Sign in to use this feature.

Years

Between: -

Subjects

remove_circle_outline
remove_circle_outline
remove_circle_outline
remove_circle_outline
remove_circle_outline
remove_circle_outline
remove_circle_outline
remove_circle_outline
remove_circle_outline

Journals

Article Types

Countries / Regions

Search Results (34)

Search Parameters:
Keywords = high-damping building materials

Order results
Result details
Results per page
Select all
Export citation of selected articles as:
21 pages, 8543 KB  
Article
Damping and Microstructure of Graphene/Carbon Nanotube-Modified Cement Composites
by Bin Liu, Jiyang Wang, Zheng Wei, Yu Peng and Jingwei Wu
Buildings 2025, 15(18), 3317; https://doi.org/10.3390/buildings15183317 - 13 Sep 2025
Viewed by 561
Abstract
The development of lightweight, high-damping building materials is critical for enhancing the seismic resilience of civil infrastructure. This study introduces a novel approach to synergistically improve the damping and mechanical properties of cementitious composites by incorporating one-dimensional carbon nanotubes (CNTs) or two-dimensional graphene [...] Read more.
The development of lightweight, high-damping building materials is critical for enhancing the seismic resilience of civil infrastructure. This study introduces a novel approach to synergistically improve the damping and mechanical properties of cementitious composites by incorporating one-dimensional carbon nanotubes (CNTs) or two-dimensional graphene nanoplatelets (GNPs). The novelty lies in (1) a direct comparison of 1D versus 2D carbon nanomaterials efficacy within a vibration-relevant frequency range (0.5–2 Hz); (2) the use of the Ca(OH)2 orientation index, derived from X-ray diffraction (XRD), to link microstructural texturing with macroscopic dynamic performance; and (3) establishing clear mechanistic link between carbon nanomaterials dispersion, pore structure evolution, and the resultant balance between stiffness and damping. Dynamic mechanical analysis identified an optimal dosage of 0.1% by weight for both nanomaterials. Comprehensive microstructural characterization (SEM, MIP, XRD, TGA/DTG) revealed that the carbon nanomaterials act as nucleation sites, promoting cement hydration and refining the pore structure. This structural enhancement concurrently improved mechanical strength and energy dissipation capacity. The primary damping mechanism was identified as interfacial friction and slippage at the nanofiller–matrix interface. These findings provide fundamental insights for the rational design of high-performance cementitious composites and offer an evidence-based pathway for creating advanced seismic-resistant materials. Full article
(This article belongs to the Section Building Materials, and Repair & Renovation)
Show Figures

Figure 1

29 pages, 4726 KB  
Article
Adaptive Pendulum-Tuned Mass Damper Based on Adjustable-Length Cable for Skyscraper Vibration Control
by Krzysztof Twardoch, Kacper Górski, Rafał Kwiatkowski, Kamil Jaśkielewicz and Bogumił Chiliński
Sustainability 2025, 17(14), 6301; https://doi.org/10.3390/su17146301 - 9 Jul 2025
Cited by 1 | Viewed by 1956
Abstract
The dynamic control of vibrations in skyscrapers is a critical consideration in sustainable building design, particularly in response to environmental excitations such as wind impact or seismic activity. Effective vibration neutralisation plays a crucial role in providing the safety of high-rise buildings. This [...] Read more.
The dynamic control of vibrations in skyscrapers is a critical consideration in sustainable building design, particularly in response to environmental excitations such as wind impact or seismic activity. Effective vibration neutralisation plays a crucial role in providing the safety of high-rise buildings. This research introduces an innovative concept for an active vibration damper that operates based on fluid dynamic transport to adaptively alter a skyscraper’s natural frequency, thereby counteracting resonant vibrations. A distinctive feature of this system is an adjustable-length cable mechanism, allowing for the dynamic modification of the pendulum’s effective length in real time. The structure, based on cable length adjustment, enables the PTMD to precisely tune its natural frequency to variable excitation conditions, thereby improving damping during transient or resonance phenomena of the building’s dynamic behaviour. A comprehensive mathematical model based on Lagrangian mechanics outlines the governing equations for this system, capturing the interactions between pendulum motion, fluid flow, and the damping forces necessary to maintain stability. Simulation analyses examine the role of initial excitation frequency and variable damping coefficients, revealing critical insights into optimal damper performance under varied structural conditions. The findings indicate that the proposed pendulum damper effectively mitigates resonance risks, paving the way for sustainable skyscraper design through enhanced structural adaptability and resilience. This adaptive PTMD, featuring an adjustable-length cable, provides a solution for creating safe and energy-efficient skyscraper designs, aligning with sustainable architectural practices and advancing future trends in vibration management technology. The study presented in this article supports the development of modern skyscraper design, with a focus on dynamic vibration control for sustainability and structural safety. It combines advanced numerical modelling, data-driven control algorithms, and experimental validation. From a sustainability perspective, the proposed PTMD system reduces the need for oversized structural components by providing adaptive, efficient damping, thereby lowering material consumption and embedded carbon. Through dynamically retuning structural stiffness and mass, the proposed PTMD enhances resilience and energy efficiency in skyscrapers, lowers lifetime energy use associated with passive damping devices, and enhances occupant comfort. This aligns with global sustainability objectives and new-generation building standards. Full article
Show Figures

