Sign in to use this feature.

Years

Between: -

Subjects

remove_circle_outline
remove_circle_outline
remove_circle_outline
remove_circle_outline
remove_circle_outline
remove_circle_outline
remove_circle_outline
remove_circle_outline
remove_circle_outline

Journals

remove_circle_outline
remove_circle_outline
remove_circle_outline
remove_circle_outline
remove_circle_outline
remove_circle_outline
remove_circle_outline
remove_circle_outline
remove_circle_outline
remove_circle_outline
remove_circle_outline
remove_circle_outline

Article Types

Countries / Regions

remove_circle_outline
remove_circle_outline
remove_circle_outline
remove_circle_outline
remove_circle_outline

Search Results (956)

Search Parameters:
Keywords = interface mechanical response

Order results
Result details
Results per page
Select all
Export citation of selected articles as:
28 pages, 1494 KB  
Article
Hydrodynamic Performance Analysis of an MR Damper in Valve Mode Characterized by the Mason Number
by Juan P. Escandón, Juan R. Gómez, René O. Vargas, Edson M. Jimenez and Rubén Mil-Martínez
Mathematics 2025, 13(21), 3568; https://doi.org/10.3390/math13213568 (registering DOI) - 6 Nov 2025
Abstract
This work analyzes the hydrodynamic behavior of a magnetorheological valve, considering the microscopic fluid characteristics to generate a damper force. The magnetorheological fluid is composed of ferromagnetic particles dispersed in a non-magnetic carrier fluid, whose mechanical resistance depends on the magnetic field intensity. [...] Read more.
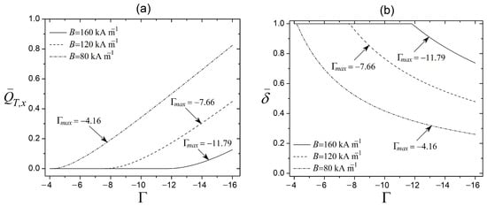
This work analyzes the hydrodynamic behavior of a magnetorheological valve, considering the microscopic fluid characteristics to generate a damper force. The magnetorheological fluid is composed of ferromagnetic particles dispersed in a non-magnetic carrier fluid, whose mechanical resistance depends on the magnetic field intensity. In the absence of a magnetic field, the magnetorheological fluid behaves as a liquid whose viscosity depends on the particle volume fraction. Conversely, the presence of a magnetic field generates particle chain-like structures that inhibit fluid motion, thereby regulating flow in the control valve. The mathematical model employs the continuity and momentum equations, the Bingham model, and the boundary conditions at the solid–liquid interfaces to determine the flow field. The results show the fluid hydrodynamic response under different flow conditions depending on dimensionless parameters such as the pressure gradient, the field-independent viscosity, the yield stress, the particle volume fraction, the Bingham number, the Mason number, and the critical Mason number. For a pressure gradient of Γ=10, the flow rate inside the valve (with particle volume fraction ϕ=0.2) results in Q¯T,x=0.34, 0.06, and 0 when the magnetic field is 80, 120, and 160 kA m−1, respectively. Likewise, when the magnetic field increases from 80 to 160 kA m−1, the damping capacity increases by 88% when ϕ=0.2 and 128% when ϕ=0.3 compared to the Newtonian viscous damping. This work contributes to our understanding of semi-active damping devices for flow control. Full article
(This article belongs to the Special Issue Engineering Thermodynamics and Fluid Mechanics)
Show Figures

