Effect of Fiber Loading on Thermal Properties of Cellulosic Washingtonia Reinforced HDPE Biocomposites
Abstract
1. Introduction
2. Experimental Procedure
2.1. Fiber Extraction and Preparation
2.2. Thermoplastic Matrix
2.3. Elaboration of HDPE/WF Biocomposites
2.4. Thermal Analysis
2.4.1. DSC
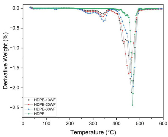
2.4.2. TGA
2.4.3. DMA
2.4.4. TMA
3. Results and Discussion
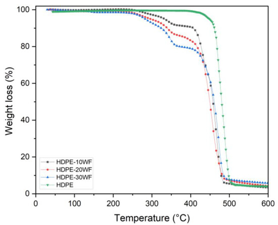
3.1. TGA Analysis
3.2. DTG Analysis
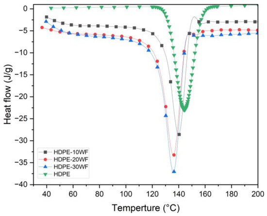
3.3. DSC Analysis
3.4. DMA Analysis
3.4.1. Storage Modulus E′
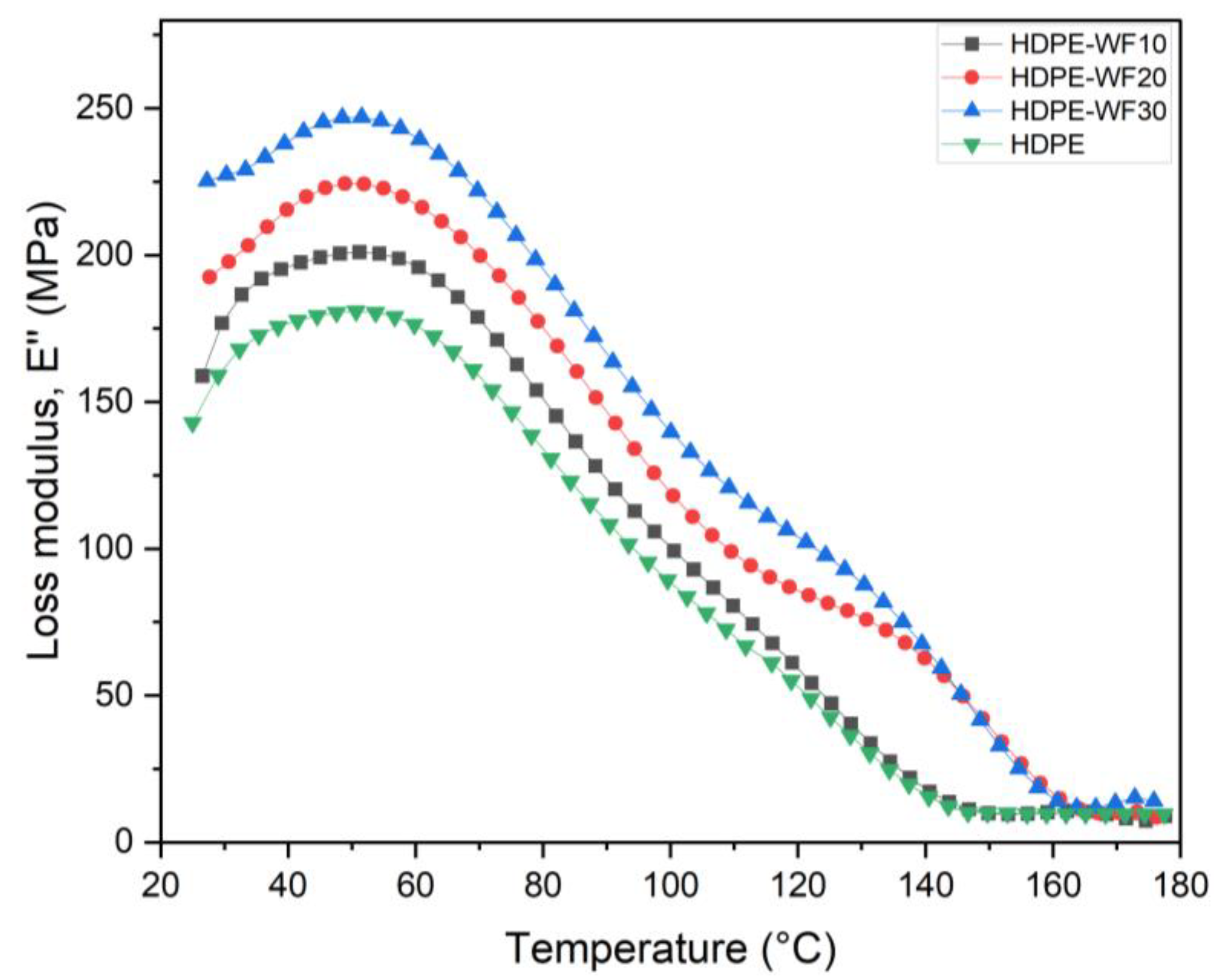
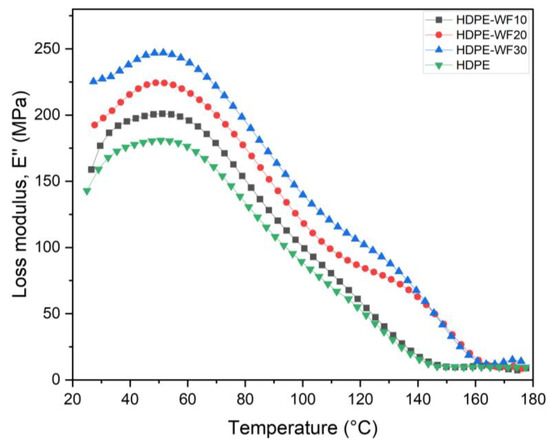
3.4.2. Loss Modulus E″
3.4.3. Cole-Cole Plot
3.4.4. Damping Factor
3.5. TMA Analysis
4. Potential Applications
5. Conclusions
Author Contributions
Funding
Institutional Review Board Statement
Data Availability Statement
Conflicts of Interest
References
- Rangappa, S.M.; Siengchin, S.; Parameswaranpillai, J.; Jawaid, M.; Ozbakkaloglu, T. Lignocellulosic fiber reinforced composites: Progress, performance, properties, applications, and future perspectives. Polym. Compos. 2022, 43, 645–691. [Google Scholar] [CrossRef]
- Haris, N.I.N.; Hassan, M.Z.; Ilyas, R.A.; Suhot, M.A.; Sapuan, S.M.; Dolah, R.; Mohammad, R.; Asyraf, M.R.M. Dynamic mechanical properties of natural fiber reinforced hybrid polymer composites: A review. J. Mater. Res. Technol. 2022, 19, 167–182. [Google Scholar] [CrossRef]
- Rampal; Kumar, G.; Rangappa, S.; Siengchin, S.; Zafar, S. A review of recent advancements in drilling of fiber-reinforced polymer composites. Compos. Part C Open Access 2022, 9, 100312. [Google Scholar] [CrossRef]
- Nurazzi, N.M.; Asyraf, M.R.M.; Khalina, A.; Abdullah, N.; Aisyah, H.A.; Rafiqah, S.A.; Sabaruddin, F.A.; Kamarudin, S.H.; Norrrahim, M.N.F.; Ilyas, R.A.; et al. A Review on Natural Fiber Reinforced Polymer Composite for Bullet Proof and Ballistic Applications. Polymers 2021, 13. [Google Scholar] [CrossRef] [PubMed]
- de Queiroz, H.F.M.; Banea, M.D.; Cavalcanti, D.K.K. Adhesively bonded joints of jute, glass and hybrid jute/glass fibre-reinforced polymer composites for automotive industry. Appl. Adhes. Sci. 2021, 9, 2. [Google Scholar] [CrossRef]
- Wang, B.; Yan, L.; Kasal, B. A review of coir fibre and coir fibre reinforced cement-based composite materials (2000–2021). J. Clean. Prod. 2022, 338, 130676. [Google Scholar] [CrossRef]
- Neto, J.S.S.; de Queiroz, H.F.M.; Aguiar, R.A.A.; Banea, M.D. A Review on the Thermal Characterisation of Natural and Hybrid Fiber Composites. Polymers 2021, 13, 4425. [Google Scholar] [CrossRef]
- Bourchak, M.; Ajaj, R.; Khalid, M.; Juhany, K.A.; Arun Prakash, V.R.; Alshahrani, H. Development of light weight sustainable pineapple/kevlar hybridized fiber and peanut husk cellulose toughened vinyl ester biocomposite for unmanned aerial vehicle applications. J. Vinyl Addit. Technol. 2023, 29, 448–457. [Google Scholar] [CrossRef]
