Sign in to use this feature.

Years

Between: -

Subjects

remove_circle_outline
remove_circle_outline
remove_circle_outline
remove_circle_outline
remove_circle_outline
remove_circle_outline
remove_circle_outline
remove_circle_outline
remove_circle_outline

Journals

remove_circle_outline
remove_circle_outline
remove_circle_outline
remove_circle_outline
remove_circle_outline
remove_circle_outline
remove_circle_outline
remove_circle_outline

Article Types

Countries / Regions

remove_circle_outline
remove_circle_outline
remove_circle_outline
remove_circle_outline
remove_circle_outline

Search Results (428)

Search Parameters:
Keywords = intellectual and developmental disability

Order results
Result details
Results per page
Select all
Export citation of selected articles as:
15 pages, 473 KB  
Article
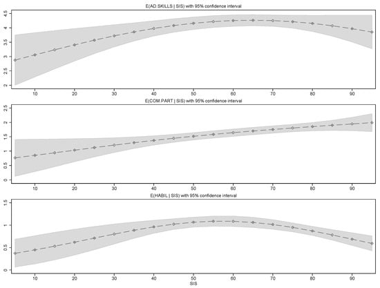
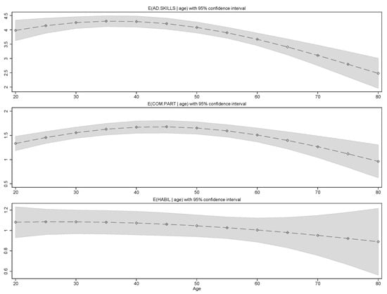
The Impact of Support Intensity Needs on Person-Centred Case Management
by Paolo Bianchi, Marco Lombardi, Luigi Croce, Antonio Caserta and Roberta Speziale
Healthcare 2025, 13(21), 2697; https://doi.org/10.3390/healthcare13212697 (registering DOI) - 25 Oct 2025
Abstract
Background: International and national policies increasingly call for person-centred approaches in disability services, yet little is known about how support intensity needs influence the allocation of resources for individuals with intellectual and developmental disabilities (IDDs). In Italy, where integrated socio-health systems operate within [...] Read more.
Background: International and national policies increasingly call for person-centred approaches in disability services, yet little is known about how support intensity needs influence the allocation of resources for individuals with intellectual and developmental disabilities (IDDs). In Italy, where integrated socio-health systems operate within a human rights framework, this quantitative study investigates how individual and contextual factors shape resource use in individualized support planning. Methods: We analyzed data from 1152 adults with IDDs enrolled in 23 service centres across 13 Italian regions. Case managers developed Individualized Support Plans (ISPs) informed by the Supports Intensity Scale and socio-ecological variables. Resource use was measured as weekly counts of adaptive skills training, community participation supports, habilitation services, prosthetics, and assistive technologies. We applied multivariate count models (Sarmanov–Lee) to capture the interdependence across support types. Results: Findings show that gender and level of intellectual functioning did not significantly affect resource allocation. However, individuals with the highest support intensity needs often received fewer supports, particularly in adaptive skills and community participation. Residential settings were associated with higher levels of support provision compared to family or independent living. Assistive technologies and prosthetics were linked with more comprehensive support packages. Conclusions: While person-centred planning frameworks are being implemented, systemic inequities remain, with those at the highest levels of need at risk of receiving fewer enabling supports. Multivariate modelling provides a robust tool for understanding resource use and highlights the importance of equity-focused planning. These findings support policy and practice reforms that operationalize human rights principles and align with the UNCRPD, ensuring more inclusive and responsive systems of support. Full article
(This article belongs to the Special Issue Disability Studies and Disability Evaluation)
Show Figures

