Sign in to use this feature.

Years

Between: -

Subjects

remove_circle_outline
remove_circle_outline
remove_circle_outline
remove_circle_outline
remove_circle_outline
remove_circle_outline
remove_circle_outline
remove_circle_outline
remove_circle_outline

Journals

Article Types

Countries / Regions

Search Results (17)

Search Parameters:
Keywords = hyperparametric optimization

Order results
Result details
Results per page
Select all
Export citation of selected articles as:
18 pages, 1683 KB  
Article
Metaheuristic Hyperparameter Optimization Using Optimal Latin Hypercube Sampling and Response Surface Methodology
by Daniel A. Pamplona, Mateus Habermann, Sergio Rebouças and Claudio Jorge P. Alves
Algorithms 2025, 18(12), 732; https://doi.org/10.3390/a18120732 - 21 Nov 2025
Viewed by 650
Abstract
Hyperparameters allow metaheuristics to be tuned to a wide range of problems. However, even though formalized tuning of metaheuristic parameters can affect the quality of the solution, it is rarely performed. The empirical selection method and the trial-and-error method are the primary conventional [...] Read more.
Hyperparameters allow metaheuristics to be tuned to a wide range of problems. However, even though formalized tuning of metaheuristic parameters can affect the quality of the solution, it is rarely performed. The empirical selection method and the trial-and-error method are the primary conventional parameter selection techniques for optimization heuristics. Both require a priori knowledge of the problem and involve multiple experiments requiring significant time and effort, yet neither guarantees the attainment of optimum parameter values. Of the studies that perform formal parameter tuning, experimental design is the most commonly used method. Although experimental design is feasible for systematic experimentation, it is also time-consuming and requires extensive effort for large optimization problems. The computational effort in this study refers to the number of experimental runs required for hyperparameter tuning, not the computational time for each run. This study proposes a simpler, faster method based on an optimized Latin hypercube sampling (OLHS) technique augmented with response surface methodology for estimating the best hyperparameter settings for a hybrid simulated annealing algorithm. The method is applied to solve the aircraft landing problem with time windows (ALPTW), a combinatorial optimization problem that seeks to determine the optimal landing sequence within a predetermined time window while maintaining minimum separation criteria. The results showed that the proposed method improves sampling efficiency, providing better coverage and higher accuracy with 70% fewer sample points and only 30% of the total runs compared to full factorial design. Full article
Show Figures

Graphical abstract

19 pages, 5027 KB  
Article
Brain Tumor Detection and Classification Using an Optimized Convolutional Neural Network
by Muhammad Aamir, Abdallah Namoun, Sehrish Munir, Nasser Aljohani, Meshari Huwaytim Alanazi, Yaser Alsahafi and Faris Alotibi
Diagnostics 2024, 14(16), 1714; https://doi.org/10.3390/diagnostics14161714 - 7 Aug 2024
Cited by 31 | Viewed by 11719
Abstract
Brain tumors are a leading cause of death globally, with numerous types varying in malignancy, and only 12% of adults diagnosed with brain cancer survive beyond five years. This research introduces a hyperparametric convolutional neural network (CNN) model to identify brain tumors, with [...] Read more.
Brain tumors are a leading cause of death globally, with numerous types varying in malignancy, and only 12% of adults diagnosed with brain cancer survive beyond five years. This research introduces a hyperparametric convolutional neural network (CNN) model to identify brain tumors, with significant practical implications. By fine-tuning the hyperparameters of the CNN model, we optimize feature extraction and systematically reduce model complexity, thereby enhancing the accuracy of brain tumor diagnosis. The critical hyperparameters include batch size, layer counts, learning rate, activation functions, pooling strategies, padding, and filter size. The hyperparameter-tuned CNN model was trained on three different brain MRI datasets available at Kaggle, producing outstanding performance scores, with an average value of 97% for accuracy, precision, recall, and F1-score. Our optimized model is effective, as demonstrated by our methodical comparisons with state-of-the-art approaches. Our hyperparameter modifications enhanced the model performance and strengthened its capacity for generalization, giving medical practitioners a more accurate and effective tool for making crucial judgments regarding brain tumor diagnosis. Our model is a significant step in the right direction toward trustworthy and accurate medical diagnosis, with practical implications for improving patient outcomes. Full article
(This article belongs to the Topic AI in Medical Imaging and Image Processing)
Show Figures

