Sign in to use this feature.

Years

Between: -

Subjects

remove_circle_outline
remove_circle_outline
remove_circle_outline
remove_circle_outline
remove_circle_outline
remove_circle_outline
remove_circle_outline
remove_circle_outline
remove_circle_outline

Journals

remove_circle_outline
remove_circle_outline
remove_circle_outline

Article Types

Countries / Regions

remove_circle_outline
remove_circle_outline
remove_circle_outline

Search Results (229)

Search Parameters:
Keywords = hysteresis strategy

Order results
Result details
Results per page
Select all
Export citation of selected articles as:
21 pages, 14967 KB  
Article
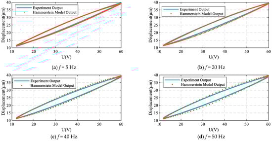
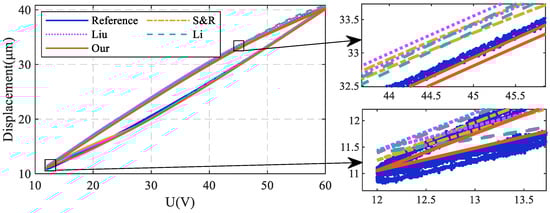
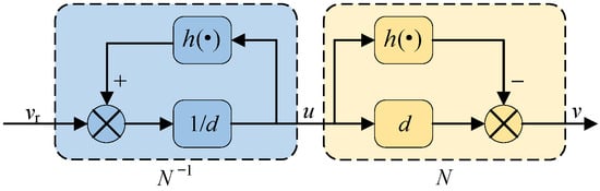
Discrete-Time Linear Quadratic Optimal Tracking Control of Piezoelectric Actuators Based on Hammerstein Model
by Dongmei Liu, Xiguo Zhao, Xuan Li, Changchun Wang, Li Tan, Xuejun Li and Shuyou Yu
Processes 2025, 13(10), 3212; https://doi.org/10.3390/pr13103212 - 9 Oct 2025
Abstract
To address the issue of hysteresis nonlinearity adversely affecting the tracking accuracy of piezoelectric actuators, an improved particle swarm optimization (PSO) algorithm is proposed to improve the accuracy of hysteresis model parameter identification. Additionally, a discrete-time linear quadratic optimal tracking (DLQT) control strategy [...] Read more.
To address the issue of hysteresis nonlinearity adversely affecting the tracking accuracy of piezoelectric actuators, an improved particle swarm optimization (PSO) algorithm is proposed to improve the accuracy of hysteresis model parameter identification. Additionally, a discrete-time linear quadratic optimal tracking (DLQT) control strategy incorporating hysteresis compensation is developed to improve tracking performance. This study employs the Hammerstein model to characterize the nonlinear hysteresis behavior of piezoelectric actuators. Regarding parameter identification, the conventional PSO algorithm tends to suffer from premature convergence and being trapped in local optima. To address this, a cross-variation mechanism is introduced to enhance population diversity and improve global search ability. Furthermore, adaptive and dynamically adjustable inertia weights are designed based on evolutionary factors to balance exploration and exploitation, thereby enhancing convergence and identification accuracy. The inertia weights and learning factors are adaptively adjusted based on the evolutionary factor to balance local and global search capabilities and accelerate convergence. Benchmark function tests and model identification experiments demonstrate the improved algorithm’s superior convergence speed and accuracy. In terms of control strategy, a hysteresis compensator based on an asymmetric hysteresis model is designed to improve system linearity. To address the issues of incomplete hysteresis compensation and low tracking accuracy, a DLQT controller is developed based on hysteresis compensation. Hardware-in-the-loop tracking control experiments using single and composite frequency reference signals show that the relative error is below 3.3% in the no-load case and below 4.5% in the loaded case. Compared with the baseline method, the proposed control strategy achieves lower root-mean-square error and maximum steady-state error, demonstrating its effectiveness. Full article
(This article belongs to the Section Process Control and Monitoring)
Show Figures

