Sign in to use this feature.

Years

Between: -

Subjects

remove_circle_outline
remove_circle_outline
remove_circle_outline
remove_circle_outline
remove_circle_outline
remove_circle_outline
remove_circle_outline
remove_circle_outline
remove_circle_outline

Journals

remove_circle_outline
remove_circle_outline
remove_circle_outline
remove_circle_outline
remove_circle_outline
remove_circle_outline
remove_circle_outline
remove_circle_outline
remove_circle_outline
remove_circle_outline
remove_circle_outline
remove_circle_outline
remove_circle_outline
remove_circle_outline

Article Types

Countries / Regions

remove_circle_outline
remove_circle_outline
remove_circle_outline
remove_circle_outline
remove_circle_outline

Search Results (1,592)

Search Parameters:
Keywords = human melanoma

Order results
Result details
Results per page
Select all
Export citation of selected articles as:
19 pages, 2992 KB  
Article
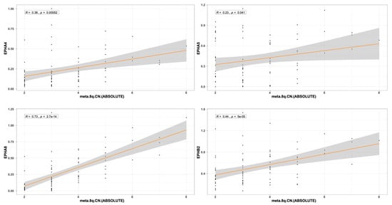
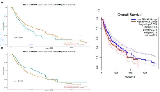
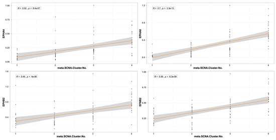
Ephrin Receptors and Ephrin Ligands in Uveal Melanoma: A Big Data Analysis Using Web Resources
by Georgios Mandrakis, Christina-Maria Flessa, Panoraia Keratsa, Apostolos Zaravinos, Stamatios Theocharis and Alexandros G. Sykaras
Int. J. Mol. Sci. 2026, 27(1), 442; https://doi.org/10.3390/ijms27010442 - 31 Dec 2025
Abstract
Uveal melanoma (UVM) is a rare cancer that represents the second most common melanoma (after the cutaneous) and the most common primary intraocular malignancy in adults. Despite recent advances in the understanding of UVM pathogenesis, its prognosis remains unchanged, with half of patients [...] Read more.
Uveal melanoma (UVM) is a rare cancer that represents the second most common melanoma (after the cutaneous) and the most common primary intraocular malignancy in adults. Despite recent advances in the understanding of UVM pathogenesis, its prognosis remains unchanged, with half of patients dying because of liver metastasis. Erythropoietin-producing human hepatocellular receptors (EPHs) constitute the largest known family of tyrosine receptors, and, along with their ligands, EFNs, regulate key physiological processes and are implicated in cancer pathogenesis. In this study, we used open-access web bioinformatics platforms to explore and analyze big datasets provided by The Cancer Genome Atlas (TCGA) UVM cohort of patients. We profiled the genomic alterations present in a subset of UVM patients, highlighting a likely pathogenic deep deletion of EPHA7. Survival analysis showed that overexpression levels of EPHA4, EPHA5, EPHA8, EPHB2, and EFNB2 are significantly associated with poor overall survival. Additionally, high expression levels of EPHA4, EPHA5, EPHA7, EPHA8, EPHB2, EFNA2, and EFNB2 correlate with reduced progression-free interval and disease-free survival. Finally, we identified the EPHs (EPHA2, EPHA4, EPHA8, and EPHB4) and EFNs (EFNA1, EFNA3, EFNA4, and EFNB2) that are significantly overexpressed in the aggressive epithelioid histological subtype and revealed that the majority of EPHs/EFNs are overexpressed in metastatic disease. In conclusion, our results highlight that a subset of EPHs and EFNs may be associated with worse clinical outcomes (EPHA4, EPHA5, EPHA7, EPHA8, EPHB2, EFNA2, and EFNB2), and an aggressive histological subtype (EPHA2, EPHA4, EPHA8, EPHB4, EFNA1, EFNA3, EFNA4, and EFNB2). The potential correlation of these genes with clinicopathological parameters of UVM need to be evaluated and validated with bioinformatic and experimental approaches in well-characterized cohorts of UVM patients. Full article
(This article belongs to the Section Molecular Genetics and Genomics)
Show Figures

