Sign in to use this feature.

Years

Between: -

Subjects

remove_circle_outline
remove_circle_outline
remove_circle_outline
remove_circle_outline
remove_circle_outline
remove_circle_outline
remove_circle_outline
remove_circle_outline
remove_circle_outline

Journals

Article Types

Countries / Regions

Search Results (38)

Search Parameters:
Keywords = heterotic effect

Order results
Result details
Results per page
Select all
Export citation of selected articles as:
13 pages, 390 KB  
Article
Classification of Heterotic Groups and Prediction of Heterosis in Sorghum Based on Whole-Genome Resequencing
by Hongyou Zhang, Dexin Lyu, Yu Zhang, Wei Wang, Renjie Zhao, Pengfei Lü, Wenjing Zhao, Ziyang Zhou and Shan Lu
Int. J. Mol. Sci. 2025, 26(16), 7950; https://doi.org/10.3390/ijms26167950 - 18 Aug 2025
Viewed by 378
Abstract
Sorghum is a crucial food crop, and utilizing heterosis is significant for yield enhancement. To classify heterotic groups in sorghum, 96 inbred lines (48 male sterile lines and 48 restoring lines) were previously analyzed using whole-genome resequencing (WGRS) technology, from which 9691 high-quality [...] Read more.
Sorghum is a crucial food crop, and utilizing heterosis is significant for yield enhancement. To classify heterotic groups in sorghum, 96 inbred lines (48 male sterile lines and 48 restoring lines) were previously analyzed using whole-genome resequencing (WGRS) technology, from which 9691 high-quality SNP markers were obtained. In this study, the materials were divided into two groups—Group I (36 lines; predominantly restoring lines) and Group II (60 lines; mainly male sterile lines)—according to their genetic distances, and 8 lines were selected from each group for incomplete diallel crosses, producing 64 hybrid combinations for analyzing ten agronomic traits and their relationship with heterosis and combining ability. Heterosis analysis revealed that yield-related traits (plant weight, grain yield, and single-spike grain weight) exhibited the strongest heterosis, followed by morphological and developmental traits. The general combining-ability variance exceeded the specific combining-ability variance for traits controlled by additive gene effects. The results demonstrate that WGRS technology effectively classifies heterotic groups in sorghum, providing scientific support for parent selection in hybrid breeding. While combining-ability analysis offers higher predictability for heterosis than molecular genetic distance, genetic distance remains valuable for predicting heterosis. Full article
(This article belongs to the Section Molecular Genetics and Genomics)
Show Figures

Figure 1

20 pages, 8487 KB  
Article
Precise Identification and Analysis of Maize Germplasm Resistance to Ear Rot Caused by Six Fusarium Species
by Shuai Li, Lihong Zhu, Yongxiang Li, Yaxuan Guo, Yuhang Zhang, Chaosong Huang, Wenqi Wu, Suli Sun, Zixiang Cheng and Canxing Duan
Plants 2025, 14(15), 2280; https://doi.org/10.3390/plants14152280 - 24 Jul 2025
Viewed by 545
Abstract
Maize (Zea may L.) is one of the most important crops worldwide, but ear rot poses a significant threat to its production. Diverse pathogens cause ear rot in China, with Fusarium spp. being predominant, especially Fusarium graminearum and Fusarium verticillioides. Current [...] Read more.
Maize (Zea may L.) is one of the most important crops worldwide, but ear rot poses a significant threat to its production. Diverse pathogens cause ear rot in China, with Fusarium spp. being predominant, especially Fusarium graminearum and Fusarium verticillioides. Current methods for the control of ear rot are limited, making the use of resistant germplasm resources an effective and economical management strategy. Earlier research focused on resistance to Fusarium ear rot (FER; caused by F. verticillioides) and Gibberella ear rot (GER; caused by F. graminearum), but assessing maize resistance to multiple major Fusarium spp. is critical in ensuring maize production. Thus, the resistance of 343 maize germplasm resources to ear rot caused by six Fusarium spp. (F. verticillioides, F. graminearum, F. proliferatum, F. meridionale, F. subglutinans, and F. temperatum) was evaluated in this study. Over three years, 69 and 77 lines resistant to six and five ear rot diseases, respectively, and 139 lines resistant to both FER and GER were identified. Moreover, the 343 germplasm resources were divided into eight heterotic groups, of which PH4CV was the most resistant one, whereas NSS and Pioneer Female were the least resistant ones. These findings provide a basis for the development of maize cultivars with broad-spectrum ear rot resistance. Full article
(This article belongs to the Special Issue Identification of Resistance of Maize Germplasm Resources to Disease)
Show Figures