Figure 1

11 pages, 2186 KB  
Article
A High-Performance Perovskite Solar Cell Prepared Based on Targeted Passivation Technology
by Meihong Liu, Yafeng Hao, Fupeng Ma, Pu Zhu, Huijia Wu, Ziwei Li, Wenyu Niu, Yujie Huang, Guitian Huangfu, Junye Li, Fengchao Li, Jiangang Yu, Tengteng Li, Longlong Zhang, Cheng Lei and Ting Liang
Crystals 2025, 15(10), 873; https://doi.org/10.3390/cryst15100873 - 8 Oct 2025
Viewed by 45
Abstract
Perovskite materials have garnered significant attention in both fundamental research and practical applications owing to their exceptional light absorption coefficients, low fabrication costs, and inherent advantages for thin-film and flexible device fabrication. Nevertheless, interface defects within perovskite films induce detrimental non-radiative carrier recombination [...] Read more.
Perovskite materials have garnered significant attention in both fundamental research and practical applications owing to their exceptional light absorption coefficients, low fabrication costs, and inherent advantages for thin-film and flexible device fabrication. Nevertheless, interface defects within perovskite films induce detrimental non-radiative carrier recombination and pronounced hysteresis effects, which collectively impose substantial limitations on the photovoltaic performance and long-term operational stability of perovskite solar cells (PSCs). Conventional passivation strategies, despite their demonstrated efficacy in mitigating interface defects, often inadvertently introduce secondary defects in originally defect-free regions, thereby restricting the extent of device performance improvement. To overcome this critical limitation, we have developed a precision defect passivation methodology that employs a targeted two-step immersion–cleaning process, achieving selective defect passivation while concomitantly eliminating residual passivating agents. This approach effectively prevents the formation of new defects in unaffected regions of the perovskite films, and the resultant PSC possesses a power conversion efficiency (PCE) of 21.08%, accompanied by a substantial mitigation of hysteresis behavior. Furthermore, unencapsulated devices demonstrate remarkable stability, retaining over 81% of their initial efficiency after 20 days of atmospheric storage under 50% relative humidity, which underscores the effectiveness of our passivation strategy in simultaneously enhancing both device performance and operational stability. Full article
(This article belongs to the Section Hybrid and Composite Crystalline Materials)
Show Figures

Figure 1

27 pages, 2158 KB  
Article
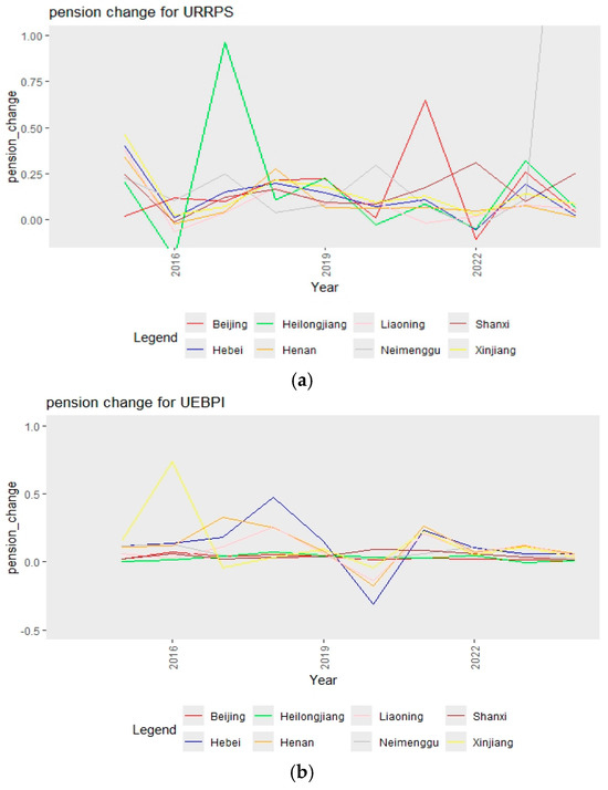
Threshold Effects of PM2.5 on Pension Contributions: A Fuzzy Regression Discontinuity Design and Machine Learning Approach
by Bingxia Wang, Zailan Siri and Mohd Azmi Haron
Sustainability 2025, 17(19), 8620; https://doi.org/10.3390/su17198620 - 25 Sep 2025
Viewed by 188
Abstract
Air pollution risk significantly impacts social and economic systems. Given the critical role of the pension system in socioeconomic stability, it is crucial to explore the impact of air pollution on pension contributions. Utilizing panel data from eight Chinese provinces between 2014 and [...] Read more.
Air pollution risk significantly impacts social and economic systems. Given the critical role of the pension system in socioeconomic stability, it is crucial to explore the impact of air pollution on pension contributions. Utilizing panel data from eight Chinese provinces between 2014 and 2024, this study quantifies the impact of Particulate Matter (PM2.5) on pension contributions and explores its nonlinear and lagged effects through a fuzzy regression discontinuity design (FRDD) coupled with double machine learning (DML) techniques. Through the application of the FRDD, we found that pension contributions are significantly reduced when the PM2.5 concentration exceeds the standard annual threshold of 35 µg/m3, and the effects differ between the Urban Employees Basic Pension Insurance (UEBPI) and the Urban and Rural Residents’ Pension Scheme (URRPS). Further, the DML approach validated these findings and suggested that a complex hysteresis response mechanism exists in relation to air pollution. Additionally, it indicated that when PM2.5 concentrations do not exceed the threshold, this similarly has a negative effect on pension contributions. These findings emphasize the need for policymakers and pension fund managers to integrate environmental considerations into pension sustainability strategies to increase resilience to ongoing environmental risks. Full article
Show Figures