Figure 1

13 pages, 1956 KB  
Article
Expanding Clinical and Genetic Landscape of SATB2-Associated Syndrome
by Verdiana Pullano, Federico Rondot, Ilaria Carelli, Slavica Trajkova, Silvia Carestiato, Simona Cardaropoli, Diana Carli, Elisa Biamino, Fabio Sirchia, Giuseppe Reynolds, Roberto Keller, Elena Shukarova-Angelovska, Giovanni Battista Ferrero, Alfredo Brusco and Alessandro Mussa
Genes 2025, 16(10), 1229; https://doi.org/10.3390/genes16101229 - 17 Oct 2025
Viewed by 335
Abstract
Background: SATB2-associated syndrome (SAS), also known as Glass syndrome, is a neurodevelopmental disorder (NDD) characterized by intellectual disability, developmental delay, absent or limited speech, and distinctive craniofacial and dental anomalies. It is caused by autosomal dominant pathogenic variants in the SATB2 gene, [...] Read more.
Background: SATB2-associated syndrome (SAS), also known as Glass syndrome, is a neurodevelopmental disorder (NDD) characterized by intellectual disability, developmental delay, absent or limited speech, and distinctive craniofacial and dental anomalies. It is caused by autosomal dominant pathogenic variants in the SATB2 gene, which plays a crucial role in brain, dental, and jaw development. Due to its variable phenotype, clinical diagnosis can be challenging, necessitating genetic confirmation. Methods: We present six new cases of SAS with SATB2 germline variants identified through next generation sequencing (NGS) technologies, expanding the known genetic and clinical spectrum of the syndrome. Detailed clinical phenotyping was performed for all patients. Results: Our cohort exhibits a broad range of clinical manifestations consistent with SAS, encompassing severe intellectual disability, profound speech delay, various palatal and dental abnormalities. We report the oldest adult patient (56 years old) carrying an in-frame duplication, and a pediatric patient with a missense variant who presented a significant reduction in visual acuity, likely of neurological or cortical origin, in the absence of ophthalmological abnormalities. SATB2 variants include three missenses, two in-frame deletion/duplication and one frameshift variant, several of which are novel and classified as likely pathogenic or pathogenic according to ACMG guidelines. Conclusions: This report provides new clinical and genetic insights into the landscape of SAS. Our findings confirm the phenotypic heterogeneity of SAS and highlight the critical role of comprehensive genetic testing for accurate diagnosis in NDD patients. Full article
(This article belongs to the Section Genetic Diagnosis)
Show Figures

Figure 1

21 pages, 1288 KB  
Review
Linking Genotype to Clinical Features in SMC1A-Related Phenotypes: From Cornelia de Lange Syndrome to Developmental and Epileptic Encephalopathy, a Comprehensive Review
by Maria Francesca Astorino, Desirèe Speranza, Giovanni Luppino, Maria Angela La Rosa, Silvana Briuglia and Marco Calabrò
Genes 2025, 16(10), 1196; https://doi.org/10.3390/genes16101196 - 13 Oct 2025
Viewed by 336
Abstract
Germline mutations in the X-linked cohesin subunit gene SMC1A have been increasingly recognized as a cause of developmental and epileptic encephalopathy (DEE); however, the underlying basis of its marked phenotypic heterogeneity remains elusive. In our narrative review, starting from all literature-reported clinical cases [...] Read more.
Germline mutations in the X-linked cohesin subunit gene SMC1A have been increasingly recognized as a cause of developmental and epileptic encephalopathy (DEE); however, the underlying basis of its marked phenotypic heterogeneity remains elusive. In our narrative review, starting from all literature-reported clinical cases of SMC1A-related DEE, we propose an integrative framework summarizing all the clinical and genetic features, stratified by mutation type, mosaic fraction, and X-chromosome inactivation (XCI) patterns to provide valuable support for genetic diagnosis and variants, found to date. Also, we discuss how somatic mosaicism and epigenetic variability underlie the clinical diversity of SMC1A-associated epilepsy and systematically describe the entire phenotypic spectrum, from early-onset, therapy-resistant seizures to milder intellectual disability profiles. We further examine how SMC1A mutations perturb cohesin’s canonical roles in chromatin loop formation and sister-chromatid cohesion, leading to widespread transcriptional dysregulation of neurodevelopmental gene networks. Evidence that XCI skewing can ameliorate or exacerbate neuronal cohesin deficits and, thus modulate seizure threshold, is presented. Full article
(This article belongs to the Special Issue Molecular Basis and Genetics of Intellectual Disability)
Show Figures

