Sign in to use this feature.

Years

Between: -

Subjects

remove_circle_outline
remove_circle_outline
remove_circle_outline
remove_circle_outline
remove_circle_outline
remove_circle_outline
remove_circle_outline
remove_circle_outline
remove_circle_outline

Journals

remove_circle_outline
remove_circle_outline
remove_circle_outline
remove_circle_outline
remove_circle_outline
remove_circle_outline
remove_circle_outline
remove_circle_outline
remove_circle_outline
remove_circle_outline
remove_circle_outline
remove_circle_outline
remove_circle_outline
remove_circle_outline

Article Types

Countries / Regions

remove_circle_outline
remove_circle_outline
remove_circle_outline
remove_circle_outline
remove_circle_outline
remove_circle_outline
remove_circle_outline
remove_circle_outline

Search Results (1,299)

Search Parameters:
Keywords = hormonal exposure

Order results
Result details
Results per page
Select all
Export citation of selected articles as:
16 pages, 2188 KB  
Article
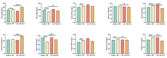
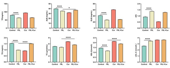
Curcumin Mitigates Fumonisin B1-Induced Ovarian Toxicity in Peak-Laying Ducks via Hormone Metabolic Protection and Enhanced Reproductive Resilience
by Lihua Wang, Rui Liang, Qingyun Cao, Zhiwei Hou, Ali Mujtaba Shah, Qiuyi Deng, Xue Li, Jinze Li, Jiaqing Chen, Lukuyu A. Bernard, Muhammad Kashif Saleemi, Lin Yang and Wence Wang
Toxins 2026, 18(1), 34; https://doi.org/10.3390/toxins18010034 - 9 Jan 2026
Abstract
The objective of this study was to evaluate the protective effect of curcumin (Cur) on reproductive toxicity induced by fumonisin B1 (FB1) in laying ducks during the peak egg-laying period. A total of seventy-two 50-week-old Cherry Valley ducks were randomly [...] Read more.
The objective of this study was to evaluate the protective effect of curcumin (Cur) on reproductive toxicity induced by fumonisin B1 (FB1) in laying ducks during the peak egg-laying period. A total of seventy-two 50-week-old Cherry Valley ducks were randomly assigned to four groups: control, FB1 (30 mg/kg), Cur (200 mg/kg), and Cur + FB1 (200 mg/kg + 30 mg/kg). The experiment lasted for 35 days. Our results showed that cur supplementation effectively restored the reductions in final body weight (p = 0.005) and oviduct length (p = 0.020) induced by FB1 exposure. Residual FB1 concentrations in serum, liver, and ovaries were markedly increased in the FB1-treated group, while Cur significantly decreased the FB1 residual in duck liver (p < 0.05). Meanwhile, Cur supplementation markedly counteracted the FB1-induced reductions in serum total protein, albumin, triglycerides, and high-density lipoprotein induced by FB1 exposure. Cur supplementation effectively regulated FB1-induced oxidative stress, inflammation, and endocrine disruption. Specifically, Cur lowered FB1-induced malondialdehyde levels (p < 0.010), attenuated interleukin-1β increase (p = 0.083), and reversed the reduction in immunoglobulin G levels. FB increased the levels of hormones associated with duck reproduction, including estradiol, follicle-stimulating hormone, and luteinizing hormone; in contrast, curcumin supplementation decreased the levels of these hormones (p < 0.010). Histopathological analysis revealed that Cur significantly alleviated the inflammation and necrosis in the liver, kidneys, ovaries, and oviducts induced by FB1. In conclusion, dietary Cur supplementation effectively alleviated FB1-induced reproductive toxicity in laying ducks by enhancing antioxidant capacity, improving lipid metabolism, and restoring hormonal homeostasis. Full article
Show Figures

