Review of Wind-Induced Effects Estimation through Nonlinear Analysis of Tall Buildings, High-Rise Structures, Flexible Bridges and Transmission Lines
Abstract
1. Introduction
2. Tall Buildings
3. High-Rise Structures
- First-order inelastic analysis, which primarily considers MN and does not account for GN [66];
- Second-order elastic analysis, which considers structural initial defects as well as P − ∆ and P − δ effects. This method requires accurate element stiffness matrices, such as cubic interpolation elements [67], stability function elements [68], and pointwise equilibrating polynomial element [69]. It also relies on stable equilibrium path iteration methods, including the Newton–Raphson method [70], arc-length method [71,72], and minimum residual displacement method [73];

4. Flexible Bridges
5. Transmission Lines
6. Conclusions
- (1)
- Wind-induced nonlinear analysis of tall buildings: Aerodynamic admittance is a measure of the impact of free-stream turbulence on the range of scales in the pressure coefficient spectra. It provides insights into the aerodynamic nonlinearity (AN) between the wind pressure spectrum and wind speed spectrum of building surfaces, specifically in the high-frequency range, where strong characteristic turbulence exists on the windward side and separation flow area of high-rise buildings. To account for the diverse shapes of tall buildings and the complex nonlinear effects, the empirical formula for aerodynamic admittance is typically derived from wind tunnel tests or numerical simulations. This formula considers the influence of AN on wind-induced vibration response. To address the evident AN in the aerodynamic damping of tall buildings caused by nonlinear changes in wind speed and amplitude, the widely adopted approach is to employ the equivalent nonlinear equation method. This method enables the solution of the nonlinear vibration equation, which incorporates the generalized van-der-Pol-type aerodynamic damping term. Furthermore, this method can also consider the effects of geometric nonlinearity (GN) and material nonlinearity (MN) in tall buildings when subjected to wind loads, particularly in relation to the crosswind response amplitude.
- (2)
- Wind-induced nonlinear analysis of high-rise structures: Currently, the elastic–plastic finite element method, which has the advantage of high accuracy, has been developed to account for GN and MN in high-rise structures under wind loads. In this method, the geometric stiffness and elastic stiffness are adjusted in the time domain. To simplify the iterative convergence process and reduce computation time, steel and concrete are often treated as a single material, or a stiffness discount factor is applied to consider material nonlinearity. Due to the limitations of current finite element modeling techniques, it still remains a requested subject to simulate MN and synergy between steel and concrete after local cracking occurs due to the action of wind loads. The multiscale modeling method is widely employed to analyze the effects of GN and MN at local nodes on the wind-induced response of latticed tall structures. One of the key areas of focus for future researchers is to establish reasonable boundary conditions for local models, which will further reduce errors in the wind vibration analysis of local nodes.
- (3)
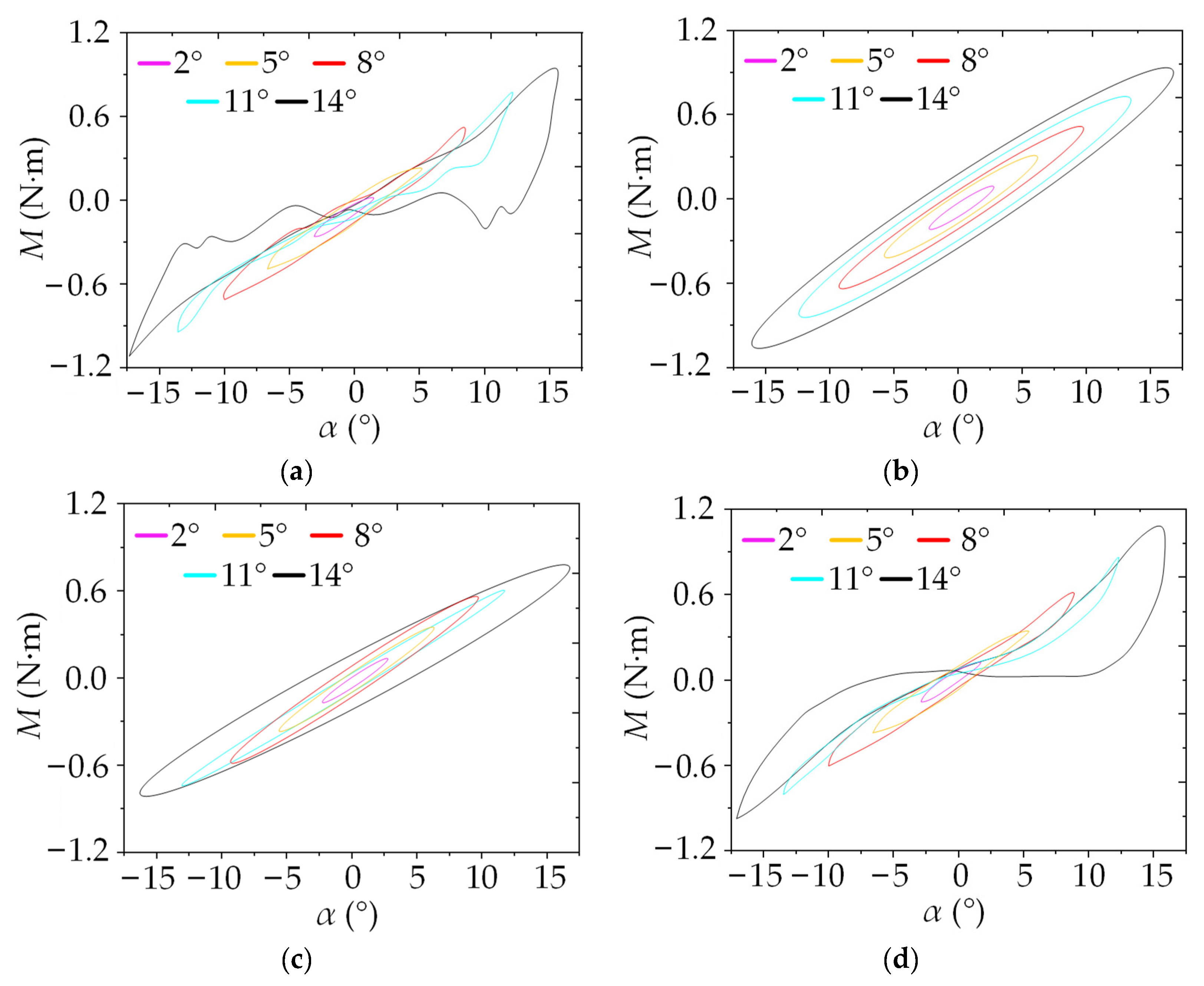
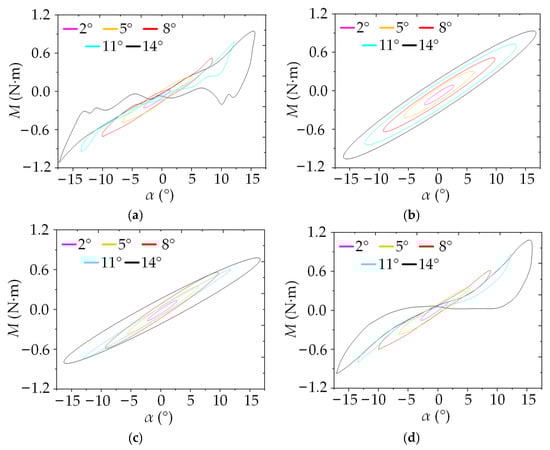
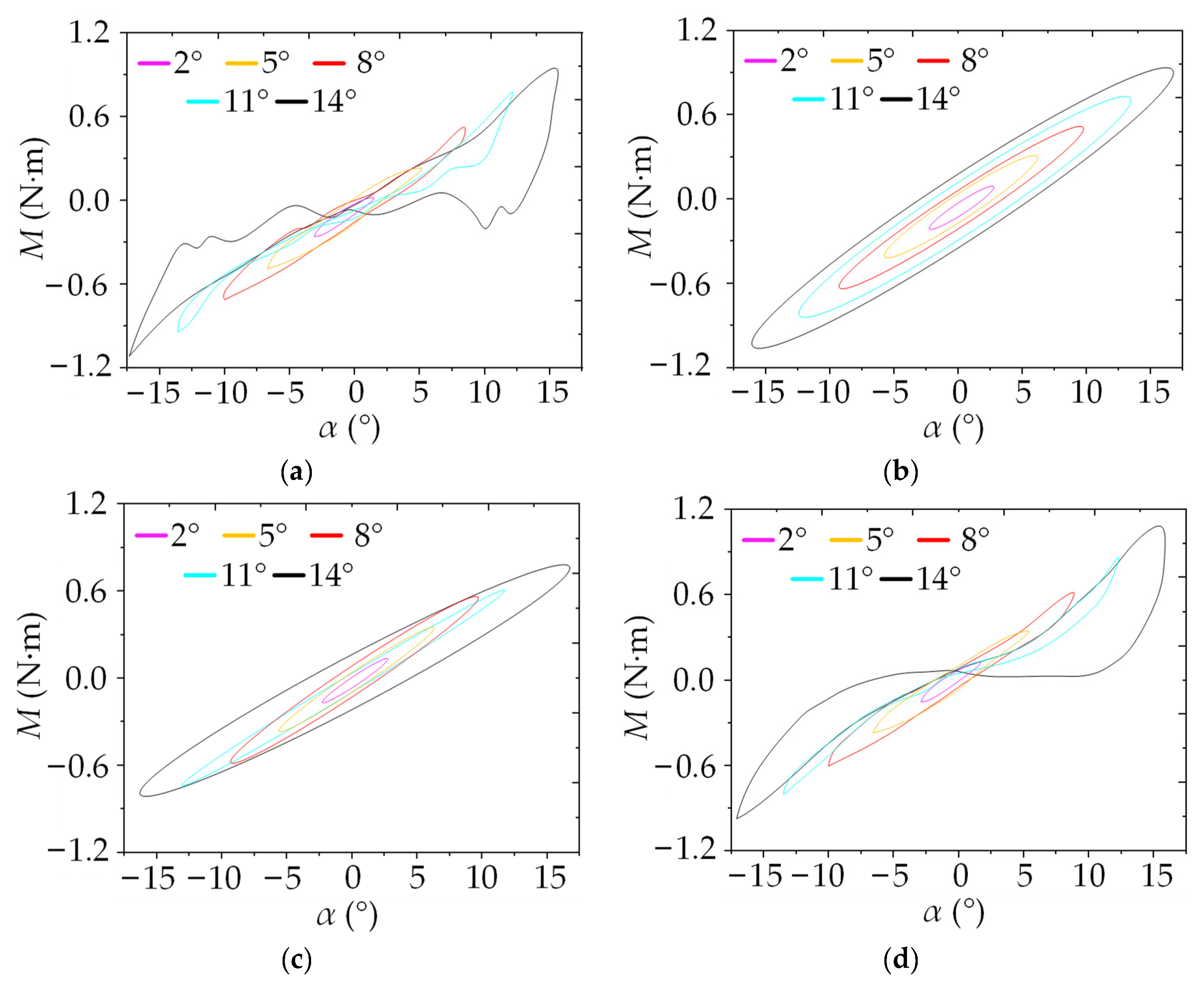
