Sign in to use this feature.

Years

Between: -

Subjects

remove_circle_outline
remove_circle_outline
remove_circle_outline
remove_circle_outline
remove_circle_outline
remove_circle_outline
remove_circle_outline
remove_circle_outline
remove_circle_outline

Journals

remove_circle_outline
remove_circle_outline
remove_circle_outline
remove_circle_outline
remove_circle_outline
remove_circle_outline
remove_circle_outline
remove_circle_outline
remove_circle_outline
remove_circle_outline
remove_circle_outline
remove_circle_outline
remove_circle_outline
remove_circle_outline
remove_circle_outline
remove_circle_outline
remove_circle_outline
remove_circle_outline
remove_circle_outline
remove_circle_outline
remove_circle_outline
remove_circle_outline
remove_circle_outline
remove_circle_outline
remove_circle_outline
remove_circle_outline
remove_circle_outline
remove_circle_outline
remove_circle_outline

Article Types

Countries / Regions

remove_circle_outline
remove_circle_outline
remove_circle_outline
remove_circle_outline
remove_circle_outline
remove_circle_outline
remove_circle_outline

Search Results (4,581)

Search Parameters:
Keywords = high precision positioning

Order results
Result details
Results per page
Select all
Export citation of selected articles as:
13 pages, 750 KB  
Article
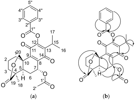
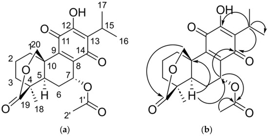
Thorough Characterization of Two Sessein Derivatives with Potential Biological Activity
by Abraham Gómez-Rivera, Cristian Octavio Barredo-Hernández, Santiago Santos-Vázquez, Carlos Ernesto Lobato-García, Ammy Joana Gallegos-García, Ricardo López-Rodríguez, Laura Alvarez, Ma Dolores Pérez-García, Manasés González-Cortazar, Jorge Luis Torres-López and Eric Jaziel Medrano-Sánchez
Molecules 2026, 31(2), 286; https://doi.org/10.3390/molecules31020286 (registering DOI) - 13 Jan 2026
Abstract
The diterpene sessein, isolated from Salvia sessei, is a metabolite of interest due to its conjugated p-quinone system, δ-lactone ring, and phenolic hydroxyl in C-12. These functionalities make it an ideal starting point for reactivity studies and semi-synthetic derivatization. In [...] Read more.
The diterpene sessein, isolated from Salvia sessei, is a metabolite of interest due to its conjugated p-quinone system, δ-lactone ring, and phenolic hydroxyl in C-12. These functionalities make it an ideal starting point for reactivity studies and semi-synthetic derivatization. In this work, we report the obtainment of two derivatives by selective esterification of phenolic hydroxyl in C-12, through acetylation and benzoylation reactions under mild conditions and with high yields. The structures were characterized by UPLC-MS, FTIR, and NMR spectroscopy 1H, 13C, and 2D, which allowed to precisely confirm the modifications made in the derivatives. These results confirm that hydroxyl in C-12 constitutes a privileged site of reactivity within the royleanone family, consolidating sessein as a versatile nucleus for the generation of derivatives. Finally, the preliminary evaluation of the antimicrobial activity showed that sessein shows a broad spectrum of action against Gram-positive, Gram-negative, and Candida albicans strains. The acetylated derivative showed an increase in activity against gram-negative bacteria, while the benzoyl derivative had a loss of effect at the concentrations evaluated. These findings demonstrate that structural modifications influence the properties of the derivatives with respect to the compound sessein. Full article
Show Figures