Figure 1

22 pages, 7285 KB  
Article
Effect of 3D Printing Parameters on the Viscoelastic Behavior of Acrylonitrile Butadiene Styrene: Fractional Calculus Modeling and Statistical Optimization
by Flor Y. Rentería-Baltiérrez, Jesús G. Puente-Córdova, Juan M. Hernández-Ramos, Arlethe Y. Aguilar-Villarreal and Nasser Mohamed-Noriega
Polymers 2025, 17(12), 1650; https://doi.org/10.3390/polym17121650 - 13 Jun 2025
Viewed by 900
Abstract
This study addresses the challenge of optimizing the viscoelastic performance of acrylonitrile butadiene styrene (ABS) parts manufactured by fused deposition modeling (FDM), where printing parameters strongly influence mechanical properties. The objective was to systematically evaluate the effects of four key factors—infill pattern, build [...] Read more.
This study addresses the challenge of optimizing the viscoelastic performance of acrylonitrile butadiene styrene (ABS) parts manufactured by fused deposition modeling (FDM), where printing parameters strongly influence mechanical properties. The objective was to systematically evaluate the effects of four key factors—infill pattern, build orientation, layer height, and filament color—on storage modulus, damping factor, and glass transition temperature. A combined experimental design approach was employed: Taguchi’s L9 orthogonal array efficiently screened parameter effects, while response surface methodology (RSM) enabled detailed analysis of interaction effects and multiresponse optimization. Results revealed that build orientation and layer height had the greatest impact, increasing instantaneous stiffness (Eu) by up to 81%, equilibrium modulus (E0) by 128%, and glass transition temperature (Tg) by 1.46%, while decreasing the damping factor (tan δ) by 3.4% between optimized and suboptimal conditions. To complement the statistical optimization, the fractional Zener model (FZM) was applied to characterize the viscoelastic response of two representative samples optimized for either high stiffness or high flexibility. The flexible sample exhibited a higher fractional order (α=0.24), indicating enhanced elastic mobility, while the stiff sample showed a higher activation energy (Ea=0.52 eV), consistent with restricted molecular motion. This integrated approach provides a robust and generalizable framework for improving material performance in polymer additive manufacturing. Full article
(This article belongs to the Section Polymer Processing and Engineering)
Show Figures