- Wind-induced nonlinear analysis of flexible bridges: The AN in blunt sections of bridges arises from the amplitude dependence of the aerodynamic derivative and the higher-order term of the self-excited force. The presence of GN in bridge structures results in postflutter behavior that does not increase indefinitely but exhibits a small yet stable limit cycle oscillation. Modeling the nonlinear aerodynamic problems of bridges using polynomial aerodynamic models and Volterra series aerodynamic models has become a prominent research focus in bridge wind engineering. However, the identification of kernel functions and the calculation of multidimensional convolutional integration in Volterra series aerodynamic models exponentially increase as the nonlinear order rises. Therefore, further development is required to effectively apply Volterra series aerodynamic models in the field of wind-induced nonlinearity in flexible bridges.
- (4)
- Wind-induced nonlinear analysis of transmission lines: The extension deformation of transmission lines under aeolian vibration is commonly assumed to be linear and elastic within a small range, disregarding MN. One common approach to solving the aeolian vibration equation for multisplit transmission lines, considering GN, is to employ the empirical nonlinear model developed by Scanlan combined with dynamic methods. To address the AN of the leeward-side conductor’s subspan oscillation in the wake of the windward-side conductor in a multisplit transmission line, nonlinear finite element models and the Runge–Kutta numerical integration method are typically utilized to solve the nonlinear vibration equation. These methods enable a qualitative assessment of the impact of AN on the oscillation amplitude. When studying the wind-induced nonlinear effects of transmission line galloping, it is necessary to account for both the GN resulting from large amplitudes and the AN caused by variations in the aerodynamic three-component force coefficient with the wind angle of attack. A three-node parabolic cue element is commonly employed for modeling, combined with linearization using the incremental harmonic balance method and curved beam theory. This approach reduces the computational time required for incremental iterative calculations in numerical simulations for solving the galloping equation. Attaining an accurate solution for discretized galloping differential equations is crucial for further investigating the influence of geometric nonlinear stiffness terms on the galloping response. The improved Lindstedt–Poincare perturbation method, which considers the strong GN in the response of ice-covered transmission lines, offers high accuracy.
- (5)
- Existing instruments for free or forced vibration tests are not accurate enough to identify wind load parameters in the nonlinear region, and there is no uniformly recognized computational model for crosswind nonlinear aerodynamic damping of tall buildings and nonlinear self-excited aerodynamic forces of flexible bridges, which still need to be explored. In addition, the complex numerical calculations and nonlinear analyses involved in wind-induced nonlinear effects still consume a lot of computational resources and time, especially for complex wind field conditions or flexible and variable structural forms. There is still a lack of sufficient in situ measurements to support the study of complex wind fields in coastal and mountainous regions, and uniform models need to be further supplemented and summarized, especially for transient and non-Gaussian wind fields. Some of the major challenges ahead include further development of analytical, modeling, and identification tools to facilitate modeling of nonlinear features. The development of new predictive analysis tools in conjunction with artificial intelligence information technology is also a challenging area of research. Advanced suppression methods, such as aerodynamic optimization methods adapted to different Archimedean optimization algorithms (AOAs) and nonlinear damper control measures, are promising.