Figure 1

26 pages, 4529 KB  
Review
Key Technologies for Intelligent Operation of Plant Protection UAVs in Hilly and Mountainous Areas: Progress, Challenges, and Prospects
by Yali Zhang, Zhilei Sun, Wanhang Peng, Yeqing Lin, Xinting Li, Kangting Yan and Pengchao Chen
Agronomy 2026, 16(2), 193; https://doi.org/10.3390/agronomy16020193 (registering DOI) - 13 Jan 2026
Abstract
Hilly and mountainous areas are important agricultural production regions globally. Their dramatic topography, dense fruit tree planting, and steep slopes severely restrict the application of traditional plant protection machinery. Pest and disease control has long relied on manual spraying, resulting in high labor [...] Read more.
Hilly and mountainous areas are important agricultural production regions globally. Their dramatic topography, dense fruit tree planting, and steep slopes severely restrict the application of traditional plant protection machinery. Pest and disease control has long relied on manual spraying, resulting in high labor intensity, low efficiency, and pesticide utilization rates of less than 30%. Plant protection UAVs, with their advantages of flexibility, high efficiency, and precise application, provide a feasible technical approach for plant protection operations in hilly and mountainous areas. However, steep slopes and dense orchard environments place higher demands on key technologies such as drone positioning and navigation, attitude control, trajectory planning, and terrain following. Achieving accurate identification and adaptive following of the undulating fruit tree canopy while maintaining a constant spraying distance to ensure uniform pesticide coverage has become a core technological bottleneck. This paper systematically reviews the key technologies and research progress of plant protection UAVs in hilly and mountainous operations, focusing on the principles, advantages, and limitations of core methods such as multi-sensor fusion positioning, intelligent SLAM navigation, nonlinear attitude control and intelligent control, three-dimensional trajectory planning, and multimodal terrain following. It also discusses the challenges currently faced by these technologies in practical applications. Finally, this paper discusses and envisions the future of plant protection UAVs in achieving intelligent, collaborative, and precise operations on steep slopes and in dense orchards, providing theoretical reference and technical support for promoting the mechanization and intelligentization of mountain agriculture. Full article
(This article belongs to the Section Precision and Digital Agriculture)
Show Figures

Figure 1

17 pages, 9299 KB  
Article
Research and Realization of an OCT-Guided Robotic System for Subretinal Injections
by Yunyao Li, Sujian Wu and Guohua Shi
Actuators 2026, 15(1), 53; https://doi.org/10.3390/act15010053 (registering DOI) - 13 Jan 2026
Abstract
For retinal degenerative diseases, advanced therapies such as gene therapy and retinal stem cell therapy have emerged as promising treatments, which are often delivered through subretinal injection. However, clinical subretinal injection remains challenging due to the extremely high precision requirements, lack of depth [...] Read more.
For retinal degenerative diseases, advanced therapies such as gene therapy and retinal stem cell therapy have emerged as promising treatments, which are often delivered through subretinal injection. However, clinical subretinal injection remains challenging due to the extremely high precision requirements, lack of depth information, and the physiological limitations of manual operation, often leading to complications such as hypotony and globe atrophy. To address these challenges, this study proposes a novel ophthalmic surgical robotic system designed for high-precision subretinal injections. The robotic system incorporate a remote center of motion mechanism for its mechanical structure and employs a master–slave control system to achieve motion scaling. A microscope-integrated optical coherence tomography device is applied to provide real-time microscopic imaging and depth information. The design and performance of the proposed system are validated through simulations and experiments. Precision tests demonstrate that the system achieves an overall positioning accuracy of less than 30 μm, with injection positioning accuracy under 20 μm. Subretinal injection experiments conducted on artificial eye models further validate the clinical feasibility of the robotic system. Full article
Show Figures