- Lekrine, A.; Belaadi, A.; Makhlouf, A.; Amroune, S.; Bourchak, M.; Satha, H.; Jawaid, M. Structural, thermal, mechanical and physical properties of Washingtonia filifera Fibres Reinforced Thermoplastic Biocomposites. Mater. Today Commun. 2022, 2022, 103574. [Google Scholar] [CrossRef]
- Belaadi, A.; Boumaaza, M.; Alshahrani, H.; Bourchak, M.; Jawaid, M. Drilling performance prediction of HDPE/Washingtonia fiber biocomposite using RSM, ANN, and GA optimization. Int. J. Adv. Manuf. Technol. 2022, 123, 1543–1564. [Google Scholar] [CrossRef]
- Ku, H.; Wang, H.; Pattarachaiyakoop, N.; Trada, M. A review on the tensile properties of natural fiber reinforced polymer composites. Compos. Part B Eng. 2011, 42, 856–873. [Google Scholar] [CrossRef]
- Jawaid, M.; Alothman, O.Y.; Saba, N.; Tahir, P.M.; Khalil, H.P.S.A. Effect of fibers treatment on dynamic mechanical and thermal properties of epoxy hybrid composites. Polym. Compos. 2015, 36, 1669–1674. [Google Scholar] [CrossRef]
- Glória, G.O.; Teles, M.C.A.; Lopes, F.P.D.; Vieira, C.M.F.; Margem, F.M.; Gomes, M.d.A.; Monteiro, S.N. Tensile strength of polyester composites reinforced with PALF. J. Mater. Res. Technol. 2017, 6, 401–405. [Google Scholar] [CrossRef]
- Rajesh, M.; Pitchaimani, J. Dynamic mechanical and free vibration behavior of natural fiber braided fabric composite: Comparison with conventional and knitted fabric composites. Polym. Compos. 2018, 39, 2479–2489. [Google Scholar] [CrossRef]
- Senthilkumar, K.; Saba, N.; Chandrasekar, M.; Jawaid, M.; Rajini, N.; Siengchin, S.; Ayrilmis, N.; Mohammad, F.; Al-Lohedan, H.A. Compressive, dynamic and thermo-mechanical properties of cellulosic pineapple leaf fibre/polyester composites: Influence of alkali treatment on adhesion. Int. J. Adhes. Adhes. 2021, 106, 102823. [Google Scholar] [CrossRef]
- Müller-Pabel, M.; Rodríguez Agudo, J.A.; Gude, M. Measuring and understanding cure-dependent viscoelastic properties of epoxy resin: A review. Polym. Test. 2022, 114, 107701. [Google Scholar] [CrossRef]
- Saba, N.; Paridah, M.T.; Abdan, K.; Ibrahim, N.A. Dynamic mechanical properties of oil palm nano filler/kenaf/epoxy hybrid nanocomposites. Constr. Build. Mater. 2016, 124, 133–138. [Google Scholar] [CrossRef]
- Asim, M.; Jawaid, M.; Nasir, M.; Saba, N. Effect of Fiber Loadings and Treatment on Dynamic Mechanical, Thermal and Flammability Properties of Pineapple Leaf Fiber and Kenaf Phenolic Composites. J. Renew. Mater. 2018, 6. [Google Scholar] [CrossRef]
- Asim, M.; Jawaid, M.; Khan, A.; Asiri, A.M.; Malik, M.A. Effects of Date Palm fibres loading on mechanical, and thermal properties of Date Palm reinforced phenolic composites. J. Mater. Res. Technol. 2020, 9, 3614–3621. [Google Scholar] [CrossRef]
- Asim, M.; Jawaid, M.; Paridah, M.T.; Saba, N.; Nasir, M.; Shahroze, R.M. Dynamic and thermo-mechanical properties of hybridized kenaf/PALF reinforced phenolic composites. Polym. Compos. 2019, 40, 3814–3822. [Google Scholar] [CrossRef]
- Shaikh, H.; Alothman, O.Y.; Alshammari, B.A.; Jawaid, M. Dynamic and thermo-mechanical properties of polypropylene reinforced with date palm nano filler. J. King Saud Univ. Sci. 2023, 35, 102561. [Google Scholar] [CrossRef]