Author Contributions
Funding
Data Availability Statement
Conflicts of Interest
References
- Wu, B.; Zhou, J.T.; Xin, J.Z.; Zhang, H.; Zhang, L.L.; Yang, X.Y. Aerodynamic forces on a bluff cylinder in sinusoidal streamwise winds with different angles of attack. Buildings 2022, 12, 1033. [Google Scholar] [CrossRef]
- Bian, Y.F.; Liu, X.P.; Sun, Y.; Zhong, Y.L. Optimized design of a tuned mass damper inerter (TMDI) applied to circular section members of transmission towers. Buildings 2022, 12, 1154. [Google Scholar] [CrossRef]
- Zhu, S.Y.; Li, Y.L.; Yang, Y.Y.; Ju, N.P. Stochastic buffeting analysis of uncertain long-span bridge deck with an optimized method. Buildings 2022, 12, 632. [Google Scholar] [CrossRef]
- Li, T.; Wu, T.; Liu, Z. Nonlinear unsteady bridge aerodynamics: Reduced-order modeling based on deep LSTM networks. J. Wind End. Ind. Aerodyn. 2020, 198, 104116. [Google Scholar] [CrossRef]
- Kandel, A.; Sun, X.Y.; Wu, Y. Wind-induced responses and equivalent static design method of oval-shaped arch-supported membrane structure. J. Wind End. Ind. Aerodyn. 2021, 213, 104620. [Google Scholar] [CrossRef]
- Montoya, M.C.; Hernandez, S.; Kareem, A.; Nieto, F. Efficient modal-based method for analyzing nonlinear aerostatic stability of long-span bridges. Eng. Struct. 2021, 244, 112556. [Google Scholar] [CrossRef]
- Skyvulstad, H.; Argentini, T.; Zasso, A.; Oiseth, O. Nonlinear modelling of aerodynamic self-excited forces: An experimental study. J. Wind End. Ind. Aerodyn. 2021, 209, 104491. [Google Scholar] [CrossRef]
- Abdelaziz, K.M.; Alipour, A.; Hobeck, J.D. A smart façade system controller for optimized wind-induced vibration mitigation in tall buildings. J. Wind End. Ind. Aerodyn. 2021, 212, 104601. [Google Scholar] [CrossRef]
- Kumar, K.S. Wind loading on tall buildings: Review of indian standards and recommended amendments. J. Wind End. Ind. Aerodyn. 2020, 204, 104240. [Google Scholar] [CrossRef]
- Heremans, J.; Geuzaine, M.; Denoël, V. A background/resonant decomposition based method to predict the behavior of 2-dof aeroelastic oscillators. J. Wind End. Ind. Aerodyn. 2023, 233, 105290. [Google Scholar] [CrossRef]
- AS/NZS 1170.2; Australia/New Zealand Standard, Structural Design Actions. Part 2: Wind Actions. Standards Australia International Ltd.: Sydney, Australia; Standards New Zealand: Wellington, New Zealand, 2011.
- American Society of Civil Engineers. Minimum Design Loads for Buildings and Other Structures; ASCE 7–10; American Society of Civil Engineers: Reston, VA, USA, 2013. [Google Scholar]
- Méndez-Gordillo, A.R.; Campos-Amezcua, R.; Cadenas, E. Wind speed forecasting using a hybrid model considering the turbulence of the airflow. Renew. Energy 2022, 196, 422–431. [Google Scholar] [CrossRef]
- Geleta, T.N.; Girma, B. Validation metrics and turbulence frequency limits for LES-based wind load evaluation for low-rise buildings. J. Wind End. Ind. Aerodyn. 2022, 231, 105210. [Google Scholar] [CrossRef]
- Davenport, A.G. Gust loading factors. J. Struct. Div. 1967, 93, 11–34. [Google Scholar] [CrossRef]
- Castro, H.G.; De Bortoli, M.E.; Paz, R.R.; Marighetti, J.O. Una metodología de cálculo para la determinación de la respuesta dinámica longitudinal de estructuras altas bajo la acción del viento. Rev. Int. Metod Num. 2015, 31, 235–245. [Google Scholar] [CrossRef]
- Solari, G. Wind response spectrum. J. Eng. Mech. 1989, 115, 2057–2073. [Google Scholar] [CrossRef]
- Melbourne, W.H. Comparison of measurements on the CAARC standard tall building model in simulated model wind flows. J. Wind End. Ind. Aerodyn. 1980, 6, 73–88. [Google Scholar] [CrossRef]
- Chen, L.; Letchford, C.W. Parametric study on the along-wind response of the CAARC building to downbursts in the time domain. J. Wind End. Ind. Aerodyn. 2004, 92, 703–724. [Google Scholar] [CrossRef]
- Huergo, I.F.; Hugo, H.B.; Roberto, G.M. Analytical simulation of 3d wind-induced vibrations of rectangular tall buildings in time domain. Shock Vib. 2022, 2022, 7283610. [Google Scholar] [CrossRef]
- Wang, Y.X.; Li, M.S.; Yang, Y. Prediction of along-wind loading on tall building based on two-dimensional aerodynamic admittance. J. Wind End. Ind. Aerodyn. 2023, 238, 105439. [Google Scholar] [CrossRef]
- Preetha, H.S.; Alice, A. Prediction of nonlinear structural response under wind loads using deep learning techniques. Appl. Soft Comput. 2022, 129, 109424. [Google Scholar] [CrossRef]
- Jin, W.; Kopp, G.A. Gust effect factors for regions of separated flow around rigid low-, mid-, and high-rise buildings. J. Wind End. Ind. Aerodyn. 2023, 232, 105254. [Google Scholar]
- John, H.; Brian, B.; Breiffni, F.; Hollie, M. Mitigation of wind induced accelerations in tall modular buildings. Structures 2022, 37, 576–587. [Google Scholar]
- Xue, Y.J.; Hao, W. Extracting nonlinear aerodynamic damping of crosswind-excited tall buildings based on probability density function of displacement amplitude. J. Build. Eng. 2023, 72, 106632. [Google Scholar] [CrossRef]
- Lupi, F.; Niemann, H.J.; Rüdiger, H. Aerodynamic damping model in vortex-induced vibrations for wind engineering applications. J. Wind End. Ind. Aerodyn. 2018, 174, 281–295. [Google Scholar] [CrossRef]
- Watanabe, Y.; Isyumov, N.; Davenport, A.G. Empirical aerodynamic damping function for tall buildings. J. Wind End. Ind. Aerodyn. 1997, 72, 313–321. [Google Scholar] [CrossRef]
- Francesca, L.; Lisa, P.; Ulf, W.; Ruediger, H. Aerodynamic damping functions in vortex-induced vibrations for structures with sharp edges. J. Wind End. Ind. Aerodyn. 2023, 238, 105411. [Google Scholar]
- Chen, Z.S.; Tse, K.T.; Kwok, K.C.S. Unsteady pressure measurements on an oscillating slender prism using a forced vibration technique. J. Wind End. Ind. Aerodyn. 2017, 170, 81–93. [Google Scholar] [CrossRef]
- Steckley, A. Motion-Induced Wind Forces on Chimneys and Tall Buildings. Ph.D. Thesis, University of Western Ontario, London, ON, Canada, 1989. [Google Scholar]