Figure 1

12 pages, 2475 KB  
Proceeding Paper
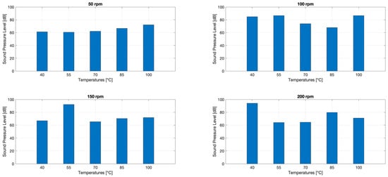
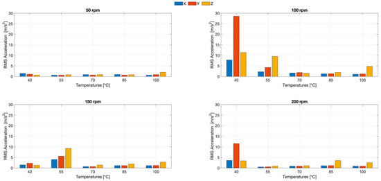
Effect of Temperature Variations on Brake Squeal Characteristics in Disc Brake Systems
by Akif Yavuz, Osman Taha Sen, Mustafa Enes Kırmacı and Tolga Gündoğdu
Eng. Proc. 2026, 121(1), 11; https://doi.org/10.3390/engproc2025121011 - 13 Jan 2026
Abstract
Brake squeal is an undesirable high-frequency noise caused by vibrations induced by friction in disc brake systems. The noise is strongly affected by temperature, as this influences the material properties of the friction pair and the dynamic behaviour of the brake components. This [...] Read more.
Brake squeal is an undesirable high-frequency noise caused by vibrations induced by friction in disc brake systems. The noise is strongly affected by temperature, as this influences the material properties of the friction pair and the dynamic behaviour of the brake components. This study investigates the effect of temperature changes on the squeal characteristics of a disc brake system under different operating conditions. Experiments are carried out using a laboratory-scale test setup comprising a rotating disc, pneumatically actuated callipers, and precise measurement equipment. A series of test combinations is performed by systematically varying three parameters: disc surface temperature (40, 55, 70, 85, 100 °C), brake pressure (4.0 bar), and disc rotational speed (50, 100, 150, 200 rpm). Acceleration data are acquired using an accelerometer mounted directly on the calliper, while sound pressure data are measured with a fixed-position microphone located 0.5 m from the disc surface. The collected data are analyzed in the time and frequency domain to identify squeal events and their dominant frequencies. The effect of temperature on brake squeal noise and vibration varies with operating conditions, showing different patterns at low and high disc speed at constant brake pressure. This highlights the importance of considering both thermal and mechanical factors together when addressing brake squeal. Full article
Show Figures

Figure 1

22 pages, 2001 KB  
Article
A Hybrid CNN-LSTM Architecture for Seismic Event Detection Using High-Rate GNSS Velocity Time Series
by Deniz Başar and Rahmi Nurhan Çelik
Sensors 2026, 26(2), 519; https://doi.org/10.3390/s26020519 - 13 Jan 2026
Abstract
Global Navigation Satellite Systems (GNSS) have become essential tools in geomatics engineering for precise positioning, cadastral surveys, topographic mapping, and deformation monitoring. Recent advances integrate GNSS with emerging technologies such as artificial intelligence (AI), machine learning (ML), cloud computing, and unmanned aerial systems [...] Read more.
Global Navigation Satellite Systems (GNSS) have become essential tools in geomatics engineering for precise positioning, cadastral surveys, topographic mapping, and deformation monitoring. Recent advances integrate GNSS with emerging technologies such as artificial intelligence (AI), machine learning (ML), cloud computing, and unmanned aerial systems (UAS), which have greatly improved accuracy, efficiency, and analytical capabilities in managing geospatial big data. In this study, we propose a hybrid Convolutional Neural Network–Long Short Term Memory (CNN-LSTM) architecture for seismic detection using high-rate (5 Hz) GNSS velocity time series. The model is trained on a large synthetic dataset generated by and real high-rate GNSS non-event data. Model performance was evaluated using real event and non-event data through an event-based approach. The results demonstrate that a hybrid deep-learning architecture can provide a reliable framework for seismic detection with high-rate GNSS velocity time series. Full article
(This article belongs to the Section Navigation and Positioning)
Show Figures

Figure 1

22 pages, 4957 KB  
Article
Machine Learning-Based Algorithm for the Design of Multimode Interference Nanodevices
by Roney das Mercês Cerqueira, Vitaly Félix Rodriguez-Esquerre and Anderson Dourado Sisnando
Nanomanufacturing 2026, 6(1), 3; https://doi.org/10.3390/nanomanufacturing6010003 - 13 Jan 2026
Abstract
Multimode interference photonic nanodevices have been increasingly used due to their broad functionality. In this study, we present a methodology based on machine learning algorithms for inverse design capable of providing the output port position (x-axis coordinate) and MMI region length [...] Read more.
Multimode interference photonic nanodevices have been increasingly used due to their broad functionality. In this study, we present a methodology based on machine learning algorithms for inverse design capable of providing the output port position (x-axis coordinate) and MMI region length (y-axis coordinate) for achieving higher optical signal transfer power. This is sufficient to design Multimode Interference 1 × 2, 1 × 3, and 1 × 4 nanodevices as power splitters in the wavelength range between 1350 and 1600 nm, which corresponds to the E, S, C, and L bands of the optical communications window. Using Multilayer Perceptron artificial neural networks, trained with k-fold cross-validation, we successfully modeled the complex relationship between geometric parameters and optical responses with high precision and low computational cost. The results of this project meet the requirements for photonic device projects of this nature, demonstrating excellent performance and manufacturing tolerance, with insertion losses ranging from 0.34 dB to 0.58 dB. Full article
Show Figures