Figure 1

29 pages, 1586 KB  
Review
Innovative Bio(Nano)Sensor Designs for Cortisol Stress Hormone Detection: A Continuous Progress
by Alexandra Nicolae-Maranciuc, Dan Chicea and Andreea Campu
Processes 2026, 14(2), 239; https://doi.org/10.3390/pr14020239 - 9 Jan 2026
Abstract
Nowadays, the population is subject to a lot of stress, being one of society’s most encountered problems affecting people all over the world. Being under a lot of stress for prolonged periods of time impacts the physical and mental health of individuals with [...] Read more.
Nowadays, the population is subject to a lot of stress, being one of society’s most encountered problems affecting people all over the world. Being under a lot of stress for prolonged periods of time impacts the physical and mental health of individuals with effects on society as an economic burden. Cortisol is one of the main indicators of stress. Long-term exposure to this stress hormone can lead to severe medical conditions such as heart disease, lung issues, obesity, anxiety, or depression. In this context, the current review aims to provide a comprehensive overview of the most recent advances made in the development of versatile and efficient cortisol devices and biosensors capable of monitoring the cortisol levels in biofluids. Lately, both non-plasmonic (polymer-based sensors, optical sensors, electrochemical sensors) and plasmonic sensors (mono- and multiple-metallic nanoparticles-based sensors) have shown great results in cortisol detection. The work focuses on the advantages, remaining restrictions, and limitations in the field of cortisol biosensors from solution-based immunosensors to wearable and Lab-on-Skin monitoring devices, providing a better understanding of the fulfilled requirements and persisting challenges in the accurate detection and monitoring of the cortisol stress hormone. Full article
(This article belongs to the Section Materials Processes)
64 pages, 3704 KB  
Review
Understanding the Secular Decline in Testosterone: Mechanisms, Consequences, and Clinical Perspectives
by Óscar Fraile-Martínez, Miguel A. Ortega and Cielo García-Montero
Int. J. Mol. Sci. 2026, 27(2), 692; https://doi.org/10.3390/ijms27020692 - 9 Jan 2026
Abstract
Testosterone is a key regulator of male and female physiology, influencing reproductive function, muscle and bone anabolism, metabolic homeostasis, and psychological well-being. Growing evidence indicates a secular, age-independent decline in testosterone levels across populations, a trend associated with reduced fertility, metabolic and cardiovascular [...] Read more.
Testosterone is a key regulator of male and female physiology, influencing reproductive function, muscle and bone anabolism, metabolic homeostasis, and psychological well-being. Growing evidence indicates a secular, age-independent decline in testosterone levels across populations, a trend associated with reduced fertility, metabolic and cardiovascular dysfunction, mood disturbances, and impaired quality of life. While aging and genetic factors play a role, a wide range of modifiable influences—including obesity, physical inactivity, unhealthy dietary patterns, chronic stress, poor sleep, and exposure to endocrine-disrupting chemicals or other environmental stressors—appear to contribute substantially to this phenomenon. This narrative review synthesizes the evidence on testosterone’s physiological significance, the causes and consequences of its secular decline, and evaluates potential interventions, emphasizing lifestyle and environmental strategies (physical activity, nutrition, weight management, sleep, stress reduction, sunlight exposure) as well as pharmacological and nutraceutical options. Overall, the contemporary testosterone decline represents a complex, multifactorial public health issue requiring integrated approaches to preserve hormonal and systemic health. Full article
(This article belongs to the Special Issue Molecular Research on Reproductive Physiology and Endocrinology)
24 pages, 823 KB  
Review
Maternal–Fetal Exposure to Oncoelements and Their Oxidative and Epigenetic Impact on Pregnancy Outcomes
by Joanna Grzesik-Gąsior, Agnieszka Bień, Katarzyna Zalewska, Michał Nieszporek, Katarzyna Witkowska and Anna Merklinger-Gruchała
Int. J. Mol. Sci. 2026, 27(2), 669; https://doi.org/10.3390/ijms27020669 - 9 Jan 2026
Abstract
The proper course of pregnancy and fetal development depends, among other factors, on maintaining adequate levels of micronutrients in the maternal body. This integrative, concept-driven narrative review summarizes the current state of knowledge on the impact of selected elements, referred to as oncoelements, [...] Read more.
The proper course of pregnancy and fetal development depends, among other factors, on maintaining adequate levels of micronutrients in the maternal body. This integrative, concept-driven narrative review summarizes the current state of knowledge on the impact of selected elements, referred to as oncoelements, on placental function and obstetric outcomes. These include both potentially protective elements (selenium, zinc, copper) and toxic metals (cadmium, lead, arsenic), which, in excess may disrupt oxidative, hormonal, and epigenetic homeostasis. Rather than providing a quantitative synthesis, the article is structured around a four-level conceptual model integrating molecular mechanisms, placental protection, clinical outcomes, and umbilical cord blood as a biomarker of prenatal exposure. Mechanisms of toxicity include oxidative stress, mitochondrial dysfunction, DNA damage, and altered gene expression. Given the observational nature of most studies, clinical recommendations remain cautious. Micronutrient assessment may be useful in selected high-risk groups, but requires further validation. In environmentally burdened regions, screening for toxic metals may be considered. Future research should clarify dose–response relationships, define threshold concentrations, and explore molecular biomarkers of exposure. Umbilical cord blood offers a promising matrix for assessing fetal exposure, although interpretation is limited by methodological variability and the lack of reference values. Full article
(This article belongs to the Special Issue Metals and Metal Ions in Human Health, Diseases, and Environment)
Show Figures

