Cohen, M.C.; Elmachtoub, A.N.; Lei, X. Price discrimination with fairness constraints. Manag. Sci. 2022, 68, 8536–8552. [Google Scholar] [CrossRef]
- Li, X.; Li, K.J.; Wang, X. Transparency of behavior-based pricing. J. Mark. Res. 2020, 57, 78–99. [Google Scholar] [CrossRef]
- Conti, C.; Reverberi, P. Price discrimination and product quality under opt-in privacy regulation. Inf. Econ. Policy 2021, 55, 100912. [Google Scholar] [CrossRef]
- Shi, X.; Zhang, Y.; Wang, Z. Sustainable Value-Sharing Mechanisms of the Industrial Internet of Things Platforms: A Case Study of Haier’s Service-Oriented Transformation. Sustainability 2024, 16, 4814. [Google Scholar] [CrossRef]
- Godinho de Matos, M.; Adjerid, I. Consumer consent and firm targeting after GDPR: The case of a large telecom provider. Manag. Sci. 2022, 68, 3330–3378. [Google Scholar] [CrossRef]
- Sharma, P.; Sun, Y.; Wagman, L. The Differential Effects of New Privacy Protections on Publisher and Advertiser Profitability; Working Paper; Illinois Institute of Technology: Chicago, IL, USA, 2019. [Google Scholar]
- Montes, R.; Sand-Zantman, W.; Valletti, T. The value of personal information in online markets with endogenous privacy. Manag. Sci. 2019, 65, 1342–1362. [Google Scholar] [CrossRef]
- Fainmesser, I.P.; Galeotti, A.; Momot, R. Digital privacy. Manag. Sci. 2023, 69, 3157–3173. [Google Scholar] [CrossRef]
- Kumar, R.; Gopal, R.; Garfinkel, R. Freedom of privacy: Anonymous data collection with respondent-defined privacy protection. INFORMS J. Comput. 2010, 22, 471–481. [Google Scholar] [CrossRef]
- Ke, T.T.; Sudhir, K. Privacy rights and data security: GDPR and personal data markets. Manag. Sci. 2023, 69, 4389–4412. [Google Scholar] [CrossRef]
- Marreiros, H.; Tonin, M.; Vlassopoulos, M.; Schraefel, M.C. “Now that you mention it”: A survey experiment on information, inattention and online privacy. J. Econ. Behav. Organ. 2017, 140, 1–17. [Google Scholar] [CrossRef]
- Morath, F.; Münster, J. Online shopping and platform design with ex ante registration requirements. Manag. Sci. 2018, 64, 360–380. [Google Scholar] [CrossRef]
- Shapley, L.S. A value for n-person games. In Contribution to the Theory of Games; Princeton University Press: Princeton, NJ, USA, 1953. [Google Scholar]










| Notations | Description |
|---|---|
| Consumers’ retention utility, which is large enough to ensure that all consumers will make purchases | |
| Under the regulation of limiting data collection, the pricing set by seller i to the consumers in period j (i = a, b; j = 1, 2) | |
| Under the regulation of not limiting data collection, the pricing set by seller i in period w (i = a, b; w = 1, o, n; r = N, S, where o and n both represent the second period, and specifically, o represents the regular consumers and n represents the new consumers in the second period, N is the case where the platform does not provide services, S is the case where the platform provides services) | |
| Δq | The effect of services provided by the platform (0 < Δq < 1) |
| Consumer unsuitability for the product of sellers (0 ≤ x ≤ 1) | |
| Under the regulation of limiting data collection, the position of the marginal consumer in period j (j = 1, 2) | |