Figure 1

15 pages, 3434 KB  
Article
Descriptive Temporal Epidemiology of Tularemia Using Case Reports and Hospitalization Data in the United States, 2000–2022
by Chad L. Cross, Bryson Carrier and Louisa A. Messenger
Pathogens 2026, 15(1), 86; https://doi.org/10.3390/pathogens15010086 - 13 Jan 2026
Abstract
Tularemia is a well-known zoonotic disease around the world, with particularly high rates in certain geographic areas of the U.S. Though the disease is regularly reported, it is classified as a rare condition owing to the relatively low number of cases detected annually. [...] Read more.
Tularemia is a well-known zoonotic disease around the world, with particularly high rates in certain geographic areas of the U.S. Though the disease is regularly reported, it is classified as a rare condition owing to the relatively low number of cases detected annually. Interestingly, however, the number of cases in the U.S. has shown a positive upward trend through time. The aim of this study was to summarize, interpret, compare, and contextualize temporal trends in tularemia epidemiology at the national scale within the U.S. utilizing long-term data sets encompassing the 23-year span from 2000 to 2022. We used two secondary data sets: (1) case data reports from the National Notifiable Disease Surveillance System (NNDSS) of the Centers for Disease Control and Prevention (CDC) and (2) the National Inpatient Sample (NIS) of hospitalization discharge records. In addition to investigating patterns, we were interested in the utility of using hospital discharge records as a means of indirect epidemiological surveillance of this rare disease. Both data sets highlight the high variability in annual cases through time but underscore the highest risk of disease among patients classified as White and male, as well as the extraordinarily high rates among American Indian/Alaska Native populations, particularly those with pulmonary tularemia disease. Descriptive epidemiological summaries and statistical comparisons are provided across the time series for sex, age, ethnoracial identity, and geography; hospitalization characteristics are also described. Our desire to use case rates from hospitalization records as a surrogate for CDC case incidence rates did not provide the desired precision, though hospital discharge records do provide valuable and useful information necessary to estimate general high-risk groups for tularemia through time. Full article
Show Figures

Graphical abstract

19 pages, 2823 KB  
Article
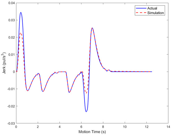
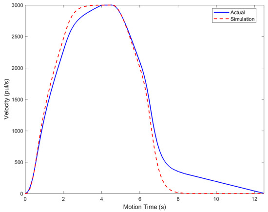
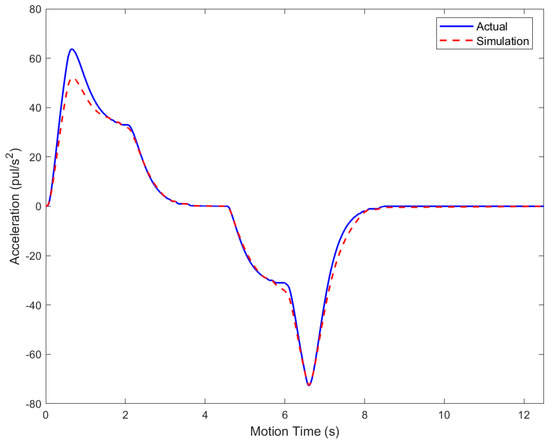
Intelligent S-Curve Acceleration and Deceleration Algorithm in High-Precision Servo Motion Control
by Feng Liu, Nian Li, Lei Xiong, Xu Yang, Shaoyu Zhao and Tiansong Zhai
Machines 2026, 14(1), 91; https://doi.org/10.3390/machines14010091 - 13 Jan 2026
Abstract
To address the issues of vibration in high-speed machining and the challenge of balancing motion smoothness and precision, this paper proposes a cascade control method based on a single-neuron adaptive PID. The method employs a dual closed-loop structure with a position loop and [...] Read more.
To address the issues of vibration in high-speed machining and the challenge of balancing motion smoothness and precision, this paper proposes a cascade control method based on a single-neuron adaptive PID. The method employs a dual closed-loop structure with a position loop and a speed loop, each regulated by a single-neuron adaptive PI controller. By dynamically adjusting the connection weights of the neurons online, real-time tuning of the proportional and integral parameters is achieved, enabling the system to adaptively regulate the control action. Simulation and experimental results demonstrate that the proposed controller ensures a 100% positioning accuracy across diverse motion scenarios with less than 0.05% relative error, enables effectively smooth motion, and effectively suppresses machine tool vibration caused by acceleration and deceleration processes. This significantly improves the system’s dynamic response and motion smoothness, providing an effective solution for high-speed and high-precision machining control. Full article
(This article belongs to the Section Automation and Control Systems)
Show Figures

