Frequency-Mode Study of Piezoelectric Devices for Non-Invasive Optical Activation
Abstract
1. Introduction
2. Materials and Methods
2.1. Commercial Sensors
2.2. Morphological and Elemental Characterization
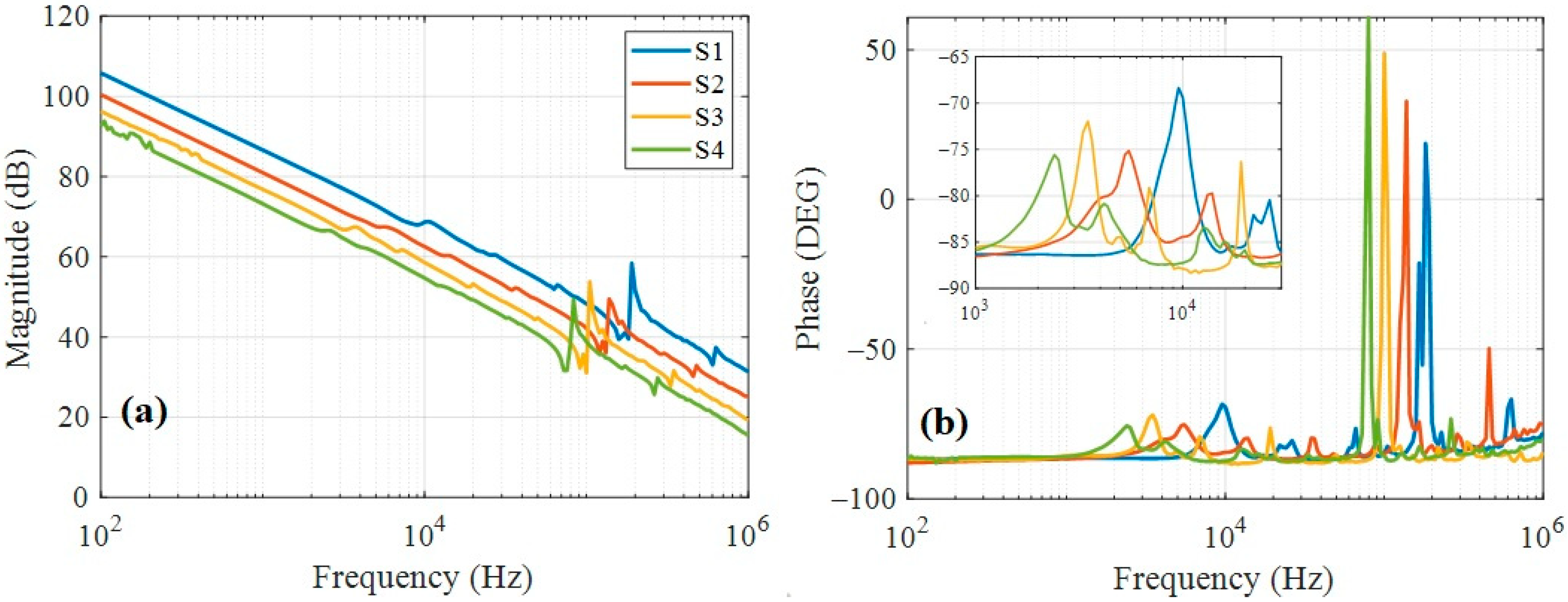
2.3. Electrical Impedance Spectroscopy
2.4. Stress–Strain Test
2.5. Interferometric Setup
2.6. Pyroelectric Effect Measurement
3. Theory
3.1. Equivalent Electromechanical Circuit
3.2. Piezoelectric Description
4. Results
5. Discussion
6. Conclusions
Author Contributions
Funding
Data Availability Statement
Conflicts of Interest
References
- Hidayat, D.; Taufik, M.; Setianto, S. One-Step Synthesis of Lead Zirconate Titanate Particles Using a Solid-State Reaction Method. Heliyon 2022, 8, e09125. [Google Scholar] [CrossRef]
- Cernea, M.; Galassi, C.; Vasile, B.S.; Capiani, C.; Berbecaru, C.; Pintilie, I.; Pintilie, L. Structural, Dielectric, and Piezoelectric Properties of Fine-Grained NBT–BT0.11 Ceramic Derived from Gel Precursor. J. Eur. Ceram. Soc. 2012, 32, 2389–2397. [Google Scholar] [CrossRef]
- Wang, Z.; Maruyama, K.; Narita, F. A Novel Manufacturing Method and Structural Design of Functionally Graded Piezoelectric Composites for Energy-Harvesting. Mater. Des. 2022, 214, 110371. [Google Scholar] [CrossRef]
- Chatziathanasiou, G.M.; Chrysochoidis, N.A.; Rekatsinas, C.S.; Saravanos, D.A. A Semi-Active Shunted Piezoelectric Tuned-Mass-Damper for Multi-Modal Vibration Control of Large Flexible Structures. J. Sound Vib. 2022, 537, 117222. [Google Scholar] [CrossRef]
- Boles, J.D.; Bonavia, J.E.; Acosta, P.L.; Ramadass, Y.K.; Lang, J.H.; Perreault, D.J. Evaluating Piezoelectric Materials and Vibration Modes for Power Conversion. IEEE Trans. Power Electron. 2022, 37, 3374–3390. [Google Scholar] [CrossRef]
- Dani, S.S.; Tripathy, A.; Alluri, N.R.; Balasubramaniam, S.; Ramadoss, A. A Critical Review: The Impact of Electrical Poling on the Longitudinal Piezoelectric Strain Coefficient. Mater. Adv. 2022, 3, 8886–8921. [Google Scholar] [CrossRef]
- Shi, W.; Zhang, H.; Liu, Y.; Bian, L.; Bi, W.; Deng, Y.; Yang, B. Improvement on Qm in High-Power Piezoelectric Ceramics Through [111]c Texture Engineering. J. Mater. Sci. Technol. 2025, 216, 260–268. [Google Scholar] [CrossRef]
- Kim, S.-W.; Lee, H.-C. Development of PZN-PMN-PZT Piezoelectric Ceramics with High d33 and Qm Values. Materials 2022, 15, 7070. [Google Scholar] [CrossRef]
- Chen, Z.; Song, L.; Cao, W. Characterization of High-Power Mechanical Quality Factor of Piezoelectric Ceramic Discs Under Self-Heating Condition. J. Mater. Res. Technol. 2023, 23, 5040–5049. [Google Scholar] [CrossRef]
- Li, Y.; Ma, J.; Fan, Z.; Zhang, F.; He, X.; Zhong, M.; Zhou, Y. A New Low-Cost Piezoelectric Ceramic Strain Detection Method. Processes 2025, 13, 258. [Google Scholar] [CrossRef]