- Vickery, B.J.; Basu, R.I. Across-wind vibrations of structures of circular cross section. Part I: Development of a mathematical model for two-dimensional conditions. J. Wind Eng. Ind. Aerod. 1983, 12, 49–73. [Google Scholar] [CrossRef]
- American Society of Mechanical Engineers. The American Society of Mechanical Engineers; ASME STS-1-2006; American Society of Mechanical Engineers: New York, NY, USA, 2006. [Google Scholar]
- International Committee for Industrial Construction. CICIND Model Code for Steel Chimneys; CICIND 2010; International Committee for Industrial Construction: Ratingen, Germany, 2010. [Google Scholar]
- European Commission. Eurocode 1: Actions on Structures; EN 1991; European Commission: Brussels, Belgium, 2010. [Google Scholar]
- Vickery, B.J.; Clark, A.W. Lift of across-wind response of tapered stacks. Proceedings American Society of Civil Engineering. J. Struct. Div. 1972, 1, 1–19. [Google Scholar] [CrossRef]
- Verboom, G.K.; Koten, H. Vortex excitation: Three design rules tested on 13 industrial chimneys. J. Wind Eng. Ind. Aerod. 2010, 98, 145–154. [Google Scholar] [CrossRef]
- Lupi, F.; Niemann, H.J.; Hoffer, R. A novel spectral method for cross-wind vibrations: Application to 27 full-scale chimneys. J. Wind Eng. Ind. Aerod. 2017, 171, 353–365. [Google Scholar] [CrossRef]
- Chen, C.C.; Andrews, H.C. Target-motion-induced radar imaging. IEEE Trans. Aerosp. Electron. Syst. 1980, AES-16, 2–14. [Google Scholar] [CrossRef]
- Sahoo, P.K.; Chatterjee, S. Nonlinear dynamics and control of galloping vibration under unsteady wind flow by high-frequency excitation. Commun. Nonlinear Sci. Numer. Simul. 2023, 116, 106897. [Google Scholar] [CrossRef]
- Jha, R.; Dhapekar, N.K.; Rathod, M. A study of structural response and aerodynamic effects assessing wind performance of tall buildings. Scan. J. Inf. Syst. 2023, 35, 1138–1145. [Google Scholar]
- Chen, X.Z. Analysis of crosswind fatigue of wind-excited structures with nonlinear aerodynamic damping. Eng. Struct. 2014, 74, 145–156. [Google Scholar] [CrossRef]
- Chen, X.Z. Estimation of extreme value distribution of crosswind response of wind-excited flexible structures based on extrapolation of crossing rate. Eng. Struct. 2014, 60, 177–188. [Google Scholar] [CrossRef]
- Chen, X.Z.; Kareem, A. Proper orthogonal decomposition-based modeling, analysis, and simulation of dynamic wind load effects on structures. J. Eng. Mech. 2005, 131, 325–339. [Google Scholar] [CrossRef]
- Blackburn, H.M.; Melbourne, W.H. Cross flow response of slender circular-cylindrical structures: Prediction models and recent experimental results. J. Wind End. Ind. Aerodyn. 1993, 49, 167–176. [Google Scholar] [CrossRef]
- Ma, C.M.; Liu, Y.Z.; Li, Q.S.; Liao, H.L. Prediction and explanation of the aeroelastic behavior of a square-section cylinder via forced vibration. J. Wind End. Ind. Aerodyn. 2018, 176, 78–86. [Google Scholar] [CrossRef]
- Holmes, J.D.; Tse, T. International high-frequency base balance benchmark study. Wind Struct. 2014, 18, 457–471. [Google Scholar] [CrossRef]
- Kareem, A.; Gurley, K. Damping in structures: Its evaluation and treatment of uncertainty. J. Wind End. Ind. Aerodyn. 1996, 59, 131–157. [Google Scholar] [CrossRef]
- Xie, W.; Huang, P. Extreme estimation of wind pressure with unimodal and bimodal probability density function characteristics: A maximum entropy model based on fractional moments. J. Wind End. Ind. Aerodyn. 2021, 214, 104663. [Google Scholar] [CrossRef]
- De Salles, H.B.; Fadel Miguel, L.F.; Lenzi, M.S.; Lopez, R.H.; Beck, A.T. A fast frequency sweep approach for performance-based optimization of earthquake-resistant irregular large-scale buildings. Eng. Struct. 2023, 285, 116094. [Google Scholar] [CrossRef]
- Martin, D.; Pozos-Estrada, A. A simplified method for structural and fatigue analyses of wind turbine support structures. J. Wind End. Ind. Aerodyn. 2022, 224, 104983. [Google Scholar] [CrossRef]
- Castro, G.; Zurita, G. Applications of operational modal analysis in gearbox and induction motor, based on random decrement technique and enhanced ibrahim time method. Appl. Sci. 2022, 12, 5284. [Google Scholar] [CrossRef]
- Marukawa, H.; Kato, N.; Fujii, K.; Tamura, Y. Experimental evaluation of aerodynamic damping of tall buildings. J. Wind End. Ind. Aerodyn. 1996, 59, 177–190. [Google Scholar] [CrossRef]
- Tamura, Y.; Suganuma, S.Y. Evaluation of amplitude-dependent damping and natural frequency of buildings during strong winds. J. Wind End. Ind. Aerodyn. 1996, 59, 115–130. [Google Scholar] [CrossRef]
- Guo, K.P.; Yang, Q.S.; Liu, M.; Li, B. Aerodynamic damping model for vortex-induced vibration of suspended circular cylinder in uniform flow. J. Wind End. Ind. Aerodyn. 2021, 209, 104497. [Google Scholar] [CrossRef]
- Chen, X.Z. Estimation of stochastic crosswind response of wind-excited tall buildings with nonlinear aerodynamic damping. Eng. Struct. 2013, 56, 766–778. [Google Scholar] [CrossRef]
- Lutes, L.D.; Sarkani, S. Random Vibrations: Analysis of Structural and Mechanical Systems; Elsevier Butterworth-Heinemann: Oxford, UK, 2004. [Google Scholar]
- Caughey, T.K. On the response of non-linear oscillators to stochastic excitation. Probabilist. Eng. Mech. 1986, 1, 2–4. [Google Scholar] [CrossRef]
- Roberts, J.B.; Spanos, P.D. Random Vibration and Statistical Linearization; Courier Corporation: Chelmsford, MA, USA, 2003. [Google Scholar]
- Li, Y.g.; Liu, P.; Li, Y.; Yan, J.h.; Quan, J. Wind loads characteristics of irregular shaped high-rise buildings. Adv. Struct. Eng. 2023, 26, 3–16. [Google Scholar] [CrossRef]
- Bhattacharya, S.; Dalui, S.K. Effect of tuned mass damper in wind-induced response of “v” plan-shaped tall building. Struct. Des. Tall Spec. 2022, 31, e1931. [Google Scholar] [CrossRef]