Figure 1

24 pages, 17492 KB  
Article
A Novel Hybrid Deep Learning Method for Predicting the Flow Fields of Biomimetic Flapping Wings
by Fujia Hu, Weebeng Tay, Yilun Zhou and Boocheong Khoo
Biomimetics 2024, 9(2), 72; https://doi.org/10.3390/biomimetics9020072 - 25 Jan 2024
Cited by 3 | Viewed by 2581
Abstract
The physics governing the fluid dynamics of bio-inspired flapping wings is effectively characterized by partial differential equations (PDEs). Nevertheless, the process of discretizing these equations at spatiotemporal scales is notably time consuming and resource intensive. Traditional PDE-based computations are constrained in their applicability, [...] Read more.
The physics governing the fluid dynamics of bio-inspired flapping wings is effectively characterized by partial differential equations (PDEs). Nevertheless, the process of discretizing these equations at spatiotemporal scales is notably time consuming and resource intensive. Traditional PDE-based computations are constrained in their applicability, which is mainly due to the presence of numerous shape parameters and intricate flow patterns associated with bionic flapping wings. Consequently, there is a significant demand for a rapid and accurate solution to nonlinear PDEs, to facilitate the analysis of bionic flapping structures. Deep learning, especially physics-informed deep learning (PINN), offers an alternative due to its great nonlinear curve-fitting capability. In the present work, a hybrid coarse-data-driven physics-informed neural network model (HCDD-PINN) is proposed to improve the accuracy and reliability of predicting the time evolution of nonlinear PDEs solutions, by using an order-of-magnitude-coarser grid than traditional computational fluid dynamics (CFDs) require as internal training data. The architecture is devised to enforce the initial and boundary conditions, and incorporate the governing equations and the low-resolution spatiotemporal internal data into the loss function of the neural network, to drive the training. Compared to the original PINN with no internal data, the training and predicting dynamics of HCDD-PINN with different resolutions of coarse internal data are analyzed on the problem relevant to the two-dimensional unsteady flapping wing, which involves unsteady flow features and moving boundaries. Additionally, a hyper-parametrical study is conducted to obtain an optimal model for the problem under consideration, which is then utilized for investigating the effects of the snapshot and fraction of the coarse internal data on the HCDD-PINN’s performances. The results show that the proposed framework has a sufficient stability and accuracy for solving the considered biomimetic flapping-wing problem, and its great potential means that it can be considered as an alternative to accelerate or replace traditional CFD solvers in the future. The interested variables of the flow field at any instant can be rapidly obtained by the trained HCDD-PINN model, which is superior to the traditional CFD method that usually needs to be re-run. For the three-dimensional and optimization problems of flapping wings, the advantages of the proposed method are supposedly even more apparent. Full article
(This article belongs to the Special Issue New Insights into Biological and Bioinspired Fluid Dynamics)
Show Figures

Figure 1

20 pages, 2297 KB  
Article
HOMLC-Hyperparameter Optimization for Multi-Label Classification of Intrusion Detection Data for Internet of Things Network
by Ankita Sharma, Shalli Rani, Dipak Kumar Sah, Zahid Khan and Wadii Boulila
Sensors 2023, 23(19), 8333; https://doi.org/10.3390/s23198333 - 9 Oct 2023
Cited by 14 | Viewed by 2719
Abstract
The comparison of low-rank-based learning models for multi-label categorization of attacks for intrusion detection datasets is presented in this work. In particular, we investigate the performance of three low-rank-based machine learning (LR-SVM) and deep learning models (LR-CNN), (LR-CNN-MLP) for classifying intrusion detection data: [...] Read more.
The comparison of low-rank-based learning models for multi-label categorization of attacks for intrusion detection datasets is presented in this work. In particular, we investigate the performance of three low-rank-based machine learning (LR-SVM) and deep learning models (LR-CNN), (LR-CNN-MLP) for classifying intrusion detection data: Low Rank Representation (LRR) and Non-negative Low Rank Representation (NLR). We also look into how these models’ performance is affected by hyperparameter tweaking by using Guassian Bayes Optimization. The tests has been run on merging two intrusion detection datasets that are available to the public such as BoT-IoT and UNSW- NB15 and assess the models’ performance in terms of key evaluation criteria, including precision, recall, F1 score, and accuracy. Nevertheless, all three models perform noticeably better after hyperparameter modification. The selection of low-rank-based learning models and the significance of the hyperparameter tuning log for multi-label classification of intrusion detection data have been discussed in this work. A hybrid security dataset is used with low rank factorization in addition to SVM, CNN and CNN-MLP. The desired multilabel results have been obtained by considering binary and multi-class attack classification as well. Low rank CNN-MLP achieved suitable results in multilabel classification of attacks. Also, a Gaussian-based Bayesian optimization algorithm is used with CNN-MLP for hyperparametric tuning and the desired results have been achieved using c and γ for SVM and α and β for CNN and CNN-MLP on a hybrid dataset. The results show the label UDP is shared among analysis, DoS and shellcode. The accuracy of classifying UDP among three classes is 98.54%. Full article
(This article belongs to the Special Issue Recent Trends and Advances in IoT Security)
Show Figures