- Islas-García, E.; Torres- SanMiguel, C.R.; Trejo-Valdez, M.; Mercado-Zúñiga, C.; Ramírez-Crescencio, F.; Villarroel, R.; Torres-Torres, C.; García-Merino, J.A. Interferometric Characterization of High-Frequency Piezo-Electric Effects in Hydroxyapatite Thin Films. Sens. Actuators A Phys. 2024, 372, 115327. [Google Scholar] [CrossRef]
- Sawane, M.; Prasad, M. MEMS Piezoelectric Sensor for Self-Powered Devices: A Review. Mater. Sci. Semicond. Process 2023, 158, 107324. [Google Scholar] [CrossRef]
- Ba Hashwan, S.S.; Khir, M.H.M.d.; Nawi, I.M.; Ahmad, M.R.; Hanif, M.; Zahoor, F.; Al-Douri, Y.; Algamili, A.S.; Bature, U.I.; Alabsi, S.S.; et al. A Review of Piezoelectric MEMS Sensors and Actuators for Gas Detection Ap-plication. Discover Nano 2023, 18, 25. [Google Scholar] [CrossRef] [PubMed]
- Quack, N.; Takabayashi, A.Y.; Sattari, H.; Edinger, P.; Jo, G.; Bleiker, S.J.; Errando-Herranz, C.; Gylfason, K.B.; Niklaus, F.; Khan, U.; et al. Integrated Silicon Photonic MEMS. Microsyst. Nanoeng. 2023, 9, 27. [Google Scholar] [CrossRef]
- Gogoi, N.; Chen, J.; Kirchner, J.; Fischer, G. Dependence of Piezoelectric Discs Electrical Impedance on Mechanical Loading Condition. Sensors 2022, 22, 1710. [Google Scholar] [CrossRef] [PubMed]
- Fischeneder, M.; Kucera, M.; Hofbauer, F.; Pfusterschmied, G.; Schneider, M.; Schmid, U. Q-Factor Enhancement of Piezoelectric MEMS Resonators in Liquids with Active Feedback. Sens. Actuators B Chem. 2018, 260, 198–203. [Google Scholar] [CrossRef]
- Nastro, A.; Baù, M.; Ferrari, M.; Ferrari, V. Piezoelectric MEMS for Sensors, Actuators and Energy Harvesting. In Sensors and Microsystems. AISEM 2021. Lecture Notes in Electrical Engineering; Di Francia, G., Di Natale, C., Eds.; Springer: Cham, Switzerland, 2023; Volume 918, pp. 264–270. [Google Scholar]
- Saito, R.; Hosobata, T.; Yamamoto, A.; Higuchi, T. Linear Resonant Electrostatic Induction Motor Using Electrical Resonance with Piezoelectric Transducers. Mechatronics 2014, 24, 222–230. [Google Scholar] [CrossRef]
- Puneetha, P.; Mallem, S.P.R.; Lee, Y.-W.; Lee, J.-H.; Shim, J. Strain-Induced Piezotronic Effects in Nano-Sized GaN Thin Films. Nano Energy 2021, 88, 106305. [Google Scholar] [CrossRef]
- Prywer, J.; Kruszyński, R.; Świątkowski, M.; Soszyński, A.; Kajewski, D.; Roleder, K. First Experimental Evidence of the Piezoelectric Nature of Struvite. Sci. Rep. 2021, 11, 14860. [Google Scholar] [CrossRef]
- Chillara, V.K.; Pantea, C.; Sinha, D.N. Low-Frequency Ultrasonic Bessel-like Collimated Beam Generation from Radial Modes of Piezoelectric Transducers. Appl. Phys. Lett. 2017, 110, 064101. [Google Scholar] [CrossRef]