Figure 1

11 pages, 2125 KB  
Article
Thyroid Hormone T3 Induces DNA Damage Response in Breast Cancer Cells
by Sahar Movshovitz, Liat Anabel Sinberger, Keren Trabelsi, Amit Bar-on, Amir Sonnenblick, Mali Salmon-Divon and Tamar Listovsky
Int. J. Mol. Sci. 2026, 27(2), 668; https://doi.org/10.3390/ijms27020668 - 9 Jan 2026
Abstract
Thyroid hormones (THs) regulate metabolism, proliferation, and genomic stability. Clinical studies have linked levothyroxine therapy with higher Oncotype DX Recurrence Scores in breast cancer (BC), suggesting a potential effect of thyroid hormone signaling on genomic risk. Here, we investigated the impact of triiodothyronine [...] Read more.
Thyroid hormones (THs) regulate metabolism, proliferation, and genomic stability. Clinical studies have linked levothyroxine therapy with higher Oncotype DX Recurrence Scores in breast cancer (BC), suggesting a potential effect of thyroid hormone signaling on genomic risk. Here, we investigated the impact of triiodothyronine (T3) on DNA damage and repair pathways in estrogen receptor-positive T47D breast cancer and non-tumorigenic MCF10A cells. RNA sequencing revealed significant upregulation of RAD51 and enrichment of DNA repair pathways following 24 h T3 exposure. Consistently, T3 increased γH2AX and 53BP1 nuclear foci, indicating transient activation of the DNA damage response (DDR). These effects were transient, returning to baseline after 48 h, suggesting cellular adaptation. T3 also enhanced proliferation at 10 μM but inhibited growth at higher concentrations. Our findings indicate that acute exposure to T3 induces transient genomic stress, providing a potential mechanistic basis for the observed association between thyroid hormone therapy and increased BC recurrence risk. Full article
Show Figures

Graphical abstract

23 pages, 1843 KB  
Article
CRHR1 Gene Copy Number Variations, Chronic Viral Infections, and Age as Correlates of Cognitive Impairment in Adults After SARS-CoV-2 Infection
by Yekaterina Hovhannisyan, Hermine Yeritsyan, Hayk Harutyunyan, Allen Azizian and Konstantin Yenkoyan
Curr. Issues Mol. Biol. 2026, 48(1), 69; https://doi.org/10.3390/cimb48010069 - 8 Jan 2026
Abstract
Cognitive impairment is a frequent but heterogeneous consequence of SARS-CoV-2 infection, with objective cognitive deficits not always aligning with subjective cognitive complaints. Age, nutritional status, and stress-related biological pathways may contribute to this variability. The corticotropin-releasing hormone receptor 1 (CRHR1), a key regulator [...] Read more.
Cognitive impairment is a frequent but heterogeneous consequence of SARS-CoV-2 infection, with objective cognitive deficits not always aligning with subjective cognitive complaints. Age, nutritional status, and stress-related biological pathways may contribute to this variability. The corticotropin-releasing hormone receptor 1 (CRHR1), a key regulator of stress and neuroendocrine responses, represents a biologically plausible candidate for post-infection cognitive vulnerability. In this pilot case–control study, we investigated associations between CRHR1 copy number variations (CNVs), prior viral exposures, and cognitive outcomes in adults following SARS-CoV-2 infection. Objective cognitive performance was assessed using the Montreal Cognitive Assessment (MoCA) and RBANS, alongside evaluation of subjective cognitive complaints and depressive symptoms. Analyses accounted for age and circulating levels of vitamins B12, B9, and vitamin D. CRHR1 CNVs affecting specific exons (Exon 1 [210 nucleotides] and Exon 11) were associated with objective cognitive impairment, whereas subjective cognitive complaints were more closely related to depressive symptoms than measurable cognitive deficits. Associations with age and certain viral seropositivities (HSV-1, HSV-2, and Hepatitis A) were also observed with objective cognitive outcomes; however, these findings should be interpreted cautiously given their exploratory nature. This study highlights CRHR1 CNVs as potential modifiers of objectively measured post-COVID-19 cognitive impairment and underscores the importance of distinguishing subjective cognitive complaints from objective cognitive dysfunction, providing a framework for future mechanistic and longitudinal studies. Full article
(This article belongs to the Collection Bioinformatics Approaches to Biomedicine)
Show Figures