Figure 1

12 pages, 13854 KB  
Communication
Adaptive Optical Closed-Loop Control on the Basis of Hyperparametric Optimization of Convolutional Neural Networks
by Bo Chen, Yilin Zhou, Jingjing Jia, Yirui Zhang and Zhaoyi Li
Appl. Sci. 2023, 13(15), 8589; https://doi.org/10.3390/app13158589 - 26 Jul 2023
Cited by 2 | Viewed by 2049
Abstract
In adaptive optics systems, the precision wavefront sensor determines the closed-loop correction effect. The accuracy of the wavefront sensor is severely reduced when light energy is weak, while the real-time performance of wavefront sensorless adaptive optics systems based on iterative algorithms is poor. [...] Read more.
In adaptive optics systems, the precision wavefront sensor determines the closed-loop correction effect. The accuracy of the wavefront sensor is severely reduced when light energy is weak, while the real-time performance of wavefront sensorless adaptive optics systems based on iterative algorithms is poor. The wavefront correction algorithm based on deep learning can directly obtain the aberration or correction voltage from the input image light intensity data with better real-time performance. Nevertheless, manually designing deep-learning models requires a multitude of repeated experiments to adjust many hyperparameters and increase the accuracy of the system. A wavefront sensorless system based on convolutional neural networks with automatic hyperparameter optimization was proposed to address the aforementioned issues, and networks known for their superior performance, such as ResNet and DenseNet, were constructed as constructed groups. The accuracy of the model was improved by over 26%, and there were fewer parameters in the proposed method, which was more accurate and efficient according to numerical simulations and experimental validation. Full article
(This article belongs to the Section Optics and Lasers)
Show Figures

Figure 1

19 pages, 6033 KB  
Article
Hyperparameter Bayesian Optimization of Gaussian Process Regression Applied in Speed-Sensorless Predictive Torque Control of an Autonomous Wind Energy Conversion System
by Yanis Hamoudi, Hocine Amimeur, Djamal Aouzellag, Maher G. M. Abdolrasol and Taha Selim Ustun
Energies 2023, 16(12), 4738; https://doi.org/10.3390/en16124738 - 15 Jun 2023
Cited by 14 | Viewed by 3142
Abstract
This paper introduces a novel approach to speed-sensorless predictive torque control (PTC) in an autonomous wind energy conversion system, specifically utilizing an asymmetric double star induction generator (ADSIG). To achieve accurate estimation of non-linear quantities, the Gaussian Process Regression algorithm (GPR) is employed [...] Read more.
This paper introduces a novel approach to speed-sensorless predictive torque control (PTC) in an autonomous wind energy conversion system, specifically utilizing an asymmetric double star induction generator (ADSIG). To achieve accurate estimation of non-linear quantities, the Gaussian Process Regression algorithm (GPR) is employed as a powerful machine learning tool for designing speed and flux estimators. To enhance the capabilities of the GPR, two improvements were implemented, (a) hyperparametric optimization through the Bayesian optimization (BO) algorithm and (b) curation of the input vector using the gray box concept, leveraging our existing knowledge of the ADSIG. Simulation results have demonstrated that the proposed GPR-PTC would remain robust and unaffected by the absence of a speed sensor, maintaining performance even under varying magnetizing inductance. This enables a reliable and cost-effective control solution. Full article
(This article belongs to the Special Issue Wind Energy Generation and Wind Turbine Models)
Show Figures