Figure 1

16 pages, 1829 KB  
Article
Genomic Prediction of Kernel Water Content in a Hybrid Population for Mechanized Harvesting in Maize in Northern China
by Ping Luo, Ruisi Yang, Lin Zhang, Jie Yang, Houwen Wang, Hongjun Yong, Runze Zhang, Wenzhe Li, Fei Wang, Mingshun Li, Jianfeng Weng, Degui Zhang, Zhiqiang Zhou, Jienan Han, Wenwei Gao, Xinlong Xu, Ke Yang, Xuecai Zhang, Junjie Fu, Xinhai Li, Zhuanfang Hao and Zhiyong Niadd Show full author list remove Hide full author list
Agronomy 2024, 14(12), 2795; https://doi.org/10.3390/agronomy14122795 - 25 Nov 2024
Cited by 1 | Viewed by 1066
Abstract
Genomic prediction enables rapid selection of maize varieties with low kernel water content (KWC), facilitating the development of mechanized maize harvesting and reducing costs. This study evaluated and characterized the KWC and grain yield (GY) of hybrid maize in northern China and used [...] Read more.
Genomic prediction enables rapid selection of maize varieties with low kernel water content (KWC), facilitating the development of mechanized maize harvesting and reducing costs. This study evaluated and characterized the KWC and grain yield (GY) of hybrid maize in northern China and used genomic prediction to identify superior hybrid combinations with low kernel water content at maturity (MKWC) and high GY adapted to northern China. A total of 285 hybrids obtained from single crosses of 34 inbred lines from Stiff Stalk and Non-Stiff Stalk heterotic groups were used for genomic prediction of KWC and GY. We tested 20 different statistical prediction models considering additive effects and evaluating the impact of dominance and epistasis on prediction accuracy. Employing 10-fold cross-validation, it showed that the average prediction accuracy ranged drastically from 0.386 to 0.874 across traits and models. Eight linear statistical methods displayed a very similar prediction accuracy for each trait. The average prediction accuracy of machine learning methods was lower than that of linear statistical methods for KWC-related traits, but the random forest model had a high prediction accuracy of 0.510 for GY. When genetic effects were incorporated into the prediction model, the prediction accuracy for each trait was improved. Overall, the model with dominant and epistatic effects (G:AD(AA)) performed best. For the same number of markers, predictions using trait-specific markers resulted in higher prediction accuracy than randomly selected markers. When the number of trait-specific SNPs was set to 100, the prediction accuracy of GY increased by 33.27%, from 0.406 to 0.541. Out of all the 561 potential hybrids, the TOP 30 hybrids selected by genomic prediction would lead to a 1.44% decrease in MKWC compared with Xianyu335, a hybrid with a fast kernel water dry-down, and these hybrids also had higher GY simultaneously. Our results confirm the value of genomic prediction for hybrid breeding low MKWC suitable for maize mechanized harvesting in northern China. In conclusion, this study highlights the potential of genomic prediction to optimize maize hybrid breeding, enhancing efficiency and providing insights into genotype-accuracy relationships. The findings offer new strategies for hybrid design and advancing mechanized harvesting in northern China. Full article
(This article belongs to the Special Issue Maize Germplasm Improvement and Innovation)
Show Figures