Figure 1

21 pages, 20900 KB  
Article
Balancing Accuracy and Efficiency in Wire-Rope Isolator Modeling: A Simplified Beam-Element Framework
by Claudia Marin-Artieda
Vibration 2025, 8(3), 55; https://doi.org/10.3390/vibration8030055 - 22 Sep 2025
Viewed by 287
Abstract
Wire-rope isolators (WRIs) are widely used in vibration and seismic protection due to their multidirectional flexibility and amplitude-dependent hysteretic damping. However, their complex nonlinear behavior, especially under inclined and combined-mode loading, poses challenges for predictive modeling. This study presents a simplified finite-element modeling [...] Read more.
Wire-rope isolators (WRIs) are widely used in vibration and seismic protection due to their multidirectional flexibility and amplitude-dependent hysteretic damping. However, their complex nonlinear behavior, especially under inclined and combined-mode loading, poses challenges for predictive modeling. This study presents a simplified finite-element modeling framework using constant-property Timoshenko beam elements with tuned Rayleigh damping to simulate WRI behavior across various configurations. Benchmark validation against analytical ring deformation confirmed the model’s ability to capture geometric nonlinearities. The framework was extended to five WRI types, with effective cross-sectional properties calibrated against vendor-supplied quasi-static data. Dynamic simulations under sinusoidal excitation demonstrated strong agreement with experimental force-displacement loops in pure modes and showed moderate accuracy (within 29%) in inclined configurations. System-level validation using a rocking-control platform with four inclined WRIs showed that the model reliably predicts global stiffness and energy dissipation under base accelerations. While the model does not capture localized nonlinearities such as pinched hysteresis due to interstrand friction, it offers a computationally efficient tool for engineering design. The proposed method enables rapid evaluation of WRI performance in complex scenarios, supporting broader integration into performance-based seismic mitigation strategies. Full article
(This article belongs to the Special Issue Nonlinear Vibration of Mechanical Systems)
Show Figures

Figure 1

20 pages, 5619 KB  
Article
Seasonal Dynamics, Environmental Drivers, and Hysteresis of Sap Flow in Forests of China’s Subtropical Transitional Zone
by Houbing Chen, Guoping Tang, Nan Jiang, Zhongkai Ren, Xupeng Fang and Yaoliang Chen
Forests 2025, 16(9), 1480; https://doi.org/10.3390/f16091480 - 18 Sep 2025
Viewed by 307
Abstract
The subtropical transitional zone of China exhibits highly complex climatic conditions and diverse forest ecosystems, making it a critical region for understanding vegetation–water interactions. This study employed the Thermal Dissipation Probe (TDP) method to monitor sap flow in three typical forest types—evergreen broad-leaved [...] Read more.
The subtropical transitional zone of China exhibits highly complex climatic conditions and diverse forest ecosystems, making it a critical region for understanding vegetation–water interactions. This study employed the Thermal Dissipation Probe (TDP) method to monitor sap flow in three typical forest types—evergreen broad-leaved forest, bamboo forest (Dendrocalamus latiflorus), and Chinese fir (Cunninghamia lanceolata)—in a subtropical transitional watershed in southern China. The aims were to quantify seasonal and annual variations in sap flow, to examine the effects of environmental drivers, and to analyze the hysteretic responses between sap flow and the drivers. The main findings were as follows: (1) bamboo forests exhibited significantly higher sap flow density than evergreen broad-leaved and fir forests at both annual and seasonal scales, though the overall transpiration of bamboo forests was lower than the others due to its limited sapwood area; (2) sap flow was positively correlated with potential evapotranspiration, solar radiation (Ra), vapor pressure deficit (VPD), air temperature, and soil temperature, while it was negatively correlated with relative humidity, atmospheric pressure, soil moisture, and precipitation; (3) Ra and VPD were identified as the dominant drivers of sap flow variations, with nonlinear increases that leveled off once thresholds were reached; (4) clear hysteresis patterns were observed, with sap flow peaks consistently lagging behind Ra but occurring earlier than VPD. These results advance our understanding of forest water-use strategies in the subtropical transitional zone and provide a scientific basis for improving water resource management and ecosystem sustainability in this region. Full article
(This article belongs to the Special Issue Forestry Activities and Water Resources)
Show Figures