Figure 1

19 pages, 4887 KB  
Article
Spatial Prediction and Mapping of Soil Water Content by TPE-GBDT Model in Chinese Coastal Delta Farmland with Sentinel-2 Remote Sensing Data
by Dexi Zhan, Yongqi Mu, Wenxu Duan, Mingzhu Ye, Yingqiang Song, Zhenqi Song, Kaizhong Yao, Dengkuo Sun and Ziqi Ding
Agriculture 2023, 13(5), 1088; https://doi.org/10.3390/agriculture13051088 - 19 May 2023
Cited by 12 | Viewed by 3046
Abstract
Soil water content is an important indicator used to maintain the ecological balance of farmland. The efficient spatial prediction of soil water content is crucial for ensuring crop growth and food production. To this end, 104 farmland soil samples were collected in the [...] Read more.
Soil water content is an important indicator used to maintain the ecological balance of farmland. The efficient spatial prediction of soil water content is crucial for ensuring crop growth and food production. To this end, 104 farmland soil samples were collected in the Yellow River Delta (YRD) in China, and the soil water content was determined using the drying method. A gradient boosting decision tree (GBDT) model based on a tree-structured Parzen estimator (TPE) hyperparametric optimization was developed, and then the soil water content was predicted and mapped based on the soil texture and vegetation index from Sentinel-2 remote sensing images. The results of statistical analysis showed that the soil water content had a high coefficient of variation (55.30%), a non-normal distribution, and complex spatial variability. Compared with other models, the TPE-GBDT model had the highest prediction accuracy (RMSE = 6.02% and R2 = 0.71), and its mapping results showed that the areas with high soil water content were distributed on both sides of the river and near the estuary. Furthermore, the results of Shapley additive explanation (SHAP) analysis showed that the soil texture (PC2 and PC5), modified normalized difference vegetation index (MNDVI), and Sentinel-2 red edge position (S2REP) index provided important contributions to the spatial prediction of soil water content. We found that the hydraulic physical properties of soil texture and the vegetation characteristics (such as vegetation coverage, root action, and transpiration) are the key factors affecting the spatial migration and heterogeneity of the soil water content in the study area. The above results show that the TPE algorithm can quickly capture the hyperparameters that are most suitable for the GBDT model, so that the GBDT model can ensure prediction accuracy, reduce the loss function with less training data, and accurately learn of the nonlinear relationship between soil water content and environmental factors. This paper proposes a machine learning method for hyperparameter optimization that shows considerable potential to predict the spatial heterogeneity of soil water content, which can effectively support regional farmland soil and water conservation and high-quality agricultural development. Full article
(This article belongs to the Special Issue Remote Sensing Technologies in Agricultural Crop and Soil Monitoring)
Show Figures

Graphical abstract

18 pages, 8887 KB  
Article
Classification of Urban Green Space Types Using Machine Learning Optimized by Marine Predators Algorithm
by Jiayu Yan, Huiping Liu, Shangyuan Yu, Xiaowen Zong and Yao Shan
Sustainability 2023, 15(7), 5634; https://doi.org/10.3390/su15075634 - 23 Mar 2023
Cited by 11 | Viewed by 4029
Abstract
The accuracy of machine learning models is affected by hyperparameters when classifying different types of urban green spaces. To investigate the impact of hyperparametric algorithms on model optimization, this study used the Marine Predators Algorithm (MPA) to optimize three models: K-Nearest Neighbor (KNN), [...] Read more.
The accuracy of machine learning models is affected by hyperparameters when classifying different types of urban green spaces. To investigate the impact of hyperparametric algorithms on model optimization, this study used the Marine Predators Algorithm (MPA) to optimize three models: K-Nearest Neighbor (KNN), Support Vector Machines (SVM), and Random Forest (RF). The feasibility of the algorithm was illustrated by extracting and analyzing park green space and attached green spaces within the fifth-ring road of Beijing. A dataset of urban green space type labels was constructed using SPOT6. Three optimized models, MPA-KNN, MPA-SVM and MPA-RF, were constructed. The optimum hyperparameter combination was chosen based on the accuracy of the validation set, and the three optimized models were compared in terms of the Area Under Curve (AUC) value, accuracy on the test set, and other indicators. The results showed that applying MPA improves the accuracy of the validation set of the KNN, SVM, and RF models by 4.2%, 2.2%, and 1.2%, respectively. The MPA-RF model had an AUC value of 0.983 and a test set accuracy of 89.93%, indicating that it was the most accurate of the three models. Full article
(This article belongs to the Special Issue Spatiotemporal Data and Urban Sustainability)
Show Figures