Figure 1

12 pages, 1269 KB  
Article
Familial NSD1 Exon 3 Deletion Associated with Phenotypic and Epigenetic Variability
by Sunwoo Liv Lee, Alison Foster, Dalit May, Ciara Batterton, Eguzkine Ochoa, Bryndis Yngvadottir, Ruth Armstrong, Meena Balasubramanian, Mary O’Driscoll, Marc Tischkowitz, France Docquier, Fay Rodger, Ezequiel Martin, Ana Toribio and Eamonn R. Maher
Genes 2025, 16(10), 1190; https://doi.org/10.3390/genes16101190 - 13 Oct 2025
Viewed by 254
Abstract
Background: Germline pathogenic variants in NSD1 cause Sotos syndrome, a developmental disorder characterised by overgrowth, intellectual disability, macrocephaly, developmental anomalies, and, in some cases, tumour development. Familial cases of Sotos syndrome are rare and genotype–phenotype correlations are not well described. NSD1, a lysine-specific [...] Read more.
Background: Germline pathogenic variants in NSD1 cause Sotos syndrome, a developmental disorder characterised by overgrowth, intellectual disability, macrocephaly, developmental anomalies, and, in some cases, tumour development. Familial cases of Sotos syndrome are rare and genotype–phenotype correlations are not well described. NSD1, a lysine-specific histone methyltransferase, is an important epigenetic regulator and pathogenic variants in NSD1 are associated with a distinctive blood DNA methylation pattern (episignature). We described a family with an NSD1 exon 3 deletion and an atypical clinical phenotype. Methods: DNA episignature profiling was undertaken with a next generation sequencing-based approach. Results: Within the family, the three affected individuals showed clinical variability with the proband being most severely affected, although none showed unequivocal macrocephaly or the characteristic facial features of Sotos syndrome. DNA methylation profiling was performed in the three affected family members, eight individuals with Sotos syndrome, and compared to control samples. The eight individuals with Sotos syndrome displayed genome-wide hypomethylation as previously described. DNA hypomethylation was also apparent in the three family members with the NSD1 exon 3 deletion with the proband being most similar to the episignature observed in confirmed Sotos syndrome patients. The two more mildly affected relatives had less pronounced DNA hypomethylation. Conclusions: A familial germline exon 3 NSD1 deletion was associated with mild Sotos syndrome phenotype with variable expressivity and a DNA methylation episignature that was less marked in milder cases than in individuals with classical Sotos syndrome. These findings support the use of methylation episignature analysis to explore intrafamilial variability in chromatin disorders. Full article
(This article belongs to the Special Issue Clinical Diagnosis and Analysis of Cancers)
Show Figures

Figure 1

14 pages, 1741 KB  
Article
The p.Ile202Thr Substitution in TUBB2B Can Be Associated with Syndromic Presentation of Congenital Fibrosis of the Extraocular Muscles
by Cecilia Mancini, Luigi Chiriatti, Alessandro Bruselles, Paola D’ambrosio, Andrea Ciolfi, Marco Ferilli, Camilla Cappelletti, Mattia Carvetta, Francesca Clementina Radio, Viviana Cordeddu, Marcello Niceta, Marta Parrino, Rossella Capolino, Corrado Mammì, Rossana Senese, Mario Muto, Manuela Priolo and Marco Tartaglia
Genes 2025, 16(10), 1182; https://doi.org/10.3390/genes16101182 - 11 Oct 2025
Viewed by 345
Abstract
Background: Dominantly acting variants in TUBB2B have primarily been associated with cortical dysplasia complex with other brain malformations 7 (CDCBM7), a disorder in which cortical brain abnormalities are typically linked to developmental delay/intellectual disability (DD/ID) and seizures. While the majority of TUBB2B [...] Read more.
Background: Dominantly acting variants in TUBB2B have primarily been associated with cortical dysplasia complex with other brain malformations 7 (CDCBM7), a disorder in which cortical brain abnormalities are typically linked to developmental delay/intellectual disability (DD/ID) and seizures. While the majority of TUBB2B pathogenic variants have been linked to isolated CDCBM7, only one family with CDCBM7 and congenital fibrosis of the extraocular muscles (CFEOM) has been reported so far. We describe a second individual with a severe phenotype of CFEOM combined with CDCBM7 carrying a pathogenic TUBB2B missense variant previously reported in two individuals with isolated CDCBM7. Methods: A trio-based WGS analysis was performed. The structural impact of the identified substitution was assessed by using the UCSF Chimera (v.1.17.3) software and PyMOL docking plugin DockingPie tool. Results: WGS analysis identified a de novo missense TUBB2B variant (p.Ile202Thr, NM_178012.5), previously associated with isolated CDCBM7. Structural analysis and docking simulations revealed that Ile202 contributes to establishing a proper hydrophobic environment required to stabilize GTP/GDP in the β-tubulin pocket. p.Ile202Thr was predicted to disrupt these interactions. Conclusions: Our findings broaden the mutational spectrum of TUBB2B-related CFEOM, targeting a different functional domain of the protein, and further document the occurrence of phenotypic heterogeneity. We also highlight the limitations of exome sequencing in accurately mapping TUBB2B coding exons due to its high sequence homology with TUBB2A and suggest targeted or genome analyses when clinical suspicion is strong. Full article
(This article belongs to the Special Issue Advances in Genetic Analysis of Congenital Disorders)
Show Figures