Figure 1

14 pages, 4125 KB  
Article
Highly Entangled, Mechanically Robust Hydrogel Thin Films for Passive Cooling Materials via Open-Vessel Fabrication
by Lihan Rong, Jiajiang Xie, Shigao Zhou, Tianqi Guan, Xinyi Fan, Wenjie Zhi, Rui Zhou, Feng Li, Yuyan Liu, Tingting Tang, Xiang Chen and Liyuan Zhang
Gels 2025, 11(9), 734; https://doi.org/10.3390/gels11090734 - 12 Sep 2025
Viewed by 457
Abstract
The scalable fabrication of hydrogels with high toughness and low hysteresis is critically hindered by oxygen inhibition, which typically produces brittle, highly crosslinked (HC) networks. This study presents an oxygen-tolerant photoinduced electron transfer–reversible addition–fragmentation chain transfer (PET-RAFT) strategy for synthesizing highly entangled (HE) [...] Read more.
The scalable fabrication of hydrogels with high toughness and low hysteresis is critically hindered by oxygen inhibition, which typically produces brittle, highly crosslinked (HC) networks. This study presents an oxygen-tolerant photoinduced electron transfer–reversible addition–fragmentation chain transfer (PET-RAFT) strategy for synthesizing highly entangled (HE) polyacrylamide hydrogels under open-vessel conditions. By optimizing the water-to-monomer ratio (W = 3.9) and introducing lithium chloride (LiCl) for spatial confinement, we achieved a fundamental shift in mechanical performance. The optimized HE hydrogel exhibited a fracture energy of 1.39 MJ/m3 and a fracture strain of ~900%, starkly contrasting the brittle failure of the HC control (W = 20, C = 10−2) at ~50% strain. This represents an order-of-magnitude improvement in deformability. Furthermore, the incorporation of 15 wt% LiCl amplified the HE hydrogel’s fracture energy to 2.17 MJ/m3 while maintaining its low hysteresis. This method enables the rapid, scalable production of robust, transparent thin films that exhibit dual passive cooling via radiative emission (>89% emissivity) and evaporation, rapid self-healing, and reliable strain sensing at temperatures as low as −20 °C. The synergy of entanglement design and confinement engineering establishes a versatile platform for manufacturing multifunctional hydrogels that vastly outperform their crosslink-dominated predecessors. Full article
(This article belongs to the Special Issue Physical and Mechanical Properties of Polymer Gels (3rd Edition))
Show Figures

Figure 1

19 pages, 7347 KB  
Article
Experimental Study of Fluidization and Defluidization Processes in Sand Bed Induced by a Leaking Pipe
by Huaqing Wang, Zhaolin Zheng, Tingchao Yu, Yiyi Ma and Yiping Zhang
Appl. Sci. 2025, 15(17), 9618; https://doi.org/10.3390/app15179618 - 1 Sep 2025
Viewed by 575
Abstract
Underground pressurized pipe leakage can induce sand fluidization, leading to ground collapses in urban areas. Additionally, the defluidization process is one of the main causes of sinkholes. In this study, a physical model test was conducted to examine sand bed fluidization and defluidization [...] Read more.
Underground pressurized pipe leakage can induce sand fluidization, leading to ground collapses in urban areas. Additionally, the defluidization process is one of the main causes of sinkholes. In this study, a physical model test was conducted to examine sand bed fluidization and defluidization through a slot, which allowed precise control of the water flow rate in increments of 10 mL/s. The sand layer movement during the experiments was recorded, and the pressure field was accurately measured. The fluidization and defluidization processes were classified into five stages: fluidization static bed, internal fluidization, surface fluidization, internal defluidization, and defluidization static bed. Subsequently, the static bed stage included slow fluidization and fast fluidization, with the former driven by seepage and the latter involving densification and upward movement of sand particles above the orifice. Fluidization initiated at 240 mL/s when the sand particles near the orifice were compressed to approximately minimum porosity 0.37. The head losses comprised orifice head loss, seepage head loss, and vortex head loss, each exhibiting different variation patterns with the water flow rate. Hysteresis was observed in the cavity height curve, attributed to the arching effect. The findings of this study contribute to a more comprehensive understanding of effective strategies for preventing ground collapse. Full article
(This article belongs to the Special Issue Sediment Transport and Infrastructure Scour)
Show Figures