Figure 1

18 pages, 8791 KB  
Article
Seismic Response Analysis of a Conceptual Hollow Concrete Gravity Dam Containing Saturated Sandy Soil
by Fuyou Zhang, Yuchen Wei, Yun Song and Yumeng Zhao
Appl. Sci. 2025, 15(3), 1439; https://doi.org/10.3390/app15031439 - 30 Jan 2025
Viewed by 1317
Abstract
Seismic isolation and damping technologies, though extensively used in buildings, are less common in large hydraulic structures, underscoring the importance of researching seismic mitigation methods for these constructions. This research first establishes that saturated sandy soil can act as a damping material through [...] Read more.
Seismic isolation and damping technologies, though extensively used in buildings, are less common in large hydraulic structures, underscoring the importance of researching seismic mitigation methods for these constructions. This research first establishes that saturated sandy soil can act as a damping material through experimental and theoretical analysis. Subsequently, a novel hollow concrete gravity dam containing saturated sandy soil is proposed, utilizing the EOS (equation of state) subroutine for viscous fluids to model the liquefied sand. The findings indicate that the new-type dam exhibits a reduction in displacement of approximately 20% along the flow direction under an 8-degree seismic event compared to conventional gravity dams. This decrease correlates inversely with the characteristic wave speed of the saturated sandy soil, while the energy dissipation capacity of the saturated sandy soil is directly proportional to the soil layer’s thickness. Finally, a small-scale shaking table test revealed that saturated sandy soil effectively reduces displacement and acceleration at the dam crest. These findings were corroborated by numerical simulations, which further substantiated the reliability of both the experimental and simulated data. Utilizing saturated sandy soil for energy dissipation and seismic damping in dams offers cost benefits, high durability, and significant effectiveness, representing a promising direction for the advancement of seismic mitigation in concrete gravity dams. Full article
(This article belongs to the Special Issue Structural Health Monitoring for Concrete Dam)
Show Figures

Figure 1

14 pages, 3498 KB  
Article
An OpenSees Surrogate Constitutive Model for High-Damping Rubber Based on Machine Learning
by Feng Li and Tianbo Peng
Polymers 2024, 16(23), 3424; https://doi.org/10.3390/polym16233424 - 5 Dec 2024
Cited by 1 | Viewed by 1692
Abstract
The complex mechanical properties of high-damping rubber (HDR), a commonly used seismic isolation material in buildings and bridges, present a significant challenge in civil engineering. In a previous study, the authors proposed an HDR constitutive model that combines a Gated Recurrent Unit (GRU) [...] Read more.
The complex mechanical properties of high-damping rubber (HDR), a commonly used seismic isolation material in buildings and bridges, present a significant challenge in civil engineering. In a previous study, the authors proposed an HDR constitutive model that combines a Gated Recurrent Unit (GRU) and an attention mechanism, offering novel insights into the mechanical properties of HDR. The constitutive model was simplified first to facilitate the deployment of the proposed constitutive model within the finite element analysis environment. Then, the simplified constitutive model was converted into a uniaxial material format suitable for use within the open system for earthquake engineering simulation (OpenSees). In OpenSees, the uniaxial material was named HDRGA material, and the code for the HDRGA material header and source files was written. Finally, an HDR surrogate constitutive model was developed in OpenSees. To validate the precision of the HDRGA material in characterizing the mechanical attributes of HDR, a two-node model and a single-pier model were devised, and their accuracy was verified through a comparative analysis of test results and nonlinear time history calculation results, respectively. The results demonstrate that the developed HDRGA material is capable of performing well under earthquakes. Full article
(This article belongs to the Special Issue Advances in Functional Rubber and Elastomer Composites II)
Show Figures