Figure 1

23 pages, 2214 KB  
Review
Role of Gut Microbiome in Oncogenesis and Oncotherapies
by Renuka Sri Sai Peddireddi, Sai Kiran Kuchana, Rohith Kode, Saketh Khammammettu, Aishwarya Koppanatham, Supriya Mattigiri, Harshavardhan Gobburi and Suresh K. Alahari
Cancers 2026, 18(1), 99; https://doi.org/10.3390/cancers18010099 - 29 Dec 2025
Viewed by 192
Abstract
The gut microbiome has emerged as a key regulator of human health, influencing not only metabolism and immunity but also the development and treatment of cancer. Mounting evidence suggests that microbial dysbiosis contributes to oncogenesis by driving chronic inflammation, producing genotoxic metabolites, altering [...] Read more.
The gut microbiome has emerged as a key regulator of human health, influencing not only metabolism and immunity but also the development and treatment of cancer. Mounting evidence suggests that microbial dysbiosis contributes to oncogenesis by driving chronic inflammation, producing genotoxic metabolites, altering bile acid metabolism, and disrupting epithelial barrier integrity. At the same time, the gut microbiome significantly modulates the host response to oncotherapies including chemotherapy, radiotherapy, and especially immunotherapy, where microbial diversity and specific taxa determine treatment efficacy and toxicity. This review synthesizes current evidence on the role of the gut microbiome in both oncogenesis and oncotherapies, focusing on thirteen cancers with the strongest and most clinically relevant microbiome associations, colorectal cancer, gastric cancer, hepatocellular carcinoma, gallbladder cancer, esophageal cancer, pancreatic cancer, oral squamous cell carcinoma, cervical cancer, prostate cancer, breast cancer, lung cancer, brain cancer, and melanoma. These cancers were selected based on robust mechanistic data linking microbial alterations to tumor initiation, progression, and therapy modulation, as well as their global health burden and translational potential. In addition, we have provided mechanistic insights or clinical correlations between the microbiome and cancer outcomes. Across cancers, common microbial mechanisms included pro-inflammatory signaling (e.g., NF-κB and STAT3 pathways), DNA damage from bacterial toxins (e.g., colibactin, nitrosating species), and metabolite-driven tumor promotion (e.g., secondary bile acids, trimethylamine N-oxide). Conversely, beneficial commensals such as Faecalibacterium prausnitzii and Akkermansia muciniphila supported antitumor immunity and improved responses to immune checkpoint inhibitors. In conclusion, the gut microbiome functions as both a driver of malignancy and a modifiable determinant of therapeutic success. Integrating microbiome profiling and modulation strategies such as dietary interventions, probiotics, and fecal microbiota transplantation into oncology practice may pave the way for personalized and more effective cancer care. Full article
Show Figures

Figure 1

16 pages, 1534 KB  
Article
Melanotransferrin as a Potential Target for the Selective Killing of Melanoma and Triple-Negative Breast Cancer Cells In Vitro Using Novel SNAP-Tag-Based Antibody–AURIF Conjugate
by Suzanne Hippolite Magagoum, Gael Tchokomeni Siwe, Fleury Augustin Nsole Biteghe, Allan Martin Huysamen, Dirk Lang, Roger Hunter and Stefan Barth
Onco 2026, 6(1), 1; https://doi.org/10.3390/onco6010001 - 25 Dec 2025
Viewed by 207
Abstract
Background: Melanoma and triple-negative breast cancer (TNBC) are the most aggressive skin and breast cancers, often diagnosed at late stages with limited treatment options. The melanoma-associated antigen melanotransferrin (MTf) is overexpressed in these solid tumors, where it drives tumorigenesis, progression, and chemoresistance. Its [...] Read more.
Background: Melanoma and triple-negative breast cancer (TNBC) are the most aggressive skin and breast cancers, often diagnosed at late stages with limited treatment options. The melanoma-associated antigen melanotransferrin (MTf) is overexpressed in these solid tumors, where it drives tumorigenesis, progression, and chemoresistance. Its inhibition correlates with tumor regression, making MTf a promising therapeutic target. This study aimed to develop a novel, selectively targeted antibody–drug conjugate (ADC) against MTf-expressing melanoma and TNBC cancer cells using SNAP-tag fusion protein conjugation technology. Methods: We generated an L49(scFv)-SNAP-tag antibody fusion protein engineered through the genetic fusion of a humanized anti-MTf single-chain variable fragment (scFv) with a SNAP-tag fusion protein capable of site-specific self-labelling with O6-benzylguanine (BG) modified substrates in 1:1 stoichiometry. Binding and internalization of the conjugate labeled with BG-Alexa 488 (L49(scFv)-SNAP-Alexa488) were assessed by confocal microscopy and flow cytometry in MTf-overexpressing cell lines. Cytotoxicity was evaluated using the cell viability XTT assay after conjugating the SNAP-fusion protein to the potent monomethyl auristatin-F (BG-AURIF). Results: The L49(scFv)-SNAP-Alexa488 conjugate demonstrated specific binding and internalization into MTf-positive melanoma and TNBC cells. The corresponding ADC, L49(scFv)-SNAP-Linker-AURIF, exerted potent, antigen and dose-dependent cytotoxicity, with IC50 values in the nanomolar range (4.77–34.43 nM). Conclusions: We successfully generated a novel SNAP-tag-based ADC that selectively eliminates MTf-overexpressing tumor cells. This proof-of-concept highlights MTF’s value as a therapeutic target and demonstrates that a smaller-format, non-cleavable linker SNAP-tag-based ADC can achieve potent nanomolar cytotoxicity, supporting further development of MTF-targeted immunotherapies for melanoma and TNBC. Full article
Show Figures