Figure 1

20 pages, 9329 KB  
Article
Age-Dependent Effects of Heavy Metals on the Hypothalamic–Pituitary–Testicular Axis-Related Hormones in Men
by Yayuan Mei, Yongfu Yan, Shenglan Ke, Weihui Su, Zhangjia Luo, Xiaobao Chen, Hui Xu, Weitao Su and Ang Li
Toxics 2026, 14(1), 55; https://doi.org/10.3390/toxics14010055 - 7 Jan 2026
Viewed by 90
Abstract
The effect of heavy metals on male hormonal regulation—particularly the hypothalamic–pituitary–testicular (HPT) axis—remains poorly characterized. We aim to investigate associations between heavy metal exposure and HPT axis-related hormones. We analyzed data, including male participants aged 3–80 years, from a nationally representative survey. Five [...] Read more.
The effect of heavy metals on male hormonal regulation—particularly the hypothalamic–pituitary–testicular (HPT) axis—remains poorly characterized. We aim to investigate associations between heavy metal exposure and HPT axis-related hormones. We analyzed data, including male participants aged 3–80 years, from a nationally representative survey. Five metals and twelve sex hormones were measured. We used multivariate linear regression and restricted cubic splines to assess associations and dose–response relationships. Mixture effects were quantified using quantile-based g computation. The modifying effects of vitamin D and folate were examined. The underlying mechanisms were explored through a narrative review and integrative bioinformatics analysis. A total of 6547 males were included. Metal exposure was predominantly associated with hormonal perturbations in adolescents and older adults. Specifically, metal mixture was associated with hormones in adolescent males [effect range: −5.10% (95% CI: −9.24, −0.76) to 18.12% (95% CI: 9.80, 27.07)] and older males [effect range: 3.17% (95% CI: 0.07, 6.37) to 10.94% (95% CI: 4.82, 17.43)]. Effect modifications were observed for vitamin D in children and adolescents, and for folate across all age groups. The PI3K-Akt signaling pathway was identified as a potential mechanism. Our findings provide novel insights into the association and potential pathway between heavy metals and male hormonal disturbance. Full article
(This article belongs to the Section Metals and Radioactive Substances)
Show Figures

Graphical abstract

15 pages, 2970 KB  
Article
Growth Inhibition, Mortality Induction, Adverse Impacts of Development, and Underlying Molecular Mechanisms of Thymol Against Spodoptera frugiperda
by Huiyin Hu, Huanqian Yao, Shuyin He, Xinyi Xie, Cuiting Liu, Veeran Sethuraman, Jingjing Zhang and Benshui Shu
Insects 2026, 17(1), 69; https://doi.org/10.3390/insects17010069 - 6 Jan 2026
Viewed by 187
Abstract
The global migratory pest, Spodoptera frugiperda, has garnered widespread attention due to the serious damage it inflicts on agricultural productivity, particularly in maize. Thymol is a phytochemical that exhibits functional diversification in plant defense, encompassing antibacterial activities and insect pest management. However, [...] Read more.
The global migratory pest, Spodoptera frugiperda, has garnered widespread attention due to the serious damage it inflicts on agricultural productivity, particularly in maize. Thymol is a phytochemical that exhibits functional diversification in plant defense, encompassing antibacterial activities and insect pest management. However, the impact of thymol on S. frugiperda is still undetermined. This study examined the growth inhibition and mortality induction in S. frugiperda larvae after thymol exposure. The detrimental effects of 2.0 and 4.0 mg/g thymol treatments on the growth and development of S. frugiperda were also examined. RNA-Seq was used to investigate the probable toxicological mechanism of thymol on S. frugiperda, resulting in the identification of 1754 and 1022 DEGs impacted by 2.0 and 4.0 mg/g thymol treatments, respectively. The DEGs associated with chitin metabolism and cuticle synthesis, hormone biosynthesis, and protein and fat digestion were subjected to additional analysis. Our findings demonstrate the efficacy of thymol in controlling S. frugiperda and lay the groundwork for understanding the molecular toxicological mechanisms of thymol on larvae. Full article
(This article belongs to the Special Issue Insects Ecology and Biological Control Applications)
Show Figures