Figure 1

27 pages, 11868 KB  
Article
Random Vibration Evaluation and Optimization of a Flexible Positioning Platform Considering Power Spectral Density
by Lufan Zhang, Mengyuan Hu, Heng Yan, Hehe Sun, Zhenghui Zhang and Peijuan Wu
Sensors 2026, 26(2), 514; https://doi.org/10.3390/s26020514 - 13 Jan 2026
Abstract
The flexible positioning platform is a critical structural component in the ultra-high acceleration macro–micro motion platform, enabling precise positioning across multiple scales. However, under high-frequency start–stop cycles and prolonged multi-condition operation, it is prone to fatigue damage induced by random vibrations, which poses [...] Read more.
The flexible positioning platform is a critical structural component in the ultra-high acceleration macro–micro motion platform, enabling precise positioning across multiple scales. However, under high-frequency start–stop cycles and prolonged multi-condition operation, it is prone to fatigue damage induced by random vibrations, which poses a threat to system reliability. This study proposes a method for evaluating and optimizing the platform’s performance under random vibration based on power spectral density (PSD) analysis. In accordance with the IEC 60068-2-64 standard, representative load spectra from Tables A.8 and A.6 were selected as excitation inputs. Frequency-domain analyses of stress, strain, and displacement were conducted using ANSYS Workbench 2022R1 in conjunction with the nCode platform, incorporating the Gaussian three-sigma probability interval. The results reveal that stress and deformation are highly concentrated in the hinge region, indicating a structural vulnerability. Fatigue life predictions were carried out using the Dirlik method and Miner’s linear damage rule under various PSD loading conditions. The findings demonstrate that hinge stiffness is a key factor influencing vibration resistance and service life. This research provides theoretical support for the design optimization of flexible structures operating in complex random vibration environments. Full article
(This article belongs to the Section Fault Diagnosis & Sensors)
Show Figures

Figure 1

17 pages, 3179 KB  
Article
Collaborative Suppression Strategy for AC Asymmetric Faults in Offshore Wind Power MMC-HVDC Systems
by Xiang Lu, Chenglin Ren, Shi Jiao, Jie Shi, Weicheng Li and Hailin Li
Energies 2026, 19(2), 365; https://doi.org/10.3390/en19020365 - 12 Jan 2026
Abstract
When offshore wind power is connected to a grid via Modular multilevel converter-based High Voltage Direct Current (MMC-HVDC), the sending-end alternating current (AC) system is susceptible to asymmetrical faults. These faults lead to overcurrent surges, voltage drops, and second harmonic circulating currents, which [...] Read more.
When offshore wind power is connected to a grid via Modular multilevel converter-based High Voltage Direct Current (MMC-HVDC), the sending-end alternating current (AC) system is susceptible to asymmetrical faults. These faults lead to overcurrent surges, voltage drops, and second harmonic circulating currents, which seriously threaten the safe operation of the system. To quickly suppress fault current surges, achieve precise control of system variables, and improve fault ride-through capability, this study proposes a collaborative control strategy. This strategy integrates generalized virtual impedance current limiting, positive- and negative-sequence collaborative feedforward control, and model-predictive control-based suppression of arm energy and circulating currents. The positive- and negative-sequence components of the voltage and current are quickly separated by extending and decoupling the decoupled double synchronous reference frame phase-locked loop (DDSRF-PLL). A generalized virtual impedance with low positive-sequence impedance and high negative-sequence impedance was designed to achieve rapid current limiting. Simultaneously, negative-sequence current feedforward compensation and positive-sequence voltage adaptive support are introduced to suppress dynamic fluctuations. Finally, an arm energy and circulating current prediction model based on model predictive control (MPC) is established, and the second harmonic circulating currents are precisely suppressed through rolling optimization. Simulation results based on PSCAD/EMTDC show that the proposed control strategy can effectively suppress the negative-sequence current, significantly improve voltage stability, and greatly reduce the peak fault current. It significantly enhances the fault ride-through capability and operational reliability of offshore wind power MMC-HVDC-connected systems and holds significant potential for engineering applications. Full article
Show Figures

