Sign in to use this feature.

Years

Between: -

Subjects

remove_circle_outline
remove_circle_outline
remove_circle_outline
remove_circle_outline
remove_circle_outline
remove_circle_outline
remove_circle_outline
remove_circle_outline
remove_circle_outline

Journals

remove_circle_outline
remove_circle_outline
remove_circle_outline
remove_circle_outline
remove_circle_outline
remove_circle_outline
remove_circle_outline
remove_circle_outline
remove_circle_outline
remove_circle_outline
remove_circle_outline
remove_circle_outline

Article Types

Countries / Regions

remove_circle_outline
remove_circle_outline
remove_circle_outline
remove_circle_outline

Search Results (378)

Search Parameters:
Keywords = increment cores

Order results
Result details
Results per page
Select all
Export citation of selected articles as:
19 pages, 2639 KB  
Article
Investigation of Double-Layer Blanking Technology for Production of Sheets for the Rotor and Stator of an Electric Motor
by Emil Spišák, Martin Matej Benda, Peter Mulidrán, Janka Majerníková and Ľuboš Kaščák
Appl. Sci. 2026, 16(9), 4226; https://doi.org/10.3390/app16094226 (registering DOI) - 26 Apr 2026
Abstract
The optimization of blanking technology using the novel double-layer configuration allows for increased production capacity, but it introduces certain drawbacks, which mainly affect the quality of the blanked parts. In this study, the effect of this blanking configuration was evaluated on two types [...] Read more.
The optimization of blanking technology using the novel double-layer configuration allows for increased production capacity, but it introduces certain drawbacks, which mainly affect the quality of the blanked parts. In this study, the effect of this blanking configuration was evaluated on two types of electrical steels intended for the production of rotor and stator cores. A numerical simulation of the blanking process was conducted using the Simufact Forming 2022 software. Analysis of the experimental results showed that blanks produced by the double-layer configuration exhibit significantly increased dishing deformation, more than 3.5 times for material B and more than nine times for material C when compared with the dishing increment in single-layer samples. Each layer of the configuration also produces different sheared edge shapes with different proportions of zones. Neither of the layers corresponds fully to the results produced by conventional blanking. Based on the results of the simulations of this process, it can be concluded that this simulation software can predict double-layer blanking with limited accuracy as most differences between measured parameters of the sheared edge relative to the nominal thickness are within 20%. Full article
(This article belongs to the Special Issue Sustainable Metal Forming Materials and Technologies)
Show Figures

Figure 1

19 pages, 694 KB  
Systematic Review
Magnesium Sulfate as an Adjuvant to Local Anesthetic in Erector Spinae Plane Block: A Systematic Review of Randomized Controlled Trials
by Dario Gaetano, Simona Brunetti, Viola Lomonaco, Francesca Piccialli, Angelo Buglione, Umberto Colella, Francesco Coppolino, Vincenzo Pota, Maria Beatrice Passavanti and Pasquale Sansone
Life 2026, 16(5), 726; https://doi.org/10.3390/life16050726 (registering DOI) - 25 Apr 2026
Abstract
Background: Magnesium sulfate (MgSO4) added to local anesthetics has been investigated as an adjuvant in regional anesthesia, but its role in ultrasound-guided erector spinae plane block (ESPB) remains uncertain. Methods: We conducted a PRISMA 2020-compliant systematic review of randomized controlled trials [...] Read more.
Background: Magnesium sulfate (MgSO4) added to local anesthetics has been investigated as an adjuvant in regional anesthesia, but its role in ultrasound-guided erector spinae plane block (ESPB) remains uncertain. Methods: We conducted a PRISMA 2020-compliant systematic review of randomized controlled trials evaluating MgSO4 added to the local anesthetic solution in ESPB. In the predefined core comparison (MgSO4 added to local anesthetic vs. local anesthetic alone in adult postoperative surgery), four trials (225 participants enrolled; 160 contributing to the comparison) informed the qualitative synthesis. Results: Eight randomized controlled trials were included. In the predefined core comparison, 24 h pain intensity was reported heterogeneously and was frequently not extractable as continuous data, precluding pooling. Opioid consumption or rescue analgesia more often favored MgSO4; however, outcome metrics, analgesic drugs, and assessment windows were not harmonized, and these effects were not consistently accompanied by reductions in pain intensity at 24 h, limiting their interpretation as true analgesic benefit. Safety reporting was frequently incomplete and often lacked structured adverse event tabulation. Risk of bias varied across domains, and GRADE certainty for all core outcomes was very low. Conclusions: Current randomized evidence does not support routine use of MgSO4 as an adjuvant in ESPB. Future trials using standardized ESPB techniques, harmonized magnesium dosing strategies, and core outcome sets are required to determine whether magnesium provides clinically meaningful incremental analgesic benefit. Full article
(This article belongs to the Section Medical Research)
Show Figures