Figure 1

13 pages, 575 KB  
Article
A Star-PEGylation Strategy to Improve Testosterone Pharmacokinetics
by Chae Bin Lee, Lukáš Tenora, Ruoning Zhang, Arina Ranjit, Mark C. Markowski, Barbara S. Slusher and Rana Rais
Molecules 2026, 31(1), 198; https://doi.org/10.3390/molecules31010198 - 5 Jan 2026
Viewed by 124
Abstract
Testosterone, an androgenic steroid hormone, regulates primary sexual characteristics and influences mood, cognition, social behavior, and sexual function. Deficiency, caused by factors such as aging and genetics, is linked to multiple disease conditions. However, current testosterone therapies are limited by extensive metabolism, poor [...] Read more.
Testosterone, an androgenic steroid hormone, regulates primary sexual characteristics and influences mood, cognition, social behavior, and sexual function. Deficiency, caused by factors such as aging and genetics, is linked to multiple disease conditions. However, current testosterone therapies are limited by extensive metabolism, poor solubility, and undesirable side effects. To address these limitations, we synthesized a four-armed star PEG-OH-linked testosterone (PEG-T). The in vitro release of testosterone from PEG-T was evaluated in buffer (pH 7.4) and mouse plasma. PEG-T was stable in the buffer, but released testosterone in plasma via esterase-mediated hydrolysis. Pharmacokinetics of testosterone and PEG-T were compared following intraperitoneal (IP) and subcutaneous (SC) administration. Following IP dosing, PEG-T exhibited a ~6-fold improvement in half-life compared to testosterone (1.18 h vs. 0.21 h), and a 54-fold increase in exposure (AUC0-t = 36.0 μM·h vs. 0.67 μM·h) at equimolar doses; furthermore, following SC dosing, PEG-T showed a 4-fold improvement in both half-life (3.57 h vs. 0.91 h) and plasma exposure (11.5 μM·h vs. 3.1 μM·h). Additionally, PEG-T showed lower liver and kidney to plasma ratios, which could potentially result in reduced hepatotoxicity and nephrotoxicity. Overall, PEG-T provides sustained release pharmacokinetics, representing a promising candidate for safer testosterone replacement therapy. Full article
(This article belongs to the Section Medicinal Chemistry)
Show Figures

Graphical abstract

15 pages, 502 KB  
Review
Linking Pesticide Exposure to Gestational Diabetes: Current Knowledge and Future Directions
by Christina Pagkaki, Panagiotis Tsikouras and Panagiotis Halvatsiotis
Physiologia 2026, 6(1), 4; https://doi.org/10.3390/physiologia6010004 - 5 Jan 2026
Viewed by 83
Abstract
Background: Gestational diabetes mellitus (GDM) is a frequent pregnancy pathology with poor maternal and fetal outcomes and risk of type 2 diabetes in later life. Despite known risk factors, such as obesity, age, and familial history, new data suggest that environmental exposure [...] Read more.
Background: Gestational diabetes mellitus (GDM) is a frequent pregnancy pathology with poor maternal and fetal outcomes and risk of type 2 diabetes in later life. Despite known risk factors, such as obesity, age, and familial history, new data suggest that environmental exposure to agents, such as pesticides, can play a role in the etiogenesis of GDM. Objective: The epidemiologic, experimental, and mechanistic evidence between pesticide exposure and GDM risk is summarized here, and we concentrate on recent research (2000–2025). Methods: We conducted a literature search in PubMed, Embase, and the Cochrane Library for studies published from January 2000 to December 2025 using combinations of the terms “fertilizers”, “herbicides”, and “pesticides” with “diabetes mellitus” and “gestational diabetes”. After deduplication, 12 unique studies met inclusion criteria for qualitative synthesis (GDM endpoint or pregnancy glycemia with pesticide exposure). Results: Occupational and agricultural exposure to pesticides during first pregnancy was determined to be associated with a significantly increased risk of GDM through various epidemiologic studies. New studies have implicated new classes of pesticides, including pyrethroids and neonicotinoids, with higher GDM risk with first-trimester exposure. Experimental studies suggest that pesticides provide potential endocrine-disrupting chemicals that can induce insulin resistance through disruption of hormonal signaling, oxidative stress, inflammation, β-cell toxicity, and epigenetic modifications. However, significant limitations exist. Most of the evidence is observational, measurement of exposure is often indirect, and confounding factors are difficult to exclude. Notably, low dietary and residential exposure is not well studied, and dose–response relationships are undefined. Conclusions: New data indicate that pesticide exposure during early pregnancy and occupational exposure may increase the risk of GDM. Prospective cohort studies using biomonitoring, chemical mixture exposure, and geographic variation in pesticide exposure should be the focus of future research. Due to potential public health implications, preventive strategies to ensure the quality of nutrition and to reduce maternal exposure to pesticides during pregnancy are rational. Full article
Show Figures