Figure 1

17 pages, 949 KB  
Review
Polymer Concretes Based on Various Resins: Modern Research and Modeling of Mechanical Properties
by Aleksandr Palamarchuk, Pavel Yudaev and Evgeniy Chistyakov
J. Compos. Sci. 2024, 8(12), 503; https://doi.org/10.3390/jcs8120503 - 2 Dec 2024
Cited by 15 | Viewed by 3305
Abstract
This review is devoted to experimental studies and modeling in the field of mechanical and physical properties of polymer concretes and polymer-modified concretes. The review analyzes studies carried out over the past two years. The paper examines the properties of polymer concretes based [...] Read more.
This review is devoted to experimental studies and modeling in the field of mechanical and physical properties of polymer concretes and polymer-modified concretes. The review analyzes studies carried out over the past two years. The paper examines the properties of polymer concretes based on various polymer resins and presents the advantages and disadvantages of various models developed to predict the mechanical properties of materials. Based on data in the literature, the most promising polymers for use in the field of road surface repair are polymer concretes with poly(meth)acrylic resins. It was found that the most adequate and productive models are the deep machine learning model—using several hidden layers that perform calculations based on input parameters—and the extreme gradient boosting model. In particular, the extreme gradient boosting model showed high R2 values in forecasting (in the range of 0.916–0.981) when predicting damping coefficient and ultimate compressive strength. In turn, among the additives to Portland cement concrete, the most promising are natural polymers, such as mammalian gelatin and cold fish gelatin, and superabsorbent polymers. These additives allow for an improvement in compressive strength of 200% or more. The review may be of interest to engineers specializing in building construction, materials scientists involved in the development and implementation of new materials into production, as well as researchers in the interdisciplinary fields of chemistry and technology. Full article
(This article belongs to the Special Issue Research on Sustainable Cement-Based Composites)
Show Figures

Figure 1

27 pages, 7914 KB  
Article
Development of a Matrix for Seismic Isolators Using Recycled Rubber from Vehicle Tires
by Alex Oswaldo Meza-Muñoz, Faider Sebastian Rivas-Ordoñez, Ingrid Elizabeth Madera-Sierra, Manuel Alejandro Rojas-Manzano, Edwin Dielmig Patino-Reyes, Manuel Iván Salmerón-Becerra and Shirley J. Dyke
Polymers 2024, 16(21), 2977; https://doi.org/10.3390/polym16212977 - 24 Oct 2024
Cited by 4 | Viewed by 2788
Abstract
Over recent decades, numerous strong earthquakes have caused widespread devastation, including citywide destruction, significant loss of life, and severe structural damage. Seismic base isolation is a well-established method for mitigating earthquake-induced risks in buildings; however, its high cost often limits its implementation in [...] Read more.
Over recent decades, numerous strong earthquakes have caused widespread devastation, including citywide destruction, significant loss of life, and severe structural damage. Seismic base isolation is a well-established method for mitigating earthquake-induced risks in buildings; however, its high cost often limits its implementation in developing countries. Simultaneously, the global rise in vehicle numbers has led to the accumulation of discarded tires, intensifying environmental challenges. In response to these issues, this study investigates the development of a seismic isolator matrix using recycled rubber from vehicle tires, proposed as a sustainable and cost-effective alternative. Ten recycled rubber matrices were experimentally evaluated for their physical and mechanical properties. The matrix with optimal granulometry and binder content, demonstrating superior performance, was identified. This optimized matrix underwent further validation through compression and cyclic shear tests on reduced-scale prototypes of fiber-reinforced isolators, which included five prototype designs, two of which featured flexible reinforcement. The best-performing prototype comprised a recycled rubber matrix with 15% binder and glass fiber, exhibiting vertical stiffness and damping characteristics superior to those of natural rubber. Specifically, this prototype achieved a damping ratio of up to 22%, surpassing the 10% minimum required for seismic isolation, along with a vertical stiffness of 45 kN/mm, critical for withstanding the vertical loads transferred by buildings. These findings suggest that the recycled tire rubber matrix, when combined with glass fiber, is a viable material for the production of seismic isolators. This combination utilizes discarded materials, contributing to environmental sustainability. Full article
(This article belongs to the Special Issue Sustainable Polymeric Materials in Building and Construction)
Show Figures