| Under the regulation of not limiting data collection, the position of the marginal consumer in the first period (r = N, S) | |
| Under the regulation of not limiting data collection, the position of the marginal consumer in the second period (k = 1, 2; r = N, S) | |
| β | Consumer sensitivity to their own privacy (0 < β < 1) |
| Under the regulation of h, the sellers’ optimal profit in period j (i = a, b; c = 1, 2, t; h = L, N, where t is the total profit of the two periods, L is the case of limiting data collection, N is the case of allowing data collection, and the platform does not provide services) | |
| The incomes that need to be distributed after the platform allies with a seller and provides services to consumers of type l (l = regular, new, all, null) | |
| The incomes that need to be distributed after the platform allies with two sellers and provides services to one seller’s consumers of type l and the other seller’s consumers of type v (l, v = regular, new, all, null) | |
| After the platform provides services to seller i, the fee that the seller should pay to the platform in the distribution of profit m (i = a, b; m = 1, 2) | |
| Vnm(y) | The profit distributed to player y in the alliance (n = 1, 2, 3; m = 1, 2; y = a, b, p, where p represents the platform, n represents the situation where there are n-party alliances, and m represents the distribution of profit m) |
| Under the regulation of not limiting data collection (with platform services), seller i’s optimal income in the period c (i = a, b; c = 1, 2, t, where t is the total profit of the two periods) | |
| Under the regulation of not limiting data collection (with platform services) and the distribution of profit m, seller i’s finally optimal profit in the two periods (i = a, b; m = 1, 2) |
| Variables | Equilibrium Result |
|---|---|
| Sellers’ pricing | , |
| Sellers’ second-period pricing for regular consumers | , |
| Seller’ s profit | , |
| Sellers’ second-period profit | , |
| Sellers’ total profit | , |
| Consumer surplus | |
| Social welfare |
| Variables | Equilibrium Result |
|---|---|
| Sellers’ first-period pricing | , |
| Sellers’ second-period pricing for regular consumers | , |
| Sellers’ second-period pricing for new consumers | , |
| Sellers’ first-period profit | , |
| Sellers’ second-period profit | , |
| Sellers’ total profit | , |
| Consumer surplus | |
| Social welfare |
| Firm B | |||||
| Firm A | Regular | New | All | Null | |
| Regular | (512(Δq)2 −1024Δq −1024βΔq, 512(Δq)2 −1024Δq − 1024βΔq) * | (567(Δq)2 + 2016Δq, 567(Δq)2 −2016Δq) * | (704(Δq)2 + 256Δq −512βΔq, 704(Δq)2 −1280Δq −512βΔq) * | (263(Δq)2 + 736Δq −512βΔq, 263(Δq)2 −1760Δq −512βΔq) * | |
| New | (567(Δq)2 −2016Δq, 567(Δq)2 + 2016Δq) * | (512(Δq)2 + 1024Δq + 1024βΔq, 512(Δq)2 + 1024Δq + 1024βΔq) * | (263(Δq)2 + 1760Δq + 512βΔq, 263(Δq)2 −736Δq + 512βΔq) * | (704(Δq)2 −256Δq −512βΔq, 704(Δq)2 + 1280Δq + 512βΔq) * | |
| All | (704(Δq)2 −1280Δq −512βΔq, 704(Δq)2 + 256Δq − 512βΔq) * | (263(Δq)2 −736Δq + 512βΔq, 263((Δq)2 + 1760Δq + 512βΔq) * | (0, 0) * | (855(Δq)2 + 480Δq, 855(Δq)2 −480Δq) * | |
| Null | (263(Δq)2 −1760Δq −512βΔq, 263(Δq)2 + 736Δq −512βΔq) * | (704(Δq)2 + 1280Δq + 512βΔq, 704(Δq)2 −256Δq −512βΔq) * | (855(Δq)2 −480Δq, 855(Δq)2 + 480Δq) * | (0, 0) * | |