Figure 1

18 pages, 6505 KB  
Article
Pre-Treatment with Dacarbazine Sensitizes B16 Melanoma to CAR T Cell Therapy in Syngeneic Mouse Model
by Egor A. Emelianov, Elizaveta R. Naberezhnaya, Andrey S. Logvinov, Valeria M. Stepanova, Aleksandr S. Chernov, Yuliana A. Mokrushina, Diana M. Malabuiok, Dmitry E. Pershin, Ekaterina A. Malakhova, Elena A. Kulakovskaya, Tatiana N. Prokofeva, Victor V. Tatarskiy, Elena I. Shramova, Sergey M. Deyev, Alexander G. Gabibov, Nikolay E. Kushlinskii, Yury P. Rubtsov and Dmitry V. Volkov
Int. J. Mol. Sci. 2026, 27(1), 189; https://doi.org/10.3390/ijms27010189 - 24 Dec 2025
Viewed by 169
Abstract
Adoptive cell therapy (ACT) with T cells modified with a chimeric antigen receptor (CAR T cells) has dramatically improved outcomes in hematologic cancers. However, its efficacy in solid tumors, such as melanoma, is hampered by several factors. These include heterogeneous expression of tumor-associated [...] Read more.
Adoptive cell therapy (ACT) with T cells modified with a chimeric antigen receptor (CAR T cells) has dramatically improved outcomes in hematologic cancers. However, its efficacy in solid tumors, such as melanoma, is hampered by several factors. These include heterogeneous expression of tumor-associated antigens (TAA) and an immunosuppressive, profibrotic tumor microenvironment (TME), which restricts cytotoxic CAR T cells trafficking into the tumor, as well as their persistence and cytolytic activity. As a result, responses to CAR T cell monotherapy in melanoma and other solid tumors are typically weak, transient or even absent. Emerging evidence suggests that combining traditional chemotherapy with CAR T cell therapy can enhance the antitumor activity of CAR T cells in solid malignancies. Partial tumor cell killing by chemotherapy improves access to TAA and disrupts the TME by affecting the global structure of the tumor tissue. Here, we developed an immunocompetent syngeneic B16 melanoma mouse model to test a combination of classical dacarbazine (DTIC) chemotherapy with ACT with murine CAR T cells. B16-F10 (next as B16) melanoma cells were modified to express a human/murine hybrid epidermal growth factor receptor (EGFR) recognized by a murine CAR bearing a single-chain variable fragment (scFv) derived from cetuximab, an anti-EGFR monoclonal antibody approved for the treatment of colorectal and certain other solid tumors. Prior to CAR T cells administration, cyclophosphamide (CPA) pre-conditioning was used. We demonstrated that DTIC therapy followed by infusion of murine CAR T cells targeting the human/murine hybrid EGFR (EGFR mCAR T cells) provided superior tumor control and prolonged survival compared to monotherapy with either DTIC or EGFR mCAR T cells alone. These findings support the potential feasibility of a combined therapeutic strategy for human melanoma involving DTIC treatment followed by EGFR CAR T cells infusion after CPA pre-conditioning. Full article
(This article belongs to the Special Issue Chimeric Antigen Receptors Against Cancers and Autoimmune Diseases)
Show Figures

Graphical abstract

24 pages, 2905 KB  
Article
Evaluation of Cedrus atlantica Essential Oil: Chemical Composition, Anticancer Activity and Molecular Docking Studies
by Silvia Gruin, Octavian Crețu, Alexandra Mioc, Marius Mioc, Alexandra Prodea, Elisabeta Atyim, Alexandra Teodora Lukinich-Gruia, Maria-Alexandra Pricop, Armand Gogulescu and Codruța Șoica
Molecules 2026, 31(1), 46; https://doi.org/10.3390/molecules31010046 - 22 Dec 2025
Viewed by 271
Abstract
Due to their high content of bioactive compounds with anticancer properties, essential oils (EO) are increasingly viewed as valuable therapeutic strategies in oncology. The aim of this study was to evaluate the chemical composition and anticancer activity of Cedrus atlantica EO (CAEO) and [...] Read more.
Due to their high content of bioactive compounds with anticancer properties, essential oils (EO) are increasingly viewed as valuable therapeutic strategies in oncology. The aim of this study was to evaluate the chemical composition and anticancer activity of Cedrus atlantica EO (CAEO) and its PEG-400 and Tween 20 formulations. The gas-chromatography (GC) analysis revealed a sesquiterpene-rich profile, with β-himachalene (39.32%) as the major constituent, followed by α-Himachalene (16.76%) and γ-Himachalene (12.92%). The cytotoxicity studies, performed using Alamar Blue assay on normal HaCaT human keratinocytes and A375 human melanoma and HT-29 colorectal carcinoma cell lines, revealed that CAEO displayed minimal toxicity on HaCaT cells, while significantly reducing A735 and HT-29 cell viability, at any of the concentrations tested. The PEG- and Tween-based formulations of CAEO exhibited the same effect on cell viability as the simple water dispersion of CAEO. The immunofluorescence-based examination of cellular morphology suggested that CAEO induces apoptosis in both cancer cell lines: A375 and HT-29; this apoptosis-related mechanism was further supported by the caspase-3/7 assay, which revealed a significant increase in caspase-3/7 activity after CAEO treatment. To further investigate the underlying mechanism, the JC-1 staining and high-resolution respirometry assays demonstrated that CAEO induces mitochondrial membrane depolarization and reduced mitochondrial active respiration (OXPHOS). Molecular docking further indicated that isoledene and β-himachalene exhibit the highest predicted affinity for PI3Kγ, suggesting a potential involvement of PI3K-related signaling in the pro-apoptotic activity of CAEO. Together, these results suggest that CAEO induces apoptosis through a mitochondria-mediated mechanism. Full article
Show Figures