- Hou, F.; Jafari, M. Investigation approaches to quantify wind-induced load and response of tall buildings: A review. Sustain. Cities Soc. 2020, 62, 102376. [Google Scholar] [CrossRef]
- Hong, H.P. Torsional responses under bidirectional seismic excitations: Effect of instantaneous load eccentricities. J. Struct. Eng. 2013, 139, 133–143. [Google Scholar] [CrossRef]
- Ministry of Construction of the People’s Republic of China. Load Code for the Design of Building Structures; GB 50009—2012; China Architecture and Building Press: Beijing, China, 2012. [Google Scholar]
- López-Ibarra, A.; Pozos-Estrada, A.; Nava-González, R. Effect of partially correlated wind loading on the response of two-way asymmetric systems: The impact of torsional sensitivity and nonlinear effects. Appl. Sci. 2023, 13, 6421. [Google Scholar] [CrossRef]
- Man, X.; Bin, Z.; Hong, Q.; Qing, X.; Guo, W.W.; He, X. Nonlinear dynamic response analysis of wind-train-bridge coupling system of hu-su-tong bridge. Eng. Mech. 2021, 38, 83. [Google Scholar]
- Heyman, J. Plastic Design of Portal Frames; Cambridge University Press: Cambridge, MA, USA, 1957. [Google Scholar]
- Barsoum, R.S.; Gallagher, R.H. Finite element analysis of torsional and torsional-flexural stability problems. Int. J. Numer. Meth. Eng. 2010, 2, 335–352. [Google Scholar] [CrossRef]
- Nayfeh, A.H.; Pai, P.F. Linear and Nonlinear Structural Mechanics; Wiley: Hoboken, NJ, USA, 2004. [Google Scholar]
- Chan, S.L.; Zhou, Z.H. Pointwise equilibrating polynomial element for nonlinear analysis of frames. J. Struct. Eng. 1994, 120, 1703–1717. [Google Scholar] [CrossRef]
- Kanchi, M.B. Matrix Methods of Structural Analysis; Wiley Eastern: Hoboken, NJ, USA, 1964. [Google Scholar]
- Meek, J.L.; Tan, H.S. Geometrically nonlinear analysis of space frames by an incremental iterative technique. Comput. Methods Appl. Mech. Eng. 1984, 47, 261–282. [Google Scholar] [CrossRef]
- Riks, E. An incremental approach to the solution of snapping and buckling problems. Int. J. Solids Struct. 1979, 15, 529–551. [Google Scholar] [CrossRef]
- Chan, S.L. Geometric and material non-linear analysis of beam-columns and frames using the minimum residual displacement method. Int. J. Numer. Meth. Eng. 1988, 26, 2657–2669. [Google Scholar]
- Chan, S.L. Inelastic post-buckling analysis of tubular beam-columns and frames. Eng. Struct. 1989, 11, 23–30. [Google Scholar] [CrossRef]
- Zhou, Z.H.; Chan, S.L. Elastoplastic and large deflection analysis of steel frames by one element per member. I: One hinge along member. J. Struct. Eng. 2004, 130, 538. [Google Scholar]
- Chan, S.L.; Zhou, Z.H. Elastoplastic and large deflection analysis of steel frames by one element per member. II: Three hinges along member. J. Struct. Eng. 2004, 130, 545. [Google Scholar]
- Remyasree, A.R.; Vijayan, M. Non-linear seismic analysis of reinforced concrete chimney. Int. J. Civ. Eng. 2016, 3, 12–17. [Google Scholar]
- Wu, H.X.; Ke, S.T.; Wang, F.T. Analysis of wind-induced cooling tower collapse damage based on cfd and ls-dyna coupling techniques. Proc. NACSE 2019, 37, 307–310. (In Chinese) [Google Scholar]
- Wang, F.; Tang, K.; Wang, X.; Wu, H. Analysis of wind-induced structural continuity collapse of very large cooling towers. Proc. NACSE 2019, 4, 282–285. (In Chinese) [Google Scholar]
- Meng, W.Y.; Xie, L.Y.; Zhang, Y.; Wang, Y.W.; Sun, X.F.; Zhang, S.J. Effect of mean stress on the fatigue life prediction of notched fiber-reinforced 2060 al-li alloy laminates under spectrum loading. Adv. Mater. Sci. Eng. 2018, 2018, 1–16. [Google Scholar]
- Rao, N.P.; Knight, G.; Lakshmanan, N.; Iyer, N.R. Investigation of transmission line tower failures. Eng. Fail. Anal. 2010, 17, 1127–1141. [Google Scholar]
- Albermani, F.; Kitipornchai, S. Numerical simulation of structural behaviour of transmission towers. Thin Wall-Struct. 2003, 41, 167–177. [Google Scholar] [CrossRef]
- Chan, S.L.; Cho, S.H. Second-order analysis and design of angle trusses part i: Elastic analysis and design. Eng. Struct. 2008, 30, 616–625. [Google Scholar]
- Knight, G.M.S.; Santhakumar, A.R. Joint effects on behavior of transmission towers. J. Struct. Eng. 1993, 119, 698–712. [Google Scholar]
- Kitipornchai, S. Full scale testing of transmission and telecommunication towers using numerical simulation techniques. Proc. ICASS 1996, 43–53. [Google Scholar]
- Ungkurapinan, N.; Chandrakeerthy, S.; Rajapakse, R.; Yue, S.B. Joint slip in steel electric transmission towers. Eng. Struct. 2003, 25, 779–788. [Google Scholar] [CrossRef]
- Pao, N.P.; Kalyanaraman, V. Non-linear behaviour of lattice panel of angle towers. J. Constr. Steel Res. 2001, 57, 1337–1357. [Google Scholar]
- Kurobane, Y.; Ogawa, K.; Ochi, K.; Makino, Y. Local buckling of braces in tubular k-joints. Thin Wall-Struct. 1986, 4, 23–40. [Google Scholar] [CrossRef]
- Banik, S.S.; Hong, H.P.; Kopp, G.A. Assessment of capacity curves for transmission line towers under wind loading. J. Wind End. Ind. Aerodyn. 2010, 13, 1–20. [Google Scholar]
- Borri-Brunetto, M.; Chiaia, B.; Ciavarella, M. Incipient sliding of rough surfaces in contact: A multiscale numerical analysis. Comput. Methods Appl. Mech. Eng. 2001, 190, 6053–6073. [Google Scholar]
- Zaghi, S.; Martinez, X.; Rossi, R.; Petracca, M. Adaptive and off-line techniques for non-linear multiscale analysis. Compos. Struct. 2018, 206, 215–233. [Google Scholar] [CrossRef]
- Skelton, R.E.; Fraternali, F.; Carpentieri, G.; Micheletti, A. Minimum mass design of tensegrity bridges with parametric architecture and multiscale complexity. Mech. Res. Commun. 2014, 58, 124–132. [Google Scholar]
- Nguyen, V.P.; Stroeven, M.; Sluys, L.J. Multiscale failure modeling of concrete: Micromechanical modeling, discontinuous homogenization and parallel computations. Comput. Methods Appl. Mech. Eng. 2012, 201–204, 139–156. [Google Scholar]