Figure 1

16 pages, 7037 KB  
Article
Prognosis of Lithium-Ion Batteries’ Remaining Useful Life Based on a Sequence-to-Sequence Model with Variational Mode Decomposition
by Chunxiang Zhu, Zhiwei He, Zhengyi Bao, Changcheng Sun and Mingyu Gao
Energies 2023, 16(2), 803; https://doi.org/10.3390/en16020803 - 10 Jan 2023
Cited by 18 | Viewed by 3047
Abstract
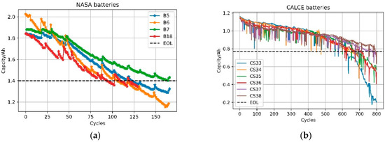
The time-varying, dynamic, nonlinear, and other characteristics of lithium-ion batteries, as well as the capacity regeneration phenomenon, leads to the low accuracy of the traditional deep learning models in predicting the remaining useful life of lithium-ion batteries. This paper established a sequence-to-sequence model [...] Read more.
The time-varying, dynamic, nonlinear, and other characteristics of lithium-ion batteries, as well as the capacity regeneration phenomenon, leads to the low accuracy of the traditional deep learning models in predicting the remaining useful life of lithium-ion batteries. This paper established a sequence-to-sequence model for remaining useful life prediction by combining the variational modal decomposition with bi-directional long short-term memory and Bayesian hyperparametric optimization. First, variational modal decomposition is used for noise reduction processing to maximize the retention of the original information of capacity degradation. Second, the capacity declining trend after noise reduction is modeled and predicted by the combination of bi-directional long-short term memory and temporal attention mechanism. In addition, a Bayesian optimizer is used to adaptively adjust the hyperparameters while training the model. Finally, the model was validated on NASA and CALCE data sets, and the results show that the model can accurately predict the future trend with only the initial 12% capacity data. Full article
Show Figures

Figure 1

18 pages, 8356 KB  
Article
Estimate Forest Aboveground Biomass of Mountain by ICESat-2/ATLAS Data Interacting Cokriging
by Hanyue Song, Lei Xi, Qingtai Shu, Zhiyue Wei and Shuang Qiu
Forests 2023, 14(1), 13; https://doi.org/10.3390/f14010013 - 21 Dec 2022
Cited by 18 | Viewed by 3434
Abstract
Compared with the previous full-waveform data, the new generation of ICESat-2/ATLAS (Advanced Terrain Laser Altimeter System) has a larger footprint overlap density and a smaller footprint area. This study used ATLAS data to estimate forest aboveground biomass (AGB) in a high-altitude, ecologically fragile [...] Read more.
Compared with the previous full-waveform data, the new generation of ICESat-2/ATLAS (Advanced Terrain Laser Altimeter System) has a larger footprint overlap density and a smaller footprint area. This study used ATLAS data to estimate forest aboveground biomass (AGB) in a high-altitude, ecologically fragile area. The paper used ATLAS data as the main information source and a typical mountainous area in Shangri-La, northwestern Yunnan Province, China, as the study area. Then, we combined biomass data from 54 ground samples to obtain the estimated AGB of 74,873 footprints using a hyperparametric optimized random forest (RF) model. The total AGB was estimated by combining the best variance function model in geostatistics with the slope that is the covariates. The results showed that among the 50 index parameters and three topographic variables extracted based on ATLAS, six variables showed a significant correlation with AGB. They were, in order, number of canopy photons, Landsat percentage canopy, canopy photon rate, slope, number of photons, and apparent surface reflectance. The optimized random forest model was used to estimate the AGB within the footprints. The model accuracy was the coefficient of determination (R2) = 0.93, the root mean square error (RMSE) = 10.13 t/hm2, and the population estimation accuracy was 83.3%. The optimized model has a good estimation effect and can be used for footprint AGB estimation. The spatial structure analysis of the variance function of footprint AGB showed that the spherical model had the largest fitting accuracy (R2 = 0.65, the residual sum of squares (RSS) = 2.65 × 10−4), the nugget (C0) was 0.21, and the spatial structure ratio was 94.0%. It showed that the AGB of footprints had strong spatial correlation and could be interpolated by kriging. Finally, the slope in the topographic variables was selected as the co-interpolation variable, and cokriging spatial interpolation was performed. Furthermore, a continuous map of AGB spatial distribution was obtained, and the total AGB was 6.07 × 107 t. The spatial distribution of AGB showed the same trend as the distribution of forest stock. The absolute accuracy of the estimation was 82.6%, using the statistical value of the forest resource planning and design survey as a reference. The ATLAS data can improve the accuracy of AGB estimation in mountain forests. Full article
(This article belongs to the Special Issue Forestry Remote Sensing: Biomass, Changes and Ecology)
Show Figures