- Jawaid, M.; Awad, S.; Fouad, H.; Asim, M.; Saba, N.; Dhakal, H.N. Improvements in the thermal behaviour of date palm/bamboo fibres reinforced epoxy hybrid composites. Compos. Struct. 2021, 277, 114644. [Google Scholar] [CrossRef]
- Gheith, M.H.; Aziz, M.A.; Ghori, W.; Saba, N.; Asim, M.; Jawaid, M.; Alothman, O.Y. Flexural, thermal and dynamic mechanical properties of date palm fibres reinforced epoxy composites. J. Mater. Res. Technol. 2019, 8, 853–860. [Google Scholar] [CrossRef]
- Sreenivasan, V.S.; Rajini, N.; Alavudeen, A.; Arumugaprabu, V. Dynamic mechanical and thermo-gravimetric analysis of Sansevieria cylindrica/polyester composite: Effect of fiber length, fiber loading and chemical treatment. Compos. Part B Eng. 2015, 69, 76–86. [Google Scholar] [CrossRef]
- Khan, A.; Asiri, A.M.; Jawaid, M.; Saba, N. Inamuddin Effect of cellulose nano fibers and nano clays on the mechanical, morphological, thermal and dynamic mechanical performance of kenaf/epoxy composites. Carbohydr. Polym. 2020, 239, 116248. [Google Scholar] [CrossRef]
- Cebe, P.; Thomas, D.; Merfeld, J.; Partlow, B.P.; Kaplan, D.L.; Alamo, R.G.; Wurm, A.; Zhuravlev, E.; Schick, C. Heat of fusion of polymer crystals by fast scanning calorimetry. Polymer (Guildf). 2017, 126, 240–247. [Google Scholar] [CrossRef]
- Loganathan, S.; Valapa, R.B.; Mishra, R.K.; Pugazhenthi, G.; Thomas, S. Chapter 4—Thermogravimetric Analysis for Characterization of Nanomaterials. In Micro and Nano Technologies; Thomas, S., Thomas, R., Zachariah, A.K., Mishra, R., Eds.; Elsevier: Amsterdam, The Netherlands, 2017; pp. 67–108. ISBN 978-0-323-46139-9. [Google Scholar]
- Ahmed, M.J.; Balaji, M.S.; Saravanakumar, S.S.; Sanjay, M.R.; Senthamaraikannan, P. Characterization of Areva javanica fiber—A possible replacement for synthetic acrylic fiber in the disc brake pad. J. Ind. Text. 2019, 49, 294–317. [Google Scholar] [CrossRef]
- Mandal, A.; Chakrabarty, D. Studies on the mechanical, thermal, morphological and barrier properties of nanocomposites based on poly(vinyl alcohol) and nanocellulose from sugarcane bagasse. J. Ind. Eng. Chem. 2014, 20, 462–473. [Google Scholar] [CrossRef]
- Kim, H.-S.; Yang, H.-S.; Kim, H.-J.; Park, H.-J. Thermogravimetric analysis of rice husk flour filled thermoplastic polymer composites. J. Therm. Anal. Calorim. 2004, 76, 395–404. [Google Scholar] [CrossRef]
- Gańán, P.; Mondragon, I. Thermal and degradation behavior of fique fiber reinforced thermoplastic matrix composites. J. Therm. Anal. Calorim. 2003, 73, 783–795. [Google Scholar] [CrossRef]
- Choudhury, A. Isothermal crystallization and mechanical behavior of ionomer treated sisal/HDPE composites. Mater. Sci. Eng. A 2008, 491, 492–500. [Google Scholar] [CrossRef]
- Araújo, J.R.; Waldman, W.R.; De Paoli, M.A. Thermal properties of high density polyethylene composites with natural fibres: Coupling agent effect. Polym. Degrad. Stab. 2008, 93, 1770–1775. [Google Scholar] [CrossRef]
- Pistor, V.; Ornaghi, F.G.; Ornaghi, H.L.; Zattera, A.J. Dynamic mechanical characterization of epoxy/epoxycyclohexyl–POSS nanocomposites. Mater. Sci. Eng. A 2012, 532, 339–345. [Google Scholar] [CrossRef]