Figure 1

26 pages, 7612 KB  
Review
Progress in Seismic Isolation Technology Research in Soft Soil Sites: A Review
by Xinqiang Yao and Bin Wu
Buildings 2024, 14(10), 3198; https://doi.org/10.3390/buildings14103198 - 8 Oct 2024
Cited by 4 | Viewed by 3094
Abstract
Soft soil sites can amplify the peak acceleration by a factor of 1.5 to 3.5 and exhibit the filtering effect on seismic waves. This effect results in the attenuation of high frequencies, amplification of low frequencies, and extension of the predominant period of [...] Read more.
Soft soil sites can amplify the peak acceleration by a factor of 1.5 to 3.5 and exhibit the filtering effect on seismic waves. This effect results in the attenuation of high frequencies, amplification of low frequencies, and extension of the predominant period of ground motion. Consequently, soft soil sites have a more pronounced impact on isolation buildings constructed on them. The seismic isolation structure design typically involves assuming rigid foundation for calculations. However, the soil properties can significantly impact the dynamic response of the structure, affecting factors such as input ground motion, changes in vibration characteristics, radiation energy dissipation, and material damping energy dissipation. Therefore, neglecting these influences and relying solely on the rigid foundation assumption for calculations can lead to significant errors in the final seismic response analysis of the structure. Currently, there are numerous LNG storage tanks, museums, and other isolation buildings constructed on soft soil sites. Therefore, research on seismic isolation measures for soft soil sites holds significant practical importance. In light of this, this paper, firstly, provides a systematic summary of seismic isolation strategies and engineering applications for soft soil sites. Secondly, it further discusses advancements in research on the dynamic interactions of soil–isolated structures, covering analytical methods, numerical investigations, and experimental studies on soft soil sites. Lastly, the paper concludes with insights on current research progress and prospects for further studies. Full article
(This article belongs to the Section Building Structures)
Show Figures

Figure 1

26 pages, 20942 KB  
Article
Aerodynamic Noise Simulation of a Super-High-Rise Building Facade with Shark-Like Grooved Skin
by Xueqiang Wang, Guangcai Wen and Yangyang Wei
Biomimetics 2024, 9(9), 570; https://doi.org/10.3390/biomimetics9090570 - 19 Sep 2024
Cited by 2 | Viewed by 2406
Abstract
The wind-driven aerodynamic noise of super-high-rise building facades not only affects the experience of use inside the building but also reduces the life cycle of building facade materials to some extent. In this paper, we are inspired by the micro-groove structure of shark [...] Read more.
The wind-driven aerodynamic noise of super-high-rise building facades not only affects the experience of use inside the building but also reduces the life cycle of building facade materials to some extent. In this paper, we are inspired by the micro-groove structure of shark skin with damping and noise reduction properties and apply bionic skin to reduce the aerodynamic noise impact of super-high-rise buildings. The aerodynamic noise performance of smooth and super-high-rise building models with bionic grooves is simulated via CFD to investigate the noise reduction performance of different bionic groove patterns, such as I-shape, ∪-shape, V-shape, and ∩-shape patterns, and their corresponding acoustic noise reduction mechanisms. This study showed that the bionic shark groove skin has a certain noise reduction effect, and the I-shaped groove has the best noise reduction effect. By applying bionic skin, the aerodynamic noise of super-high-rise buildings can be effectively reduced to improve the use experience and environmental quality of the buildings and provide a new research idea and application direction for the aerodynamic noise reduction design of building facades. Full article
(This article belongs to the Special Issue The Latest Progress in Bionics Research)
Show Figures

Graphical abstract

21 pages, 6203 KB  
Article
Novel Multi-Vibration Resonator with Wide Low-Frequency Bandgap for Rayleigh Waves Attenuation
by Hui Jiang, Chunfeng Zhao, Yingjie Chen and Jian Liu
Buildings 2024, 14(9), 2591; https://doi.org/10.3390/buildings14092591 - 23 Aug 2024
Viewed by 1405
Abstract
Rayleigh waves are vertically elliptical surface waves traveling along the ground surface, which have been demonstrated to pose potential damage to buildings. However, traditional seismic barriers have limitations of high-frequency narrow bandgap or larger volume, which have constraints on the application in practical [...] Read more.
Rayleigh waves are vertically elliptical surface waves traveling along the ground surface, which have been demonstrated to pose potential damage to buildings. However, traditional seismic barriers have limitations of high-frequency narrow bandgap or larger volume, which have constraints on the application in practical infrastructures. Thus, a new type seismic metamaterial needs to be further investigated to generate wide low-frequency bandgaps. Firstly, a resonator with a three-vibrator is proposed to effectively attenuate the Rayleigh waves. The attenuation characteristics of the resonator are investigated through theoretical and finite element methods, respectively. The theoretical formulas of the three-vibrator resonator are established based on the local resonance and mass-spring theories, which can generate wide low-frequency bandgaps. Subsequently, the frequency bandgaps of the resonator are calculated by the finite element software COMSOL5.6 based on the theoretical model and Floquet–Bloch theory with a wide ultra-low-frequency bandgap in 4.68–22.01 Hz. Finally, the transmission spectrum and time history analysis are used to analyze the influences of soil and material damping on the attenuation effect of resonators. The results indicate that the resonator can generate wide low-frequency bandgaps from 4.68 Hz to 22.01 Hz and the 10-cycle resonators could effectively attenuate Raleigh waves. Furthermore, the soil damping can effectively attenuate seismic waves in a band from 1.96 Hz to 20 Hz, whereas the material of the resonator has little effect on the propagation of the seismic waves. These results show that this resonator can be used to mitigate Rayleigh waves and provide a reference for the design of surface waves barrier structures. Full article
(This article belongs to the Section Building Energy, Physics, Environment, and Systems)
Show Figures