Figure 1

22 pages, 2930 KB  
Article
Research on Evolutionary Game and Implementation Strategies for Promoting Near-Zero Energy Building Technologies
by Xinhui Xue and Ning Liu
Buildings 2026, 16(9), 1680; https://doi.org/10.3390/buildings16091680 - 24 Apr 2026
Viewed by 124
Abstract
As a core decarbonization technology, the scaling up of Near-Zero Energy Building (NZEB) technologies under the “dual carbon” goal necessitates collaboration among governments, technology suppliers, and construction enterprises. However, high research and development (R&D) costs coupled with low market acceptance impede widespread adoption. [...] Read more.
As a core decarbonization technology, the scaling up of Near-Zero Energy Building (NZEB) technologies under the “dual carbon” goal necessitates collaboration among governments, technology suppliers, and construction enterprises. However, high research and development (R&D) costs coupled with low market acceptance impede widespread adoption. This study develops a tripartite evolutionary game model to analyze strategic interactions among stakeholders. Using MATLAB 2022B simulations, we simulate the strategy sets for the government (subsidize/no subsidy), suppliers (R&D/no R&D), and enterprises (procure/no purchase). The results identify two Evolutionary Stable Strategies (ESS): a market-driven ESS (0, 1, 1) emerges when the green premium (Pm) exceeds the incremental cost (Cb); while a policy-driven ESS (1, 1, 1) requires government subsidies (S) to offset R&D gaps, specifically when S>Cr/αPmz. These findings provide a theoretical basis for understanding the synergistic mechanisms underlying NZEB adoption and highlight the dynamic interplay between policy incentives and market forces. Full article
(This article belongs to the Section Building Energy, Physics, Environment, and Systems)
Show Figures

Figure 1

29 pages, 20101 KB  
Article
Design and Shallow-Hole Validation of a Low-Flow Mud-Pulse MWD Pulser Head for Wireline Coring
by Shuhao Tan, Zhi Li, Ying Yang, Hanlin Liu, Meng Wang, Chun Cheng and Yule Hu
Appl. Sci. 2026, 16(8), 3934; https://doi.org/10.3390/app16083934 - 18 Apr 2026
Viewed by 113
Abstract
In recent years, small-borehole wireline coring has become increasingly dependent on trajectory control, downhole condition sensing, and real-time directional decision-making. However, under low-flow conditions, conventional MWD pulser heads tend to generate relatively small pulse amplitudes; as hole depth increases, the pressure signal undergoes [...] Read more.
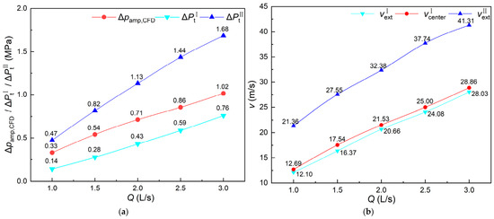
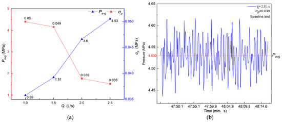
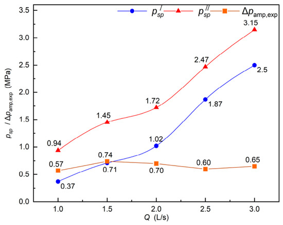
In recent years, small-borehole wireline coring has become increasingly dependent on trajectory control, downhole condition sensing, and real-time directional decision-making. However, under low-flow conditions, conventional MWD pulser heads tend to generate relatively small pulse amplitudes; as hole depth increases, the pressure signal undergoes stronger attenuation and becomes more susceptible to noise interference, making it difficult to sustain a decodable amplitude under a limited pump-pressure budget. Existing studies have mainly focused on surface decoding and signal processing and therefore do not improve, at the source-structure level, the amplitude output and tool-section incremental pressure loss in low-flow operation. Accordingly, this study develops a compact small-diameter mud-pulse pulser head for 1–3 L/s operation and evaluates its performance through an integrated workflow combining theoretical screening, numerical simulation, and shallow-hole field testing focused on hydraulic pulse generation and surface detectability. The results show that, after selecting appropriate bypass-orifice sets, the proposed pulser head produces stable pressure pulses meeting the surface decoding threshold across 1–3 L/s, while maintaining the tool-section incremental pressure loss within 0.5 MPa over the main operating range. The findings further indicate that, in low-flow regimes, the achievable decoding margin and the incremental-loss ceiling are primarily governed by the upstream hydraulic architecture. This work provides a practical basis for reliable low-flow mud-pulse telemetry in small-borehole wireline coring. Full article
(This article belongs to the Section Earth Sciences)
Show Figures