Figure 1

14 pages, 315 KB  
Article
Combining Ability of Capsicum annuum Hybrid for Antioxidant Activities, Polyphenol Content, α-Glucosidase Inhibitory, Yield, and Yield Components
by Muhamad Syukur, Awang Maharijaya, Waras Nurcholis, Arya Widura Ritonga, Arya Yuda Pangestu, Andi Nadia Nurul Lathifa Hatta, Muhammad Ridha Alfarabi Istiqlal, Abdul Hakim and Zulfikar Damaralam Sahid
Curr. Issues Mol. Biol. 2024, 46(10), 11700-11713; https://doi.org/10.3390/cimb46100695 - 21 Oct 2024
Viewed by 1724
Abstract
Chili (Capsicum annuum) consumption is often suggested, and using functional food cultivars is the most effective strategy post COVID-19 pandemic. Controlling chili breeding activity is one of the most effective methods to produce new hybrid varieties. However, the general combining ability [...] Read more.
Chili (Capsicum annuum) consumption is often suggested, and using functional food cultivars is the most effective strategy post COVID-19 pandemic. Controlling chili breeding activity is one of the most effective methods to produce new hybrid varieties. However, the general combining ability (GCA), specific combining ability (SCA), and heterotic effect of functional biochemicals (polyphenol content, antioxidant activities, and α-glucosidase inhibitory compounds) remain poorly known in C. annuum. This study aimed to estimate these parameters in C. annuum by using five different genotypes and their hybrid combinations based on growth characteristics, yield, yield components, and fruit functional biochemicals. The F1 and F1R progenies were obtained from crosses in a greenhouse with a full diallel mating design. Each parent used in this study had a GCA advantage for each characteristic. The hybrid combination of IPB074 × IPB005 and IPB435 × IPB367 displayed the best yield results. However, the results indicated the opposite regarding α-glucosidase inhibitory compounds. The heterotic effect of functional biochemicals was observed for traits related to genotypes, polyphenol content, antioxidant activity, α-glucosidase inhibitory compounds, and similar properties related to yield and yield components, indicating their use in hybrid chili production. Full article
(This article belongs to the Section Molecular Plant Sciences)
15 pages, 312 KB  
Article
Spinor–Vector Duality and Mirror Symmetry
by Alon E. Faraggi
Universe 2024, 10(10), 402; https://doi.org/10.3390/universe10100402 - 19 Oct 2024
Viewed by 1045
Abstract
Mirror symmetry was first observed in worldsheet string constructions, and was shown to have profound implications in the Effective Field Theory (EFT) limit of string compactifications, and for the properties of Calabi–Yau manifolds. It opened up a new field in pure mathematics, and [...] Read more.
Mirror symmetry was first observed in worldsheet string constructions, and was shown to have profound implications in the Effective Field Theory (EFT) limit of string compactifications, and for the properties of Calabi–Yau manifolds. It opened up a new field in pure mathematics, and was utilised in the area of enumerative geometry. Spinor–Vector Duality (SVD) is an extension of mirror symmetry. This can be readily understood in terms of the moduli of toroidal compactification of the Heterotic String, which includes the metric the antisymmetric tensor field and the Wilson line moduli. In terms of the toroidal moduli, mirror symmetry corresponds to mappings of the internal space moduli, whereas Spinor–Vector Duality corresponds to maps of the Wilson line moduli. In the past few of years, we demonstrated the existence of Spinor–Vector Duality in the effective field theory compactifications of string theories. This was achieved by starting with a worldsheet orbifold construction that exhibited Spinor–Vector Duality and resolving the orbifold singularities, hence generating a smooth, effective field theory limit with an imprint of the Spinor–Vector Duality. Just like mirror symmetry, the Spinor–Vector Duality can be used to study the properties of complex manifolds with vector bundles. Spinor–Vector Duality offers a top-down approach to the “Swampland” program, by exploring the imprint of the symmetries of the ultra-violet complete worldsheet string constructions in the effective field theory limit. The SVD suggests a demarcation line between (2,0) EFTs that possess an ultra-violet complete embedding versus those that do not. Full article
Show Figures

Figure 1

14 pages, 688 KB  
Review
One Hundred Years of Progress and Pitfalls: Maximising Heterosis through Increasing Multi-Locus Nuclear Heterozygosity
by Brendan F. Hallahan
Biology 2024, 13(10), 817; https://doi.org/10.3390/biology13100817 - 12 Oct 2024
Cited by 1 | Viewed by 1598
Abstract
The improvement in quantitative traits (e.g., yield, size) in F1 offspring over parent lines is described as hybrid vigour, or heterosis. There exists a fascinating relationship between parental genetic distance and genome dosage (polyploidy), and heterosis effects. The contribution of nuclear heterozygosity [...] Read more.
The improvement in quantitative traits (e.g., yield, size) in F1 offspring over parent lines is described as hybrid vigour, or heterosis. There exists a fascinating relationship between parental genetic distance and genome dosage (polyploidy), and heterosis effects. The contribution of nuclear heterozygosity to heterosis is not uniform across diploid and polyploid crops, even within same species, thus demonstrating that polyploid crops should be part of any discussion on the mechanisms of heterosis. This review examines the records of correlating heterosis with parental genetic distance and the influence of adding supplementary genomes in wide crosses. Increasing nuclear heterozygosity through parental genetic distance has been shown to be an imperfect predictor for heterosis in a variety of commercial crops such as maize, rice, and pepper. However, increasing the ploidy level raises the maximum number of alleles that can be harboured at any one locus, and studies on crops such as oilseed rape, potato, alfalfa, maize, and rice have demonstrated that heterosis may be maximised upon increasing multi-locus nuclear heterozygosity. The novel heterotic phenotypes observed above the diploid level will contribute to our understanding on the mechanisms of heterosis and aid plant breeders in achieving the righteous goal of producing more food with fewer inputs. Full article
(This article belongs to the Section Plant Science)
Show Figures