Figure 1

22 pages, 5383 KB  
Article
Thermo-Mechanical Coupling Model for Energy Piles: Dynamic Interface Behavior and Sustainable Design Implications
by Chunyu Cui, Zhongren Liu, Jinghang Liu and Yang You
Buildings 2025, 15(21), 3984; https://doi.org/10.3390/buildings15213984 - 4 Nov 2025
Abstract
This study introduces an advanced temperature variation model for the pile–soil interface of single energy piles, developed through extensive numerical simulations across diverse operating conditions. Unlike existing models, it explicitly accounts for thermal interactions at the interface by adopting uniform material properties and [...] Read more.
This study introduces an advanced temperature variation model for the pile–soil interface of single energy piles, developed through extensive numerical simulations across diverse operating conditions. Unlike existing models, it explicitly accounts for thermal interactions at the interface by adopting uniform material properties and initial temperatures, enabling precise heat transfer predictions. An iterative algorithm based on the load transfer method quantifies the pile’s thermo-mechanical response to temperature fluctuations, demonstrating significantly improved accuracy in settlement prediction compared to conventional methods. Validation against two field case studies demonstrates the model’s robustness across varied geotechnical contexts. Parameter analysis identifies soil thermal conductivity and load transfer characteristics as critical factors influencing pile behavior, thereby facilitating design optimization. This approach enhances energy pile efficiency by up to 20%, promoting the utilization of renewable geothermal energy and reducing carbon emissions in infrastructure projects, thus contributing to sustainable geotechnical engineering practices. Full article
(This article belongs to the Section Building Energy, Physics, Environment, and Systems)
Show Figures

Figure 1

30 pages, 10873 KB  
Article
ANN-Based Direct Power Control for Improved Dynamic Performance of DFIG-Based Wind Turbine System: Experimental Validation
by Hamid Chojaa, Mishari Metab Almalki and Mahmoud A. Mossa
Machines 2025, 13(11), 1006; https://doi.org/10.3390/machines13111006 - 1 Nov 2025
Viewed by 154
Abstract
Direct power control (DPC) is a widely accepted control scheme utilized in renewable energy applications owing to its several advantages over other control mechanisms, including its simplicity, ease of implementation, and faster response. However, DPC suffers from inherent drawbacks and limitations that constrain [...] Read more.
Direct power control (DPC) is a widely accepted control scheme utilized in renewable energy applications owing to its several advantages over other control mechanisms, including its simplicity, ease of implementation, and faster response. However, DPC suffers from inherent drawbacks and limitations that constrain its applicability. These restrictions include notable ripples in active power and torque, as well as poor power quality brought on by the usage of a hysteresis regulator for capacity management. To address these issues and overcome the limitations of DPC, this study proposes a novel approach that incorporates artificial neural networks (ANNs) into DPC. The proposed technique focuses on doubly fed induction generators (DFIGs) and is validated through experimental testing. ANNs are employed to recompense for the deficiencies of the hysteresis controller and switching table. The intelligent DPC technique is then compared to three other strategies: classic DPC, backstepping control, and integral sliding-mode control. Various tests are conducted to compare the ripple ratio, current quality, durability, response time, and reference tracking. The validity and robustness of the proposed intelligent DPC for DFIGs are verified through both simulation and experimental results obtained from the MATLAB/Simulink environment and the Real-Time Interface (RTI) of the dSPACE DS1104 controller card. The results confirm that the intelligent DPC outperforms conventional control strategies in terms of stator current harmonic distortion, dynamic response, power ripple minimization, reference tracking accuracy, robustness, and overshoot reduction. Overall, the intelligent DPC exhibits superior performance across all evaluated criteria compared to the alternative approaches. Full article
(This article belongs to the Special Issue Wound Field and Less Rare-Earth Electrical Machines in Renewables)
Show Figures

Figure 1

11 pages, 1035 KB  
Data Descriptor
Electroencephalography Dataset of Young Drivers and Non-Drivers Under Visual and Auditory Distraction Using a Go/No-Go Paradigm
by Yasmany García-Ramírez, Luis Gordillo and Brian Pereira
Data 2025, 10(11), 175; https://doi.org/10.3390/data10110175 - 1 Nov 2025
Viewed by 149
Abstract
Electroencephalography (EEG) provides insights into the neural mechanisms underlying attention, response inhibition, and distraction in cognitive tasks. This dataset was collected to examine neural activity in young drivers and non-drivers performing Go/No-Go tasks under visual and auditory distraction conditions. A total of 40 [...] Read more.
Electroencephalography (EEG) provides insights into the neural mechanisms underlying attention, response inhibition, and distraction in cognitive tasks. This dataset was collected to examine neural activity in young drivers and non-drivers performing Go/No-Go tasks under visual and auditory distraction conditions. A total of 40 university students (20 drivers, 20 non-drivers; balanced by sex) completed eight experimental blocks combining visual or auditory stimuli with realistic distractions, such as text message notifications and phone call simulations. EEG was recorded using a 16-channel BrainAccess MIDI system at 250 Hz. Experiments 1, 3, 5, and 7 served as transitional blocks without participant responses and were excluded from behavioral and event-related potential analyses; however, their EEG recordings and event markers are included for baseline or exploratory analyses. The dataset comprises raw EEG files, event markers for Go/No-Go stimuli and distractions, and metadata on participant demographics and mobile phone usage. This resource enables studies of attentional control, inhibitory processes, and distraction-related neural dynamics, supporting research in cognitive neuroscience, brain–computer interfaces, and transportation safety. Full article
Show Figures