Figure 1

18 pages, 1867 KB  
Article
An Edge-Aware Change Detection Network Toward Urban Construction Land Change Identification
by Wuyi Cai, Gongming Li, Yanlong Zhang and Yonghong Mo
Buildings 2026, 16(8), 1573; https://doi.org/10.3390/buildings16081573 - 16 Apr 2026
Viewed by 132
Abstract
As urbanization transitions from incremental expansion to the optimized utilization of existing construction land, the precise identification of land-use status and changes has become a core requirement for enhancing refined land resource management. However, in urban built environments characterized by dense object distributions [...] Read more.
As urbanization transitions from incremental expansion to the optimized utilization of existing construction land, the precise identification of land-use status and changes has become a core requirement for enhancing refined land resource management. However, in urban built environments characterized by dense object distributions and complex geometric contours, existing change detection methods often struggle to capture subtle boundaries, leading to edge blurring and loss of detail. To address these challenges, this study proposes an Edge-aware Change Detection Network for urban construction land change identification. The model features a shared Siamese encoding network based on MiT-B1, leveraging its hierarchical multi-scale attention mechanism to balance local detail extraction with long-range semantic dependency capture, thereby overcoming the limitations of monolithic feature extraction. Furthermore, a multi-level feature concatenation and fusion strategy is designed to align and interact with bi-temporal features along the channel dimension, significantly enhancing the saliency and discriminative representation of change areas. Experimental results on the Yongzhou building change detection dataset demonstrate that the proposed model outperforms state-of-the-art methods in both visual recognition and quantitative metrics. It effectively resolves the difficulty of boundary definition in complex urban scenarios, providing localized high-precision technical support for the assessment and dynamic monitoring of construction land within the study area. Full article
(This article belongs to the Section Building Energy, Physics, Environment, and Systems)
Show Figures

Figure 1

21 pages, 361 KB  
Article
Enhancing Distribution Network Performance with Coordinated PV and D-STATCOM Compensation Under Fixed and Variable Reactive Power Modes
by Oscar Danilo Montoya, Luis Fernando Grisales-Noreña and Diego Armando Giral-Ramírez
Technologies 2026, 14(4), 234; https://doi.org/10.3390/technologies14040234 - 16 Apr 2026
Viewed by 279
Abstract
This paper addresses the optimal management of photovoltaic (PV) systems and distribution static synchronous compensators (D-STATCOMs) in modern electrical distribution networks. A mixed-integer nonlinear programming (MINLP) model is formulated which co-optimizes device placement, sizing, and multi-period dispatch to minimize the total annualized system [...] Read more.
This paper addresses the optimal management of photovoltaic (PV) systems and distribution static synchronous compensators (D-STATCOMs) in modern electrical distribution networks. A mixed-integer nonlinear programming (MINLP) model is formulated which co-optimizes device placement, sizing, and multi-period dispatch to minimize the total annualized system costs while satisfying AC power flow and operational constraints. To solve this challenging problem, a decomposition methodology is proposed, wherein the binary location decisions for the PVs and D-STATCOMs are treated as predefined inputs, upon the basis of site selections commonly reported in the literature. With the integer variables fixed, the problem is reduced to a continuous nonlinear programming (NLP) subproblem for optimal capacity sizing and operational scheduling, which is solved using the interior point optimizer (IPOPT) via the Julia/JuMP environment. The core contribution of this work lies in its comprehensive demonstration of the economic superiority of variable reactive power injection over conventional fixed compensation schemes. Through numerical validation on standard 33- and 69-bus test systems, it is shown that a variable D-STATCOM operation yields substantial and consistent economic gains. Compared to optimized fixed-injection solutions, variable injection provides additional annual savings averaging USD 120,516 (33-bus feeder) and USD 125,620 (69-bus grid), corresponding to a further 3.4% reduction in total costs. These benefits prove robust across different device location sets identified by various metaheuristic algorithms, and they scale effectively to larger network topologies. The results demonstrate that transitioning to variable power injection is not merely an incremental improvement but a fundamental advancement for achieving techno-economic optimality in distribution system planning. The proposed methodology provides utilities with a computationally efficient framework for determining near-optimal PV and D-STATCOM management strategies by first fixing deployment locations based on established planning insights and then rigorously optimizing sizing and dispatch, in order to maximize economic returns while ensuring reliable network operation. Full article
(This article belongs to the Special Issue Innovative Power System Technologies)
Show Figures