Figure 1

7 pages, 1052 KB  
Brief Report
A New Variant in the NALCN Channel Is Responsible for Cerebellar Ataxia and Cognitive Impairment
by Rute Luísa Cabrita Pinto, Roberto Fancellu, Tiziana Benzi Markushi, Silvia Viaggi, Barbara Testa, Giuseppina Conteduca, Lane Fitzsimmons, Domenico Coviello and Angela Elvira Covone
Genes 2025, 16(10), 1181; https://doi.org/10.3390/genes16101181 - 11 Oct 2025
Viewed by 365
Abstract
Background/Objectives: CLIFAHDD syndrome (OMIM # 616266) is a rare neurodevelopmental disorder caused by mutations in the NALCN gene. It is characterized by hypotonia, developmental delay, and congenital contractures of the limbs and face. We report a 33-year-old Italian woman with a mild form [...] Read more.
Background/Objectives: CLIFAHDD syndrome (OMIM # 616266) is a rare neurodevelopmental disorder caused by mutations in the NALCN gene. It is characterized by hypotonia, developmental delay, and congenital contractures of the limbs and face. We report a 33-year-old Italian woman with a mild form of CLIFAHDD who exhibited early-onset language difficulties and mild intellectual disability and later developed gait and balance impairments in adulthood. Methods and Results: Whole Exome Sequencing (WES) identified a novel missense variant c.1514A>T; p.(Lys505Met) in the NALCN gene. The allele frequency of this variant is not detected (MAF = 0.0), the variant is classified as likely pathogenic according to ACMG criteria, and predicted to be probably damaging by PolyPhen-2. It affects a critical residue within the second pore-forming domain of the NALCN channel, potentially altering lipid interactions and channel regulation. Sanger sequencing and segregation analysis confirmed the variant to be heterozygous and de novo. Conclusions: The patient’s milder symptoms and later onset, compared to severe pediatric cases, suggest that the clinical spectrum of CLIFAHDD syndrome may be broader than previously recognized. These findings underscore the potential influence of mutation location on disease presentation and severity. Full article
(This article belongs to the Section Genetic Diagnosis)
Show Figures

Figure 1

19 pages, 2308 KB  
Article
Bridging Genotype to Phenotype in KMT5B-Related Syndrome: Evidence from RNA-Seq, 18FDG-PET, Clinical Deep Phenotyping in Two New Cases, and a Literature Review
by Davide Politano, Renato Borgatti, Giulia Borgonovi, Angelina Cistaro, Cesare Danesino, Piercarlo Fania, Gaia Garghetti, Andrea Guala, Isabella Orlando, Irene Giovanna Schiera, Claudia Scotti, Fabio Sirchia, Romina Romaniello, Gaia Visani, Denise Vurchio, Simona Mellone and Mara Giordano
Genes 2025, 16(10), 1174; https://doi.org/10.3390/genes16101174 - 9 Oct 2025
Viewed by 432
Abstract
Background: Autosomal dominant intellectual developmental disorder 51 (MIM #617788) is caused by pathogenic variants in KMT5B, a histone methyltransferase essential for transcriptional repression and central nervous system development. The disorder manifests as a complex neurodevelopmental syndrome with variable neurological and systemic features. Methods: [...] Read more.
Background: Autosomal dominant intellectual developmental disorder 51 (MIM #617788) is caused by pathogenic variants in KMT5B, a histone methyltransferase essential for transcriptional repression and central nervous system development. The disorder manifests as a complex neurodevelopmental syndrome with variable neurological and systemic features. Methods: Two adolescents with nonsense KMT5B variants underwent detailed clinical, neuropsychological, and neuroimaging evaluations, including MRI and 18FDG PET/CT, analyzed with Statistical Parametric Mapping against matched controls. RNA sequencing was performed, and the literature was reviewed to assess genotype–phenotype correlations. Results: Both patients showed global developmental delay, progressing to autism spectrum disorder (ASD) and developmental coordination disorder (DCD), without intellectual disability (ID). The MRI was normal, but neuropsychological testing revealed executive function impairment, expressive language deficits, and behavioral disturbances. PET/CT consistently demonstrated cerebellar and temporal lobe hypometabolism, correlating with symptom severity. RNA sequencing identified shared dysregulated pathways, notably DDIT4 upregulation, linked to synaptic dysfunction and neuronal atrophy in animal models. Conclusions: The findings highlight cerebellar involvement in DCD and ASD, medial temporal lobe contribution to ASD and executive dysfunction, and DDIT4 as a possible molecular signature of KMT5B loss-of-function. An integrative multimodal approach refined genotype–phenotype correlations and revealed novel brain regions and pathways implicated in KMT5B-related disorders. Full article
(This article belongs to the Special Issue Genetics and Genomics of Autism Spectrum Disorders)
Show Figures