Figure 1

27 pages, 17962 KB  
Article
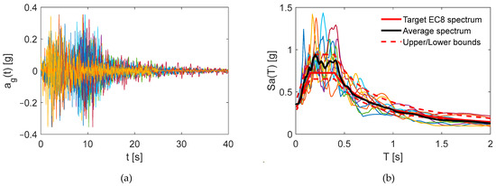
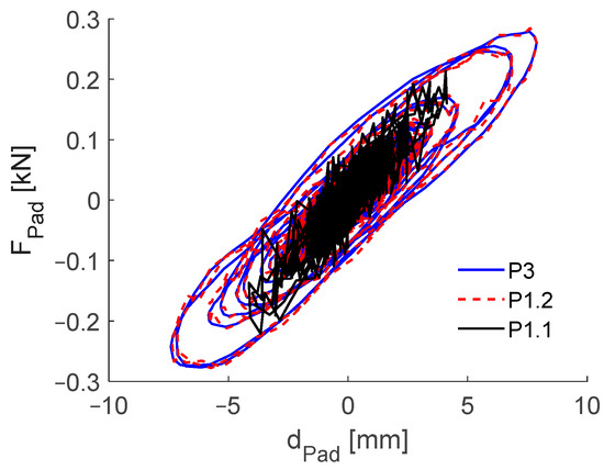
Glass-Aluminium Partition Walls with High-Damping Rubber Devices: Seismic Design and Numerical Analyses
by Fabrizio Scozzese, Alessandro Zona and Andrea Dall’Asta
Buildings 2024, 14(8), 2445; https://doi.org/10.3390/buildings14082445 - 8 Aug 2024
Cited by 2 | Viewed by 4146
Abstract
An innovative solution for aluminium-glass partition walls that can withstand seismic actions without damage is presented. The key feature characterising the proposed innovation is a dissipative coupling between the components of the partition wall, i.e., the glass plates and the surrounding aluminium frame, [...] Read more.
An innovative solution for aluminium-glass partition walls that can withstand seismic actions without damage is presented. The key feature characterising the proposed innovation is a dissipative coupling between the components of the partition wall, i.e., the glass plates and the surrounding aluminium frame, accomplished through the interposition of high-damping rubber pads (HDRPs). Sliding mechanisms between glass panels and the aluminium frame are permitted through specific detailing solutions, which allow the partition wall to be unsensitive to the inter-storey drift imposed by the hosting structure. A detailed discussion of the system conception is illustrated, showing the main intermediate steps that led to the final solution. The implementation of a refined numerical model is illustrated, and its characteristic parameters are calibrated according to a set of experimental tests previously performed on materials and subcomponents. A numerical application to a case study consisting of a partition wall system installed within a three-storey building is provided to assess the performance of the proposed innovative solution under severe earthquakes. Full article
(This article belongs to the Section Building Structures)
Show Figures