- García-Martínez, J.M.; Areso, S.; Collar, E.P. Preliminary dynamic-mechanical analysis of polypropylene/short carbon fibers composites modified by a succinic anhydride-grafted atactic polypropylene. Polym. Eng. Sci. 2017, 57, 731–738. [Google Scholar] [CrossRef]
- Asim, M.; Paridah, M.T.; Saba, N.; Jawaid, M.; Alothman, O.Y.; Nasir, M.; Almutairi, Z. Thermal, physical properties and flammability of silane treated kenaf/pineapple leaf fibres phenolic hybrid composites. Compos. Struct. 2018, 202, 1330–1338. [Google Scholar] [CrossRef]
- Idicula, M.; Malhotra, S.K.; Joseph, K.; Thomas, S. Effect of layering pattern on dynamic mechanical properties of randomly oriented short banana/sisal hybrid fiber-reinforced polyester composites. J. Appl. Polym. Sci. 2005, 97, 2168–2174. [Google Scholar] [CrossRef]
- Indira, K.N.; Jyotishkumar, P.; Thomas, S. Thermal stability and degradation of banana fibre/PF composites fabricated by RTM. Fibers Polym. 2012, 13, 1319–1325. [Google Scholar] [CrossRef]
- Hameed, N.; Sreekumar, P.A.; Francis, B.; Yang, W.; Thomas, S. Morphology, dynamic mechanical and thermal studies on poly(styrene-co-acrylonitrile) modified epoxy resin/glass fibre composites. Compos. Part A Appl. Sci. Manuf. 2007, 38, 2422–2432. [Google Scholar] [CrossRef]
- Alothman, O.Y.; Jawaid, M.; Senthilkumar, K.; Chandrasekar, M.; Alshammari, B.A.; Fouad, H.; Hashem, M.; Siengchin, S. Thermal characterization of date palm/epoxy composites with fillers from different parts of the tree. J. Mater. Res. Technol. 2020, 9, 15537–15546. [Google Scholar] [CrossRef]
- Jawaid, M.; Khalil, H.P.S.A. Effect of layering pattern on the dynamic mechanical properties and thermal degradation of oil palm-jute fibers reinforced epoxy hybrid composite. BioResources 2011, 6, 2309–2322. [Google Scholar] [CrossRef]
- Saba, N.; Jawaid, M.; Alothman, O.Y.; Paridah, M.T. A review on dynamic mechanical properties of natural fibre reinforced polymer composites. Constr. Build. Mater. 2016, 106, 149–159. [Google Scholar] [CrossRef]
- Ramakrishnan, S.; Krishnamurthy, K.; Rajeshkumar, G.; Asim, M. Dynamic Mechanical Properties and Free Vibration Characteristics of Surface Modified Jute Fiber/Nano-Clay Reinforced Epoxy Composites. J. Polym. Environ. 2021, 29, 1076–1088. [Google Scholar] [CrossRef]
- Karamipour, S.; Ebadi-Dehaghani, H.; Ashouri, D.; Mousavian, S. Effect of nano-CaCO3 on rheological and dynamic mechanical properties of polypropylene: Experiments and models. Polym. Test. 2011, 30, 110–117. [Google Scholar] [CrossRef]
- Majid, M.; Hassan, E.-D.; Davoud, A.; Saman, M. A study on the effect of nano-ZnO on rheological and dynamic mechanical properties of polypropylene: Experiments and models. Compos. Part B Eng. 2011, 42, 2038–2046. [Google Scholar] [CrossRef]
- Hansen, B.; Borsoi, C.; Dahlem Júnior, M.A.; Catto, A.L. Thermal and thermo-mechanical properties of polypropylene composites using yerba mate residues as reinforcing filler. Ind. Crops Prod. 2019, 140, 111696. [Google Scholar] [CrossRef]