Figure 1

25 pages, 5892 KB  
Article
Automated Hyperparameter Optimization of Gradient Boosting Decision Tree Approach for Gold Mineral Prospectivity Mapping in the Xiong’ershan Area
by Mingjing Fan, Keyan Xiao, Li Sun, Shuai Zhang and Yang Xu
Minerals 2022, 12(12), 1621; https://doi.org/10.3390/min12121621 - 16 Dec 2022
Cited by 20 | Viewed by 4531
Abstract
The weak classifier ensemble algorithms based on the decision tree model, mainly include bagging (e.g., fandom forest-RF) and boosting (e.g., gradient boosting decision tree, eXtreme gradient boosting), the former reduces the variance for the overall generalization error reduction while the latter focuses on [...] Read more.
The weak classifier ensemble algorithms based on the decision tree model, mainly include bagging (e.g., fandom forest-RF) and boosting (e.g., gradient boosting decision tree, eXtreme gradient boosting), the former reduces the variance for the overall generalization error reduction while the latter focuses on reducing the overall bias to that end. Because of its straightforward idea, it is prevalent in MPM (mineral prospectivity mapping). However, an inevitable problem in the application of such methods is the hyperparameters tuning which is a laborious and time-consuming task. The selection of hyperparameters suitable for a specific task is worth investigating. In this paper, a tree Parzen estimator-based GBDT (gradient boosting decision tree) model (TPE-GBDT) was introduced for hyperparameters tuning (e.g., loss criterion, n_estimators, learning_rate, max_features, subsample, max_depth, min_impurity_decrease). Then, the geological data of the gold deposit in the Xiong ‘ershan area was used to create training data for MPM and to compare the TPE-GBDT and random search-GBDT training results. Results showed that the TPE-GBDT model can obtain higher accuracy than random search-GBDT in a shorter time for the same parameter space, which proves that this algorithm is superior to random search in principle and more suitable for complex hyperparametric tuning. Subsequently, the validation measures, five-fold cross-validation, confusion matrix and success rate curves were employed to evaluate the overall performance of the hyperparameter optimization models. The results showed good scores for the predictive models. Finally, according to the maximum Youden index as the threshold to divide metallogenic potential areas and non-prospective areas, the high metallogenic prospect area (accounts for 10.22% of the total study area) derived by the TPE-GBDT model contained > 90% of the known deposits and provided a preferred range for future exploration work. Full article
(This article belongs to the Special Issue Genesis and Metallogeny of Non-ferrous and Precious Metal Deposits)
Show Figures