- Shkuratov, S.I.; Baird, J.; Antipov, V.G.; Lynch, C.S. Dielectric Permittivity of PZT 95/5 Ferroelectric Ceramics and 0.27PIN-PMN-0.26PT Single Crystals Under Pulsed High Electric Fields. J. Appl. Phys. 2024, 135, 034101. [Google Scholar] [CrossRef]
- Bian, K.; Gu, Q.; Zhu, K.; Zhu, R.; Wang, J.; Liu, J.; Qiu, J. Improved Sintering Activity and Piezoelectric Properties of PZT Ceramics from Hydrothermally Synthesized Powders with Pb Excess. J. Mater. Sci. Mater. Electron. 2016, 27, 8573–8579. [Google Scholar] [CrossRef]
- Wang, G.; Yang, Y.; Zhou, Z.; Ren, X.; Ji, Y. High Mechanical Quality Factor and High Piezoelectric Coefficient Achieved via Acceptor-Modified Invisible Boundary. J. Eur. Ceram. Soc. 2025, 45, 117100. [Google Scholar] [CrossRef]
- Shen, N.; Liao, Q.; Liao, Y.; Li, R.; Zhang, Y.; Song, S.; Song, Y.; Zhu, C.; Qin, L. Development Status of Textured Piezoelectric Ceramics and Preparation Processes. Coatings 2025, 15, 51. [Google Scholar] [CrossRef]
- Kim, H.-T.; Ji, J.-H.; Kim, B.S.; Baek, J.S.; Koh, J.-H. Engineered Hard Piezoelectric Materials of MnO2 Doped PZT-PSN Ceramics for Sensors Applications. J. Asian Ceram. Soc. 2021, 9, 1083–1090. [Google Scholar] [CrossRef]
- Wang, C.; Ning, L.; Li, Q.; Li, Y.; Feng, X.; Wang, M.; Liu, X.; Yang, S.; Wu, J.; Li, J.; et al. Sm2O3 and MnO2 Codoped PMN-PZT Ceramics with Both High Mechanical Quality Factor and Piezoelectric Properties. Ceram. Int. 2023, 49, 21155–21160. [Google Scholar] [CrossRef]
- Piao, C.; Kim, J.O. Vibration Characteristics of an Ultrasonic Transducer of Two Piezoelectric Discs. Ultrasonics 2017, 74, 72–80. [Google Scholar] [CrossRef]
- Babu, I.; de With, G. Highly Flexible Piezoelectric 0–3 PZT–PDMS Composites with High Filler Content. Compos. Sci. Technol. 2014, 91, 91–97. [Google Scholar] [CrossRef]
- Ahmad, M. Al A Strain-Based Methodology for the Estimation of Piezoelectric Coefficients. IEEE Access 2024, 12, 24483–24487. [Google Scholar] [CrossRef]
- Torres-Torres, C.; Bornacelli, J.; Rangel-Rojo, R.; García-Merino, J.A.; Can-Uc, B.; Tamayo-Rivera, L.; Cheang-Wong, J.C.; Rodríguez-Fernández, L.; Oliver, A. Photothermally Activated Two-Photon Absorption in Ion-Implanted Silicon Quantum Dots in Silica Plates. J. Nanomater. 2018, 2018, 470167. [Google Scholar] [CrossRef]
- Hsiao, C.-C.; Siao, A.-S. Improving Pyroelectric Energy Harvesting Using a Sandblast Etching Technique. Sensors 2013, 13, 12113–12131. [Google Scholar] [CrossRef]
- Son, Y.-J.; Kim, S.-W.; Kim, H.-M.; Kim, H.; Chu, B.; Jeong, D.-Y. Dielectric Properties of Composite PZT Films with Distinct Phase-Transition Temperatures via Aerosol Deposition. Materials 2025, 18, 1427. [Google Scholar] [CrossRef]
- Yoon, M.-S.; Mahmud, I.; Ur, S.-C. Phase-Formation, Microstructure, and Piezoelectric/Dielectric Properties of BiYO3-Doped Pb(Zr0.53Ti0.47)O3 for Piezoelectric Energy Harvesting Devices. Ceram. Int. 2013, 39, 8581–8588. [Google Scholar] [CrossRef]