Figure 1

20 pages, 1584 KB  
Review
Plastic Particles and Female Fertility: Pathways, Toxicity, and Analytical Challenges
by Vanda Rísová, Lívia Gajdošová, Rami Saade, Olia El Hassoun Sečanská, Martin Kopáni and Štefan Polák
Microplastics 2026, 5(1), 3; https://doi.org/10.3390/microplastics5010003 - 1 Jan 2026
Viewed by 389
Abstract
Microplastics (MPs) and nanoplastics (NPs) are widespread environmental contaminants with documented impacts on human health, particularly on the female reproductive system. Defined as polymeric fragments smaller than 5 mm, MPs (typically ranging from 1 µm to 5 mm) and NPs (smaller than 1 [...] Read more.
Microplastics (MPs) and nanoplastics (NPs) are widespread environmental contaminants with documented impacts on human health, particularly on the female reproductive system. Defined as polymeric fragments smaller than 5 mm, MPs (typically ranging from 1 µm to 5 mm) and NPs (smaller than 1 µm, often <100 nm) originate either from primary sources—intentionally manufactured for specific industrial applications—or from secondary sources through physical, chemical, or biological degradation of macroplastics. Human exposure occurs via multiple routes, including ingestion, inhalation, dermal absorption, and iatrogenic introduction, with growing evidence that these particles can accumulate in the ovaries, oocytes, and placental tissue. Experimental studies in rodents demonstrate that MPs and NPs induce oxidative stress, trigger inflammatory responses, and promote granulosa cell apoptosis, ultimately diminishing ovarian reserve and impairing folliculogenesis. Clinical and pilot human studies have confirmed the presence of MPs in placentas, umbilical cord blood, and meconium, indicating exposure from the earliest stages of development. Moreover, MPs and NPs may disrupt the hypothalamic–pituitary–ovarian axis, contributing to endocrine dysregulation and hormonal imbalance. Analytical methods such as Fourier-transform infrared spectroscopy, Raman spectroscopy, and scanning electron microscopy enable detection of these particles in biological samples, although methodological standardization remains insufficient. This paper summarizes current evidence on the exposure pathways, toxicological effects, and reproductive consequences of MPs and NPs in women. It further highlights existing research gaps and evaluates available analytical approaches to support future studies and develop strategies aimed at mitigating their detrimental impact on women’s reproductive health and fertility. Full article
Show Figures

Figure 1

23 pages, 2932 KB  
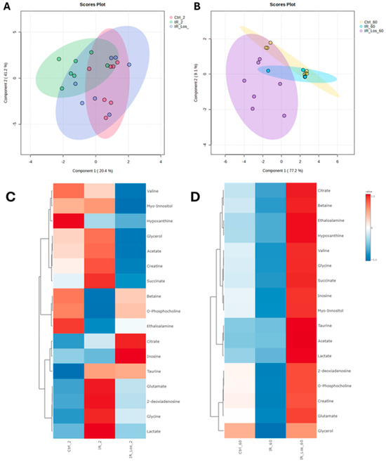
Article
Losartan Protects Against Radiation-Induced Testicular Damage by Modulating Oxidative Stress, Testosterone Levels, and Metabolic Profile
by Maria A. Spadella, Rúben J. Moreira, Patrícia C. Braga, Agnaldo B. Chies, Pedro F. Oliveira and Marco G. Alves
Pharmaceuticals 2026, 19(1), 76; https://doi.org/10.3390/ph19010076 - 30 Dec 2025
Viewed by 303
Abstract
Background/Objectives: Testicular dysfunction is a side effect of radiotherapy due to off-target damage. Germ cells are highly vulnerable. Although Sertoli and Leydig cells are more resistant, they are still affected, impairing spermatogenesis and steroidogenesis. With rising youth cancer rates, strategies to preserve fertility [...] Read more.
Background/Objectives: Testicular dysfunction is a side effect of radiotherapy due to off-target damage. Germ cells are highly vulnerable. Although Sertoli and Leydig cells are more resistant, they are still affected, impairing spermatogenesis and steroidogenesis. With rising youth cancer rates, strategies to preserve fertility are crucial. Losartan (LOS) has potential to mitigate this damage. This work aimed to determine acute and late effects of radiotherapy in testicular metabolism and if LOS mitigates those effects. Methods: Male Wistar rats (n = 47, 12 weeks old) received 2.5 Gy of ionizing radiation to the scrotum (1.05 Gy/min). LOS-treated rats received 34 mg/kg twice daily before, during and after irradiation. Animals were euthanized at 2 and 60 days post-exposure, to represent acute and late effects, respectively. Reproductive organs were weighed, serum hormones assessed (ELISA), testicular mRNA expression quantified (qPCR) and oxidative stress markers, such as lipid peroxidation, protein carbonylation, and protein nitration measured (slot-blot). Metabolomic profiles were obtained via 1H-NMR. Results: Acute irradiation reduced seminal vesicle weight, increased FSH, and decreased sperm concentration. Late effects included reduced testicular and epididymal weight, impaired sperm quality, increased protein carbonylation, and altered metabolic profiles. LOS mitigated acute weight loss but not sperm decline. Long-term, LOS improved sperm quality, reduced oxidative stress, and promoted adaptive metabolic responses. Conclusions: Irradiation-based cancer therapy causes structural and functional testicular damage and changes the testicular metabolome of rats, while LOS has the potential to be used as a radioprotector to mitigate the adverse acute and late effects of radiation on male fertility. Full article
Show Figures