- Voyiadjis, G.Z.; Deliktas, B.; Aifantis, E.C. Multiscale analysis of multiple damage mechanisms coupled with inelastic behavior of composite materials. J. Eng. Mech. 2001, 27, 295–300. [Google Scholar]
- Abbas, T.; Kavrakov, I.; Morgenthal, G. Methods for flutter stability analysis of long-span bridges: A review. Proc. Inst. Civil. Eng Bridge Eng. 2017, 170, 271–310. [Google Scholar]
- Curami, A.; Zasso, A. Extensive identification of bridge deck aerolastic coefficients: Average angle of attack, reynolds number and other parameter effects. Proc. APSOWE III 1993, 143–148. [Google Scholar]
- Scanlan, R.H.; Tomko, J.J. Airfoil and bridge deck flutter derivatives. J. Eng. Mech. Div. 1971, 97, 1717–1733. [Google Scholar] [CrossRef]
- Gu, M.; Zhang, R.X.; Xiang, H.F. Identification of flutter derivatives of bridge decks. J. Wind End. Ind. Aerodyn. 2000, 84, 151–162. [Google Scholar] [CrossRef]
- Frandsen, J.B. Numerical bridge deck studies using finite elements. Part i: Flutter. J. Fluids Struct. 2003, 19, 171–191. [Google Scholar]
- Chen, X.Z.; Matsumoto, M.; Kareem, A. Time domain flutter and buffeting response analysis of bridges. J. Eng. Mech. 2000, 126, 7–16. [Google Scholar] [CrossRef]
- Colin, R.; Phanindra, T. Induced and tunable multistability due to nonholonomic constraints. Nonlinear Dyn. 2022, 108, 2115–2126. [Google Scholar]
- Falco, M.; Curami, A.; Zasso, A. Nonlinear effects in sectional model aeroelastic parameters identification. J. Wind End. Ind. Aerodyn. 1992, 42, 1321–1332. [Google Scholar]
- Shiraishi, M. Effects of oscillation amplitude on aerodynamic derivatives. J. Wind End. Ind. Aerodyn. 2003, 91, 101–111. [Google Scholar]
- Diana, G.; Resta, F.; Zasso, A.; Belloli, M.; Rocchi, D. Forced motion and free motion aeroelastic tests on a new concept dynamometric section model of the messina suspension bridge. J. Wind End. Ind. Aerodyn. 2004, 92, 441–462. [Google Scholar]
- Xin, Z.; Brownjohn, J. Effect of relative amplitude on bridge deck flutter. J. Wind End. Ind. Aerodyn. 2004, 92, 493–508. [Google Scholar]
- Xu, F.Y.; Ying, X.Y.; Zhang, Z. Effects of exponentially modified sinusoidal oscillation and amplitude on bridge deck flutter derivatives. J. Bridge Eng. 2016, 21, 06016001. [Google Scholar]
- Siedziako, B.; Oiseth, O.; Ronnquist, A. An enhanced forced vibration rig for wind tunnel testing of bridge deck section models in arbitrary motion. J. Wind End. Ind. Aerodyn. 2017, 164, 152–163. [Google Scholar]
- Matsumoto, M.; Shiraishi, N.; Shirato, H.; Shigetaka, K.; Niihara, Y. Aerodynamic derivatives of coupled/hybrid flutter of fundamental structural sections. J. Wind End. Ind. Aerodyn. 1993, 49, 575–584. [Google Scholar]
- Zhang, M.J.; Xu, F.Y.; Zhang, Z.B.; Ying, X.Y. Energy budget analysis and engineering modeling of post-flutter limit cycle oscillation of a bridge deck. J. Wind End. Ind. Aerodyn. 2019, 188, 410–420. [Google Scholar]
- Chen, Z.Q.; Yu, X.D.; Yang, G.; Spencer, B.F. Wind-induced self-excited loads on bridges. J. Struct. Eng. 2005, 131, 1783–1793. [Google Scholar]
- Huang, L.; Xu, Y.L.; Liao, H.L. Nonlinear aerodynamic forces on thin flat plate: Numerical study. J. Fluids Struct. 2014, 44, 182–194. [Google Scholar]
- Xu, F.Y.; Wu, T.; Ying, X.Y.; Kareem, A. Higher-order self-excited drag forces on bridge decks. J. Eng. Mech. 2015, 142, 06015007. [Google Scholar]
- Diana, G.; Resta, F.; Rocchi, D. A new numerical approach to reproduce bridge aerodynamic non-linearities in time domain. J. Wind End. Ind. Aerodyn. 2008, 96, 1871–1884. [Google Scholar]
- Diana, G.; Rocchi, D.; Argentini, T.; Muggiasca, S. Aerodynamic instability of a bridge deck section model: Linear and nonlinear approach to force modeling. J. Wind End. Ind. Aerodyn. 2010, 98, 363–374. [Google Scholar]
- Wu, T.; Kareem, A. Aerodynamics and aeroelasticity of cable-supported bridges: Identification of nonlinear features. J. Eng. Mech. 2013, 139, 1886. [Google Scholar]
- Wu, T.; Kareem, A. Modeling hysteretic nonlinear behavior of bridge aerodynamics via cellular automata nested neural network. J. Wind End. Ind. Aerodyn. 2011, 99, 378–388. [Google Scholar]
- Andrianne, T.; Dimitriadis, G. Experimental and numerical investigations of the torsional flutter oscillations of a 4:1 rectangular cylinder. J. Fluids Struct. 2013, 41, 64–88. [Google Scholar]
- Gao, G.Z.; Zhu, L.D. Nonlinear mathematical model of unsteady galloping force on a rectangular 2:1 cylinder. J. Fluids Struct. 2017, 70, 47–71. [Google Scholar]
- Zhu, L.D.; Meng, X.L.; Guo, Z.S. Nonlinear mathematical model of vortex-induced vertical force on a flat closed-box bridge deck. J. Wind End. Ind. Aerodyn. 2013, 122, 69–82. [Google Scholar]
- Zhu, L.D.; Meng, X.L.; Du, L.Q.; Ding, M.C. A simplified nonlinear model of vertical vortex-induced force on box decks for predicting stable amplitudes of vortex-induced vibrations. Engineering 2017, 3, 854–862. [Google Scholar]
- Xu, K.; Ge, Y.; Zhao, L.; Du, X. Calculating vortex-induced vibration of bridge decks at different mass-damping conditions. J. Bridge Eng. 2018, 23, 04017149. [Google Scholar]
- Gupta, H. Identification of vortex-induced-response parameters in time domain. J. Eng. Mech. 1996, 122, 1031–1037. [Google Scholar]
- Marra, A.M.; Mannini, C.; Bartoli, G. Van der pol-type equation for modeling vortex-induced oscillations of bridge decks. J. Wind End. Ind. Aerodyn. 2011, 99, 776–785. [Google Scholar] [CrossRef]
- Náprstek, J.; Pospíšil, S.; Hračov, S. Analytical and experimental modelling of non-linear aeroelastic effects on prismatic bodies. J. Wind End. Ind. Aerodyn. 2007, 95, 1315–1328. [Google Scholar] [CrossRef]
- Zhang, M.J.; Xu, F.Y.; Ying, X.Y. Experimental investigations on the nonlinear torsional flutter of a bridge deck. J. Bridge Eng. 2017, 22, 04017048. [Google Scholar] [CrossRef]
- Andrianne, T.; Dimitriadis, G. Empirical modelling of the bifurcation behaviour of a bridge deck undergoing across-wind galloping. J. Wind End. Ind. Aerodyn. 2014, 135, 129–135. [Google Scholar] [CrossRef]