Figure 1

15 pages, 1797 KB  
Article
Identifying the Central Aspects of Parental Stress in Latinx Parents of Children with Disabilities via Psychological Network Analysis
by Hyeri Hong and Kristina Rios
AppliedMath 2025, 5(4), 137; https://doi.org/10.3390/appliedmath5040137 - 5 Oct 2025
Viewed by 255
Abstract
This study applies psychological network analysis to explore the structure and dynamics of parental stress, offering a novel perspective beyond traditional latent variable approaches. Rather than treating parental stress as a unidimensional construct, network analysis conceptualizes it as a system of interrelated emotional, [...] Read more.
This study applies psychological network analysis to explore the structure and dynamics of parental stress, offering a novel perspective beyond traditional latent variable approaches. Rather than treating parental stress as a unidimensional construct, network analysis conceptualizes it as a system of interrelated emotional, behavioral, and contextual symptoms. Using cross-sectional data from Latinx parents of children with intellectual and developmental disabilities (IDD), we compared and identified key central and bridge stress symptoms of Latinx parents of children with autism versus other disabilities that hold influential positions within the stress network. These findings suggest that certain stressors may act as hubs, reinforcing other stress components and potentially serving as high-impact targets for intervention. Network analysis also highlights how symptom relationships vary by types of disabilities, offering insight into tailored support strategies. Overall, this approach provides a dynamic and clinically actionable framework for understanding parental stress, with implications for assessment, early intervention, and personalized mental health care for parents. Full article
Show Figures

Figure 1

20 pages, 1199 KB  
Article
Exploring the Psychometric Properties of the Family Empowerment Scale Among Latinx Parents of Children with Disabilities: An Exploratory Structural Equation Modeling Analysis
by Hyeri Hong and Kristina Rios
AppliedMath 2025, 5(4), 133; https://doi.org/10.3390/appliedmath5040133 - 3 Oct 2025
Viewed by 348
Abstract
This study examined the psychometric properties of the Family Empowerment Scale (FES) among Latinx parents of children with intellectual and developmental disabilities (IDDs), a population historically underrepresented in empowerment research. Given the cultural and contextual factors that may shape empowerment experiences, Exploratory Structural [...] Read more.
This study examined the psychometric properties of the Family Empowerment Scale (FES) among Latinx parents of children with intellectual and developmental disabilities (IDDs), a population historically underrepresented in empowerment research. Given the cultural and contextual factors that may shape empowerment experiences, Exploratory Structural Equation Modeling (ESEM) was utilized to assess the scale’s structural validity. ESEM supports a four-factor model that aligns with, but also refines, the original structure of the FES. The lack of loading for several items indicates the need for revisions that better reflect the lived experiences of Latinx parents. ESEM provided a more nuanced view of the scale’s dimensional structure, reinforcing the value of culturally informed psychometric evaluation. These results underscore the importance of validating empowerment measures within diverse populations to inform equitable family-centered practices. Full article
Show Figures