Figure 1

21 pages, 2990 KB  
Article
Research on Speed Control of PMSM Based on Super-Twisting Sliding Mode Corrected Differential Linear Active Disturbance Rejection
by Fei Tan, Yuxin Ma and Chaohui Zhao
Energies 2025, 18(17), 4555; https://doi.org/10.3390/en18174555 - 28 Aug 2025
Viewed by 543
Abstract
To improve the dynamic response and disturbance rejection performance of a permanent magnet synchronous motor (PMSM) speed control system, this paper designs a speed control strategy of PMSM based on super-twisting sliding mode corrected differential linear active disturbance rejection (STSM-CDLADRC). First, the speed [...] Read more.
To improve the dynamic response and disturbance rejection performance of a permanent magnet synchronous motor (PMSM) speed control system, this paper designs a speed control strategy of PMSM based on super-twisting sliding mode corrected differential linear active disturbance rejection (STSM-CDLADRC). First, the speed loop model of a permanent magnet synchronous motor based on traditional LADRC is established. Second, the observer of LADRC is reconstructed according to the principle of error control, and the differential linear extended state observer (DLESO) is obtained. Then, to solve the observation hysteresis problem existing in the DLESO, the phase lead correction unit is introduced, and a corrected DLESO is designed (CDLESO); on this basis, the feedback rate in LADRC is also improved by using the super-twisting sliding mode control algorithm to design the super-twisting sliding mode linear state error feedback rate (STSM-LSEF), which improves the dynamic response performance of the system. Finally, the effectiveness and feasibility of the designed control strategy are verified by MATLAB/Simulink simulation and an experimental platform, and the results show that in the speed control system of the PMSM, the strategy effectively improves the dynamic response performance and anti-disturbance performance of the system. Full article
Show Figures

Figure 1

12 pages, 3386 KB  
Article
Poly(Vinyl Alcohol)–Carbon Nanotube Self−Adhesive Hydrogels for Wearable Strain Sensors
by Guofan Zeng, Nuozhou Yi, Qiaohang Guo, Fei Han and Mingcen Weng
Polymers 2025, 17(16), 2249; https://doi.org/10.3390/polym17162249 - 20 Aug 2025
Viewed by 852
Abstract
Wearable conductive hydrogel sensors, which are highly convenient, have attracted attention for their great potential in human motion monitoring and smart healthcare. However, the self−adhesive properties, sensing performance, and stability of traditional hydrogels are not ideal, which seriously hinders their use in monitoring [...] Read more.
Wearable conductive hydrogel sensors, which are highly convenient, have attracted attention for their great potential in human motion monitoring and smart healthcare. However, the self−adhesive properties, sensing performance, and stability of traditional hydrogels are not ideal, which seriously hinders their use in monitoring and diagnosing joints throughout the human body. Here, CaCl2 is used to crosslink PVA to improve its self−adhesive properties, and it is then combined with a CNT conductive network. Next, a cyclic freeze–thaw strategy is utilized to fabricate a wearable PVA−Ca−CNT hydrogel with excellent self-adhesive properties and stability. PVA−Ca−CNT hydrogels can adhere to various substrates, with a maximum self-adhesion strength of 398 kPa and a unit adhesion energy of as high as 305 μJ cm−2. Furthermore, the CNT three−dimensional network enhances the tensile strength to 110 kPa, with almost no hysteresis. Based on resistance changes, PVA−Ca−CNT hydrogel exhibits a sensitivity of up to 11.11 as a strain sensor as well as a response to strain stimuli within 180 ms. When PVA−Ca−CNT hydrogel is adhered to the surface of human skin, it operates as a sensor for monitoring human movement. Not only can it accurately monitor the movement positions of major joints in the human body, it can also accurately identify tiny movements of the fingers and be used as a finger Morse code output device, which demonstrates the enormous potential of human motion monitoring systems based on self−adhesive hydrogel sensors in practical applications. Full article
(This article belongs to the Special Issue Polymeric Composite for Biosensor Applications)
Show Figures