Figure 1

17 pages, 3637 KB  
Article
Preparation and Performance Evaluation of a Core–Shell Nanosphere/Surfactant Composite System for Profile Control and Enhanced Oil Recovery in Low-Permeability Reservoirs
by Qianqian Tian, Weiliang Xiong, Junhong Jia, Futeng Feng, Huilin Wang, Lili Wang, Yueheng Cheng, Lei Liu and Changhua Yang
Processes 2026, 14(8), 1249; https://doi.org/10.3390/pr14081249 - 14 Apr 2026
Viewed by 411
Abstract
To address early water breakthrough and poor residual-oil mobilization in low-permeability reservoirs, a core–shell nanosphere/surfactant composite system was developed for profile control and enhanced oil recovery. The core–shell nanospheres were prepared by a semi-continuous seed-growth method, and a target particle-size window of 100–200 [...] Read more.
To address early water breakthrough and poor residual-oil mobilization in low-permeability reservoirs, a core–shell nanosphere/surfactant composite system was developed for profile control and enhanced oil recovery. The core–shell nanospheres were prepared by a semi-continuous seed-growth method, and a target particle-size window of 100–200 nm was selected based on pore-throat/particle matching. The representative sample, HK-0417, had an average particle size of about 120 nm and showed good dispersion stability in formation brine at 45 °C. After blending with the surfactant ALT-603, the system achieved an ultralow oil–water interfacial tension on the order of 10−3 mN/m and reduced the water contact angle of the oil-aged surface from 125° to 70°, indicating a shift toward near-neutral wettability. Core-flooding tests further showed that, under the same chemical dosage, slug injection (HK-0417 followed by ALT-603) demonstrated better performance than co-injection, with higher incremental oil recovery (15.49% vs. 13.17%) and higher plugging efficiency during subsequent water flooding (81.25% vs. 78.46%). The novelty of this work lies in integrating particle-size-window design, controllable preparation of core–shell nanospheres, and direct comparison of injection strategies within one system. The results provide practical guidance for formulation design and injection-mode selection for enhanced oil recovery in low-permeability reservoirs. Full article
(This article belongs to the Section Materials Processes)
Show Figures

Figure 1

26 pages, 6156 KB  
Article
Fine-Scale Territorial Carbon Budget Accounting and Driver Identification in the Central Guizhou Urban Agglomeration, China
by Debin Lu, Jiaheng Chen, Zhongyin Wei, Zhang Shi and Feifeng Wang
Land 2026, 15(4), 628; https://doi.org/10.3390/land15040628 - 11 Apr 2026
Viewed by 287
Abstract
Fine-scale accounting of land use carbon budgets and identification of their driving factors provides an essential scientific basis for constructing green and low-carbon territorial spatial systems. This is of great significance for optimizing territorial spatial structure and promoting low-carbon development in urban agglomerations. [...] Read more.
Fine-scale accounting of land use carbon budgets and identification of their driving factors provides an essential scientific basis for constructing green and low-carbon territorial spatial systems. This is of great significance for optimizing territorial spatial structure and promoting low-carbon development in urban agglomerations. Taking the Central Guizhou Urban Agglomeration as the study area, this study employed a composite carbon coefficient method to construct a 30 m × 30 m grid-based carbon budget index and quantitatively assessed carbon budget changes induced by land use transitions from 2000 to 2024. POI data and a quantile regression model were further integrated to analyze the dominant spatial characteristics associated with carbon budgets, and a carbon budget monitoring and early-warning index was developed to delineate risk zones. The results show that: (1) From 2000 to 2024, the total area of land use change reached 0.95 × 104 km2 in the Central Guizhou Urban Agglomeration, accounting for 17.68% of the total land area, and leading to a net increase of 2.3821 million tons of carbon emissions. This increase was primarily associated with the conversion of cultivated land to construction land, with an accelerated growth rate observed in the later period. (2) The spatial patterns of carbon budgets and carbon emission risk levels exhibit a distinct “core–periphery” structure, with high carbon emission levels concentrated in built-up urban areas and lower levels observed in peripheral ecological land. (3) The expansion of construction land is the dominant contributor to the increase in net carbon emissions; industrial, transportation, and residential spaces exert significant positive driving effects, whereas commercial and service spaces show a negative association. (4) Carbon budget risk zoning based on dominant spatial characteristics identifies Guiyang and Anshun as extremely high-risk areas. The results further suggest that reducing carbon-increment spaces and increasing carbon-reduction spaces may play an important role in territorial carbon budget optimization. The integrated “accounting–driving–monitoring” analytical framework established in this study provides a scientific basis for territorial spatial optimization and carbon emission reduction in mountainous urban agglomerations. Full article
Show Figures