Figure 1

30 pages, 9262 KB  
Review
The Utilization of Shape Memory Alloy as a Reinforcing Material in Building Structures: A Review
by Lidan Xu, Miaomiao Zhu, Jitao Zhao, Ming Chen and Mingfang Shi
Materials 2024, 17(11), 2634; https://doi.org/10.3390/ma17112634 - 29 May 2024
Cited by 7 | Viewed by 4376
Abstract
Shape memory alloy (SMA), a type of smart material, is widely used in the design of reinforcement and repair, isolation, and shock absorption of building structures because of its outstanding characteristics, such as the shape memory effect (SME), superelasticity (SE), and high damping. [...] Read more.
Shape memory alloy (SMA), a type of smart material, is widely used in the design of reinforcement and repair, isolation, and shock absorption of building structures because of its outstanding characteristics, such as the shape memory effect (SME), superelasticity (SE), and high damping. It not only improves the bearing capacity, ductility, and mechanical properties of the structural components of buildings but can also effectively slow down the strong response of engineering structures under the effect of an earthquake. It plays a key role in energy dissipation and shock absorption as well as sustainable development. To promote the application of SMA in building structures, this paper summarizes the research on the use of SMA as a reinforcing material in building structures, including work related to SMA material characteristics and types, SMA-reinforced structural components, and SMA isolation devices. In addition, the shortcomings of SMA applications in building structures are analyzed, and valuable suggestions for future research methods are put forward. SMA has been applied to engineering practice in the form of embedded and external reinforcement, which shows that it has broad application prospects in future buildings. Full article
(This article belongs to the Special Issue Modeling and Design Based on Shape Memory Behavior)
Show Figures

Figure 1

24 pages, 2442 KB  
Review
Review of Wind-Induced Effects Estimation through Nonlinear Analysis of Tall Buildings, High-Rise Structures, Flexible Bridges and Transmission Lines
by Shuang Zhao, Chengtao Zhang, Xianxing Dai and Zhitao Yan
Buildings 2023, 13(8), 2033; https://doi.org/10.3390/buildings13082033 - 9 Aug 2023
Cited by 10 | Viewed by 6850
Abstract
The nonlinear effects exhibited by structures under the action of wind loads have gradually stepped into the vision of wind-resistant researchers. By summarizing the prominent wind-induced nonlinear problems of four types of wind-sensitive structures, namely tall buildings, high-rise structures, flexible bridges, and transmission [...] Read more.
The nonlinear effects exhibited by structures under the action of wind loads have gradually stepped into the vision of wind-resistant researchers. By summarizing the prominent wind-induced nonlinear problems of four types of wind-sensitive structures, namely tall buildings, high-rise structures, flexible bridges, and transmission lines, the occurrence mechanism of their nonlinear effects is revealed, providing cutting-edge research progress in theoretical studies, experimental methods and vibration control. Aerodynamic admittance provides insights into the aerodynamic nonlinearity (AN) between the wind pressure spectrum and wind speed spectrum of tall building surfaces. The equivalent nonlinear equation method is used to solve nonlinear vibration equations with generalized van-der-Pol-type aerodynamic damping terms. The elastic–plastic finite element method and multiscale modeling method are widely employed to analyze the effects of geometric nonlinearity (GN) and material nonlinearity (MN) at local nodes on the wind-induced response of latticed tall structures. The AN in blunt sections of bridges arises from the amplitude dependence of the aerodynamic derivative and the higher-order term of the self-excited force. Volterra series aerodynamic models are more suitable for the nonlinear aerodynamic modeling of bridges than the polynomial models studied more in the past. The improved Lindstedt–Poincare perturbation method, which considers the strong GN in the response of ice-covered transmission lines, offers high accuracy. The complex numerical calculations and nonlinear analyses involved in wind-induced nonlinear effects continue to consume significant computational resources and time, especially for complex wind field conditions and flexible and variable structural forms. It is necessary to further develop analytical, modeling and identification tools to facilitate the modeling of nonlinear features in the future. Full article
Show Figures