Figure 1

37 pages, 5698 KB  
Article
Design and Optimization of Self-Powered Photodetector Using Lead-Free Halide Perovskite Ba3SbI3: Insights from DFT and SCAPS-1D
by Salah Abdo, Ambali Alade Odebowale, Amer Abdulghani, Khalil As’ham, Yacine Djalab, Nicholas Kanizaj and Andrey E. Miroshnichenko
Nanomaterials 2025, 15(21), 1656; https://doi.org/10.3390/nano15211656 - 30 Oct 2025
Viewed by 400
Abstract
All-inorganic halide perovskites have attracted significant interest in photodetector applications due to their remarkable photoresponse properties. However, the toxicity and instability of lead-based perovskites hinder their commercialization. In this work, we propose cubic Ba3SbI3 as a promising, environmentally friendly, lead-free [...] Read more.
All-inorganic halide perovskites have attracted significant interest in photodetector applications due to their remarkable photoresponse properties. However, the toxicity and instability of lead-based perovskites hinder their commercialization. In this work, we propose cubic Ba3SbI3 as a promising, environmentally friendly, lead-free material for next-generation photodetector applications. Ba3SbI3 shows good light absorption, low effective masses, and favorable elemental abundance and cost, making it a promising candidate compound for device applications. Its structural, mechanical, electronic, and optical properties were systematically investigated using density functional theory (DFT) with the Perdew–Burke–Ernzerhof (PBE) and hybrid HSE06 functionals. The material was found to be dynamically and mechanically stable, with a direct bandgap of 0.78 eV (PBE) and 1.602 eV (HSE06). Photodetector performance was then simulated in an Al/FTO/In2S3/Ba3SbI3/Sb2S3/Ni configuration using SCAPS-1D. To optimize device efficiency, the width, dopant level, and bulk concentration for each layer of the gadgets were systematically modified, while the effects of interface defects, operating temperature, and series and shunt resistances were also evaluated. The optimized device achieved an open-circuit voltage (Voc) of 1.047 V, short-circuit current density (Jsc) of 31.65 mA/cm2, responsivity of 0.605 A W−1, and detectivity of 1.05 × 1017 Jones. In contrast, in the absence of the Sb2S3 layer, the performance was reduced to a Voc of 0.83 V, Jsc of 26.8 mA/cm2, responsivity of 0.51 A W−1, and detectivity of 1.5 × 1015 Jones. These results highlight Ba3SbI3 as a promising platform for high-performance, cost-effective, and environmentally benign photodetectors. Full article
Show Figures

Figure 1

19 pages, 4023 KB  
Article
RL-Based Resource Allocation in SDN-Enabled 6G Networks
by Ivan Radosavljević, Petar D. Bojović and Živko Bojović
Future Internet 2025, 17(11), 497; https://doi.org/10.3390/fi17110497 - 29 Oct 2025
Viewed by 445
Abstract
Dynamic and efficient resource allocation is critical for Software-Defined Networking (SDN) enabled sixth-generation (6G) networks to ensure adaptability and optimized utilization of network resources. This paper proposes a reinforcement learning (RL)-based framework that integrates an actor–critic model with a modular SDN interface for [...] Read more.
Dynamic and efficient resource allocation is critical for Software-Defined Networking (SDN) enabled sixth-generation (6G) networks to ensure adaptability and optimized utilization of network resources. This paper proposes a reinforcement learning (RL)-based framework that integrates an actor–critic model with a modular SDN interface for fine-grained, queue-level bandwidth scheduling. The framework further incorporates a stochastic traffic generator for training and a virtualized multi-slice platform testbed for a realistic beyond-5G/6G evaluation. Experimental results show that the proposed RL model significantly outperforms a baseline forecasting model: it converges faster, showing notable improvements after 240 training epochs, achieves higher cumulative rewards, and reduces packet drops under dynamic traffic conditions. Moreover, the RL-based scheduling mechanism exhibits improved adaptability to traffic fluctuations, although both approaches face challenges under node outage conditions. These findings confirm that queue-level reinforcement learning enhances responsiveness and reliability in 6G networks, while also highlighting open challenges in fault-tolerant scheduling. Full article
Show Figures