- Sreekumar, P.A.; Saiah, R.; Saiter, J.M.; Leblanc, N.; Joseph, K.; Unnikrishnan, G.; Thomas, S. Effect of chemical treatment on dynamic mechanical properties of sisal fiber-reinforced polyester composites fabricated by resin transfer molding. Compos. Interfaces 2008, 15, 263–279. [Google Scholar] [CrossRef]
- Jayanarayanan, K.; Thomas, S.; Joseph, K. Dynamic Mechanical Analysis of in situ Microfibrillar Composites Based on PP and PET. Polym. Plast. Technol. Eng. 2009, 48, 455–463. [Google Scholar] [CrossRef]
- He, W.; Xing, T.; Liao, G.X.; Lin, W.; Deng, F.; Jian, X.G. Dynamic Mechanical Properties of PPESK/Silica Hybrid Materials. Polym. Plast. Technol. Eng. 2009, 48, 164–169. [Google Scholar] [CrossRef]
- Indira, K.N.; Jyotishkumar, P.; Thomas, S. Viscoelastic behaviour of untreated and chemically treated banana Fiber/PF composites. Fibers Polym. 2014, 15, 91–100. [Google Scholar] [CrossRef]
- Jesuarockiam, N.; Jawaid, M.; Zainudin, E.S.; Thariq Hameed Sultan, M.; Yahaya, R. Enhanced Thermal and Dynamic Mechanical Properties of Synthetic/Natural Hybrid Composites with Graphene Nanoplateletes. Polymers 2019, 11. [Google Scholar] [CrossRef]
- Shinoj, S.; Visvanathan, R.; Panigrahi, S.; Varadharaju, N. Dynamic mechanical properties of oil palm fibre (OPF)-linear low density polyethylene (LLDPE) biocomposites and study of fibre–matrix interactions. Biosyst. Eng. 2011, 109, 99–107. [Google Scholar] [CrossRef]
- Almeida Júnior, J.H.S.; Ornaghi Júnior, H.L.; Amico, S.C.; Amado, F.D.R. Study of hybrid intralaminate curaua/glass composites. Mater. Des. 2012, 42, 111–117. [Google Scholar] [CrossRef]
- Shahroze, R.M.; Ishak, M.R.; Salit, M.S.; Leman, Z.; Chandrasekar, M.; Munawar, N.S.Z.; Asim, M. Sugar palm fiber/polyester nanocomposites: Influence of adding nanoclay fillers on thermal, dynamic mechanical, and physical properties. J. Vinyl Addit. Technol. 2020, 26, 236–243. [Google Scholar] [CrossRef]
- Asim, M.; Jawaid, M.; Abdan, K.; Ishak, M.R. The Effect of Silane Treated Fibre Loading on Mechanical Properties of Pineapple Leaf/Kenaf Fibre Filler Phenolic Composites. J. Polym. Environ. 2018, 26, 1520–1527. [Google Scholar] [CrossRef]
- Modesti, M.; Lorenzetti, A.; Bon, D.; Besco, S. Thermal behaviour of compatibilised polypropylene nanocomposite: Effect of processing conditions. Polym. Degrad. Stab. 2006, 91, 672–680. [Google Scholar] [CrossRef]
- Bashir, M.A. Use of Dynamic Mechanical Analysis (DMA) for Characterizing Interfacial Interactions in Filled Polymers. Solids 2021, 2, 6. [Google Scholar] [CrossRef]
- Ren, D.; Zheng, S.; Wu, F.; Yang, W.; Liu, Z.; Yang, M. Formation and evolution of the carbon black network in polyethylene/carbon black composites: Rheology and conductivity properties. J. Appl. Polym. Sci. 2014, 131, 39953. [Google Scholar] [CrossRef]
- Anil, A.; E, T.J.; George, G. Dynamic mechanical properties and ageing studies of coir-sisal yarn reinforced polypropylene commingled composites. Polym. Polym. Compos. 2023, 31, 09673911221150145. [Google Scholar] [CrossRef]