Figure 1

30 pages, 20587 KB  
Article
Competition Release as a Driver of Divergent Post-Drought Radial Growth Recovery in Turkey Oak (Quercus cerris L.) Forests: A LiDAR–Dendrochronological Approach
by Radenko Ponjarac, Milutin Đilas and Dejan B. Stojanović
Forests 2026, 17(4), 468; https://doi.org/10.3390/f17040468 - 10 Apr 2026
Viewed by 214
Abstract
Extreme drought events are increasingly destabilizing European lowland oak forests, yet within-stand variation in drought legacy effects remains poorly characterized. This study integrates UAV-LiDAR canopy structural analysis with a 68-year dendrochronological record (1952–2019) to examine divergent radial growth responses to the 2012 extreme [...] Read more.
Extreme drought events are increasingly destabilizing European lowland oak forests, yet within-stand variation in drought legacy effects remains poorly characterized. This study integrates UAV-LiDAR canopy structural analysis with a 68-year dendrochronological record (1952–2019) to examine divergent radial growth responses to the 2012 extreme drought in Turkey oak (Quercus cerris L.) forests of Vojvodina, northern Serbia. LiDAR scanning (Wingtra Gen II, 90 m altitude, spring 2024) enabled objective classification of 180 increment cores from 90 trees across four 5–7 ha experimental plots into two structural zones: a preserved-structure zone (PS; gap fraction ≤ 10%) and a disturbed-structure zone (DS; gap fraction > 10%). Ring width index (RWI) chronologies were developed using the modified negative exponential function and analyzed with linear mixed-effects models (LMMs) incorporating AR(1) temporal autocorrelation. Lloret resilience indices (a reference window of seven years) were computed per individual tree and compared between zones using Mann–Whitney U tests with Bonferroni correction. The key finding is a statistically significant zone × period interaction in all four plots (p = 0.0009–0.033): DS zone trees exhibited a marked post-drought RWI increase (mean +0.22–0.36 units; t-test p < 0.0001 in all plots), while PS zone trees showed no significant post-drought change (p = 0.147–0.258). Pooled Lloret analysis revealed significantly higher recovery (Rt: DS median = 1.693 vs. PS = 1.237; U = 1633, p < 0.0001, r = 0.532) and resilience (Rs: DS = 1.232 vs. PS = 0.932; U = 1574, p < 0.0001, r = 0.482), while resistance (Rc) did not differ between zones (p = 0.569), indicating that DS zone trees were equally susceptible to the drought but recovered far more strongly. The equivalence of Rc between zones critically implies that divergent post-drought trajectories cannot be attributed to differential drought tolerance but instead reflect a structural mechanism operating exclusively in the post-drought period. These results are consistent with a competition release mechanism: drought-induced canopy gap formation in DS zones reduced inter-tree competition for surviving trees, enabling accelerated radial growth recovery. Full article
(This article belongs to the Section Forest Inventory, Modeling and Remote Sensing)
Show Figures