Figure 1

30 pages, 1341 KB  
Article
A Novel MBPSO–BDGWO Ensemble Feature Selection Method for High-Dimensional Classification Data
by Nuriye Sancar
Informatics 2026, 13(1), 7; https://doi.org/10.3390/informatics13010007 - 12 Jan 2026
Abstract
In a high-dimensional classification dataset, feature selection is crucial for improving classification performance and computational efficiency by identifying an informative subset of features while reducing noise, redundancy, and overfitting. This study proposes a novel metaheuristic-based ensemble feature selection approach by combining the complementary [...] Read more.
In a high-dimensional classification dataset, feature selection is crucial for improving classification performance and computational efficiency by identifying an informative subset of features while reducing noise, redundancy, and overfitting. This study proposes a novel metaheuristic-based ensemble feature selection approach by combining the complementary strengths of Modified Binary Particle Swarm Optimization (MBPSO) and Binary Dynamic Grey Wolf Optimization (BDGWO). The proposed MBPSO–BDGWO ensemble method is specifically designed for high-dimensional classification problems. The performance of the proposed MBPSO–BDGWO ensemble method was rigorously evaluated through an extensive simulation study under multiple high-dimensional scenarios with varying correlation structures. The ensemble method was further validated on several real datasets. Comparative analyses were conducted against single-stage feature selection methods, including BPSO, BGWO, MBPSO, and BDGWO, using evaluation metrics such as accuracy, the F1-score, the true positive rate (TPR), the false positive rate (FPR), the AUC, precision, and the Jaccard stability index. Simulation studies conducted under various dimensionality and correlation scenarios show that the proposed ensemble method achieves a low FPR, a high TPR/Precision/F1/AUC, and strong selection stability, clearly outperforming both classical and advanced single-stage methods, even as dimensionality and collinearity increase. In contrast, single-stage methods typically experience substantial performance degradation in high-correlation and high-dimensional settings, particularly BPSO and BGWO. Moreover, on the real datasets, the ensemble method outperformed all compared single-stage methods and produced consistently low MAD values across repetitions, indicating robustness and stability even in ultra-high-dimensional genomic datasets. Overall, the findings indicate that the proposed ensemble method demonstrates consistent performance across the evaluated scenarios and achieves higher selection stability compared with the single-stage methods. Full article
Show Figures

Figure 1

16 pages, 3701 KB  
Article
Real-Time Sensorless Speed Control of PMSMs Using a Runge–Kutta Extended Kalman Filter
by Adile Akpunar Bozkurt
Mathematics 2026, 14(2), 274; https://doi.org/10.3390/math14020274 - 12 Jan 2026
Abstract
Permanent magnet synchronous motors (PMSMs) are widely preferred in modern applications due to their high efficiency, high torque-to-inertia ratio, high power factor, and rapid dynamic response. Achieving optimal PMSM performance requires precise control, which depends on accurate estimation of motor speed and rotor [...] Read more.
Permanent magnet synchronous motors (PMSMs) are widely preferred in modern applications due to their high efficiency, high torque-to-inertia ratio, high power factor, and rapid dynamic response. Achieving optimal PMSM performance requires precise control, which depends on accurate estimation of motor speed and rotor position. This information is traditionally obtained through sensors such as encoders; however, these devices increase system cost and introduce size and integration constraints, limiting their use in many PMSM-based applications. To overcome these limitations, sensorless control strategies have gained significant attention. Since PMSMs inherently exhibit nonlinear dynamic behavior, accurate modeling of these nonlinearities is essential for reliable sensorless operation. In this study, a Runge–Kutta Extended Kalman Filter (RKEKF) approach is developed and implemented to enhance estimation accuracy for both rotor position and speed. The developed method utilizes the applied stator voltages and measured phase currents to estimate the motor states. Experimental validation was conducted on the dSPACE DS1104 platform under various operating conditions, including forward and reverse rotation, acceleration, low- and high-speed operation, and loaded operation. Furthermore, the performance of the developed RKEKF under load was compared with the conventional Extended Kalman Filter (EKF), demonstrating its improved estimation capability. The real-time feasibility of the developed RKEKF was experimentally verified through execution-time measurements on the dSPACE DS1104 platform, where the conventional EKF and the RKEKF required 47 µs and 55 µs, respectively, confirming that the proposed approach remains suitable for real-time PMSM control while accommodating the additional computational effort associated with Runge–Kutta integration. Full article
(This article belongs to the Special Issue Nonlinear Dynamical Systems: Modeling, Control and Applications)
Show Figures