- Kanaginahal, G.M.; Hebbar, S.; Shahapurkar, K.; Alamir, M.A.; Tirth, V.; Alarifi, I.M.; Sillanpaa, M.; Murthy, H.C.A. Leverage of weave pattern and composite thickness on dynamic mechanical analysis, water absorption and flammability response of bamboo fabric/epoxy composites. Heliyon 2023, 9, e12950. [Google Scholar] [CrossRef]
- Chokkalingam, V.; Gurusamy, P.; Kingsly, J.J.; Adinarayanan, A. Mechanical, wear, and dynamic mechanical analysis of Indian rice husk biomass ash Si3N4 and twill weaved aloe vera fiber-epoxy composite. Biomass Convers. Biorefinery 2023. [Google Scholar] [CrossRef]
- Naveen, J.; Jawaid, M.; Zainudin, E.S.; Sultan, M.T.H.; Yahaya, R.; Abdul Majid, M.S. Thermal degradation and viscoelastic properties of Kevlar/Cocos nucifera sheath reinforced epoxy hybrid composites. Compos. Struct. 2019, 219, 194–202. [Google Scholar] [CrossRef]
- Asim, M.; Jawaid, M.; Fouad, H.; Alothman, O.Y. Effect of surface modified date palm fibre loading on mechanical, thermal properties of date palm reinforced phenolic composites. Compos. Struct. 2021, 267, 113913. [Google Scholar] [CrossRef]
- Devi, L.U.; Bhagawan, S.S.; Thomas, S. Dynamic mechanical analysis of pineapple leaf/glass hybrid fiber reinforced polyester composites. Polym. Compos. 2010, 31, 956–965. [Google Scholar] [CrossRef]
- Jawaid, M.; Abdul Khalil, H.P.S.; Hassan, A.; Dungani, R.; Hadiyane, A. Effect of jute fibre loading on tensile and dynamic mechanical properties of oil palm epoxy composites. Compos. Part B Eng. 2013, 45, 619–624. [Google Scholar] [CrossRef]
- Pothan, L.A.; Oommen, Z.; Thomas, S. Dynamic mechanical analysis of banana fiber reinforced polyester composites. Compos. Sci. Technol. 2003, 63, 283–293. [Google Scholar] [CrossRef]
- Joseph, P.V.; Mathew, G.; Joseph, K.; Groeninckx, G.; Thomas, S. Dynamic mechanical properties of short sisal fibre reinforced polypropylene composites. Compos. Part A Appl. Sci. Manuf. 2003, 34, 275–290. [Google Scholar] [CrossRef]
- Idicula, M.; Malhotra, S.K.; Joseph, K.; Thomas, S. Dynamic mechanical analysis of randomly oriented intimately mixed short banana/sisal hybrid fibre reinforced polyester composites. Compos. Sci. Technol. 2005, 65, 1077–1087. [Google Scholar] [CrossRef]
- Alshammari, B.A.; Saba, N.; Alotaibi, M.D.; Alotibi, M.F.; Jawaid, M.; Alothman, O.Y. Evaluation of Mechanical, Physical, and Morphological Properties of Epoxy Composites Reinforced with Different Date Palm Fillers. Materials 2019, 12. [Google Scholar] [CrossRef] [PubMed]
- Romanzini, D.; Lavoratti, A.; Ornaghi, H.L.; Amico, S.C.; Zattera, A.J. Influence of fiber content on the mechanical and dynamic mechanical properties of glass/ramie polymer composites. Mater. Des. 2013, 47, 9–15. [Google Scholar] [CrossRef]
- Manoharan, S.; Suresha, B.; Ramadoss, G.; Bharath, B. Effect of Short Fiber Reinforcement on Mechanical Properties of Hybrid Phenolic Composites. J. Mater. 2014, 2014, 478549. [Google Scholar] [CrossRef]
- Mandal, S.; Alam, S. Dynamic mechanical analysis and morphological studies of glass/bamboo fiber reinforced unsaturated polyester resin-based hybrid composites. J. Appl. Polym. Sci. 2012, 125, E382–E387. [Google Scholar] [CrossRef]