Graphical abstract

19 pages, 1996 KB  
Article
Recombinant RGD-Apoptins Decrease Human Melanoma Cell Viability
by Dmitriy Shirokov, Daria Lepekhina, Valentin Manuvera, Margarita Bogomiakova, Aleksandra Strokach, Anastasia Kazakova, Georgij Arapidi and Vassili Lazarev
Int. J. Mol. Sci. 2025, 26(24), 12016; https://doi.org/10.3390/ijms262412016 - 13 Dec 2025
Viewed by 219
Abstract
Cutaneous melanoma is an extremely dangerous tumor disease with poor prognosis at advanced stages. Accounting for a small percentage of all skin tumors, malignant melanoma leads the mortality rate in this group of cancers. Clearly, the search for new drugs and therapeutic approaches [...] Read more.
Cutaneous melanoma is an extremely dangerous tumor disease with poor prognosis at advanced stages. Accounting for a small percentage of all skin tumors, malignant melanoma leads the mortality rate in this group of cancers. Clearly, the search for new drugs and therapeutic approaches for the treatment of cutaneous melanoma is a highly pressing issue in modern medicine. In this study, novel recombinant proteins with anti-melanoma activity, called RGD-apoptins, were produced in an E. coli expression system, and their properties were evaluated in human cell models. These chimeric proteins consist of two parts, each tumor-specific. One part of the chimeric molecule is the RGD peptide, which binds to αVβ3 integrins widely expressed on the surface of malignant melanocytes. The other part is the viral protein apoptin, known to induce programmed cell death in tumor cells but not in normal cells. This molecular design aims to enhance the specificity of potential therapeutic agent toward malignant melanoma cells while reducing cytolytic effects on healthy tissue. In a resazurin assay, RGD-apoptins decreased the viability of MeWo human melanoma cells and did not affect the viability of HaCaT human keratinocyte cell line and primary skin fibroblasts. Using an annexin V assay, we confirmed that malignant melanocytes death occurs via apoptosis. Transcriptomic analysis allowed us to dynamically evaluate the spectrum of differentially expressed genes 24 and 48 h after treating melanoma cells with recombinant RGD-apoptin. Full article
(This article belongs to the Section Molecular Oncology)
Show Figures

Figure 1

16 pages, 1006 KB  
Review
Should Fertility Preservation Be Offered to Young Women with Melanoma Receiving Immune Checkpoint Inhibitors? A SWOT Analysis
by Diego Raimondo, Michele Miscia, Antonio Raffone, Manuela Maletta, Linda Cipriani, Paola Valeria Marchese, Francesca Comito, Rossella Vicenti, Federica Cortese, Enrico Pazzaglia, Linda Bertoldo, Luigi Cobellis and Renato Seracchioli
Curr. Oncol. 2025, 32(12), 702; https://doi.org/10.3390/curroncol32120702 - 12 Dec 2025
Viewed by 393
Abstract
Immune checkpoint inhibitors (ICIs) have reshaped melanoma care, yielding durable remissions even in high-risk stages. As survival improves, fertility becomes a key survivorship concern for young women, yet the reproductive safety of ICIs remains insufficiently characterised. We performed a SWOT (Strengths, Weaknesses, Opportunities, [...] Read more.
Immune checkpoint inhibitors (ICIs) have reshaped melanoma care, yielding durable remissions even in high-risk stages. As survival improves, fertility becomes a key survivorship concern for young women, yet the reproductive safety of ICIs remains insufficiently characterised. We performed a SWOT (Strengths, Weaknesses, Opportunities, Threats) analysis synthesizing preclinical and clinical evidence to evaluate the rationale for fertility preservation (FP) prior to checkpoint inhibitor therapy. Preclinical models of PD-1/CTLA-4 blockade demonstrate ovarian immune activation, cytokine release (e.g., TNF-α), and follicular loss. Conversely, human data are limited to correlative analyses suggesting potential declines in ovarian reserve markers. In conclusion, while prospective studies are required to definitively quantify risk, proactive fertility preservation counselling should be routinely offered prior to treatment initiation to safeguard reproductive autonomy without compromising oncologic safety. Full article
(This article belongs to the Section Childhood, Adolescent and Young Adult Oncology)
Show Figures