Figure 1

20 pages, 4708 KB  
Article
CM-EffNet: A Direction-Aware and Detail-Preserving Network for Wood Species Identification Based on Microscopic Anatomical Patterns
by Changwei Gu and Lei Zhao
Forests 2026, 17(1), 96; https://doi.org/10.3390/f17010096 - 11 Jan 2026
Viewed by 121
Abstract
The authentication of wood species is of paramount significance to market regulation and product quality control in the construction industry. While classification based on microscopic wood cell structures serves as a critical reference for this task, the high inter-class similarity of cell structures [...] Read more.
The authentication of wood species is of paramount significance to market regulation and product quality control in the construction industry. While classification based on microscopic wood cell structures serves as a critical reference for this task, the high inter-class similarity of cell structures and the inherent biological anisotropy of fine textures pose significant challenges to existing methods. Due to their generic design, standard deep learning models often struggle to capture these fine-grained directional features and suffer from catastrophic feature loss during global pooling, particularly under limited sample conditions. To bridge this gap between general-purpose architectures and the specific demands of wood texture analysis, this paper proposes CM-EffNet, a lightweight fine-grained classification framework based on an improved EfficientNetV2 architecture. Firstly, a data augmentation strategy is employed to expand a collected dataset of 226 wood species from 3673 to 29,384 images, effectively mitigating overfitting caused by small sample sizes. Secondly, a Coordinate Attention (CA) mechanism is integrated to embed positional information into channel attention. This allows the network to precisely capture long-range dependencies between cell walls and vessels cavities, successfully decoding the challenge of textural anisotropy. Thirdly, a MixPooling strategy is introduced to replace traditional global average pooling, enabling the collaborative extraction of background context and salient fine-grained details to prevent the loss of critical micro-features. Systematic experiments demonstrate that CM-EffNet achieves a recognition accuracy of 96.72% and a training accuracy of 98.18%. Comparative results confirm that the proposed model offers superior learning efficiency and classification precision with a compact parameter size. This makes it highly suitable for deployment on mobile terminals connected to portable microscopes, providing a rapid and accurate solution for on-site timber market regulation and industrial quality control. Full article
(This article belongs to the Section Wood Science and Forest Products)
Show Figures