- Kabir, M.M.; Wang, H.; Lau, K.T.; Cardona, F.; Aravinthan, T. Mechanical properties of chemically-treated hemp fibre reinforced sandwich composites. Compos. Part B Eng. 2012, 43, 159–169. [Google Scholar] [CrossRef]
- Babaee, M.; Jonoobi, M.; Hamzeh, Y.; Ashori, A. Biodegradability and mechanical properties of reinforced starch nanocomposites using cellulose nanofibers. Carbohydr. Polym. 2015, 132, 1–8. [Google Scholar] [CrossRef] [PubMed]
- Dufresne, A.; Castaño, J. Polysaccharide nanomaterial reinforced starch nanocomposites: A review. Starch Stärke 2017, 69, 1500307. [Google Scholar] [CrossRef]
- Sookyung, U.; Nakason, C.; Venneman, N.; Thaijaroend, W. Influence concentration of modifying agent on properties of natural rubber/organoclay nanocomposites. Polym. Test. 2016, 54, 223–232. [Google Scholar] [CrossRef]
- Tajvidi, M.; Falk, R.H.; Hermanson, J.C. Effect of natural fibers on thermal and mechanical properties of natural fiber polypropylene composites studied by dynamic mechanical analysis. J. Appl. Polym. Sci. 2006, 101, 4341–4349. [Google Scholar] [CrossRef]
- Han, Y.H.; Han, S.O.; Cho, D.; Kim, H.-I. Dynamic mechanical properties of natural fiber/polymer biocomposites: The effect of fiber treatment with electron beam. Macromol. Res. 2008, 16, 253–260. [Google Scholar] [CrossRef]
- Romanzini, D.; Ornaghi, H.L.; Amico, S.C.; Zattera, A.J. Influence of fiber hybridization on the dynamic mechanical properties of glass/ramie fiber-reinforced polyester composites. J. Reinf. Plast. Compos. 2012, 31, 1652–1661. [Google Scholar] [CrossRef]
- Venkata Deepthi, P.; Sita Rama Raju, K.; Indra Reddy, M. Dynamic mechanical analysis of banana, pineapple leaf and glass fibre reinforced hybrid polyester composites. Mater. Today Proc. 2019, 18, 2114–2117. [Google Scholar] [CrossRef]
- Ridzuan, M.J.M.; Majid, M.S.A.; Afendi, M.; Mazlee, M.N.; Gibson, A.G. Thermal behaviour and dynamic mechanical analysis of Pennisetum purpureum/glass-reinforced epoxy hybrid composites. Compos. Struct. 2016, 152, 850–859. [Google Scholar] [CrossRef]
- Luo, S.; Cao, J.; McDonald, A.G. Esterification of industrial lignin and its effect on the resulting poly(3-hydroxybutyrate-co-3-hydroxyvalerate) or polypropylene blends. Ind. Crops Prod. 2017, 97, 281–291. [Google Scholar] [CrossRef]
- Xu, X.; Liu, F.; Jiang, L.; Zhu, J.Y.; Haagenson, D.; Wiesenborn, D.P. Cellulose Nanocrystals vs. Cellulose Nanofibrils: A Comparative Study on Their Microstructures and Effects as Polymer Reinforcing Agents. ACS Appl. Mater. Interfaces 2013, 5, 2999–3009. [Google Scholar] [CrossRef] [PubMed]
- Debenedetti, P.G.; Stillinger, F.H. Supercooled liquids and the glass transition. Nature 2001, 410, 259–267. [Google Scholar] [CrossRef] [PubMed]
- Lu, H.; Nutt, S. Restricted Relaxation in Polymer Nanocomposites near the Glass Transition. Macromolecules 2003, 36, 4010–4016. [Google Scholar] [CrossRef]