Figure 1

15 pages, 3384 KB  
Article
Analysis of Combining Ability to Obtain Tropical Carrot Hybrids for Production Traits
by Fernanda Gabriela Teixeira Coelho, Gabriel Mascarenhas Maciel, Ana Carolina Silva Siquieroli, Camila Soares de Oliveira, Nádia Nardely Lacerda Durães Parrella, Amilton Ferreira da Silva, José Magno Queiroz Luz and Ana Paula Oliveira Nogueira
Horticulturae 2024, 10(5), 442; https://doi.org/10.3390/horticulturae10050442 - 26 Apr 2024
Viewed by 1712
Abstract
Carrots (Daucus carota L.), a globally significant vegetable, lack extensive research on heterotic groups and diallel analysis to generate hybrid combinations. Thus, the objective of this study was to assess combining abilities and identify optimal carrot parents for producing hybrids suitable for [...] Read more.
Carrots (Daucus carota L.), a globally significant vegetable, lack extensive research on heterotic groups and diallel analysis to generate hybrid combinations. Thus, the objective of this study was to assess combining abilities and identify optimal carrot parents for producing hybrids suitable for tropical climates with elevated metabolite levels. Twenty carrot hybrids, ten parent plants, and three commercial cultivars were evaluated during the summers of 2020/2021 and 2021/2022. Agronomic evaluations were carried out and chlorophyll and carotenoid levels were determined, followed by a diallel analysis using Griffing’s Method III and GGE biplot analysis. There were significant general combining ability (GCA) effects for various agronomic traits, suggesting additive genetic effects. Based on GCA, cultivars 5, 4, and 2 were the most promising parents. Specific combining ability (SCA) revealed that hybrids 1 × 2 and 3 × 5 stood out in environment 1, whereas hybrids 1 × 5 and 5 × 3 performed well in environment 2. The GGE biplot analysis showed that hybrids 1 × 2 and 3 × 2 displayed larger average root diameters, belonged to the group with the best bolting percentages, and exhibited stability across environments. Moreover, hybrids 2 × 4, 3 × 1, 4 × 1, and 4 × 2 exhibited higher metabolite levels. These findings suggest the feasibility of obtaining superior hybrids tailored for the tropical carrot market. Full article
Show Figures

Figure 1

17 pages, 1176 KB  
Article
Genetic Potential of Newly Developed Maize Hybrids under Different Water-Availability Conditions in an Arid Environment
by Youstina S. A. Sedhom, Hassan A. Rabie, Hassan A. Awaad, Maryam M. Alomran, Salha M. ALshamrani, Elsayed Mansour and Mohamed M. A. Ali
Life 2024, 14(4), 453; https://doi.org/10.3390/life14040453 - 29 Mar 2024
Cited by 8 | Viewed by 1852
Abstract
Drought is a crucial environmental stress that tremendously impacts maize production, particularly under abrupt climate changes. Consequently, breeding drought-tolerant and high-yielding maize hybrids has become decisive in sustaining its production and ensuring global food security under the global fast-growing population. The present study [...] Read more.
Drought is a crucial environmental stress that tremendously impacts maize production, particularly under abrupt climate changes. Consequently, breeding drought-tolerant and high-yielding maize hybrids has become decisive in sustaining its production and ensuring global food security under the global fast-growing population. The present study aimed to explore drought tolerance and agronomic performance of newly developed maize inbred lines and their hybrids. Ten newly developed maize inbred lines were crossed with two high-yielding testers using a line × tester mating design. The developed twenty hybrids alongside two high-yielding commercial hybrids were evaluated under water-deficit (5411 m3/ha) and well-watered (7990 m3/ha) conditions in dry summer climate conditions. Highly significant variations were detected among the evaluated hybrids for all studied agronomic traits under well-watered and water-deficit conditions. The inbred lines L10 and L6 were particularly notable, demonstrating the most significant negative general combining ability (GCA) effects for earliness, which is crucial for stress avoidance in both environmental settings. Inbred lines L11, L7, L6, and L1 also showed the highest positive and most significant GCA effects for key yield traits, indicating their potential as parents in breeding programs. The crosses L-10×T-1 and L-6×T-2 were outstanding for their heterotic effects on earliness in days to tasseling and silking. Similarly, the crosses L-4×T-2 and L-1×T-1 excelled in plant and ear heights under both irrigation regimes. The hybrids L-1×T-2 and L-7×T-1 demonstrated superior heterosis for chlorophyll content, number of rows per ear, and overall grain yield. Additionally, hybrids L-11×T-1 and L-11×T-2 exhibited remarkable heterotic effects for the number of grains per row, number of rows per ear, 100-kernel weight, and grain yield, highlighting their potential in breeding for productivity. Based on drought tolerance indices and cluster analysis, the cross combinations L-11×T-1, L-11×T-2, L-7×T-1, and L-1×T-2 were classified as the most drought-tolerant crosses. The principal component analysis highlighted traits such as days to tasseling, days to silking, chlorophyll content, plant height, ear height, number of grains per row, number of rows per ear, and 100-kernel weight can be taken as selection criteria for improving grain yield in maize breeding programs under limited water conditions. Based on the summarized results, the identified genetic materials could be considered promising under both conditions and hold potential for future breeding programs. Full article
(This article belongs to the Special Issue Cereals: Stress Resistance and Breeding)
Show Figures