Figure 1

22 pages, 1419 KB  
Article
Bioconversion of Olive Pomace: A Solid-State Fermentation Strategy with Aspergillus sp. for Detoxification and Enzyme Production
by Laura A. Rodríguez, María Carla Groff, Sofía Alejandra Garay, María Eugenia Díaz, María Fabiana Sardella and Gustavo Scaglia
Fermentation 2025, 11(8), 456; https://doi.org/10.3390/fermentation11080456 - 6 Aug 2025
Viewed by 899
Abstract
This study aimed to evaluate solid-state fermentation (SSF) as a sustainable approach for the simultaneous detoxification of olive pomace (OP) and the production of industrially relevant enzymes. OP, a semisolid byproduct of olive oil extraction, is rich in lignocellulose and phenolic compounds, which [...] Read more.
This study aimed to evaluate solid-state fermentation (SSF) as a sustainable approach for the simultaneous detoxification of olive pomace (OP) and the production of industrially relevant enzymes. OP, a semisolid byproduct of olive oil extraction, is rich in lignocellulose and phenolic compounds, which limit its direct reuse due to phytotoxicity. A native strain of Aspergillus sp., isolated from OP, was employed as the biological agent, while grape pomace (GP) was added as a co-substrate to enhance substrate structure. Fermentations were conducted at two scales, Petri dishes (20 g) and a fixed-bed bioreactor (FBR, 2 kg), under controlled conditions (25 °C, 7 days). Key parameters monitored included dry and wet weight loss, pH, color, phenolic content, and enzymatic activity. Significant reductions in color and polyphenol content were achieved, reaching 68% in Petri dishes and 88.1% in the FBR, respectively. In the FBR, simultaneous monitoring of dry and wet weight loss enabled the estimation of fungal biotransformation, revealing a hysteresis phenomenon not previously reported in SSF studies. Enzymes such as xylanase, endopolygalacturonase, cellulase, and tannase exhibited peak activities between 150 and 180 h, with maximum values of 424.6 U·g−1, 153.6 U·g−1, 67.43 U·g−1, and 6.72 U·g−1, respectively. The experimental data for weight loss, enzyme production, and phenolic reduction were accurately described by logistic and first-order models. These findings demonstrate the high metabolic efficiency of the fungal isolate under SSF conditions and support the feasibility of scaling up this process. The proposed strategy offers a low-cost and sustainable solution for OP valorization, aligning with circular economy principles by transforming agro-industrial residues into valuable bioproducts. Full article
Show Figures

Figure 1

24 pages, 2410 KB  
Article
Predictive Modeling and Simulation of CO2 Trapping Mechanisms: Insights into Efficiency and Long-Term Sequestration Strategies
by Oluchi Ejehu, Rouzbeh Moghanloo and Samuel Nashed
Energies 2025, 18(15), 4071; https://doi.org/10.3390/en18154071 - 31 Jul 2025
Cited by 1 | Viewed by 826
Abstract
This study presents a comprehensive analysis of CO2 trapping mechanisms in subsurface reservoirs by integrating numerical reservoir simulations, geochemical modeling, and machine learning techniques to enhance the design and evaluation of carbon capture and storage (CCS) strategies. A two-dimensional reservoir model was [...] Read more.
This study presents a comprehensive analysis of CO2 trapping mechanisms in subsurface reservoirs by integrating numerical reservoir simulations, geochemical modeling, and machine learning techniques to enhance the design and evaluation of carbon capture and storage (CCS) strategies. A two-dimensional reservoir model was developed to simulate CO2 injection dynamics under realistic geomechanical and geochemical conditions, incorporating four primary trapping mechanisms: residual, solubility, mineralization, and structural trapping. To improve computational efficiency without compromising accuracy, advanced machine learning models, including random forest, gradient boosting, and decision trees, were deployed as smart proxy models for rapid prediction of trapping behavior across multiple scenarios. Simulation outcomes highlight the critical role of hysteresis, aquifer dynamics, and producer well placement in enhancing CO2 trapping efficiency and maintaining long-term storage stability. To support the credibility of the model, a qualitative validation framework was implemented by comparing simulation results with benchmarked field studies and peer-reviewed numerical models. These comparisons confirm that the modeled mechanisms and trends align with established CCS behavior in real-world systems. Overall, the study demonstrates the value of combining traditional reservoir engineering with data-driven approaches to optimize CCS performance, offering scalable, reliable, and secure solutions for long-term carbon sequestration. Full article
Show Figures