Figure 1

43 pages, 14687 KB  
Article
Three-Dimensional Scanning-Based Retrofitting of Ballast Water Treatment Systems for Enhanced Marine Environmental Protection
by Zoe Kanetaki, Giakouvakis Athanasios Iason, Panagiotis Karvounis, Gerasimos Theotokatos, Evangelos Boulougouris and Constantinos Stergiou
J. Mar. Sci. Eng. 2026, 14(2), 154; https://doi.org/10.3390/jmse14020154 - 11 Jan 2026
Viewed by 52
Abstract
This study investigates the integration of 3D laser scanning technology in the retrofitting of Ballast Water Treatment Systems (BWTS) on existing commercial vessels, addressing the global challenge of invasive aquatic species. The methodology combines a bibliometric analysis of keywords—indicating recent trends and knowledge [...] Read more.
This study investigates the integration of 3D laser scanning technology in the retrofitting of Ballast Water Treatment Systems (BWTS) on existing commercial vessels, addressing the global challenge of invasive aquatic species. The methodology combines a bibliometric analysis of keywords—indicating recent trends and knowledge gaps, a feasibility study, and detailed engineering design with on-site supervision. A case study is presented on a crude oil tanker, employing a multi-station 3D scanning strategy across the engine and pump rooms—performed using 63 and 45 scan positions, respectively. These data were processed with removal filters and integrated into specialized CAD software for detailed piping design. The implementation of high-fidelity point clouds served as the digital foundation for modeling the vessel’s existing piping infrastructure and retrofitting with the installation of an electrolysis-based BWTS. Results confirm that 3D scanning enables precise spatial analysis, minimizes retrofitting errors, reduces installation time, and ensures regulatory compliance with the IMO Ballast Water Management Convention. By digitally capturing complex onboard environments, the approach enhances accuracy, safety, and cost-effectiveness in maritime engineering projects. This work underscores the transition toward point cloud-based digital twins as a standard for sustainable and efficient ship conversions in the global shipping industry. Full article
(This article belongs to the Section Ocean Engineering)
25 pages, 835 KB  
Systematic Review
Clinical Outcomes of the Magnetic Mallet in Oral and Implant Surgery: A Systematic Review of Comparative Studies
by Domenico Baldi, Camilla Canepa, Francesco Bagnasco, Adrien Naveau, Francesca Baldi, Paolo Pesce and Maria Menini
Appl. Sci. 2026, 16(2), 749; https://doi.org/10.3390/app16020749 - 11 Jan 2026
Viewed by 42
Abstract
Traditional surgical techniques are based on the manual application of force using mallets and osteotomes, which often result in uncontrolled impact forces, procedural inconsistencies, and patient discomfort. Magnetic mallets (MMs), magnetodynamic devices, provide a controlled application of force using electromagnetism, aiming to achieve [...] Read more.
Traditional surgical techniques are based on the manual application of force using mallets and osteotomes, which often result in uncontrolled impact forces, procedural inconsistencies, and patient discomfort. Magnetic mallets (MMs), magnetodynamic devices, provide a controlled application of force using electromagnetism, aiming to achieve greater precision, reduced operating time, and improved surgical outcomes. The aim of the present systematic review was to evaluate the effectiveness of MMs compared to conventional surgical techniques in oral and implant surgery. The focused question was as follows: “Do magnetic mallets improve clinical outcomes in oral and implant surgery compared to traditional instruments?” Only clinical studies comparing the use of MMs with traditional techniques in oral surgery were included. The following databases were searched up to 27 November 2025: Pubmed, Scopus, Web of Science. For quality assessment, the Cochrane Risk of Bias 2 (RoB 2) tool was applied for randomized controlled trials (RCTs), while the Newcastle–Ottawa Scale (NOS) was used for non-randomized studies. Data were screened and synthesized by two reviewers. The systematic review was conducted based on Preferred Reporting Items for Systematic Reviews and Meta-Analyses (PRISMA) Statement. In total, 347 studies were initially found and 6 matched the inclusion criteria and were included in the review, for a total of 282 patients. Five RCTs were included, as well as one retrospective study. The studies investigated were as follows: implant site preparation (two studies with a total of 86 patients), sinus lift and contextual implant insertion (three studies, total: 102 patients), dental extraction (two studies, total: 70 patients), and split-crest (one study with 46 patients). The outcomes suggest that MMs may serve as a potential alternative to traditional techniques, exhibiting promising although preliminary outcomes. The studies included reported a lower incidence of benign paroxysmal positional vertigo with the use of MMs compared to hand osteotomes. Regarding quality assessment, RCTs raised some concerns, while the retrospective study had a moderate risk of bias. Despite the promising results, the paucity of high-quality controlled trials limits definitive conclusions on the superiority of MM over conventional techniques. Further well-designed comparative trials are needed to confirm the clinical benefits, optimize protocols across different indications, and evaluate MMs’ potential role in the management of critical bone conditions and complex surgery. Full article
(This article belongs to the Section Applied Dentistry and Oral Sciences)
Show Figures

Figure 1

Back to TopTop