Figure 1

28 pages, 3117 KB  
Article
Novel Alleles from Cicer reticulatum L. for Genetic Improvement of Cultivated Chickpeas Identified through Genome Wide Association Analysis
by Mohammad Waliur Rahman, Amit A. Deokar, Donna Lindsay and Bunyamin Tar’an
Int. J. Mol. Sci. 2024, 25(1), 648; https://doi.org/10.3390/ijms25010648 - 4 Jan 2024
Cited by 3 | Viewed by 1957
Abstract
The availability of wild chickpea (Cicer reticulatum L.) accessions has the potential to be used for the improvement of important traits in cultivated chickpeas. The main objectives of this study were to evaluate the phenotypic and genetic variations of chickpea progeny derived [...] Read more.
The availability of wild chickpea (Cicer reticulatum L.) accessions has the potential to be used for the improvement of important traits in cultivated chickpeas. The main objectives of this study were to evaluate the phenotypic and genetic variations of chickpea progeny derived from interspecific crosses between C. arietinum and C. reticulatum, and to establish the association between single nucleotide polymorphism (SNP) markers and a series of important agronomic traits in chickpea. A total of 486 lines derived from interspecific crosses between C. arietinum (CDC Leader) and 20 accessions of C. reticulatum were evaluated at different locations in Saskatchewan, Canada in 2017 and 2018. Significant variations were observed for seed weight per plant, number of seeds per plant, thousand seed weight, and plant biomass. Path coefficient analysis showed significant positive direct effects of the number of seeds per plant, thousand seed weight, and biomass on the total seed weight. Cluster analysis based on the agronomic traits generated six groups that allowed the identification of potential heterotic groups within the interspecific lines for yield improvement and resistance to ascochyta blight disease. Genotyping of the 381 interspecific lines using a modified genotyping by sequencing (tGBS) generated a total of 14,591 SNPs. Neighbour-joining cluster analysis using the SNP data grouped the lines into 20 clusters. The genome wide association analysis identified 51 SNPs that had significant associations with different traits. Several candidate genes associated with early flowering and yield components were identified. The candidate genes and the significant SNP markers associated with different traits have a potential to aid the trait introgression in the breeding program. Full article
(This article belongs to the Special Issue Plant Population Genomics)
Show Figures