- Guerra-Bravo, E.; Lee, H.-J.; Baltazar, A.; Loh, K.J. Vibration Analysis of a Piezoelectric Ultrasonic Atomizer to Control Atomization Rate. Appl. Sci. 2021, 11, 8350. [Google Scholar] [CrossRef]
- Monteiro, L.M.; Gouveia, P.J.; Vasques-Nóvoa, F.; Rosa, S.; Bardi, I.; Gomes, R.N.; Correia-Santos, S.; Ricotti, L.; Vannozzi, L.; Guarnera, D.; et al. Nanoscale Piezoelectric Patches Preserve Electrical Integrity of Infarcted Hearts. Mater. Today Bio 2025, 32, 101742. [Google Scholar] [CrossRef]
- Chao, L.; Hou, Y.; Zheng, M.; Yue, Y.; Zhu, M. Macroscopic Ferroelectricity and Piezoelectricity in Nanostructured NaNbO3 Ceramics. Appl. Phys. Lett. 2017, 110, 122901. [Google Scholar] [CrossRef]
- Rath, M.; Varadarajan, E.; Natarajan, V.; Ramachandra Rao, M.S. A Comparative Study on Macroscopic and Nanoscale Polarization Mapping on Large Area PLD Grown PZT Thin Films. Ceram. Int. 2018, 44, 8749–8755. [Google Scholar] [CrossRef]
- Xiao, M.; Xu, A.; Sui, Z.; Zhang, W.; Liu, H.; Lee, C. Multifunctional MEMS, NEMS, Micro/Nano-Structures Enabled by Piezoelectric and Ferroelectric Effects. Nanoscale Horiz. 2025, 10, 2744–2771. [Google Scholar] [CrossRef] [PubMed]
- Xu, Q.; Gao, X.; Zhao, S.; Liu, Y.; Zhang, D.; Zhou, K.; Khanbareh, H.; Chen, W.; Zhang, Y.; Bowen, C. Construction of Bio-Piezoelectric Platforms: From Structures and Synthesis to Applications. Adv. Mater. 2021, 33, 2008452. [Google Scholar] [CrossRef] [PubMed]
- Kamel, N.A. Bio-Piezoelectricity: Fundamentals and Applications in Tissue Engineering and Regenerative Medicine. Biophys. Rev. 2022, 14, 717–733. [Google Scholar] [CrossRef]
- Oladapo, B.I.; Zhao, Q. Enhancing Tissue Regeneration with Self-Healing Elastic Piezoelectricity for Sustainable Implants. Nano Energy 2024, 120, 109092. [Google Scholar] [CrossRef]
- Wang, X.; Stefanello, S.T.; Shahin, V.; Qian, Y. From Mechanoelectric Conversion to Tissue Regeneration: Translational Progress in Piezoelectric Materials. Adv. Mater. 2025, 37, 2417564. [Google Scholar] [CrossRef] [PubMed]
- Polley, C.; Distler, T.; Scheufler, C.; Detsch, R.; Lund, H.; Springer, A.; Schneidereit, D.; Friedrich, O.; Boccaccini, A.R.; Seitz, H. 3D Printing of Piezoelectric and Bioactive Barium Titanate-Bioactive Glass Scaffolds for Bone Tissue Engineering. Mater. Today Bio 2023, 21, 100719. [Google Scholar] [CrossRef]
- Bergmann, F.; Foschum, F.; Marzel, L.; Kienle, A. Ex Vivo Determination of Broadband Absorption and Effective Scattering Coefficients of Porcine Tissue. Photonics 2021, 8, 365. [Google Scholar] [CrossRef]
- Sengar, P.; Chauhan, K.; Hirata, G.A. Progress on Carbon Dots and Hydroxyapatite Based Biocompatible Luminescent Nanomaterials for Cancer Theranostics. Transl. Oncol. 2022, 24, 101482. [Google Scholar] [CrossRef] [PubMed]