Graphical abstract

18 pages, 3124 KB  
Article
Frequency-Mode Study of Piezoelectric Devices for Non-Invasive Optical Activation
by Armando Josué Piña-Díaz, Leonardo Castillo-Tobar, Donatila Milachay-Montero, Emigdio Chavez-Angel, Roberto Villarroel and José Antonio García-Merino
Nanomaterials 2025, 15(21), 1650; https://doi.org/10.3390/nano15211650 - 29 Oct 2025
Viewed by 357
Abstract
Piezoelectric materials are fundamental elements in modern science and technology due to their unique ability to convert mechanical and electrical energy bidirectionally. They are widely employed in sensors, actuators, and energy-harvesting systems. In this work, we investigate the behavior of commercial lead zirconate [...] Read more.
Piezoelectric materials are fundamental elements in modern science and technology due to their unique ability to convert mechanical and electrical energy bidirectionally. They are widely employed in sensors, actuators, and energy-harvesting systems. In this work, we investigate the behavior of commercial lead zirconate titanate (PZT) sensors under frequency-mode excitation using a combined approach of impedance spectroscopy and optical interferometry. The impedance spectra reveal distinct resonance–antiresonance features that strongly depend on geometry, while interferometric measurements capture dynamic strain fields through fringe displacement analysis. The strongest deformation occurs near the first kilohertz resonance, directly correlated with the impedance phase, enabling the extraction of an effective piezoelectric constant (~40 pC/N). Moving beyond the linear regime, laser-induced excitation demonstrates optically driven activation of piezoelectric modes, with a frequency-dependent response and nonlinear scaling with optical power, characteristic of coupled pyroelectric–piezoelectric effects. These findings introduce a frequency-mode approach that combines impedance spectroscopy and optical interferometry to simultaneously probe electrical and mechanical responses in a single setup, enabling non-contact, frequency-selective sensing without surface modification or complex optical alignment. Although focused on macroscale ceramic PZTs, the non-contact measurement and activation strategies presented here offer scalable tools for informing the design and analysis of piezoelectric behavior in micro- and nanoscale systems. Such frequency-resolved, optical-access approaches are particularly valuable in the development of next-generation nanosensors, MEMS/NEMS devices, and optoelectronic interfaces where direct electrical probing is challenging or invasive. Full article
Show Figures

Graphical abstract

33 pages, 8857 KB  
Article
A Multi-Stage Framework Combining Experimental Testing, Numerical Calibration, and AI Surrogates for Composite Panel Characterization
by Marcello Fulgione, Simone Palladino, Luca Esposito, Sina Sarfarazi and Mariano Modano
Buildings 2025, 15(21), 3900; https://doi.org/10.3390/buildings15213900 - 28 Oct 2025
Viewed by 345
Abstract
Composite modular panels are increasingly used in modern buildings, yet their layered behavior makes mechanical characterization and modeling difficult. This study presents a novel hybrid framework that integrates analytical, numerical, and AI-driven approaches for the mechanical characterization of composite panels. The system combines [...] Read more.
Composite modular panels are increasingly used in modern buildings, yet their layered behavior makes mechanical characterization and modeling difficult. This study presents a novel hybrid framework that integrates analytical, numerical, and AI-driven approaches for the mechanical characterization of composite panels. The system combines a layered concrete configuration with embedded steel reinforcement, and its performance was evaluated through experimental testing, analytical formulation, finite element simulations, and artificial intelligence techniques. Full-scale bending and shear tests were conducted and results in terms of displacements were compared with in silico simulations. The equivalent elastic modulus and thickness were suggested via a closed-form analytical procedure and validated numerically, showing less than 3% deviation from experiments. These equivalent parameters were used to simulate the dynamic response of a two-storey prototype building under harmonic excitation, with simulated modal periods differing by less than 10% from experimental data. To generalize the method, a parametric dataset of 218 panel configurations was generated by varying material and geometric properties. Machine learning models including Artificial Neural Network, Random Forest, Gradient Boosting, and Extra Trees were trained on this dataset, achieving R2 > 0.98 for both targets. A graphical user interface was developed to integrate the trained models into an engineering tool for fast prediction of equivalent properties. The proposed methodology provides a unified and computationally efficient approach that combines physical accuracy with practical usability, enabling rapid design and optimization of composite panel structures. Full article
(This article belongs to the Section Building Structures)
Show Figures