Figure 1

10 pages, 304 KB  
Article
Combining Ability and Reciprocal Effects for the Yield of Elite Blue Corn Lines from the Central Highlands of Mexico
by José Luis Arellano-Vázquez, Germán Fernando Gutiérrez-Hernández, Luis Fernando Ceja-Torres, Estela Flores-Gómez, Elpidio García-Ramírez, Francisco Roberto Quiroz-Figueroa and Patricia Vázquez-Lozano
Plants 2023, 12(22), 3861; https://doi.org/10.3390/plants12223861 - 15 Nov 2023
Cited by 5 | Viewed by 1508
Abstract
The development of hybrid plants can increase the production and quality of blue corn, and, thus, satisfy its high demand. For this development, it is essential to understand the heterotic relationships of the germplasm. The objectives of this study were to determine the [...] Read more.
The development of hybrid plants can increase the production and quality of blue corn, and, thus, satisfy its high demand. For this development, it is essential to understand the heterotic relationships of the germplasm. The objectives of this study were to determine the effects of general (GCA) and specific (SCA) combining ability, as well as the reciprocal effects (REs) on the yields of 10 blue corn lines, and to select the outstanding lines. Diallel crosses were generated with 10 lines and evaluated at the Valle de México Experimental Station in Chapingo, Mexico, and Calpulalpan, Tlaxcala, Mexico. There were differences (p ≤ 0.01) in the hybrids, Loc, effects of GCA, SCA, and REs, and in the following interactions: hybrids × Loc, GCA × Loc, SCA × Loc, and RE × Loc. For GCA, lines Ll, L4, L6, and L9 stood out, with significant values of 3.4, 2.9, 2.9, and 3.1, respectively. For SCA, the hybrids featured were L4 × L10, L2 × L10, L1 × L10, L7 × L8, and L2 × L6, with values of 3.0, 2.5, 2.3, 2.3, and 2.2, and yields of 11.2, 10.2, 10.4, 10.4, and 10.5 t ha−l, respectively. There were no significant REs in these lines. Considerable effects of GCA and SCA were detected; therefore, we concluded that native populations had favorable dominance and additive genetic effects that could be used to support the development of high-yielding lines and hybrids. Full article
(This article belongs to the Special Issue Advances in Genetics and Breeding of Grain Crops)
30 pages, 1892 KB  
Article
Multi-Environment Genome-Wide Association Studies of Yield Traits in Common Bean (Phaseolus vulgaris L.) × Tepary Bean (P. acutifolius A. Gray) Interspecific Advanced Lines in Humid and Dry Colombian Caribbean Subregions
by Felipe López-Hernández, Esteban Burbano-Erazo, Rommel Igor León-Pacheco, Carina Cecilia Cordero-Cordero, Diego F. Villanueva-Mejía, Adriana Patricia Tofiño-Rivera and Andrés J. Cortés
Agronomy 2023, 13(5), 1396; https://doi.org/10.3390/agronomy13051396 - 18 May 2023
Cited by 9 | Viewed by 4073
Abstract
Assessing interspecific adaptive genetic variation across environmental gradients offers insight into the scale of habitat-dependent heritable heterotic effects, which may ultimately enable pre-breeding for abiotic stress tolerance and novel climates. However, environmentally dependent allelic effects are often bypassed by intra-specific single-locality genome-wide associations [...] Read more.
Assessing interspecific adaptive genetic variation across environmental gradients offers insight into the scale of habitat-dependent heritable heterotic effects, which may ultimately enable pre-breeding for abiotic stress tolerance and novel climates. However, environmentally dependent allelic effects are often bypassed by intra-specific single-locality genome-wide associations studies (GWAS). Therefore, in order to bridge this gap, this study aimed at coupling an advanced panel of drought/heat susceptible common bean (Phaseolus vulgaris L.) × tolerant tepary bean (P. acutifolius A. Gray) interspecific lines with last-generation multi-environment GWAS algorithms to identify novel sources of heat and drought tolerance to the humid and dry subregions of the Caribbean coast of Colombia, where the common bean typically exhibits maladaptation to extreme weather. A total of 87 advanced lines with interspecific ancestries were genotyped by sequencing (GBS), leading to the discovery of 15,645 single-nucleotide polymorphism (SNP) markers. Five yield traits were recorded for each genotype and inputted in modern GWAS algorithms (i.e., FarmCPU and BLINK) to identify the putative associated loci across four localities in coastal Colombia. Best-fit models revealed 47 significant quantitative trait nucleotides (QTNs) distributed in all 11 common bean chromosomes. A total of 90 flanking candidate genes were identified using 1-kb genomic windows centered in each associated SNP marker. Pathway-enriched analyses were done using the mapped output of the GWAS for each yield trait. Some genes were directly linked to the drought tolerance response; morphological, physiological, and metabolic regulation; signal transduction; and fatty acid and phospholipid metabolism. We conclude that habitat-dependent interspecific polygenic effects are likely sufficient to boost common bean adaptation to the severe climate in coastal Colombia via introgression breeding. Environmental-dependent polygenic adaptation may be due to contrasting levels of selection and the deleterious load across localities. This work offers putative associated loci for marker-assisted and genomic selection targeting the common bean’s neo-tropical lowland adaptation to drought and heat. Full article
(This article belongs to the Special Issue Crop Tolerance under Biotic and Abiotic Stresses)
Show Figures