Graphical abstract

14 pages, 572 KB  
Article
Postnatal Changes of Renin and Aldosterone in Term and Preterm Infants from Birth to Day 5
by Yukihito Imagawa, Yu Masuda, Yuki Nakata, Kentaro Fujitani, Aine Takahashi, Keisuke Shirai, Takumi Kido, Mariko Ashina, Kenji Tanimura, Kandai Nozu and Kazumichi Fujioka
Biomedicines 2026, 14(1), 64; https://doi.org/10.3390/biomedicines14010064 - 27 Dec 2025
Viewed by 294
Abstract
Background/Objectives: The renin–angiotensin–aldosterone system (RAAS) is pivotal for neonatal circulation and renal adaptation; however, postnatal changes in serum renin and aldosterone immediately after birth remain unclear. This study aimed to establish postnatal changes in these hormones at birth and over the first [...] Read more.
Background/Objectives: The renin–angiotensin–aldosterone system (RAAS) is pivotal for neonatal circulation and renal adaptation; however, postnatal changes in serum renin and aldosterone immediately after birth remain unclear. This study aimed to establish postnatal changes in these hormones at birth and over the first week of life. Methods: We retrospectively analyzed 374 neonates admitted to Kobe University Hospital between October 2020 and September 2023, with serum renin and aldosterone measured on days 0 and 5 of life. Exclusion criteria were multiple congenital anomalies, severe asphyxia, major peripartum hemorrhage, and in utero exposure to angiotensin-converting enzyme inhibitors or angiotensin II receptor blockers. Hormone levels were compared between term and preterm infants, and correlations with gestational age were assessed. Results: Serum renin concentrations were higher on day 0 than on day 5 (median 99.9 pg/mL [2.6–773.3] vs. 19.9 pg/mL [0.6–2304], p < 0.0001), and aldosterone concentrations similarly decreased (714 pg/mL [6.9–6334] vs. 551 pg/mL [0–11,930], p < 0.0001). At birth, renin and aldosterone levels did not differ significantly between groups. By day 5, both renin (32.8 pg/mL [0.6–2304] vs. 14.5 pg/mL [0.6–208]) and aldosterone (689 pg/mL [4–11,930] vs. 471 pg/mL [13–4697]) concentrations were significantly higher in preterm than in term neonates (p < 0.0001). Conclusions: This study describes early postnatal changes in renin and aldosterone, with higher concentrations at birth than on day 5 and persistently elevated levels in preterm infants. These findings indicate increased RAAS activity in preterm neonates and suggest a greater vulnerability to fluid, electrolyte, and blood pressure instability during early life. Full article
(This article belongs to the Special Issue State-of-the-Art Neonatal Medicine in Japan)
Show Figures