| Sample | Ø (mm) | A (mm2) | C0 (nF) | εr | 
|---|---|---|---|---|
| S1 | 10 | 78.5 | 4.5 | 1243 | 
| S2 | 15 | 176.7 | 9.5 | 1277 | 
| S3 | 18 | 254.4 | 16 | 1237 | 
| S4 | 25 | 490.8 | 24 | 1278 | 
| Sample | P1 | P2 | P3 | P4 | ||||||||||||
|---|---|---|---|---|---|---|---|---|---|---|---|---|---|---|---|---|
| fr1 | fa1 | Qm1 | keff1 | fr2 | fa2 | Qm2 | keff2 | fr3 | fa3 | Qm3 | keff3 | fr4 | fa4 | Qm4 | keff4 | |
| (kHz) | (kHz) | (kHz) | (kHz) | |||||||||||||
| S1 | 9.5 | 10.1 | 2.8 | 0.35 | 25.4 | 25.8 | 4.8 | 0.16 | 178.8 | 191.7 | 32.5 | 0.36 | 601.5 | 618.8 | 9.44 | 0.23 | 
| S2 | 5.3 | 5.6 | 2.2 | 0.31 | 13.4 | 13.7 | 4.2 | 0.18 | 130.6 | 139.1 | 30.1 | 0.34 | 459.4 | 466.3 | 23.1 | 0.17 | 
| S3 | 3.4 | 3.5 | 3.9 | 0.27 | 6.9 | 7.0 | 10.9 | 0.12 | 97.9 | 104.6 | 42.3 | 0.35 | 336.3 | 339.0 | 24.1 | 0.12 | 
| S4 | 2.3 | 2.4 | 3.1 | 0.25 | 4.2 | 4.3 | 4.6 | 0.13 | 76.8 | 81.5 | 48.3 | 0.33 | 265.2 | 267.1 | 30.3 | 0.11 | 
| Disclaimer/Publisher’s Note: The statements, opinions and data contained in all publications are solely those of the individual author(s) and contributor(s) and not of MDPI and/or the editor(s). MDPI and/or the editor(s) disclaim responsibility for any injury to people or property resulting from any ideas, methods, instructions or products referred to in the content. | 
© 2025 by the authors. Licensee MDPI, Basel, Switzerland. This article is an open access article distributed under the terms and conditions of the Creative Commons Attribution (CC BY) license (https://creativecommons.org/licenses/by/4.0/).
Share and Cite
Piña-Díaz, A.J.; Castillo-Tobar, L.; Milachay-Montero, D.; Chavez-Angel, E.; Villarroel, R.; García-Merino, J.A. Frequency-Mode Study of Piezoelectric Devices for Non-Invasive Optical Activation. Nanomaterials 2025, 15, 1650. https://doi.org/10.3390/nano15211650
Piña-Díaz AJ, Castillo-Tobar L, Milachay-Montero D, Chavez-Angel E, Villarroel R, García-Merino JA. Frequency-Mode Study of Piezoelectric Devices for Non-Invasive Optical Activation. Nanomaterials. 2025; 15(21):1650. https://doi.org/10.3390/nano15211650
Chicago/Turabian StylePiña-Díaz, Armando Josué, Leonardo Castillo-Tobar, Donatila Milachay-Montero, Emigdio Chavez-Angel, Roberto Villarroel, and José Antonio García-Merino. 2025. "Frequency-Mode Study of Piezoelectric Devices for Non-Invasive Optical Activation" Nanomaterials 15, no. 21: 1650. https://doi.org/10.3390/nano15211650
APA StylePiña-Díaz, A. J., Castillo-Tobar, L., Milachay-Montero, D., Chavez-Angel, E., Villarroel, R., & García-Merino, J. A. (2025). Frequency-Mode Study of Piezoelectric Devices for Non-Invasive Optical Activation. Nanomaterials, 15(21), 1650. https://doi.org/10.3390/nano15211650
 
        




 
                         
       