Figure 1

32 pages, 1782 KB  
Review
Neurobiological and Behavioral Heterogeneity in Adolescents with Autism Spectrum Disorder
by Gerry Leisman, Rahela Alfasi and Robert Melillo
Brain Sci. 2025, 15(10), 1057; https://doi.org/10.3390/brainsci15101057 - 28 Sep 2025
Viewed by 1250
Abstract
Background: Adolescents with autism spectrum disorder (ASD) display distinct neurodevelopmental trajectories marked by atypical neural activation and white matter maturation compared to neurotypical peers. Introduction: While improvements in face recognition and cognitive skills occur during childhood and adolescence, individuals with ASD often experience [...] Read more.
Background: Adolescents with autism spectrum disorder (ASD) display distinct neurodevelopmental trajectories marked by atypical neural activation and white matter maturation compared to neurotypical peers. Introduction: While improvements in face recognition and cognitive skills occur during childhood and adolescence, individuals with ASD often experience a plateau in these areas as they transition to adulthood, impacting daily living, executive function, social cognition, and emotional awareness. Results: Neuroimaging studies reveal altered white matter growth and connectivity in brain regions associated with social processing, which may underlie these functional challenges. Intellectual disability further compounds developmental difficulties by limiting foundational abilities and slowing progress. Discussion: The multifaceted and persistent service needs spanning legal, educational, vocational, health, and psychosocial domains highlight the necessity for coordinated, individualized, and family-centered approaches, particularly during the transition to adulthood. Advances in research integrating genetic, neurobiological, and behavioral data hold potential for refining diagnostic subgroups and personalizing interventions. Conclusion: Continued advocacy and innovation in service delivery are essential to address gaps in adult support systems and enhance long-term outcomes for individuals with ASD. Full article
(This article belongs to the Special Issue Rethinking Neurodevelopmental Disorders: Beyond One-Size-Fits-All)
Show Figures

Figure 1

12 pages, 5191 KB  
Article
Reactivation of Human X-Linked Gene and Stable X-Chromosome Inactivation Observed in Generation and Differentiation of iPSCs from a Female Patient with HNRNPH2 Mutation
by Guibin Chen, Alexander Rodriguez-Lopez, Darawalee Wangsa, Richa Madan Lomash, Xiuli Huang, Catherine Z. Chen, Rodney A. Bowling, Neda Ghousifam, Courtney J. Banks, Kerstin A. Hurd, Jizhong Zou and Wei Zheng
Cells 2025, 14(19), 1486; https://doi.org/10.3390/cells14191486 - 23 Sep 2025
Viewed by 479
Abstract
X chromosome inactivation (XCI) is a fundamental epigenetic process that balances X-linked gene expression between females and males by silencing one X chromosome in female cells. Variability or skewing of XCI can influence the clinical presentation of X-linked disorders. Bain type X-linked intellectual [...] Read more.
X chromosome inactivation (XCI) is a fundamental epigenetic process that balances X-linked gene expression between females and males by silencing one X chromosome in female cells. Variability or skewing of XCI can influence the clinical presentation of X-linked disorders. Bain type X-linked intellectual disability syndrome (MRXSB), caused by mutations in the X-linked HNRNPH2 gene, is characterized by intellectual disability, developmental delay, and neurological abnormalities. In female patients, XCI heterogeneity complicates disease modeling and therapeutic development. Induced pluripotent stem cells (iPSCs) offer a unique platform to study patient-specific disease mechanisms, but the dynamics of XCI during iPSC reprogramming, maintenance, and differentiation are not fully understood. In this study, we generated 12 iPSC clones from fibroblasts of a female MRXSB patient heterozygous for the HNRNPH2 c.340C > T mutation. Four clones expressed the mutant HNRNPH2 allele and eight expressed the wild-type allele, indicating X chromosome reactivation (XCR) followed by random XCI during reprogramming. Importantly, these XCI patterns remained stable during long-term iPSC propagation and subsequent differentiation into the three germ layers and neural stem cells. Our findings provide new insights into XCI and XCR dynamics in the context of X-linked neurodevelopmental disorders and emphasize the importance of careful clone selection for accurate disease modeling using iPSC-based approaches. Full article
(This article belongs to the Special Issue Advances in the Regulation of Proteins and Genes for Stem Cells)
Show Figures