Figure 1

14 pages, 2925 KB  
Review
Optimal Outrigger Placement with BRB for Improved Seismic Performance in Super-Tall Buildings
by Hamid Nikzad and Shinta Yoshitomi
CivilEng 2026, 7(2), 23; https://doi.org/10.3390/civileng7020023 - 8 Apr 2026
Viewed by 262
Abstract
This paper proposes a power-based optimization procedure to identify the optimal number and vertical placement of buckling restrained brace (BRB) outrigger systems for enhancing the seismic performance of core-wall-dominated benchmark model. The proposed method is validated using a nine-zone numerical model subjected to [...] Read more.
This paper proposes a power-based optimization procedure to identify the optimal number and vertical placement of buckling restrained brace (BRB) outrigger systems for enhancing the seismic performance of core-wall-dominated benchmark model. The proposed method is validated using a nine-zone numerical model subjected to nonlinear time-history analysis implemented in MATLAB R2025.a (25.1.0.2943329). The optimization variables include the number and locations of outriggers as well as the stiffness of the BRBs, while the objective function is defined as the minimization of the maximum inter-story drift response. Outriggers are installed between zones 2 and 9, with each zone subdivided into five potential outrigger levels located 150 mm above the floor level, resulting in 40 potential outrigger placement scenarios. The total number of outriggers is constrained to range from one to eight, with at most one outrigger allowed per zone. Optimal outrigger–BRB configurations are identified by incrementally distributing BRB stiffness at the perimeter column-outrigger connection regions using a power-based allocation strategy. At each optimization step, the proposed framework evaluates only one candidate configuration per eligible story and outrigger level, resulting in several nonlinear time-history analysis grows linearly with the number of candidate locations. This contrasts with the combinatorial growth in computational demand typically associated with exhaustive or evolutionary optimization methods and leads to a significant reduction in overall computational efforts. Full article
(This article belongs to the Topic Advances on Structural Engineering, 3rd Edition)
Show Figures

Figure 1

25 pages, 4164 KB  
Article
Dynamic Tracking of Respiratory Rate and Quantitative Analysis of Heat Stress Response of Caged Broilers Based on Infrared Thermal Imaging Video Amplification Technology
by Caihua Lu, Jincheng He, Wenwan Zheng, Mengyao Wu, Sisi Hong, Fan Lin, Hongjie Su and Yuyun Gao
Animals 2026, 16(7), 1115; https://doi.org/10.3390/ani16071115 - 5 Apr 2026
Viewed by 388
Abstract
Broiler respiratory rate (RR) in cage systems is a core physiological indicator of health and stress. However, real-time, non-invasive continuous RR monitoring is difficult in a high-density breeding environment, thereby limiting precise poultry health management. This study developed a feasible non-contact broiler RR [...] Read more.
Broiler respiratory rate (RR) in cage systems is a core physiological indicator of health and stress. However, real-time, non-invasive continuous RR monitoring is difficult in a high-density breeding environment, thereby limiting precise poultry health management. This study developed a feasible non-contact broiler RR measurement method to address this gap. The proposed method integrates infrared thermal imaging and phase-based video magnification (PBVM). Using cage-reared white-feathered broilers as subjects, we selected the thoracodorsal and tail regions as regions of interest (ROI), applied PBVM to amplify subtle respiratory-related body surface movements, and extracted RR features via the Fast Fourier Transform (FFT). Two validation experiments were conducted under controlled laboratory conditions. One was an RR dynamic monitoring experiment covering the entire life cycle (4 to 36 days), which analyzed video data of 198 individual quiet broilers. The other was a multi-gradient heat stress experiment with temperature increases of +2 °C, +4 °C, and +5 °C, and analyzed video data of 162 individual quiet broilers. The method achieved favorable measurement accuracy: in the whole-life-stage experiment, the mean absolute error (MAE) was 0.036 Hz, the mean absolute percentage error (MAPE) was 4.461%, and the coefficient of determination (R2) reached 0.961; in the heat stress experiment, the MAE was 0.042 Hz, the MAPE was 3.270%, and the R2 reached 0.928. Linear regression analysis confirmed that healthy broiler RR decreased linearly with increasing age, and verified that RR showed a stepwise response to thermal challenge with a positive correlation between RR increase and temperature increment, accompanied by growth stage specificity. This study provides a feasible non-invasive approach for broiler RR monitoring, offering preliminary reference data for early heat stress detection and sustainable poultry production. Full article
(This article belongs to the Section Animal System and Management)
Show Figures