Figure 1

12 pages, 3476 KB  
Article
Atomic-Scale Modulation of Lithium Metal Electrode Interfaces by Monolayer Graphene: A Molecular Dynamics Study
by Haoyu Yang, Runze Chen, Shouhang Fu, Shunxiang Mo, Yulin Chen and Jianfang Cao
Materials 2025, 18(21), 4925; https://doi.org/10.3390/ma18214925 - 28 Oct 2025
Viewed by 307
Abstract
Graphene, owing to its exceptional mechanical properties and interfacial modulation capability, is considered an ideal material for enhancing the interfacial strength and damage resistance during the fabrication of ultra-thin lithium foils. Although previous studies have demonstrated the reinforcing effects of graphene on lithium [...] Read more.
Graphene, owing to its exceptional mechanical properties and interfacial modulation capability, is considered an ideal material for enhancing the interfacial strength and damage resistance during the fabrication of ultra-thin lithium foils. Although previous studies have demonstrated the reinforcing effects of graphene on lithium metal interfaces, most analyses have been restricted to single-temperature or idealized substrate conditions, lacking systematic investigations under practical, multi-temperature environments. Consequently, the influence of graphene coatings on lithium-ion conductivity and mechanical stability under real thermal conditions remains unclear. To address this gap, we employ LAMMPS-based molecular dynamics simulations to construct atomic-scale models of pristine lithium and graphene-coated lithium (C/Li) interfaces at three representative temperatures. Through comprehensive analyses of dislocation evolution, root-mean-square displacement, frictional response, and lithium-ion diffusion, we find that graphene coatings synergistically alleviate interfacial stress, suppress crack initiation, reduce friction, and enhance ionic conductivity, with these effects being particularly pronounced at elevated temperatures. These findings reveal the coupled mechanical and electrochemical regulation imparted by graphene, providing a theoretical basis for optimizing the structure of next-generation high-performance lithium metal anodes and laying the foundation for advanced interfacial engineering in battery technologies. Full article
Show Figures

Graphical abstract

36 pages, 6154 KB  
Review
Mechanism and Air Cathode Materials of Photo-Assisted Zinc–Air Batteries for Photoelectrochemical Energy Storage
by Mengmeng Zhang, Haoxiang Wang, Yuanyuan Li and Xiangyu Liang
Crystals 2025, 15(11), 923; https://doi.org/10.3390/cryst15110923 - 27 Oct 2025
Viewed by 202
Abstract
The photo-assisted strategy is an effective technology that combines both photo and electrical energy conversion/storage, which represents the direction of the next generation of green energy utilization technologies. In particular, photo-assisted zinc–air batteries (PAZABs) are novel and innovative devices with the advantages of [...] Read more.
The photo-assisted strategy is an effective technology that combines both photo and electrical energy conversion/storage, which represents the direction of the next generation of green energy utilization technologies. In particular, photo-assisted zinc–air batteries (PAZABs) are novel and innovative devices with the advantages of high efficiency and environmental friendliness. Thanks to the generation and effective separation of photo-generated carriers in photo-response air cathode catalysts, PAZABs possess significantly accelerated kinetics of oxygen reduction reaction and oxygen evolution reaction. Moreover, as a popular kind of newly developed two-electrode photoelectrochemical energy storage device, which could realize direct solar-to-electrochemical energy storage, PAZABs alleviate the limitations of the intermittent nature of solar energy in practical applications. In this study, the working mechanism of photoelectrochemical energy storage devices and PAZABs are thoroughly and systematically introduced; additionally, the design principles and types of photo-response electrode materials are reviewed. Interface engineering has been proven to be an effective strategy to improve the performance of the photo-response air cathode catalysts in PAZABs. Thus, the crucial role of the modulated interface chemistry of heterostructure air cathode catalysts is also summarized. Subsequently, the recent progress in the development of single-atom catalysts is outlined. Finally, this review presents several potential strategies for overcoming bottlenecks in the practical application of PAZABs. Full article
(This article belongs to the Special Issue Materials for Applications in Water Splitting and Battery)
Show Figures