Figure 1

12 pages, 1763 KB  
Article
Novel Biallelic INTS1 Variants May Expand the Phenotypic Spectrum of INTS1-Related Disorders—Case Report and Literature Review
by Aleksandra Wnuk-Kłosińska, Anna Sowińska-Seidler, Michał Piechota and Aleksander Jamsheer
Genes 2025, 16(9), 1081; https://doi.org/10.3390/genes16091081 - 15 Sep 2025
Viewed by 531
Abstract
Background/Objectives: Neurodevelopmental disorders (NDDs) are genetically heterogeneous conditions with a complex molecular etiology involving numerous genes. Biallelic pathogenic variants in INTS1 cause a rare autosomal recessive NDD characterized by congenital cataracts, growth retardation, facial dysmorphism, and global developmental delay. To date, the clinical [...] Read more.
Background/Objectives: Neurodevelopmental disorders (NDDs) are genetically heterogeneous conditions with a complex molecular etiology involving numerous genes. Biallelic pathogenic variants in INTS1 cause a rare autosomal recessive NDD characterized by congenital cataracts, growth retardation, facial dysmorphism, and global developmental delay. To date, the clinical description of this disorder has been based solely on individual case reports, and its phenotypic spectrum remains incompletely defined. Methods: A 9-year-old female proband was evaluated for developmental delay, multiple congenital anomalies, and distinctive craniofacial features. Whole-exome sequencing (WES) was performed, followed by Sanger validation and segregation analysis. Variant pathogenicity was assessed using in silico prediction tools and 3D protein structural modeling. Results: Whole-exome sequencing identified two novel compound heterozygous missense variants in INTS1, c.1145G>A (p.Arg382Gln) and c.1195G>A (p.Gly399Ser), both located in exon 9. Segregation analysis showed that c.1145G>A was inherited from the father and c.1195G>A from the mother, and both variants are extremely rare in population databases. Conclusions: We report a patient carrying novel biallelic INTS1 variants, whose clinical presentation differs from previously reported cases, including those with milder phenotypes characterized by preserved speech development and absence of intellectual disability. This observation broadens the clinical spectrum of INTS1-related disease and underscores its phenotypic heterogeneity. Full article
(This article belongs to the Section Human Genomics and Genetic Diseases)
Show Figures

Figure 1

14 pages, 1401 KB  
Article
Novel ATP7A Splice-Site Variant Causing Distal Motor Neuropathy and Occipital Horn Syndrome: Two Siblings and Literature Review
by Karin Writzl, Maruša Škrjanec Pušenjak, Matevž Jus, Aleš Maver, Nuška Pečarič Meglič, Borut Peterlin and Lea Leonardis
Genes 2025, 16(9), 1077; https://doi.org/10.3390/genes16091077 - 15 Sep 2025
Viewed by 572
Abstract
Background: Pathogenic hemizygous variants in ATP7A most commonly cause Menkes disease or occipital horn syndrome (OHS), whereas ATP7A-related distal hereditary motor neuropathy (dHMN) is rarely reported. Here, we describe two adult brothers with an overlapping dHMN/OHS phenotype caused by a novel ATP7A [...] Read more.
Background: Pathogenic hemizygous variants in ATP7A most commonly cause Menkes disease or occipital horn syndrome (OHS), whereas ATP7A-related distal hereditary motor neuropathy (dHMN) is rarely reported. Here, we describe two adult brothers with an overlapping dHMN/OHS phenotype caused by a novel ATP7A splice-site variant and review the clinical and genetic features of previously published patients with ATP7A-related dHMN. Methods: We performed detailed clinical, electrophysiological, and genetic evaluations of both siblings, including exome sequencing and RNA analysis. Additionally, we reviewed the clinical, electrophysiological, and genetic data of previously reported patients with ATP7A-related dHMN. Results: We identified a novel hemizygous ATP7A splice-site variant (NM_000052.7:c.1544-2A>T) in both brothers. The younger brother, who exhibited a more severe phenotype, presented in early childhood with mild global developmental delay, intellectual disability, and chronic diarrhea, while the older brother had childhood-onset chronic diarrhea without cognitive impairment. Both developed distal hereditary motor neuropathy later in life, and imaging revealed occipital horns. Serum copper and ceruloplasmin levels were mildly reduced. RNA sequencing revealed two aberrant transcript isoforms resulting from the splice-site variant, one of which may produce a partially functional protein. Review of previously reported patients shows that ATP7A-related dHMN may occur isolated or with overlapping features of OHS. In patients with the overlapping phenotype, chronic diarrhea was often the first symptom, followed by slowly progressive dHMN. Conclusions: Previously reported ATP7A-related dHMN has been mostly associated with missense variants. Our findings expand the mutational spectrum by identifying a splice-site variant. In patients with an overlapping OHS/dHMN phenotype, diagnosis was typically delayed for decades, suggesting this presentation remains underdiagnosed. Full article
(This article belongs to the Section Molecular Genetics and Genomics)
Show Figures