Figure 1

18 pages, 802 KB  
Article
Adaptive Sequence-Based Heuristic for Two-Dimensional Guillotine Cutting and Packing Problems
by Óscar Oliveira and Dorabela Gamboa
Computers 2026, 15(4), 216; https://doi.org/10.3390/computers15040216 - 1 Apr 2026
Viewed by 362
Abstract
This paper proposes adaptive sequence-based heuristics for solving rectangular two-dimensional guillotine Cutting and Packing Problems (CPPs). These problems are essential in various industrial sectors, aiming to maximise resource utilisation by selecting profitable item subsets or minimise waste by using the fewest possible identical [...] Read more.
This paper proposes adaptive sequence-based heuristics for solving rectangular two-dimensional guillotine Cutting and Packing Problems (CPPs). These problems are essential in various industrial sectors, aiming to maximise resource utilisation by selecting profitable item subsets or minimise waste by using the fewest possible identical large objects. The core methodology is grounded in the principle that if a specific item sequence generates a high-quality solution, incremental adjustments to that sequence can yield even better outcomes. By iteratively refining item ordering through the BubbleSearch method, the heuristics balance search intensification with the diversification of the solution space. Extensive computational experiments were conducted on benchmark datasets, including SET1, ATP, and CLASS, across multiple problem variants such as the Single Stock-Size Cutting Stock Problem (SSSCSP) and the Single Large Object Placement Problem (SLOPP). The results confirm that these heuristics and their extension with path relinking consistently deliver optimal or near-optimal solutions. These heuristics achieve high performance in computational times that are significantly shorter than existing state-of-the-art methods, demonstrating their robustness, flexibility, and suitability for software transferability and real-world industrial adoption. Full article
(This article belongs to the Special Issue Operations Research: Trends and Applications)
Show Figures

Figure 1

33 pages, 10810 KB  
Article
A Global Optimization Framework for Energy Efficiency of Wing–Diesel Hybrid Ships Under Distinct Sail-Statuses Based on Improved Deep Q-Network and D*Lite Algorithm
by Cong Wang, Lianzhong Huang, Xiaowu Li, Ranqi Ma, Jianlin Cao, Rui Zhang and Haoyang Zhao
J. Mar. Sci. Eng. 2026, 14(7), 657; https://doi.org/10.3390/jmse14070657 - 31 Mar 2026
Viewed by 311
Abstract
Wing–diesel hybrid ships are a practical approach to sustainable maritime transport that harnesses wind energy to supplement diesel propulsion and reduce carbon emissions. The core optimization problem addressed in this study is the global energy efficiency optimization of path planning and propulsion system [...] Read more.
Wing–diesel hybrid ships are a practical approach to sustainable maritime transport that harnesses wind energy to supplement diesel propulsion and reduce carbon emissions. The core optimization problem addressed in this study is the global energy efficiency optimization of path planning and propulsion system cooperative control for wing–diesel hybrid ships under two typical sail operation statuses (sail-deployed and sail-stowed) with dynamic changes in complex maritime meteorological and hydrological conditions. To address this issue, this paper proposes a global energy efficiency optimization framework based on an improved Deep Q-Network (DQN) and D*Lite algorithm. Firstly, the D*Lite algorithm is reconstructed with an incremental replanning mechanism and risk-aware cost function to generate real-time safe path constraints. Secondly, the DQN is improved by adopting a dueling network, noisy exploration and prioritized experience replay, and a differentiated reward function dynamically weighted by sail statuses is designed for it. Finally, a fuel consumption prediction model based on the gradient boosting algorithm is integrated into the reward function to realize an accurate energy efficiency assessment. Empirical results confirm that the framework achieves remarkable carbon reduction effects: the optimized routes reduce the total fuel consumption by 5.02%, cut carbon dioxide emissions by 140.66 tons, and improve the energy efficiency operational index by 7.50%. This framework provides an effective technical solution for the dynamic energy efficiency optimization of wing–diesel hybrid ships under different sail operation statuses. Full article
Show Figures