Figure 1

12 pages, 441 KB  
Article
Impact of LHRHa Therapy on Relationship Dynamics and Sexual Coercion in Premenopausal Breast Cancer Patients: A Multicenter Cross-Sectional Study
by Mustafa Ersoy and Canan Kaş
Healthcare 2026, 14(1), 68; https://doi.org/10.3390/healthcare14010068 - 26 Dec 2025
Viewed by 173
Abstract
Background/Objectives: Luteinizing hormone-releasing hormone agonists (LHRHa) are widely used to induce ovarian suppression in premenopausal women with hormone receptor-positive breast cancer. Although effective, abrupt medical menopause may negatively affect sexual health and intimate partner interactions. Sexual coercion—ranging from manipulation to explicit pressure—remains [...] Read more.
Background/Objectives: Luteinizing hormone-releasing hormone agonists (LHRHa) are widely used to induce ovarian suppression in premenopausal women with hormone receptor-positive breast cancer. Although effective, abrupt medical menopause may negatively affect sexual health and intimate partner interactions. Sexual coercion—ranging from manipulation to explicit pressure—remains an underrecognized psychosocial burden in oncology. This multicenter study aimed to evaluate the association between LHRHa therapy and sexual coercion, including relational dynamics measured through the Sexual Coercion in Intimate Relationships Scale (SCIRS). Methods: This cross-sectional study included 81 premenopausal breast cancer patients receiving endocrine therapy at three tertiary centers in Türkiye. Participants were categorized into tamoxifen monotherapy users (n = 39) and LHRHa users (n = 42). Sexual coercion was assessed using the validated Turkish SCIRS, which includes Resource Manipulation/Violence, Defection Threat, and Commitment Manipulation domains. Mann–Whitney U, Kruskal–Wallis, and ANCOVA analyses were performed, adjusting for age, treatment duration, surgery type, chemotherapy, radiotherapy, and education level. The study was ethically approved (2023-KAEK-148) and prospectively registered (NCT06840847). Results: LHRHa users demonstrated significantly higher SCIRS scores across all domains compared with non-users (RM/V: p = 0.039; DT: p = 0.001; CM: p < 0.001; Total: p = 0.004). ANCOVA confirmed LHRHa therapy as an independent predictor after adjusting for covariates (p = 0.001–0.006). The largest effect was observed in the Commitment Manipulation domain (partial η2 = 0.177). Younger patients (≤ 36 years) reported significantly greater coercion exposure across all domains (p = 0.018–0.042). Conclusions: LHRHa therapy is associated with increased sexual coercion and strained relational dynamics in premenopausal breast cancer patients, particularly among younger women. These findings emphasize the need for routine sexual health assessment, confidential psychosocial screening, and age-sensitive supportive interventions in endocrine therapy management. Full article
(This article belongs to the Section Mental Health and Psychosocial Well-being)
Show Figures

Figure 1

16 pages, 1153 KB  
Systematic Review
Glyphosate as an Emerging Environmental Pollutant and Its Effects on Breast Cancer Cell Proliferation: A Systematic Literature Review of Preclinical Evidence
by Mario A. Alcalá-Pérez, Gustavo A. Hernández-Fuentes, Idalia Garza-Veloz, Uriel Diaz-Llerenas, Margarita L. Martinez-Fierro, José Guzmán-Esquivel, Fabian Rojas-Larios, Ángel A. Ramos-Organillo, Kayim Pineda-Urbina, José M. Flores-Álvarez, Juan P. Mojica-Sánchez, Jorge A. Cárdenas-Magaña, Cesar A. Villa-Martínez and Iván Delgado-Enciso
Toxics 2026, 14(1), 26; https://doi.org/10.3390/toxics14010026 - 26 Dec 2025
Viewed by 538
Abstract
The widespread use of glyphosate-based herbicides (GBHs) has raised concerns about their potential role in hormone-sensitive cancers such as breast cancer. This systematic review aimed to evaluate preclinical evidence on the effects of glyphosate (pure compound) or glyphosate-based herbicide formulations (GBHs) exposure on [...] Read more.
The widespread use of glyphosate-based herbicides (GBHs) has raised concerns about their potential role in hormone-sensitive cancers such as breast cancer. This systematic review aimed to evaluate preclinical evidence on the effects of glyphosate (pure compound) or glyphosate-based herbicide formulations (GBHs) exposure on breast cancer cell proliferation and related molecular pathways. A structured search was conducted across PubMed, ScienceDirect, and Springer Nature Link, Web of Science databases, covering studies published up to 9 November 2025, following a PROSPERO-registered protocol (ID: CRD42021238350). Eligible studies included original in vitro and in vivo preclinical research using human breast cancer cell lines (e.g., MCF-7, T47D, MDA-MB-231, MCF-12A, and MCF-10A) or relevant animal models. Outcomes assessed included cell viability, proliferation, tumor growth, apoptosis, cell cycle regulation, and molecular markers associated with endocrine signaling. Two reviewers independently screened and extracted data, resolving disagreements via discussion or third-party adjudication. From an initial pool of 699 articles, seven in vitro studies met the inclusion and quality criteria. Glyphosate exposure demonstrated weak estrogenic activity in ER-positive breast cancer cells, primarily via ERα modulation and altered gene expression related to proliferation and DNA repair. GBHs showed greater cytotoxic and epigenetic effects in non-tumorigenic cells, often independent of ER signaling. No included study employed in vivo breast cancer models. Overall, preclinical evidence suggests glyphosate may act as a weak endocrine disruptor under specific conditions, but findings are limited by the short-term in vitro designs, heterogeneous methodologies, and lack of chronic or in vivo data. Further research using long-term exposure and animal models is needed to clarify potential risks and inform regulatory and public health decisions. Full article
(This article belongs to the Special Issue Emerging Environmental Pollutants and Their Impact on Human Health)
Show Figures

Graphical abstract

Back to TopTop