Figure 1

18 pages, 2975 KB  
Article
Introgression of Heterotic Genomic Segments from Brassica carinata into Brassica juncea for Enhancing Productivity
by Prashant Vasisth, Naveen Singh, Omkar Maharudra Limbalkar, Mohit Sharma, Gokulan Dhanasekaran, Mohan Lal Meena, Priyanka Jain, Sarika Jaiswal, Mir Asif Iquebal, Anshul Watts, Kiran B. Gaikwad and Rajendra Singh
Plants 2023, 12(8), 1677; https://doi.org/10.3390/plants12081677 - 17 Apr 2023
Cited by 4 | Viewed by 2364
Abstract
Interspecific hybridization resulted in the creation of B. juncea introgression lines (ILs) generated from B. carinata with increased productivity and adaptability. Forty ILs were crossed with their respective B. juncea recipient parents to generate introgression line hybrids (ILHs) and the common tester (SEJ [...] Read more.
Interspecific hybridization resulted in the creation of B. juncea introgression lines (ILs) generated from B. carinata with increased productivity and adaptability. Forty ILs were crossed with their respective B. juncea recipient parents to generate introgression line hybrids (ILHs) and the common tester (SEJ 8) was used to generate test hybrids (THs). Mid-parent heterosis in ILHs and standard heterosis in THs were calculated for eight yield and yield-related traits. Heterotic genomic regions were dissected using ten ILs with significant mid-parent heterosis in ILHs and standard heterosis in THs for seed yield. A high level of heterosis for seed yield was contributed by 1000 seed weight (13.48%) in D31_ILHs and by total siliquae/plant (14.01%) and siliqua length (10.56%) in PM30_ILHs. The heterotic ILs of DRMRIJ 31 and Pusa Mustard 30 were examined using polymorphic SNPs between the parents, and a total of 254 and 335 introgressed heterotic segments were identified, respectively. This investigation discovered potential genes, viz., PUB10, glutathione S transferase, TT4, SGT, FLA3, AP2/ERF, SANT4, MYB, and UDP-glucosyl transferase 73B3 that were previously reported to regulate yield-related traits. The heterozygosity of the FLA3 gene significantly improved siliqua length and seeds per siliqua in ILHs of Pusa Mustard 30. This research proved that interspecific hybridization is an effective means of increasing the diversity of cultivated species by introducing new genetic variants and improving the level of heterosis. Full article
(This article belongs to the Special Issue Advances in Genetics and Breeding of Rapeseed (Brassica napus L.))
Show Figures

Figure 1

19 pages, 1808 KB  
Article
Recurrent Interpopulation Selection in Popcorn: From Heterosis to Genetic Gains
by Divino Rosa dos Santos Junior, Antônio Teixeira do Amaral Junior, Valter Jário de Lima, Jhean Torres Leite, Rosimeire Barboza Bispo, Valdinei Cruz Azeredo, Janeo Eustáquio de Almeida Filho, Samuel Henrique Kamphorst, Flávia Nicácio Viana, Rodrigo Moreira Ribeiro, Alexandre Pio Viana and Geraldo de Amaral Gravina
Plants 2023, 12(5), 1056; https://doi.org/10.3390/plants12051056 - 27 Feb 2023
Cited by 2 | Viewed by 2775
Abstract
In view of the need to develop new popcorn cultivars and considering the uncertainties in choosing the most appropriate breeding methods to ensure consistent genetic progress, simultaneously for both popping expansion and grain yield, this study addressed the efficiency of interpopulation recurrent selection [...] Read more.
In view of the need to develop new popcorn cultivars and considering the uncertainties in choosing the most appropriate breeding methods to ensure consistent genetic progress, simultaneously for both popping expansion and grain yield, this study addressed the efficiency of interpopulation recurrent selection regarding genetic gains, the study of the response in genetic parameters as well as heterotic effects on the control of the main agronomic traits of popcorn. Two populations were established, Pop1 and Pop2. A total of 324 treatments were evaluated, which consisted of 200 half-sib families (100 from Pop1 and 100 from Pop2), 100 full-sib families from the two populations and 24 controls. The field experiment was arranged in a lattice design with three replications in two environments, in the north and northwest regions of the State of Rio de Janeiro, Brazil. The genotype × environment interaction was partitioned and the genetic parameters, heterosis and predicted gains were estimated by the Mulamba and Mock index, based on selection results in both environments. The genetic parameters detected variability that can be explored in successive interpopulation recurrent selection cycles. Exploring heterosis for GY, PE and yield components is a promising option to increase grain yield and quality. The Mulamba and Mock index was efficient in predicting the genetic gains in GY and PE. Interpopulation recurrent selection proved effective to provide genetic gains for traits with predominantly additive and dominance inheritance. Full article
Show Figures