Figure 1

16 pages, 3563 KB  
Article
Application of Hyperspectral Technology Combined with Genetic Algorithm to Optimize Convolution Long- and Short-Memory Hybrid Neural Network Model in Soil Moisture and Organic Matter
by Huan Wang, Lixin Zhang, Jiawei Zhao, Xue Hu and Xiao Ma
Appl. Sci. 2022, 12(20), 10333; https://doi.org/10.3390/app122010333 - 13 Oct 2022
Cited by 18 | Viewed by 2320
Abstract
A method of soil moisture and organic matter content detection based on hyperspectral technology is proposed. A total of 800 different soil samples and hyperspectral data were collected in the laboratory and from the field. A hyperspectral database was established. After wavelet denoising [...] Read more.
A method of soil moisture and organic matter content detection based on hyperspectral technology is proposed. A total of 800 different soil samples and hyperspectral data were collected in the laboratory and from the field. A hyperspectral database was established. After wavelet denoising and principal component analysis (PCA) preprocessing, the convolutional neural network (CNN) module was first used to extract the wavelength features of the data. Then, the long- and short-memory neural network (LSTM) module was used to extract the feature bands and nearby hidden state vectors. At the same time, the genetic algorithm (GA) was used to optimize the hyperparametric weight and bias value of the LSTM training network. At the initial stage, the data were normalized, and all features were analyzed by grey correlation degree to extract important features and to reduce the computational complexity of the data. Then, the GA-optimized CNN-LSTM hybrid neural network (GA-CNN-LSTM) algorithm model proposed in this paper was used to predict soil moisture and organic matter. The prediction performance was compared with CNN, support vector regression (SVR), and CNN-LSTM hybrid neural network model without GA optimization. The GA-CNN-LSTM algorithm was superior to other models in all indicators. The highest accuracy rates of 94.5% and 92.9% were obtained for soil moisture and organic matter, respectively. This method can be applied to portable hyperspectrometers and unmanned aerial vehicles to realize large-scale monitoring of moisture and organic matter distribution and to provide a basis for rational irrigation and fertilization in the future. Full article
(This article belongs to the Section Agricultural Science and Technology)
Show Figures

Figure 1

19 pages, 5023 KB  
Article
Wildfire Risk Assessment in Liangshan Prefecture, China Based on An Integration Machine Learning Algorithm
by Lingxiao Xie, Rui Zhang, Junyu Zhan, Song Li, Age Shama, Runqing Zhan, Ting Wang, Jichao Lv, Xin Bao and Renzhe Wu
Remote Sens. 2022, 14(18), 4592; https://doi.org/10.3390/rs14184592 - 14 Sep 2022
Cited by 59 | Viewed by 5494
Abstract
Previous wildfire risk assessments have problems such as subjectivity of weight allocation and the linearization of statistical models, resulting in generally low robustness and low generalization ability of fire risk assessment models. Therefore, in this paper, we explored the potential of integration machine [...] Read more.
Previous wildfire risk assessments have problems such as subjectivity of weight allocation and the linearization of statistical models, resulting in generally low robustness and low generalization ability of fire risk assessment models. Therefore, in this paper, we explored the potential of integration machine learning algorithms to build wildfire risk assessment models. Based on analyzing fire data’s spatial and temporal distribution, we selected 10 triggering factors of topography, meteorology, vegetation, and human activities, using frequency ratio (FR) to provide uniform data representation of triggering factors. Next, we used the Bayesian optimization (BO) algorithm to perform hyperparametric optimization solutions for various machine learning models: support vector machine (SVM), random forest (RF), and extreme gradient boosting (XGBoost). Finally, we constructed an integration machine learning algorithm to acquire a fire risk grading map and the importance evaluation corresponding to each triggering factor. For validation purposes, we selected Liangshan Prefecture in Sichuan Province as the specific study area and obtained MCD64A1 burned area product to extract the extent of burned areas in Liangshan Prefecture from 2011 to 2020. The accuracy, kappa coefficient, and area under curve (AUC) were then applied to assess the predictive power and consistency of the fire risk classification maps. The experimental analysis showed that among the three models, FR-BO-XGBoost had the best performance in wildfire risk assessment in the Liangshan region (AUC = 0.887), followed by FR-BO-RF (AUC = 0.876) and FR-BO-SVM (AUC = 0.820). The feature importance result indicated that the study area’s most significant effects on wildfires were precipitation, NDVI, land cover, and maximum temperature. The proposed method avoided the subjective weighting and model linearization problems. Compared with the previous methods, it automatically acquired the importance of the triggering factors to the wildfire, which had certain advantages in wildfire risk assessment, and was worthy of further promotion. Full article
Show Figures