Figure 1

26 pages, 2770 KB  
Article
Cellular Distribution and Motion of Essential Magnetosome Proteins Expressed in Mammalian Cells
by Qin Sun, Cécile Fradin, Moeiz Ahmed, R. Terry Thompson, Frank S. Prato and Donna E. Goldhawk
Biosensors 2025, 15(12), 797; https://doi.org/10.3390/bios15120797 - 4 Dec 2025
Viewed by 355
Abstract
Magnetosomes are organelle-like structures within magnetotactic bacteria that store iron biominerals in membrane-bound vesicles. In bacteria, formation of these structures is highly regulated by approximately 30 genes, which are conserved throughout different species. To compartmentalize iron in mammalian cells and provide gene-based contrast [...] Read more.
Magnetosomes are organelle-like structures within magnetotactic bacteria that store iron biominerals in membrane-bound vesicles. In bacteria, formation of these structures is highly regulated by approximately 30 genes, which are conserved throughout different species. To compartmentalize iron in mammalian cells and provide gene-based contrast for magnetic resonance imaging, we introduced key magnetosome proteins. The expression of essential magnetosome genes mamI and mamL as fluorescent fusion proteins in a human melanoma cell line confirmed their co-localization and interaction. Here, we investigate the expression of two more essential magnetosome genes, mamB and mamE, using confocal microscopy to describe fluorescent fusion protein expression patterns and analyze the observed intracellular mobility. Custom software was developed to characterize fluorescent particle trajectories. In mammalian cells, essential magnetosome proteins display different diffusive behaviours. However, all magnetosome proteins travelled at similar velocities when interacting with mammalian mobile elements, suggesting that MamL, MamL + MamI, MamB, and MamE interact with similar molecular motor proteins. These results confirm that localization and interaction of essential magnetosome proteins are feasible within the mammalian intracellular compartment. Full article
(This article belongs to the Special Issue Fluorescent Probes: Design and Biological Applications)
Show Figures

Graphical abstract

24 pages, 16860 KB  
Article
Mechanistic Insights into Anti-Melanogenic Effects of Fisetin: PKCα-Induced β-Catenin Degradation, ERK/MITF Inhibition, and Direct Tyrosinase Suppression
by Zin Zin Ei, Satapat Racha, Hongbin Zou and Pithi Chanvorachote
Int. J. Mol. Sci. 2025, 26(23), 11739; https://doi.org/10.3390/ijms262311739 - 4 Dec 2025
Viewed by 370
Abstract
Excessive melanin production causes hyperpigmentation disorders such as freckles, melasma, and age spots, affecting appearance and quality of life. Tyrosinase is the key enzyme controlling melanin synthesis, and natural compounds are being explored as effective tyrosinase inhibitors. Fisetin, a dietary flavonoid found in [...] Read more.
Excessive melanin production causes hyperpigmentation disorders such as freckles, melasma, and age spots, affecting appearance and quality of life. Tyrosinase is the key enzyme controlling melanin synthesis, and natural compounds are being explored as effective tyrosinase inhibitors. Fisetin, a dietary flavonoid found in fruits and vegetables like grapes and onions, is known for its anti-inflammatory and anticancer properties, but its anti-melanogenic activity remains unclear. This study demonstrated that fisetin, up to 60 μM, is non-toxic and significantly decreases tyrosinase activity and melanin content in human melanoma cells. Mechanistically, fisetin activates PKCα, leading to phosphorylation and degradation of β-catenin, thereby downregulating MITF expression. Additionally, it activates ERK and AKT/GSK3β pathways, promoting ubiquitination and proteasomal degradation of MITF, resulting in reduced levels of tyrosinase, TRP-1, and TRP-2. The proteasome inhibitor MG132 confirmed that fisetin accelerates β-catenin and MITF degradation. Additionally, inhibition of the PI3K/AKT pathway by LY294002 or the ERK pathway by PD98059 reversed fisetin’s reduction of tyrosinase activity and melanin synthesis, further verifying the participation of these pathways. Computational docking integrated with deep learning-based CNN scoring revealed that fisetin interacts with PKCα, β-catenin, tyrosinase, and TYRP1. Collectively, these findings suggest that fisetin exerts multi-targeted inhibitory effects on melanogenesis, highlighting its potential as a therapeutic and cosmetic agent for hyperpigmentation. Full article
(This article belongs to the Special Issue Melanin Pigmentation: Physiology and Pathology)
Show Figures

Figure 1

12 pages, 4678 KB  
Communication
Expression of Glutamatergic Signaling in Canine Oral Melanocytic Neoplasms
by Alison Masyr, Latticha Pluemhathaikij, Sichao Wang, Tuddow Thaiwong-Nebelung and Rebecca C. Smedley
Vet. Sci. 2025, 12(12), 1149; https://doi.org/10.3390/vetsci12121149 - 2 Dec 2025
Viewed by 299
Abstract
Glutamine addiction in human melanoma is a premier example of the cancer hallmark of metabolic reprogramming. In the present study, we investigate the presence of metabotropic glutamate receptor 1 (mGluR1/GRM1) and glutaminase (GLS1/GLS) in canine oral malignant melanoma (OMM) [...] Read more.
Glutamine addiction in human melanoma is a premier example of the cancer hallmark of metabolic reprogramming. In the present study, we investigate the presence of metabotropic glutamate receptor 1 (mGluR1/GRM1) and glutaminase (GLS1/GLS) in canine oral malignant melanoma (OMM) and those of low malignant potential, termed histologically well-differentiated melanocytic neoplasm of the lips and oral mucosa (HWDMN). We used immunohistochemistry (IHC) and qPCR to evaluate mGluR1 and GLS1 protein expression and RNA expression, respectively. Nearly 20% of OMM cases had an mGluR1 IHC score ≥ 1, while none of the HWDMN cases had any expression. Due to low IHC expression, only 10 cases were selected for determination of GRM1 RNA expression, and none were positive. GLS RNA expression did not differ between OMM and HWDMN. A GLS1 IHC score ≥ 1 was significantly higher in OMM cases and highly specific (95%) for correctly identifying tumors with a Ki67 index ≥ 19.5. These results may have been negatively impacted by use of a brown chromogen for IHC labeling among background pigment, particularly in HWDMN. Ultimately, these findings suggest that canine OMM does not heavily rely on mGluR1 for tumorigenesis or progression. Differential GLS1 protein expression warrants further investigation with protein quantification. Full article
(This article belongs to the Section Anatomy, Histology and Pathology)
Show Figures