- Wang, X.; Yu, Z.; McDonald, A.G. Effect of Different Reinforcing Fillers on Properties, Interfacial Compatibility and Weatherability of Wood-plastic Composites. J. Bionic Eng. 2019, 16, 337–353. [Google Scholar] [CrossRef]










| Reference Name | Washingtonia Fibers (wt.%) | HDPE (wt.%) |
|---|---|---|
| HDPE | 0 | 100 |
| HDPE-10WF | 10 | 90 |
| HDPE-20WF | 20 | 80 |
| HDPE-30WF | 30 | 70 |
| Materials | First Degradation Stage (°C) | Second Degradation Stage (°C) | T (°C) at 10% of Weight Loss | T (°C) at 50% of Weight Loss | Residue (%) at 600 °C |
|---|---|---|---|---|---|
| HDPE | 396–518 | / | 459 | 481 | 3.98 |
| HDPE-10WF | 256–375 | 398–499 | 404 | 460 | 3.52 |
| HDPE-20WF | 241–378 | 391–492 | 337 | 458 | 5.17 |
| HDPE-30WF | 248–389 | 389–501 | 323 | 451 | 7.01 |
| Materials | Tm (°C) | Tonset (°C) | Toffset (°C) | (J/g) | Xr (%) |
|---|---|---|---|---|---|
| HDPE | 144 | 123 | 165 | 81.16 | 28.18 |
| HDPE-10WF | 140 | 106 | 155 | 76.33 | 29.04 |
| HDPE-20WF | 136 | 103 | 148 | 92.13 | 32.02 |
| HDPE-30WF | 136 | 102 | 148 | 97.67 | 39.48 |
| Materials | Storage Modulus | Loss Modulus | Tan δ Peak | |||
|---|---|---|---|---|---|---|
| E′ (MPa) | Tg Value (°C) | E″ (MPa) | Tg Value (°C) | Tan Delta | Tg Value (°C) | |
| HDPE | 1642 | 31.52 | 180 | 48.63 | 0.23 | 113.11 |
| HDPE-10WF | 1812 | 34.16 | 201 | 50.11 | 0.234 | 122.14 |
| HDPE-20WF | 2079 | 37.49 | 224 | 51.92 | 0.270 | 145.95 |
| HDPE-30WF | 2211 | 35.07 | 246 | 49.43 | 0.239 | 139.47 |
Disclaimer/Publisher’s Note: The statements, opinions and data contained in all publications are solely those of the individual author(s) and contributor(s) and not of MDPI and/or the editor(s). MDPI and/or the editor(s) disclaim responsibility for any injury to people or property resulting from any ideas, methods, instructions or products referred to in the content. |
© 2023 by the authors. Licensee MDPI, Basel, Switzerland. This article is an open access article distributed under the terms and conditions of the Creative Commons Attribution (CC BY) license (https://creativecommons.org/licenses/by/4.0/).
Share and Cite
Bahlouli, S.; Belaadi, A.; Makhlouf, A.; Alshahrani, H.; Khan, M.K.A.; Jawaid, M. Effect of Fiber Loading on Thermal Properties of Cellulosic Washingtonia Reinforced HDPE Biocomposites. Polymers 2023, 15, 2910. https://doi.org/10.3390/polym15132910
Bahlouli S, Belaadi A, Makhlouf A, Alshahrani H, Khan MKA, Jawaid M. Effect of Fiber Loading on Thermal Properties of Cellulosic Washingtonia Reinforced HDPE Biocomposites. Polymers. 2023; 15(13):2910. https://doi.org/10.3390/polym15132910
Chicago/Turabian StyleBahlouli, Safieddine, Ahmed Belaadi, Azzedine Makhlouf, Hassan Alshahrani, Mohammad K. A. Khan, and Mohammed Jawaid. 2023. "Effect of Fiber Loading on Thermal Properties of Cellulosic Washingtonia Reinforced HDPE Biocomposites" Polymers 15, no. 13: 2910. https://doi.org/10.3390/polym15132910
APA StyleBahlouli, S., Belaadi, A., Makhlouf, A., Alshahrani, H., Khan, M. K. A., & Jawaid, M. (2023). Effect of Fiber Loading on Thermal Properties of Cellulosic Washingtonia Reinforced HDPE Biocomposites. Polymers, 15(13), 2910. https://doi.org/10.3390/polym15132910