Figure 1

22 pages, 2016 KB  
Article
Annual Acceptable Collapse Probability and CMR of Viscous-Damped Structures Considering Seismic Hazard and Total Uncertainty
by Xi Zhao and Wen Pan
Appl. Sci. 2026, 16(7), 3299; https://doi.org/10.3390/app16073299 - 29 Mar 2026
Viewed by 277
Abstract
Seismic collapse can cause catastrophic losses, and acceptable annual collapse probability with its CMR target is a core metric in performance-based design. Existing ATC-63-based CMR research mainly addresses non-damped systems and often uses a single lumped dispersion, obscuring damper-reliability contributions and hindering alignment [...] Read more.
Seismic collapse can cause catastrophic losses, and acceptable annual collapse probability with its CMR target is a core metric in performance-based design. Existing ATC-63-based CMR research mainly addresses non-damped systems and often uses a single lumped dispersion, obscuring damper-reliability contributions and hindering alignment with CECS 392 limits. This study proposes a unified, code-consistent decision framework for acceptable annual collapse probability and CMR that jointly accounts for seismic hazard and damper-related uncertainty. The total collapse dispersion is decomposed as σtotal,damp2=σbase2 + σdamper2, where σbase represents background dispersion independent of dampers and σdamper captures incremental uncertainty induced by degradation and partial failure. A code-designed viscous-damped RC frame is evaluated under three scenarios (nominal damping, 20% damping-coefficient reduction, and 7% random damper failures). Using the same 14 records and SaT1,5% as the intensity measure, multi-stripe IDA and Probit-based lognormal fragility fitting yield median collapse intensities Sc2.182.24 g, with only ~2–3% reduction under mild degradation/failure. A random-effects variance decomposition identifies σdamper ≈ 0, indicating a limited marginal contribution of damper-related uncertainty within the degradation range considered in this study. Closed-form relationships between annual collapse rate, Sc, and σtotal,damp are then derived under a power-law hazard model and inverted to generate acceptable-risk intervals and CMR target curves/matrices. Results show that higher design intensity and larger σtotal,damp demand substantially higher CMR, highlighting potential risk underestimation when relying solely on nominal CMR. The framework enables explicit identification of damper-related uncertainty from limited collapse data and provides a practical workflow for collapse-prevention design and post-assessment under explicitly defined scenario conditions, with a clear pathway for extension to broader scenario spaces. Full article
(This article belongs to the Special Issue Seismic Design and Fatigue Analysis in Structural Engineering)
Show Figures

Figure 1

20 pages, 1983 KB  
Article
Experimental Investigation of Surfactant-Assisted Low-Salinity Brine Flooding in Oil-Wet Carbonate Reservoirs for Enhanced Oil Recovery
by Amir Hossein Javadi, Ahmed Fatih Belhaj, Shasanowar Hussain Fakir and Hemanta Kumar Sarma
Processes 2026, 14(7), 1054; https://doi.org/10.3390/pr14071054 - 25 Mar 2026
Viewed by 454
Abstract
Low-salinity water flooding (LSWF) has been widely investigated as an enhanced oil recovery (EOR) method for carbonate reservoirs; however, the relative contributions of wettability alteration and oil–brine interfacial tension (IFT) reduction remain poorly understood, particularly under strongly oil-wet conditions. This study systematically investigates [...] Read more.
Low-salinity water flooding (LSWF) has been widely investigated as an enhanced oil recovery (EOR) method for carbonate reservoirs; however, the relative contributions of wettability alteration and oil–brine interfacial tension (IFT) reduction remain poorly understood, particularly under strongly oil-wet conditions. This study systematically investigates the physicochemical mechanisms governing oil recovery during hybrid LSWF–surfactant flooding in oil-wet carbonate systems. Oil-wet Indiana limestone cores were used as representative carbonate reservoir rocks. Seawater and its diluted analogs were employed as base brines and combined with anionic and cationic surfactants at varying concentrations. Zeta potential and pH measurements were conducted to characterize electrostatic interactions at the rock–brine and oil–brine interfaces, while dynamic contact angle and pendant-drop IFT measurements were used to quantify wettability evolution and fluid–fluid interactions. Core flooding experiments were subsequently performed to link interfacial phenomena to macroscopic oil recovery behavior. The results demonstrate that brine dilution induces more negative surface charges at both interfaces, promoting double-layer expansion and electrostatic repulsion, which stabilizes the aqueous film and drives wettability alteration toward a water-wet state. The addition of anionic surfactants further amplifies this effect by increasing surface charge negativity, whereas cationic surfactants preferentially adsorb onto the negatively charged rock surface, limiting wettability alteration despite producing greater IFT reduction. Sulfate ions enhance wettability alteration by facilitating divalent cation interactions with adsorbed oil components; however, excessive sulfate concentrations lead to precipitation-induced flow impairment. Core flooding results reveal that diluted seawater combined with an anionic surfactant yields the highest incremental oil recovery. Our findings conclusively demonstrate that wettability alteration—rather than IFT reduction—is the more dominant recovery mechanism in oil-wet carbonate reservoirs under the investigated conditions. These results provide mechanistic guidance for optimized brine and surfactant design in hybrid LSWF–chemical EOR applications. Full article
(This article belongs to the Special Issue New Technology of Unconventional Reservoir Stimulation and Protection)
Show Figures

Figure 1

Back to TopTop