Figure 1

14 pages, 1512 KB  
Article
Granzyme B PET Imaging Enables Detection of CAR T-Cell Therapy Response in a Human Melanoma Mouse Model
by Priska Summer, Niklas Bulmer, Suma Prabhu, Naomi Gallon, Rebecca C. Larson, Marcela V. Maus, Umar Mahmood and Pedram Heidari
Diagnostics 2025, 15(23), 3058; https://doi.org/10.3390/diagnostics15233058 - 30 Nov 2025
Viewed by 601
Abstract
Background/Objectives: Granzyme B (GZB) PET Imaging is a non-invasive tool that can determine tumoral and systemic effects in immunotherapy. We aim to evaluate 68Ga-NOTA-CYT-200 PET Imaging as a molecular imaging approach to determine CAR T-cell therapy response in a human melanoma [...] Read more.
Background/Objectives: Granzyme B (GZB) PET Imaging is a non-invasive tool that can determine tumoral and systemic effects in immunotherapy. We aim to evaluate 68Ga-NOTA-CYT-200 PET Imaging as a molecular imaging approach to determine CAR T-cell therapy response in a human melanoma mouse model. Our goal is to provide a method to monitor CAR T-cell therapy for patients with melanoma and other solid tumors. Methods: A human melanoma mouse model was generated by implanting naïve NSG mice (n = 28) with a human melanoma cell line (A375) subcutaneously (s.c.). After tumor implantation, mice were randomly assigned to receive either the treatment (CAR T) or vehicle solution (controls). After treatment, tumor sizes were measured every other day up to 35 days after cell implantation. 68Ga-NOTA-CYT-200 PET Imaging was performed on days 2, 7, and 14 after CAR T-cell administration to assess T-cell activity within the tumors and organs. The PET Imaging results were correlated with IHC and immunofluorescent staining and cytokine assessment of tumor samples. Results: Tracer uptake within tumors of the CAR T group was significantly greater on days 2 (3.1 ± 1.2 vs. 1.1 ± 0.4, p = 0.002) and 7 (2.0 ± 1.1 vs. 1.1 ± 0.1, p = 0.01) after treatment, even before the CAR T group first presented with significantly lower tumor volumes on day 11 after treatment (61.8 mm3 ± 8.7 vs. 287.1 mm3 ± 157.6, p = 0.05). GZB (p = 0.03) and CAR T (p = 0.001) staining were also significantly greater in tumors of CAR T-cell-treated mice. Inflammatory cytokines such as IFN gamma (p = 0.03), CXCL10 (p = 0.004), and CCL5 (p = 0.02) concentrations were also significantly greater in CAR T-cell-treated tumors. Conclusions: CAR-T-treated tumors show significantly elevated 68Ga-NOTA-CYT-200 uptake compared with controls, consistent with enhanced effector activity. Full article
(This article belongs to the Special Issue Advances in Nuclear Medicine and Molecular Imaging)
Show Figures