Figure 1

16 pages, 2756 KB  
Article
Photosynthetic Physiological Basis of Forage Mass Stability in a Progeny of Rhizome-Rooted ‘Qingshui’ Medicago sativa L.
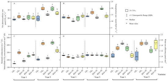
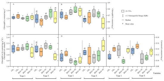
by Yun A, Shangli Shi, Jinqing Zhang, Xiaolong Li, Fang Jing, Huihui Zhang and Ruihong Ma
Agronomy 2023, 13(3), 685; https://doi.org/10.3390/agronomy13030685 - 26 Feb 2023
Cited by 1 | Viewed by 1758
Abstract
Rhizome-rooted alfalfa (Medicago sativa L.) is an excellent forage for establishing grazing and ecological grasslands, requiring a high and stable yield. Studying the genetic and physiological basis of stable expression of biomass traits is essential for improving production performance in rhizome-rooted alfalfa. [...] Read more.
Rhizome-rooted alfalfa (Medicago sativa L.) is an excellent forage for establishing grazing and ecological grasslands, requiring a high and stable yield. Studying the genetic and physiological basis of stable expression of biomass traits is essential for improving production performance in rhizome-rooted alfalfa. We analyzed forage mass and photosynthetic physiological indices of the improved progenies (RSA−01, RSA−02, and RSA−03), parental “Qingshui” (CK1), and “WL168” (CK2) at ages one and five years and their relationships, then revealed heterotic stability. Moreover, we explored the effects of interannual dynamics and genetic differences on tested indices. The results revealed compared with the forage mass of CK1, RSA−03 at ages one and five years increased by 22.17% and 19.72%, respectively, while RSA−01 and RSA−02 varied from 1.40% to 8.65%, indicating obvious heterosis in forage mass of RSA−03. At one year of age, Gs value, Car content and SS content of RSA−03 were higher than those of CK1; SS content of RSA−03 were higher than those of CK2 and RSA−02; Ci, Gs and Tr values of RSA−03 were higher than those of RSA−01. At five years of age, Pn, Gs, and WUE values, and Sta content of RSA−03 were higher than those of CK1; Ci value and Suc content of RSA−03 were higher than those of CK2; Car content and Gs value of RSA−03 were higher than those of other progenies. The forage mass; Chl(a/b) ratio; Pn, Gs, and WUE values; Suc content of RSA−03 at age five years were higher than those at age one year by 9.99%–44.24%. Through path analysis, Gs and NSC were direct factors affecting forage mass at age one year, and both Pn and SP affected forage mass indirectly through Gs; Gs and Chl(a+b) were direct factors affecting forage mass at age five years, and SS affected forage mass indirectly through Gs. Interestingly, Chlb, Chl(a/b), Pn, Tr, Gs, Ci, Suc, SP, and SS were more influenced by age than genetics, while the opposite was true for Car and Sta. Accordingly, RSA−03 showed obvious and stable heterosis in forage mass and photosynthetic physiology, recommending the establishment of grazing pastures and ecological vegetation. Full article
(This article belongs to the Section Grassland and Pasture Science)
Show Figures

Figure 1

20 pages, 4523 KB  
Article
Estimation of Heterosis and the Combining Ability Effect for Yield and Its Attributes in Field Pea (Pisum sativum L.) Using PCA and GGE Biplots
by Amit Sharma, Rajesh Yadav, Ravika Sheoran, Deepak Kaushik, Tapan Kumar Mohanta, Kartik Sharma, Alpa Yadav, Parmdeep Singh Dhanda and Prashant Kaushik
Horticulturae 2023, 9(2), 256; https://doi.org/10.3390/horticulturae9020256 - 14 Feb 2023
Cited by 14 | Viewed by 3994 | Correction
Abstract
Field pea (Pisum sativum L.) is a highly nutritious winter-season pulse crop. It is used as food, feed, and fodder and offers nutritional security to low-income people in developing countries. Different graphical approaches like Principal Component Analysis (PCA) and Genotype + Genotype [...] Read more.
Field pea (Pisum sativum L.) is a highly nutritious winter-season pulse crop. It is used as food, feed, and fodder and offers nutritional security to low-income people in developing countries. Different graphical approaches like Principal Component Analysis (PCA) and Genotype + Genotype × Environment (GGE) biplots were used along with the conventional line × tester to identify efficient parents, combining ability effects and distinct heterotic groups in field pea (Pisum sativum L.). The study used a line tester design (9 × 3) for seed yield and its associated traits. In the conventional analysis, lines Aman and HFP 715 and the tester GP02/1108, as well as crosses HFP 715 × GP02/1108, Aman × GP02/1108, and Pant P-243 × HFP 1426 showed the best GCA (General Combining Ability) and SCA (Specific Combining Ability) effects, respectively, for seed yield and its attributes. The σ2SCA > σ2GCA, and σ2D > σ2A in almost all the traits indicated control of non-additive gene effects. High manifestations of heterobeltiosis for seed yield were evidenced by the superiority of 24 out of 27 crosses over the better parent. The highest significant heterobeltiosis was observed in the cross HFP 715 × GP02/1108, followed by IPF 14-16 × GP02/1108, IPF 14-16 × HFP 1426, DDR-23 × HFP 1426, DDR-23 × GP02/1108, and Aman × GP02/1108 for yield and its attributes. The biplot techniques were used to analyze data and compare their results with conventional line × tester analysis. Overall, graphical analysis results were very similar to those of traditional analysis. Consequently, it can surely be assumed that these methods could be helpful in presenting data from field pea breeding experiments carried out with line × tester design. Full article
Show Figures

Figure 1

Back to TopTop