| Firm B | |||||
| Firm A | Regular | New | All | Null | |
| Regular | 1024(Δq)2 −2048Δq −2048βΔq * | 1134(Δq)2 * | 1408(Δq)2 −1024Δq −1024βΔq * | 526(Δq)2 −1024Δq −1024βΔq * | |
| New | 1134(Δq)2 * | 1024(Δq)2 +2048Δq + 2048βΔq* | 526(Δq)2 +1024Δq + 1024βΔq * | 1408(Δq)2 +1024Δq * | |
| All | 1408(Δq)2 −1024Δq −1024βΔq * | 526(Δq)2 +1024Δq + 1024βΔq * | 0 * | 1710(Δq)2 * | |
| Null | 526(Δq)2 −1024Δq −1024βΔq * | 1408(Δq)2 +1024Δq * | 1710(Δq)2 * | 0 * | |
| Firm A/B | Regular | New | All | Null |
| 263(Δq)2 + 736Δq −512βΔq * | 704(Δq)2 −256Δq −512βΔq * | 855(Δq)2 + 480Δq * | 0 * |
| Situations | Profit 1 | Profit 2 |
|---|---|---|
| A | 0 * | 0 * |
| B | 0 * | 0 * |
| P | 0 * | 0 * |
| A∪B | 0 | 0 * |
| A∪P | 855(Δq)2 + 480Δq * | 263(Δq)2 + 736Δq −512βΔq * |
| B∪P | 855(Δq)2 + 480Δq * | 263(Δq)2 + 736Δq −512βΔq * |
| A∪B∪P | 1024(Δq)2 + 2048Δq + 2048βΔq * | 1024(Δq)2 + 2048Δq + 2048βΔq * |
| Variables | Equilibrium Result |
|---|---|
| Sellers’ first-period pricing | , |
| Sellers’ second-period pricing for regular consumers | , |
| Sellers’ second-period pricing for new consumers | , |
| Sellers’ first-period optimal incomes | , |
| Sellers’ second-period optimal incomes | , |
| Sellers’ total optimal incomes | , |
| Sellers’ fee to platform (Under 0 < Δq ≤ and < β < 1 or < Δq < 1) | (i = a, b) |
| Sellers’ fee to platform (Under 0 < Δq < and 0 < β < ) | (i = a, b) |
| Sellers’ total profit after paying fee (Under 0 < Δq ≤ and < β < 1 or < Δq < 1) | (i = a, b) |
| Sellers’ total profit after paying fee (under 0 < Δq < and 0 < β < ) | (i = a, b) |
| Platform’s profit (under 0 < Δq ≤ and < β < 1 or < Δq < 1) | |
| Platform’s profit (under 0 < Δq < and 0 < β < ) | |
| Consumer surplus | |
| Social welfare |
Disclaimer/Publisher’s Note: The statements, opinions and data contained in all publications are solely those of the individual author(s) and contributor(s) and not of MDPI and/or the editor(s). MDPI and/or the editor(s) disclaim responsibility for any injury to people or property resulting from any ideas, methods, instructions or products referred to in the content. |
© 2024 by the authors. Licensee MDPI, Basel, Switzerland. This article is an open access article distributed under the terms and conditions of the Creative Commons Attribution (CC BY) license (https://creativecommons.org/licenses/by/4.0/).
Share and Cite
Lin, X.; Shi, T.; Luo, H.; Zhu, H. Optimal Service Strategies of Online Platform Based on Purchase Behavior. Sustainability 2024, 16, 8545. https://doi.org/10.3390/su16198545
Lin X, Shi T, Luo H, Zhu H. Optimal Service Strategies of Online Platform Based on Purchase Behavior. Sustainability. 2024; 16(19):8545. https://doi.org/10.3390/su16198545
Chicago/Turabian StyleLin, Xudong, Tingyi Shi, Hanyang Luo, and Hao Zhu. 2024. "Optimal Service Strategies of Online Platform Based on Purchase Behavior" Sustainability 16, no. 19: 8545. https://doi.org/10.3390/su16198545
APA StyleLin, X., Shi, T., Luo, H., & Zhu, H. (2024). Optimal Service Strategies of Online Platform Based on Purchase Behavior. Sustainability, 16(19), 8545. https://doi.org/10.3390/su16198545