Graphical abstract

23 pages, 1790 KB  
Article
Genomic and Metabolomic Characterization of Kitasatospora griseola JNUCC 62 from Mulyeongari Oreum and Its Cosmeceutical Potential
by Mi-Sun Ko, Mi-Yeon Moon and Chang-Gu Hyun
Fermentation 2025, 11(12), 671; https://doi.org/10.3390/fermentation11120671 - 29 Nov 2025
Viewed by 678
Abstract
The actinobacterial strain Kitasatospora griseola JNUCC 62 was isolated from volcanic wetland soil at Mulyeongari Oreum, Jeju Island, and taxonomically identified through 16S rRNA gene and whole-genome analyses. The complete genome, assembled from PacBio Sequel I reads, spans 8.31 Mb with a GC [...] Read more.
The actinobacterial strain Kitasatospora griseola JNUCC 62 was isolated from volcanic wetland soil at Mulyeongari Oreum, Jeju Island, and taxonomically identified through 16S rRNA gene and whole-genome analyses. The complete genome, assembled from PacBio Sequel I reads, spans 8.31 Mb with a GC content of 72.8% and contains 7265 coding sequences. Comparative genomic indices (Average nucleotide identity, ANI 97.46%; digital DNA–DNA hybridization, dDDH 84.4%) confirmed its conspecific relationship with K. griseola JCM 3339T. Genome mining using antiSMASH 8.0 revealed 30 biosynthetic gene clusters (BGCs), including polyketide synthase (PKS), non-ribosomal peptide synthetase (NRPS), ribosomally synthesized and post-translationally modified peptide (RiPP), lanthipeptide, and terpene types, accounting for 18.6% of the genome. Several BGCs displayed homology to known formicamycin-, lankacidin-, and lanthipeptide-type clusters, while others were novel or cryptic, reflecting adaptation to the nutrient-poor volcanic environment. Ethyl acetate extraction of the culture broth, especially under tryptophan-supplemented conditions, yielded four metabolites—1-acetyl-β-carboline, perlolyrine, tryptopol, and 1H-pyrrole-2-carboxylic acid—identified by UV and NMR spectroscopy. These compounds correspond to NRPS–PKS hybrid and arylpolyene-type gene clusters predicted in the genome, suggesting precursor-directed biosynthesis of indole and pyrrole alkaloids. The ethyl acetate extract (JNUCC62 EA) exhibited strong antioxidant capacity in the ABTS assay, anti-inflammatory activity via inhibition of nitric oxide (31.09 ± 3.69% of control) and cytokines (IL-6, IL-1β, TNF-α) in lipopolysaccharide (LPS)-stimulated RAW 264.7 macrophages, and anti-melanogenic effects in α-melanocyte-stimulating hormone (MSH)-stimulated B16F10 melanoma cells, where melanin content and tyrosinase activity decreased to 61.49 ± 1.24% and 24.32 ± 0.31% of the control, respectively, without cytotoxicity. A human primary skin irritation test confirmed no irritation up to 50 µg/mL, establishing excellent dermal safety. Collectively, these findings highlight K. griseola JNUCC 62 from Mulyeongari Oreum as a volcanic wetland-derived actinomycete harboring rich biosynthetic potential for novel indole alkaloids with antioxidant, anti-inflammatory, and whitening properties, supporting its development as a safe and multifunctional cosmeceutical ingredient. Full article
(This article belongs to the Special Issue Microbial Metabolism Focusing on Bioactive Molecules)
Show Figures

Figure 1

24 pages, 13123 KB  
Article
The Effect of Graphene Oxide Deposited on Titanium Surface on Structural, Corrosion, and Biological Properties
by Kamila Narojczyk, Barbara Nasiłowska, Agata Lange, Marta Kutwin, Sławomir Jaworski, Łukasz Krzowski, Wiktoria Kasprzycka, Piotr Olejnik, Maciej Chrunik, Aneta Bombalska and Zdzisław Bogdanowicz
Materials 2025, 18(23), 5372; https://doi.org/10.3390/ma18235372 - 28 Nov 2025
Viewed by 382
Abstract
The article presents the results of structural, corrosion, microbiological, biological, and genotoxicity studies on the effect of graphene oxide deposited on a flat titanium foil surface, intended for use, in general, implantology and other medical applications. The methodology of graphene oxide (GO) deposition [...] Read more.
The article presents the results of structural, corrosion, microbiological, biological, and genotoxicity studies on the effect of graphene oxide deposited on a flat titanium foil surface, intended for use, in general, implantology and other medical applications. The methodology of graphene oxide (GO) deposition involved a surface cleaning process combined with RF plasma activation, followed by the application of a thin layer of dispersed aqueous GO suspension using a spin coater. The graphene oxide layer was uniformly deposited on the surface, which was confirmed by SEM imaging. Corrosion studies were carried out in an electrochemical cell filled with a buffered solution prepared to mimic the composition of physiological intracellular fluids. It was demonstrated that the deposition of graphene oxide on the titanium surface limited the access of electrolyte and oxygen. Surface activation and deposition of the aqueous graphene oxide suspension contributed to improved adhesion, condition, growth, and proliferation of fibroblast cell lines Hs 895.T and Hs 895.Sk. The inhibition zone analysis revealed a bacteriostatic effect against Pseudomonas aeruginosa and Staphylococcus aureus. Moreover, no genotoxicity changes were observed. Full article
(This article belongs to the Special Issue Biomedical Alloys: Corrosion Protection and New Coatings)
Show Figures