Figure 1

12 pages, 520 KB  
Review
Neuroimaging Features of GRIN-Related Epilepsies
by Marco Cocciante, Irma Minacapelli, Azzurra Almesberger, Rosa Pasquariello and Emanuele Bartolini
Appl. Sci. 2025, 15(17), 9520; https://doi.org/10.3390/app15179520 - 29 Aug 2025
Viewed by 596
Abstract
N-methyl-D-aspartate receptors (NMDARs) are ionotropic glutamate channels that play a pivotal role in brain development and the regulation of learning and memory processes. De novo pathogenic variants in four genes encoding NMDA receptor subunits (GRIN1, GRIN2A, GRIN2B, and GRIN2D [...] Read more.
N-methyl-D-aspartate receptors (NMDARs) are ionotropic glutamate channels that play a pivotal role in brain development and the regulation of learning and memory processes. De novo pathogenic variants in four genes encoding NMDA receptor subunits (GRIN1, GRIN2A, GRIN2B, and GRIN2D) have been implicated in a broad spectrum of neurodevelopmental disorders, including developmental delay, intellectual disability, autism spectrum disorders, epilepsy, and movement disorders. Mutations in the GRIN1 and GRIN2B genes, which encode the GluN1 and GluN2B subunits, respectively, are strongly associated with malformations of cortical development, including diffuse dysgyria, bilateral polymicrogyria, hippocampal dysplasia, corpus callosum hypoplasia, and other findings such as ventricular enlargement and basal ganglia abnormalities. Conversely, GRIN2A mutations are associated with heterogeneous and less specific neuroimaging patterns. We reviewed the existing literature on the neuroradiological features associated with GRIN gene mutations, also providing pictorial representations from our patient cohort. The analysis revealed a more consistent association of malformations of cortical development with GRIN1 and GRIN2B variants, likely reflecting the critical role of these genes in neuronal migration and proper development of cortical structures. In comparison, GRIN2A mutations are associated with milder brain abnormalities. An integrated assessment of neuroimaging patterns and GRIN gene variants provides valuable insights for differential diagnosis and supports targeted genetic screening in patients presenting with epileptic encephalopathy, global developmental delay, and autism spectrum disorders. Full article
(This article belongs to the Special Issue MR-Based Neuroimaging)
Show Figures

Figure 1

20 pages, 858 KB  
Review
Neurotrophins in Neurodevelopmental Disorders: A Narrative Review of the Literature
by Fabiola Panvino, Roberto Paparella, Francesca Tarani, Chiara Lombardi, Giampiero Ferraguti, Francesco Pisani, Marco Fiore, Rouzha Pancheva, Ignazio Ardizzone and Luigi Tarani
Int. J. Mol. Sci. 2025, 26(17), 8335; https://doi.org/10.3390/ijms26178335 - 28 Aug 2025
Cited by 1 | Viewed by 1214
Abstract
Neurodevelopmental disorders (NDDs), including attention-deficit/hyperactivity disorder (ADHD), autism spectrum disorder (ASD), intellectual disability (ID), and tic disorders, comprise a range of conditions that originate in early childhood and impact cognitive, behavioral, and social functioning. Despite their clinical heterogeneity, they often share common molecular [...] Read more.
Neurodevelopmental disorders (NDDs), including attention-deficit/hyperactivity disorder (ADHD), autism spectrum disorder (ASD), intellectual disability (ID), and tic disorders, comprise a range of conditions that originate in early childhood and impact cognitive, behavioral, and social functioning. Despite their clinical heterogeneity, they often share common molecular and neurobiological framework. This narrative review aims to examine the role of neurotrophins—particularly the brain-derived neurotrophic factor, nerve growth factor, and related molecules—in the pathophysiology of NDDs, and to explore their potential as biomarkers and therapeutic targets. A comprehensive literature search was conducted using PubMed, Scopus, and Web of Science, including both clinical and preclinical studies. Neurotrophins are critically involved in brain development, influencing neurogenesis, synaptic plasticity, and neuronal survival. Dysregulation in their signaling pathways has been associated with core features of ASD and ADHD and may modulate cognitive outcomes in ID. Emerging evidence also supports a role for neuroimmune interactions and neurotrophic dysfunction in tic disorders. However, findings across studies remain inconsistent due to methodological variability and limited longitudinal data. Future research should aim for standardized methodologies and stratified, longitudinal designs to clarify their role across developmental stages and clinical phenotypes. Full article
(This article belongs to the Section Molecular Neurobiology)
Show Figures

Figure 1

Back to TopTop