Figure 1

26 pages, 9128 KB  
Article
Torque Ripple Reduction in BLDC Motors Using Phase Current Integration and Enhanced Zero Vector DTC
by Xingwei Sa, Han Wu, Guoqing Zhao and Zhenjun Zhao
Electronics 2025, 14(15), 2999; https://doi.org/10.3390/electronics14152999 - 28 Jul 2025
Viewed by 803
Abstract
To improve commutation accuracy and effectively suppress torque ripple in brushless DC motors (BLDCMs), this paper presents a novel commutation correction strategy integrated into an enhanced direct torque control (DTC) framework. The proposed method estimates the commutation angle error in real time by [...] Read more.
To improve commutation accuracy and effectively suppress torque ripple in brushless DC motors (BLDCMs), this paper presents a novel commutation correction strategy integrated into an enhanced direct torque control (DTC) framework. The proposed method estimates the commutation angle error in real time by analyzing the integral difference in phase currents across adjacent 30° conduction intervals, enabling dynamic and accurate commutation correction. This correction mechanism is seamlessly embedded into a modified DTC algorithm that employs a three-level torque hysteresis comparator and introduces a novel zero-voltage vector selection strategy to minimize torque ripple. Compared with conventional DTC approaches employing dual-loop control and standard zero vectors, the proposed method achieves up to a 58% reduction in torque ripple along with improved commutation precision, as demonstrated through both simulation and experimental validation. These results confirm the method’s effectiveness and its potential for application in high-performance BLDCMs drive systems. Full article
(This article belongs to the Section Power Electronics)
Show Figures

Figure 1

28 pages, 14491 KB  
Article
Catalytically Active Oxidized PtOx Species on SnO2 Supports Synthesized via Anion Exchange Reaction for 4-Nitrophenol Reduction
by Izabela Ðurasović, Robert Peter, Goran Dražić, Fabio Faraguna, Rafael Anelić, Marijan Marciuš, Tanja Jurkin, Vlasta Mohaček Grošev, Maria Gracheva, Zoltán Klencsár, Mile Ivanda, Goran Štefanić and Marijan Gotić
Nanomaterials 2025, 15(15), 1159; https://doi.org/10.3390/nano15151159 - 28 Jul 2025
Viewed by 604
Abstract
An anion exchange-assisted technique was used for the synthesis of platinum-decorated SnO2 supports, providing nanocatalysts with enhanced activity for the reduction of 4-nitrophenol (4-NP) to 4-aminophenol (4-AP). In this study, a series of SnO2 supports, namely SnA (synthesized almost at room [...] Read more.
An anion exchange-assisted technique was used for the synthesis of platinum-decorated SnO2 supports, providing nanocatalysts with enhanced activity for the reduction of 4-nitrophenol (4-NP) to 4-aminophenol (4-AP). In this study, a series of SnO2 supports, namely SnA (synthesized almost at room temperature), SnB (hydrothermally treated at 180 °C), and SnC (annealed at 600 °C), are systematically investigated, all loaded with 1 mol% Pt from H2PtCl6 under identical mild conditions. The chloride ions from the SnCl4 precursors were efficiently removed via a strong-base anion exchange reaction, resulting in highly dispersed, crystalline ~5 nm cassiterite SnO2 particles. All Pt/SnO2 composites displayed mesoporous structures with type IVa isotherms and H2-type hysteresis, with SP1a (Pt on SnA) exhibiting the largest surface area (122.6 m2/g) and the smallest pores (~3.5 nm). STEM-HAADF imaging revealed well-dispersed PtOx domains (~0.85 nm), while XPS confirmed the dominant Pt4+ and Pt2+ species, with ~25% Pt0 likely resulting from photoreduction and/or interactions with Sn–OH surface groups. Raman spectroscopy revealed three new bands (260–360 cm−1) that were clearly visible in the sample with 10 mol% Pt and were due to the vibrational modes of the PtOx species and Pt-Cl bonds introduced due the addition and hydrolysis of H2PtCl6 precursor. TGA/DSC analysis revealed the highest mass loss for SP1a (~7.3%), confirming the strong hydration of the PtOx domains. Despite the predominance of oxidized PtOx species, SP1a exhibited the highest catalytic activity (kapp = 1.27 × 10−2 s−1) and retained 84.5% activity for the reduction of 4-NP to 4-AP after 10 cycles. This chloride-free low-temperature synthesis route offers a promising and generalizable strategy for the preparation of noble metal-based nanocatalysts on oxide supports with high catalytic activity and reusability. Full article
Show Figures