Figure 1

36 pages, 16341 KB  
Article
Experimental Study on the Chemical Composition, Microstructure, Heat Treatment and Mechanical Properties of Steels for Special Knife Applications
by Jaroslava Svobodová, Miroslav Müller, Ludmila Nováková and Josef Hořejší
Materials 2025, 18(21), 4900; https://doi.org/10.3390/ma18214900 - 26 Oct 2025
Viewed by 543
Abstract
This study presents an experimental investigation of steels used in special knife applications, focusing on the interrelationship between chemical composition, microstructure, heat treatment, and mechanical properties. Four representative materials were analysed: VG10 (stainless steel with nickel-laminated edges and a VG10 core), RWL34 [...] Read more.
This study presents an experimental investigation of steels used in special knife applications, focusing on the interrelationship between chemical composition, microstructure, heat treatment, and mechanical properties. Four representative materials were analysed: VG10 (stainless steel with nickel-laminated edges and a VG10 core), RWL34TM (powder-metallurgical steel), laminated steel K110+N695 (with a nickel interlayer), and forge-welded steel K600+K720. The steels were characterised using OES, optical microscopy and SEM, supported by EDS for local chemical analysis. Microhardness testing was applied to individual structural regions to correlate carbide morphology, layer interfaces, and heat-treatment response with hardness values. The results reveal pronounced differences in structural homogeneity and defect occurrence. Powder-metallurgical RWL34TM exhibited the most uniform microstructure with finely dispersed Cr carbides, achieving high hardness and absence of structural defects. In contrast, laminated and forge-welded steels contained large primary carbides, carbide precipitation at grain boundaries, porous cavities, and insufficient cohesion in interlayers or weld zones, which may compromise toughness. VG10 and K110+N695 showed carbide coarsening caused by inadequate heat treatment, whereas K600+K720 revealed weld-related defects and heterogeneous phase structures. Overall, the study demonstrates the critical role of heat treatment and processing route in determining blade quality and performance. The findings provide guidance for optimising steel selection and processing technologies in advanced cutlery engineering. Full article
(This article belongs to the Section Advanced Materials Characterization)
Show Figures

Figure 1

29 pages, 4643 KB  
Article
Mathematical Modeling of Light-Powered Self-Adhesion of Peeling Strips via Abrupt Transition
by Dali Ge, Shenshen Wei and Yanli Hu
Mathematics 2025, 13(21), 3390; https://doi.org/10.3390/math13213390 - 24 Oct 2025
Viewed by 138
Abstract
Self-oscillating systems convert steady external stimuli into sustained motion, enabling diverse applications in robotics, energy absorption, optics, and logic. Inspired by the adhesion–detachment behavior of climbing plants, we propose a novel light-powered self-adhesion oscillator comprising an elastic strip–substrate structure and a weight suspended [...] Read more.
Self-oscillating systems convert steady external stimuli into sustained motion, enabling diverse applications in robotics, energy absorption, optics, and logic. Inspired by the adhesion–detachment behavior of climbing plants, we propose a novel light-powered self-adhesion oscillator comprising an elastic strip–substrate structure and a weight suspended by a photo-responsive liquid crystal elastomer fiber. By integrating a nonlinear beam deformation model with Dugdale’s cohesive model, we develop a nonlinear dynamic framework to describe the self-adhesion behavior of the elastic strip. Quasi-static analysis reveals two distinct operating modes: a static mode and a self-adhesion mode. Under constant light exposure, the liquid crystal elastomer fiber undergoes light-induced contraction, increasing peeling force and triggering a sudden transition from adhesion-on to adhesion-off. Upon entering the adhesion-off state, the fiber recovers its contraction, leading to a sharp return to the adhesion-on state. This cycle sustains a four-stage oscillation: gradual peeling, abrupt adhesion-off, gradual adhering, and abrupt adhesion-on. Furthermore, we identify the critical conditions for initiating self-adhesion and demonstrate effective control over the oscillation period. The system exhibits key advantages including amplitude controllable oscillation, widely tunable frequency, well-defined motion trajectories, and structural simplicity. These characteristics suggest promising potential for applications in self-healing adhesion systems, rescue devices, military engineering, and beyond. Full article
Show Figures