Figure 1

22 pages, 4709 KB  
Article
Exploring Anti-Neoplastic Activity of Chitosan Nanobubbles Decorated with ICOS-Fc and Loaded with Paclitaxel in a Human and Murine Model of Melanoma
by Deepika Pantham, Monica Argenziano, Foteini Christaki, Nausicaa Clemente, Chiara Colombo, Elisa Benetti, Stefania Pizzimenti, Umberto Dianzani, Ian Stoppa, Roberta Cavalli and Chiara Dianzani
Pharmaceutics 2025, 17(12), 1530; https://doi.org/10.3390/pharmaceutics17121530 - 28 Nov 2025
Viewed by 365
Abstract
Background: Paclitaxel (PTX) is an anti-neoplastic drug that inhibits not only melanoma cell proliferation but also migration and angiogenesis. ICOS-Fc is a recombinant molecule that triggers ICOS ligand (ICOSL) on tumor cells and cells of the tumor microenvironment and inhibits tumor growth, angiogenesis, [...] Read more.
Background: Paclitaxel (PTX) is an anti-neoplastic drug that inhibits not only melanoma cell proliferation but also migration and angiogenesis. ICOS-Fc is a recombinant molecule that triggers ICOS ligand (ICOSL) on tumor cells and cells of the tumor microenvironment and inhibits tumor growth, angiogenesis, and metastasis. This study investigated the effects of chitosan nanobubbles loaded with low doses of PTX and surface decorated with ICOS-Fc (ICOS-Fc-NB-PTX) in inhibiting in vitro and in vivo melanoma cell growth and invasiveness. Methods: Preparation and characterization of nanoformulations, as well as in vitro drug release studies, were carried out. Nanoformulations were studied both in vitro and in vivo. In melanoma cells, viability, migration, and invasion assays were analyzed. For the in vivo experiments, C57BL/6 Wild-type (WT) male mice were injected subcutaneously with D4M-3A cells, a murine melanoma cell line engineered to carry the BRAFV600E mutation. After treatments, in vivo tumor growth, proliferation, and angiogenesis markers were studied. Results: In vitro tests showed the great ability of ICOS-Fc-NB-PTX to inhibit cell viability, migration, and invasion. These results were confirmed in vivo, where the tumors of mice treated with ICOS-Fc-NB-PTX displayed decreased growth accompanied by downregulation of the proliferation marker Ki-67 and reduced development of CD31+ blood vessels. Conclusions: In conclusion, the ICOS-Fc-NB-PTX formulation deserves to be further analyzed as a highly effective combination for melanoma, exerting multifaceted anti-tumor activities. Full article
(This article belongs to the Section Drug Delivery and Controlled Release)
Show Figures

Graphical abstract

34 pages, 5784 KB  
Article
Linking Megalin, Cubilin, Caveolin-1, GIPC1 and Dab2IP Expression to Ocular Tumorigenesis: Profiles in Retinoblastoma, Choroidal Melanoma, and the Normal Human Eye
by Petra Kovačević, Petar Todorović, Nela Kelam, Suzana Konjevoda, Nenad Kunac, Josipa Marin Lovrić and Katarina Vukojević
Cancers 2025, 17(23), 3785; https://doi.org/10.3390/cancers17233785 - 26 Nov 2025
Viewed by 314
Abstract
Background/Objectives: Retinoblastoma (RB) and uveal melanoma (UM) remain vision-threatening and lethal ocular malignancies with limited molecular markers of differentiation state and prognosis. We investigated whether proteins governing endocytosis and signaling, including Megalin (LRP2), Cubilin (CUBN), Caveolin-1, GAIP-interacting protein C-terminus 1 (GIPC1), and [...] Read more.
Background/Objectives: Retinoblastoma (RB) and uveal melanoma (UM) remain vision-threatening and lethal ocular malignancies with limited molecular markers of differentiation state and prognosis. We investigated whether proteins governing endocytosis and signaling, including Megalin (LRP2), Cubilin (CUBN), Caveolin-1, GAIP-interacting protein C-terminus 1 (GIPC1), and Disabled homolog 2-interacting protein (DAB2IP), exhibit subtype-specific expression patterns in ocular tumors and whether these patterns are related to transcriptomic profiles and survival. Methods: Formalin-fixed, paraffin-embedded human ocular tissues included controls (n = 10), retinoblastoma (n = 10), and UM subtypes (epithelioid, spindle, mixoid; total n = 30). Immunofluorescence for LRP2, CUBN, CAV1, GIPC1, and DAB2IP was quantified using ImageJ (version 1.54g) across standardized high-power fields; per-specimen means were used for statistical analysis (Shapiro–Wilk test; one-way ANOVA with Tukey’s post hoc test). Public data analyses comprised: (i) overall survival in TCGA-UVM using GEPIA2; (ii) differential expression in GEO datasets (GSE62075: melanocytes vs. UM cell lines; GSE208143: retinoblastoma vs. pediatric control retina) and (iii) multivariate Cox proportional hazards regression analysis using the GEPIA3 online platform. Results: LRP2 expression was uniformly reduced across retinoblastoma and all UM subtypes versus control. CUBN expression decreased in retinoblastoma and epithelioid melanoma, was retained in spindle melanoma, and increased in mixoid-cell melanoma. CAV1 expression was increased in epithelioid melanoma but reduced in retinoblastoma, mixoid, and spindle melanomas. GIPC1 and DAB2IP expression were preserved in epithelioid melanoma yet significantly reduced in retinoblastoma and mixoid/spindle melanomas. In TCGA-UVM, higher CAV1 and GIPC1 mRNA expression was associated with worse overall survival (p ≈ 0.025 and 0.036), whereas LRP2, CUBN, and DAB2IP expression were not significant. GEO analyses revealed no significant differences for the five genes in UM cell lines versus melanocytes (GSE62075). However, in retinoblastoma (GSE208143), LRP2 was downregulated, while CUBN, CAV1, GIPC1, and DAB2IP were upregulated. Conclusions: Endocytic/signaling proteins exhibit distinct, subtype-linked expression in ocular tumors. Integration with public datasets highlights CAV1 and GIPC1 as adverse survival correlates in UM and positions LRP2/CUBN/DAB2IP dysregulation as features of ocular tumor biology, nominating candidate biomarkers and mechanistic targets. Full article
(This article belongs to the Special Issue Current Progress and Research Trends in Ocular Oncology—2nd Edition)
Show Figures

Figure 1

Back to TopTop