- Rugh, W.J. Nonlinear System Theory; Johns Hopkins University Press: Baltimore, MD, USA, 1981. [Google Scholar]
- Wu, T.; Kareem, A. A low-dimensional model for nonlinear bluff-body aerodynamics: A peeling-an-onion analogy. J. Wind End. Ind. Aerodyn. 2015, 146, 128–138. [Google Scholar] [CrossRef]
- Wu, T.; Kareem, A. A nonlinear analysis framework for bluff-body aerodynamics: A volterra representation of the solution of navier-stokes equations. J. Fluids Struct. 2015, 54, 479–502. [Google Scholar]
- Khawaja, A.; Hiroshi, K.; Hitoshi, Y. Development of nonlinear framework for simulation of typhoon-induced buffeting response of long-span bridges using volterra series. Eng. Struct. 2021, 244, 112721. [Google Scholar]
- Yury, V.; Svetlana, S.; Evgeniia, M.; Ekaterina, A.; Vasilisa, B. Identification of quadratic volterra polynomials in the “input–output” models of nonlinear systems. Mathematics 2022, 10, 1836. [Google Scholar]
- Skyvulstad, H.; Petersen, Ø.W.; Argentini, T.; Zasso, A.; Øiseth, O. Regularised volterra series models for modelling of nonlinear self-excited forces on bridge decks. Nonlinear Dyn. 2023, 111, 12699–12731. [Google Scholar] [CrossRef]
- Lin, C.M.; Chin, W.L. Adaptive decoupled fuzzy sliding-mode control of a nonlinear aeroelastic system. J. Guid. Control. Dyn. 2006, 29, 206–209. [Google Scholar]
- Li, J. Deep neural network for unsteady aerodynamic and aeroelastic modeling across multiple mach numbers. Nonlinear Dyn. 2019, 96, 2157–2177. [Google Scholar] [CrossRef]
- Vecchiarelli, J.; Currie, I.G.; Havard, D.G. Computational analysis of aeolian conductor vibration with a stockbridge-type damper. J. Fluids Struct. 2000, 14, 489–509. [Google Scholar] [CrossRef]
- Rawlins, C. Fundamental concepts in the analysis of wake-induced oscillation of bundled conductors. IEEE Trans. Power Appar. Syst. 1976, 95, 1377–1393. [Google Scholar] [CrossRef]
- Matsumiya, H.; Yukino, T.; Shimizu, M.; Nishihara, T. Field observation of galloping on four-bundled conductors and verification of countermeasure effect of loose spacers. J. Wind End. Ind. Aerodyn. 2022, 220, 104859. [Google Scholar] [CrossRef]
- Catchpole, P. A study of parameters relevant to aeolian vibration calculations for transmission line conductors. Proc. ETC 2006, 59–68. [Google Scholar]
- Miao, J. Integral alternate analysis of the long-span conductor systems free vibration. J. Mech. Eng. 2002, 38, 153–155. (In Chinese) [Google Scholar] [CrossRef]
- Li, L.; Ye, Z.; Kong, D. Improvement of energy balance method and analysis of aeolian vibration on uhv transmission lines. Eng. Mech. 2009, 26, 176–180+197. [Google Scholar]
- Goswami, I.; Scanlan, R.H.; Jones, N.P. Vortex-induced vibration of circular cylinders. I: Experimental data. J. Eng. Mech. 1993, 11, 2270–2287. [Google Scholar] [CrossRef]
- Larsen, A. Vortex-induced vibration of circular cylinders. II: New model. J. Eng. Mech. 1995, 121, 350–353. [Google Scholar] [CrossRef]
- You, Y.; Zhang, L.Q.; Zhang, L.; Ma, Q.Y.; Yan, Z.T.; Liu, X.P. Study on finite element analysis of breeze vibration of transmission lines based on three-node cable elements. IOP Conf. Series EES 2018, 170, 042103. [Google Scholar]
- Chen, S.S. A review of flow-induced vibration of two circular cylinders in crossflow. Trans. ASME 1986, 108, 77–79. [Google Scholar] [CrossRef]
- Price, S.J. Wake induced flutter of power transmission conductors. J. Sound. Vib. 1975, 38, 125–147. [Google Scholar] [CrossRef]
- Singh, S.K. Investigation of spatial growth of young wind wave field. Proc. FMFP 2023, 2, 83–86. [Google Scholar]
- Piperni, S. An investigation of the effect of mechanical damping to alleviate wake-induced flutter of overhead power conductors. J. Fluids Struct. 1988, 2, 53–71. [Google Scholar]
- Xu, X.P.; Dai, J.; Xu, Z.D. A novel multi-objective optimization of mass dampers for controlling the vortex-induced vibration in bridges. Eng. Struct. 2023, 281, 115761. [Google Scholar] [CrossRef]
- Desai, Y.M.; Yu, P.; Popplewell, N.; Shah, A.H. Finite element modelling of transmission line galloping. Comput. Struct. 1995, 57, 407–420. [Google Scholar] [CrossRef]
- Desai, Y.M.; Shah, Y.A.H.; Popplewell, N. Perturbation-based finite element analyses of transmission line galloping. J. Sound Vib. 1996, 191, 469–489. [Google Scholar] [CrossRef]
- Wang, J.; Lilien, J.L. Overhead electrical transmission line galloping: A full multi-span 3-dof model, some applications and design recommendations. IEEE. Trans. Power Deliv. 1998, 13, 909–916. [Google Scholar] [CrossRef]
- Wang, J.; Lilien, J.L. A new theory for torsional stiffness of multi-span bundle overhead transmission lines. IEEE. Trans. Power Deliv. 1998, 13, 1405–1411. [Google Scholar] [CrossRef]
- Nigol, O.; Clarke, G.J.; Havard, D.G. Torsional stability of bundle conductors. IEEE Trans. Power Appar. Syst. 1977, 96, 1666–1674. [Google Scholar] [CrossRef]
- Liu, X.H.; Yan, B.; Zhang, H.Y.; Zhou, S. Nonlinear numerical simulation method for galloping of iced conductor. Appl. Math. Mech. 2009, 30, 489–501. [Google Scholar] [CrossRef]
- Liu, X.H.; Yan, B.; Zhang, H.Y.; Zhou, S.; Tang, J. Nonlinear finite element analysis method of split conductor galloping. Vib. Shock 2010, 29, 129–133 + 240–241. (In Chinese) [Google Scholar]
- Yan, Z.T.; Zhang, H.F.; Li, Z.L. Galloping analysis of ice-covered transmission lines based on incremental harmonic balance method. J. Vib. Eng. 2012, 25, 161–166. (In Chinese) [Google Scholar]
- Li, Q.; Yang, X.W.; Bu, Y.Z. Effect of geometric nonlinearity on deformation of extra-long-span cable- stayed bridge. J. Southwest Jiaotong Univ. 2007, 2, 133–137. (In Chinese) [Google Scholar]
- Zhao, Y.Y.; Zhou, H.B.; Jin, B.; Liu, W.C. Influence of bending rigidity on nonlinear natural frequency of inclined cable. Eng. Mech. 2008, 1, 196–202. (In Chinese) [Google Scholar]