Graphical abstract

14 pages, 4718 KB  
Article
Comparison of the Classification Results Accuracy for CT Soft Tissue and Bone Reconstructions in Detecting the Porosity of a Spongy Tissue
by Róża Dzierżak, Zbigniew Omiotek, Ewaryst Tkacz and Sebastian Uhlig
J. Clin. Med. 2022, 11(15), 4526; https://doi.org/10.3390/jcm11154526 - 3 Aug 2022
Cited by 5 | Viewed by 2204
Abstract
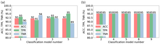
The aim of the study was to compare the accuracy of the classification pertaining to the results of two types of soft tissue and bone reconstructions of the spinal CT in detecting the porosity of L1 vertebral body spongy tissue. The dataset for [...] Read more.
The aim of the study was to compare the accuracy of the classification pertaining to the results of two types of soft tissue and bone reconstructions of the spinal CT in detecting the porosity of L1 vertebral body spongy tissue. The dataset for each type of reconstruction (high-resolution bone reconstruction and soft tissue reconstruction) included 400 sponge tissue images from 50 healthy patients and 50 patients with osteoporosis. Texture feature descriptors were calculated based on the statistical analysis of the grey image histogram, autoregression model, and wavelet transform. The data dimensional reduction was applied by feature selection using nine methods representing various approaches (filter, wrapper, and embedded methods). Eleven methods were used to build the classifier models. In the learning process, hyperparametric optimization based on the grid search method was applied. On this basis, the most effective model and the optimal subset of features for each selection method used were determined. In the case of bone reconstruction images, four models achieved a maximum accuracy of 92%, one of which had the highest sensitivity of 95%, with a specificity of 89%. For soft tissue reconstruction images, five models achieved the highest testing accuracy of 95%, whereas the other quality indices (TPR and TNR) were also equal to 95%. The research showed that the images derived from soft tissue reconstruction allow for obtaining more accurate values of texture parameters, which increases the accuracy of the classification and offers better possibilities for diagnosing osteoporosis. Full article
(This article belongs to the Section Nuclear Medicine & Radiology)
Show Figures

Figure 1

22 pages, 10663 KB  
Article
The Engine Combustion Phasing Prediction Based on the Support Vector Regression Method
by Qifan Wang, Ruomiao Yang, Xiaoxia Sun, Zhentao Liu, Yu Zhang, Jiahong Fu and Ruijie Li
Processes 2022, 10(4), 717; https://doi.org/10.3390/pr10040717 - 8 Apr 2022
Cited by 9 | Viewed by 3403
Abstract
While traditional one-dimensional and three-dimensional numerical simulation techniques require a lot of tests and time, emerging Machine Learning (ML) methods can use fewer data to obtain more information to assist in engine development. Combustion phasing is an important parameter of the spark-ignition (SI) [...] Read more.
While traditional one-dimensional and three-dimensional numerical simulation techniques require a lot of tests and time, emerging Machine Learning (ML) methods can use fewer data to obtain more information to assist in engine development. Combustion phasing is an important parameter of the spark-ignition (SI) engine, which determines the emission and power performance of the engine. In the engine calibration process, it is necessary to determine the maximum brake torque timing (MBT) for different operating conditions to obtain the best engine dynamics performance. Additionally, the determination of the combustion phasing enables the Wiebe function to predict the combustion process. Existing studies have unacceptable errors in the prediction of combustion phasing parameters. This study aimed to find a solution to reduce prediction errors, which will help to improve the calibration accuracy of the engine. In this paper, we used Support Vector Regression (SVR) to reconstruct the mapping relationship between engine inputs and responses, with the hyperparametric optimization method Gray Wolf Optimization (GWO) algorithm. We chose the engine speed, load, and spark timing as engine inputs. Combustion phasing parameters were selected as engine responses. After machine learning training, we found that the prediction accuracy of the SVR model was high, and the R2 of CA10−ST, CA50, CA90, and DOC were all close to 1. The RMSE of these indicators were close to 0. Consequently, SVR can be applied to the prediction of combustion phasing in SI gasoline engines and can provide some reference for combustion phasing control. Full article
(This article belongs to the Special Issue Internal Combustion Engine Combustion Processes)
Show Figures

Figure 1

Back to TopTop