Figure 1

15 pages, 1749 KB  
Article
Optimization of Soft Actuator Control in a Continuum Robot
by Oleksandr Sokolov, Serhii Sokolov, Angelina Iakovets and Miroslav Malaga
Actuators 2025, 14(7), 352; https://doi.org/10.3390/act14070352 - 17 Jul 2025
Viewed by 512
Abstract
This study presents a quasi-static optimization framework for the pressure-based control of a multi-segment soft continuum manipulator. The proposed method circumvents traditional curvature and length-based modeling by directly identifying the quasi-static input–output relationship between actuator pressures and the 6-DoF end-effector pose. Experimental data [...] Read more.
This study presents a quasi-static optimization framework for the pressure-based control of a multi-segment soft continuum manipulator. The proposed method circumvents traditional curvature and length-based modeling by directly identifying the quasi-static input–output relationship between actuator pressures and the 6-DoF end-effector pose. Experimental data were collected using a high-frequency electromagnetic tracking system under monotonic pressurization to minimize hysteresis effects. Transfer functions were identified for each coordinate–actuator pair using the System Identification Toolbox in MATLAB, and optimal actuator pressures were computed analytically by solving a constrained quadratic program via a manual active-set method. The resulting control strategy achieved sub-millimeter positioning error while minimizing the number of actuators engaged. The approach is computationally efficient, sensor-minimal, and fully implementable in open-loop settings. Despite certain limitations due to sensor nonlinearity and actuator hysteresis, the method provides a robust foundation for feedforward control and the real-time deployment of soft robots in quasi-static tasks. Full article
(This article belongs to the Special Issue Advanced Technologies in Soft Actuators)
Show Figures

Figure 1

14 pages, 2232 KB  
Article
Dual-Closed-Loop Control System for Polysilicon Reduction Furnace Power Supply Based on Hysteresis PID and Predictive Control
by Shihao Li, Tiejun Zeng, Shan Jian, Guiping Cui, Ziwen Che, Genghong Lin and Zeyu Yan
Energies 2025, 18(14), 3707; https://doi.org/10.3390/en18143707 - 14 Jul 2025
Viewed by 307
Abstract
In the power system of a polysilicon reduction furnace, especially during the silicon rod growth process, the issue of insufficient temperature control accuracy arises due to the system’s nonlinear and time-varying characteristics. To address this challenge, a dual-loop control system is proposed, combining [...] Read more.
In the power system of a polysilicon reduction furnace, especially during the silicon rod growth process, the issue of insufficient temperature control accuracy arises due to the system’s nonlinear and time-varying characteristics. To address this challenge, a dual-loop control system is proposed, combining model-free adaptive control (MFAC) with an improved PID controller. The inner loop utilizes a hysteresis PID controller for dynamic current regulation, ensuring fast and accurate current adjustments. Meanwhile, the outer loop employs a hybrid MFAC-based improved PID algorithm to optimize the temperature tracking performance, achieving precise temperature control even in the presence of system uncertainties. The MFAC component is adaptive and does not require a system model, while the improved PID enhances stability and reduces the response time. Simulation results demonstrate that this hybrid control strategy significantly improves the system’s performance, achieving faster response times, smaller steady-state errors, and notable improvements in the uniformity of polysilicon deposition, which is critical for high-quality silicon rod growth. The proposed system enhances both efficiency and accuracy in industrial applications. Furthermore, applying the dual-loop model to actual industrial products further validated its effectiveness. The experimental results show that the dual-loop model closely approximates the polysilicon production model, confirming that dual-loop control can allow the system to rapidly and accurately reach the set values. Full article
Show Figures

Figure 1

Back to TopTop