- Tan, D.M.; Wang, K.L.; Qu, W.L.; Han, L.; Gao, Y.Z. Galloping analysis of wind-induced vibration for 3d stay cables with iced accretion. Vib. Shock 2016, 35, 156–160+166. (In Chinese) [Google Scholar]
- Zheng, Z.B.; Dai, H.Z. Structural stochastic responses determination via a sample-based stochastic finite element method. Comput. Methods Appl. Mech. Eng. 2021, 381, 113824. [Google Scholar] [CrossRef]
- Yu, P.; Desai, Y.M.; Popplewell, N.; Shah, A.H. Thre-degree-of-freedom model for galloping. Part ii: Solutions. J. Eng. Mech. 1993, 119, 2426–2448. [Google Scholar] [CrossRef]
- Yu, P.; Desai, Y.M.; Shah, A.H.; Popplewell, N. Three-degreeof-freedom model for galloping. Part i: Formulation. J. Eng. Mech. 1993, 119, 2404–2425. [Google Scholar] [CrossRef]
- Huang, K.; Feng, Q.; Qu, B. Bending aeroelastic instability of the structure of suspended cable-stayed beam. Nonlinear Dyn. 2017, 87, 2765–2778. [Google Scholar] [CrossRef]
- Li, G. Research on Analytic Solution of Galloping of Iced Conductor Considering Geometric Nonlinearity and Environmental Factors and Time-Delay Control. Ph.D. Thesis, Huazhong University of Science and Technology, Wuhan, China, 2021. (In Chinese). [Google Scholar]
- Zhang, Y.L.; Chen, L.Q. Steady-state response of pipes conveying pulsating fluid near a 2:1 internal resonance in the supercritical regime. Int. J. Appl. Mech. 2014, 6, 1450056. [Google Scholar] [CrossRef]
- Lou, W.J.; Yu, J.; Jiang, X.; Lu, M.; Lu, Z.B. Stability evaluation and aerodynamic damping study on three-degree-of-freedom coupled galloping of iced conductors. Civ. Eng. J. 2017, 50, 55–64. (In Chinese) [Google Scholar]
- Liu, X.; Huo, B. Nonlinear vibration and multimodal interaction analysis of transmission line with thin ice accretions. Int. J. Appl. Mech. 2015, 7, 1550007. [Google Scholar] [CrossRef]
- Meng, Z.; Guifeng, Z.; Jie, L. Nonlinear dynamic analysis of high-voltage overhead transmission lines. Shock Vib. 2018, 2018, 1247523. [Google Scholar]
- Wang, D.; Chen, X.; Li, J. Prediction of wind-induced buffeting response of overhead conductor: Comparison of linear and nonlinear analysis approaches. J. Wind End. Ind. Aerodyn. 2017, 167, 23–40. [Google Scholar] [CrossRef]
- Matsagar, H.V. Dynamic analysis of overhead transmission lines under turbulent wind loading. OJCE 2015, 5, 359–371. [Google Scholar]
- Vanderveldt, H.H.; Chung, B.S.; Reader, W.T. Some dynamic properties of axially loaded wire ropes. Exp. Mech. 1973, 13, 24–30. [Google Scholar]
- Ni, Y.Q.; Ko, J.M.; Wong, C.W.; Zhan, S. Modelling and identification of a wire-cable vibration isolator via a cyclic loading test. Proc. Inst. Mech. Eng. Part I J. Syst. Control. Eng. 1999, 213, 163–172. [Google Scholar]
- Tinker, M.L.; Cutchins, M.A. Damping phenomena in a wire rope vibration isolation system. J. Sound Vib. 1992, 157, 7–18. [Google Scholar] [CrossRef]
- Cao, Y.; Yao, H.; Li, Q.; Yang, P.; Wen, B. Vibration mitigation and dynamics of a rotor-blade system with an attached nonlinear energy sink. Int. J. Non-Lin. Mech. 2020, 127, 103614. [Google Scholar] [CrossRef]
- Li, H.; Li, A.; Kong, X. Design criteria of bistable nonlinear energy sink in steady-state dynamics of beams and plates. Nonlinear Dyn. 2021, 103, 1475–1497. [Google Scholar] [CrossRef]
- Leroux, M.; Langlois, S.; Savadkoohi, A.T. Nonlinear passive control of galloping of overhead transmission lines: Design and numerical verifications. Proc. Sur. Vib. Shock Noise 2023, 1–4. [Google Scholar]
- Gupta, S.K.; Malla, A.L.; Barry, O.R. Nonlinear vibration analysis of vortex-induced vibrations in overhead power lines with nonlinear vibration absorbers. Nonlinear Dyn. 2021, 103, 27–47. [Google Scholar] [CrossRef]
- Chen, D.; Gu, C.; Fang, K.; Yang, J.; Guo, D.; Marzocca, P. Vortex-induced vibration of a cylinder with nonlinear energy sink (NES) at low Reynolds number. Nonlinear Dyn. 2021, 104, 1937–1954. [Google Scholar] [CrossRef]
- Zuo, H.; Zhu, S. Development of novel track nonlinear energy sinks for seismic performance improvement of offshore wind turbine towers. Mech. Syst. Signal Process. 2022, 172, 108975. [Google Scholar] [CrossRef]








Disclaimer/Publisher’s Note: The statements, opinions and data contained in all publications are solely those of the individual author(s) and contributor(s) and not of MDPI and/or the editor(s). MDPI and/or the editor(s) disclaim responsibility for any injury to people or property resulting from any ideas, methods, instructions or products referred to in the content. |
© 2023 by the authors. Licensee MDPI, Basel, Switzerland. This article is an open access article distributed under the terms and conditions of the Creative Commons Attribution (CC BY) license (https://creativecommons.org/licenses/by/4.0/).
Share and Cite
Zhao, S.; Zhang, C.; Dai, X.; Yan, Z. Review of Wind-Induced Effects Estimation through Nonlinear Analysis of Tall Buildings, High-Rise Structures, Flexible Bridges and Transmission Lines. Buildings 2023, 13, 2033. https://doi.org/10.3390/buildings13082033
Zhao S, Zhang C, Dai X, Yan Z. Review of Wind-Induced Effects Estimation through Nonlinear Analysis of Tall Buildings, High-Rise Structures, Flexible Bridges and Transmission Lines. Buildings. 2023; 13(8):2033. https://doi.org/10.3390/buildings13082033
Chicago/Turabian StyleZhao, Shuang, Chengtao Zhang, Xianxing Dai, and Zhitao Yan. 2023. "Review of Wind-Induced Effects Estimation through Nonlinear Analysis of Tall Buildings, High-Rise Structures, Flexible Bridges and Transmission Lines" Buildings 13, no. 8: 2033. https://doi.org/10.3390/buildings13082033
APA StyleZhao, S., Zhang, C., Dai, X., & Yan, Z. (2023). Review of Wind-Induced Effects Estimation through Nonlinear Analysis of Tall Buildings, High-Rise Structures, Flexible Bridges and Transmission Lines. Buildings, 13(8), 2033. https://doi.org/10.3390/buildings13082033