Figure 1

20 pages, 3626 KB  
Article
Effect of Fiber Loading on Thermal Properties of Cellulosic Washingtonia Reinforced HDPE Biocomposites
by Safieddine Bahlouli, Ahmed Belaadi, Azzedine Makhlouf, Hassan Alshahrani, Mohammad K. A. Khan and Mohammed Jawaid
Polymers 2023, 15(13), 2910; https://doi.org/10.3390/polym15132910 - 30 Jun 2023
Cited by 31 | Viewed by 3038
Abstract
In this research work, we aim to study the effect of the incorporation of vegetable fiber reinforcement on the thermo-mechanical and dynamic properties of a composite formed by a polymeric matrix reinforced with cellulosic fibers with the various Washingtonia fiber (WF) loadings (0%, [...] Read more.
In this research work, we aim to study the effect of the incorporation of vegetable fiber reinforcement on the thermo-mechanical and dynamic properties of a composite formed by a polymeric matrix reinforced with cellulosic fibers with the various Washingtonia fiber (WF) loadings (0%, 10%, 20%, and 30% by wt%) as reinforced material in high-density polyethylene (HDPE) Biocomposites to evaluate the optimum fiber loading of biocomposites. In addition, several characterization techniques (i.e., thermogravimetric analysis (TGA), differential scanning calorimetry (DSC), dynamic mechanical analysis (DMA), and thermal mechanical analysis (TMA)) were used to better understand the characteristics of the new composites prepared. With these techniques, we managed to verify the rigidity and thermal stability of the composites so elaborated, as well as the success of the polymer and the structural homogeneity of the obtained biocomposites. Hence, the biocomposite with the best ratio (HDPE/20WF) showed a loss modulus (E″) of 224 MPa, a storage modulus (E′) of 2079 MPa, and a damping factor (Tanδ) of 0.270 to the glass transition (Tg) of 145 °C. In addition, thermomechanical analysis (TMA) of the biocomposite samples exhibited marginally higher Ts compared to the HDPE matrix. The best results were recorded with biocomposites with 20% WF, which showed better thermal properties. This composite material can be used as insulation in construction materials (buildings, false ceilings, walls, etc.). Full article
(This article belongs to the Special Issue Mechanical and Thermal Properties of Polymer Composites)
Show Figures

Figure 1

37 pages, 18687 KB  
Review
Superelastic Nickel–Titanium (NiTi)-Based Smart Alloys for Enhancing the Performance of Concrete Structures
by Mohammad J. Alshannag, Ali S. Alqarni and Mahmoud M. Higazey
Materials 2023, 16(12), 4333; https://doi.org/10.3390/ma16124333 - 12 Jun 2023
Cited by 17 | Viewed by 4219
Abstract
Recent advances in materials science have led to the development of smart materials that can continuously adapt to different loading conditions and changing environment to meet the growing demand for smart structural systems. The unique characteristics of superelastic NiTi shape memory alloys (SMAs) [...] Read more.
Recent advances in materials science have led to the development of smart materials that can continuously adapt to different loading conditions and changing environment to meet the growing demand for smart structural systems. The unique characteristics of superelastic NiTi shape memory alloys (SMAs) have attracted the attention of structural engineers worldwide. SMAs are metallic materials that can retrieve their original shape upon exposure to various temperatures or loading/unloading conditions with minimal residual deformation. SMAs have found increasing applications in the building industry because of their high strength, high actuation and damping capacities, good durability, and superior fatigue resistance. Despite the research conducted on the structural applications of SMAs during the previous decades, the existing literature lacks reviews on their recent uses in building industry such as prestressing concrete beams, seismic strengthening of footing–column connections, and fiber-reinforced concrete. Furthermore, scarce research exists on their performance under corrosive environments, elevated temperatures, and intensive fires. Moreover, the high manufacturing cost of SMA and the lack of knowledge transfer from research to practice are the main obstacles behind their limited use in concrete structures. This paper sheds light on the latest progress made in the applications of SMA in reinforced concrete structures during the last two decades. In addition, the paper concludes with the recommendations and future opportunities associated with expanding the use of SMA in civil infrastructures. Full article
(This article belongs to the Special Issue Shape Memory Alloys for Civil Engineering (Second Volume))
Show Figures

Figure 1

Back to TopTop