Figure 1

16 pages, 3453 KB  
Article
Finite Element Analysis of Thermal–Mechanical Coupling and Process Parameter Optimization in Laser Etching of Al–Tedlar–Kevlar Composite Films
by Ming Liu, Rui Wang, Shanglin Hou, Kaiwen Shang, Dunzhu Gesang and Guang Wei
Materials 2025, 18(21), 4839; https://doi.org/10.3390/ma18214839 - 23 Oct 2025
Viewed by 297
Abstract
Laser processing of heterogeneous composites requires a clear understanding of coupled thermal and mechanical responses to ensure structural integrity and patterning precision. In this study, a thermal–mechanical coupling model based on the finite element method was developed to investigate laser–material interactions in Al–Tedlar–Kevlar [...] Read more.
Laser processing of heterogeneous composites requires a clear understanding of coupled thermal and mechanical responses to ensure structural integrity and patterning precision. In this study, a thermal–mechanical coupling model based on the finite element method was developed to investigate laser–material interactions in Al–Tedlar–Kevlar composite films. The effects of key parameters—including pulse energy, spot size, pulse duration, and repetition frequency—on the evolution of temperature and stress fields were systematically examined. The simulations reveal that pulse energy leads to a linear rise in peak temperature, while pulse duration exerts a nonlinear influence on energy density and thermal uniformity. Increasing repetition frequency promotes thermal accumulation, enlarging the heat-affected zone. Coupled analyses further indicate significant stress concentrations at material interfaces, which may trigger delamination and compromise film reliability. Through comprehensive parameter evaluation, the optimal processing conditions were identified as 0.5 mJ pulse energy, 20 kHz repetition rate, 45 μm spot diameter, and 120 ns pulse duration. These findings clarify the governing mechanisms of thermal–mechanical interactions in multilayer composites and provide theoretical guidance for optimizing laser micropatterning processes while enhancing interfacial stability and manufacturing quality. Full article
(This article belongs to the Section Thin Films and Interfaces)
Show Figures

Figure 1

36 pages, 12273 KB  
Article
Axial Load Transfer Mechanisms in Fully Grouted Fibreglass Rock Bolts: Experimental and Numerical Investigations
by Shima Entezam, Ali Mirzaghorbanali, Behshad Jodeiri Shokri, Alireza Entezam, Hadi Nourizadeh, Peter Craig, Kevin McDougall, Warna Karunasena and Naj Aziz
Appl. Sci. 2025, 15(20), 11293; https://doi.org/10.3390/app152011293 - 21 Oct 2025
Viewed by 282
Abstract
Fully grouted rock bolts play a vital role in stabilising underground excavations, particularly in corrosive environments where material properties, geometric configuration, and installation conditions influence their load transfer performance. Although the practical importance of fully grouted fibreglass rock bolts is well recognised, quantitative [...] Read more.
Fully grouted rock bolts play a vital role in stabilising underground excavations, particularly in corrosive environments where material properties, geometric configuration, and installation conditions influence their load transfer performance. Although the practical importance of fully grouted fibreglass rock bolts is well recognised, quantitative evidence on their axial load transfer mechanisms remains limited. Prior work has primarily centred on steel rock bolts, with few studies on how embedment length, grout stiffness, interface roughness and confining stress govern bond mobilisation in fully grouted fibreglass rock bolts, indicating a clear need for further scientific investigation. This study examines the axial load transfer and shear behaviour of fully grouted fibreglass rock bolts, focusing on the effects of embedment length (EL), grout properties, and boundary conditions. A comprehensive series of laboratory pull-out tests were conducted on two widely used Australian glass fibre reinforced polymer (GFRP) rock bolts, TD22 and TD25, with diameters of 22 mm and 25 mm, respectively, under varying ELs and grout curing times to evaluate their axial performance. Additionally, single shear tests and uniaxial compressive strength (UCS) tests were conducted to assess the shear behaviour of the rock bolts and the mechanical properties of the grout. The results showed that increased EL, bolt diameter, and grout curing time generally enhance axial capacity. With grout curing from day 7 to the day 28, the influence of embedment length became increasingly pronounced, as the axial peak load rose from 35 kN (TD22-50, 7 days) to 116 kN (TD22-150, 28 days) and from 39 kN (TD25-50, 7 days) to 115 kN (TD25-150, 28 days), confirming that both longer bonded lengths and extended curing significantly enhance the axial load-bearing capacity of fully grouted GFRP rock bolts. However, the TD22 rock bolts exhibited superior shear strength and ductility compared to the TD25 rock bolts. Also, a calibrated distinct element model (DEM) was developed in 3DEC to simulate axial load transfer mechanisms and validated against experimental results. Parametric studies revealed that increasing the grout stiffness from 5 e7 N/m to 5 e8 N/m increased the peak load from 45 kN to 205 kN (approximately 350%), while reducing the peak displacement, indicating a shift toward a more brittle response. Similarly, increasing the grout-bolt interface roughness boosted the peak load by 150% (from 60 kN to 150 kN) and enhanced residual stability, raising the residual load from 12 kN to 93.5 kN. In contrast, confining stress (up to 5 MPa) did not affect the 110 kN peak load but reduced the residual load by up to 60% in isotropic conditions. These quantitative findings provide critical insights into the performance of GFRP bolts and support their optimised design for underground reinforcement applications. Full article
(This article belongs to the Special Issue Rock Mechanics and Mining Engineering)
Show Figures

Figure 1

18 pages, 9017 KB  
Article
Research on the Influence of Groundwater Level Dynamic Rising Process on Buildings Based on Numerical Simulation
by Hongzhao Li, Mingxu Gu, Ming Zhang, Baiheng Ma, Xiaolong Zhu, Liangyu Gu, Jiaoyang Tai and Lili Chen
Water 2025, 17(20), 3014; https://doi.org/10.3390/w17203014 - 20 Oct 2025
Viewed by 269
Abstract
In the North China region, measures such as restricting groundwater extraction and promoting cross-basin water diversion have effectively alleviated the problem of excessive groundwater exploitation. Nevertheless, the continuous rise in groundwater levels may alter the mechanical properties of foundation soil layers, potentially leading [...] Read more.
In the North China region, measures such as restricting groundwater extraction and promoting cross-basin water diversion have effectively alleviated the problem of excessive groundwater exploitation. Nevertheless, the continuous rise in groundwater levels may alter the mechanical properties of foundation soil layers, potentially leading to geotechnical hazards such as foundation instability and the uneven settlement of structures. This study employs FLAC3D software to simulate the displacement, deformation, and stress–strain behavior of buildings and their surrounding strata during the dynamic recovery of groundwater levels, aiming to assess the impact of this process on structural integrity. Research findings indicate that the maximum building settlement within the study area reaches 54.8 mm, with a maximum inter-column differential settlement of 8.9 mm and a peak settlement rate of 0.16 mm/day. In regions where differential settlement aligns with the interface between the floor slab and walls, tensile stress concentrations are observed. The maximum tensile stress in these zones increases progressively from 1.8 MPa to 2.19 MPa, suggesting a potential risk of tensile cracking in the concrete structures. The influence of groundwater level recovery on buildings exhibits distinct phase characteristics, and the response mechanisms of different lithological strata vary significantly. Therefore, particular attention should be given to the physical properties and mechanical behavior of strata that are highly sensitive to variations in moisture content. These findings hold significant reference value for the sustainable development and utilization of underground space in the North China region. Full article
(This article belongs to the Special Issue Soil and Groundwater Quality and Resources Assessment, 2nd Edition)
Show Figures

Figure 1

Back to TopTop