Sign in to use this feature.

Years

Between: -

Subjects

remove_circle_outline
remove_circle_outline
remove_circle_outline
remove_circle_outline

Journals

Article Types

Countries / Regions

Search Results (12)

Search Parameters:
Keywords = hemodialysis oral nutritional supplementation

Order results
Result details
Results per page
Select all
Export citation of selected articles as:
18 pages, 1365 KB  
Article
Global Research on Hemodialysis Nutrition and Patient-Centered Priorities: A Bibliometric Analysis (2006–2025)
by Chin-Huan Huang, Ming-Chi Lu and Malcolm Koo
Healthcare 2026, 14(1), 28; https://doi.org/10.3390/healthcare14010028 - 22 Dec 2025
Viewed by 578
Abstract
Background: Optimal nutritional care is essential to improving outcomes in hemodialysis, yet translation of evidence into routine practice remains uneven across settings. To inform health system planning and implementation priorities, we mapped global research on hemodialysis-related nutrition. Methods: We searched the Web of [...] Read more.
Background: Optimal nutritional care is essential to improving outcomes in hemodialysis, yet translation of evidence into routine practice remains uneven across settings. To inform health system planning and implementation priorities, we mapped global research on hemodialysis-related nutrition. Methods: We searched the Web of Science Core Collection for English-language original articles on nutrition and hemodialysis from 1 January 2006 to 13 October 2025. Publication trends, productivity by country and institution, influential journals and authors, citation impact, and conceptual structure via Keyword Plus co-occurrence, trend, and thematic evolution analyses were assessed using the bibliometrix package (version 5.0) in R. Results: A total of 332 articles from 115 journals were identified, with substantial growth and multidisciplinary authorship, though international collaboration remains limited. The United States contributed 21.4% of publications and achieved the highest citation impact, while China, Japan, Iran, and Brazil formed the next tier of contributors. The Journal of Renal Nutrition accounted for 16.6% of papers. Highly cited studies established links between dietary intake, mineral and electrolyte management, and survival, while supporting the use of intradialytic oral nutritional supplements. Thematic evolution showed a shift from biochemical markers toward patient-centered priorities, including diet quality, adherence, body composition, mental health, and quality of life. Emerging directions point to whole-diet approaches and microbiome-modulating strategies. Conclusions: Global research on diet and hemodialysis has progressed from foundational nutrient studies to multidimensional, patient-focused approaches. Our findings suggest opportunities for health systems to strengthen dietitian-led models of care, integrate patient-reported outcomes, and prioritize scalable nutrition interventions within routine dialysis services. Full article
(This article belongs to the Special Issue Management of the Patient with Kidney Disease: 2nd Edition)
Show Figures

Graphical abstract

16 pages, 490 KB  
Article
Oral Nutritional Supplement Adherence and Nutritional Outcomes in Hemodialysis Patients—A Prospective Study
by Lea Katalinic, Ivana Juric, Armin Atic, Bojan Jelakovic and Nikolina Basic-Jukic
J. Clin. Med. 2025, 14(23), 8337; https://doi.org/10.3390/jcm14238337 - 24 Nov 2025
Viewed by 850
Abstract
Background/Objectives: Protein-energy wasting (PEW) affects up to 75% of hemodialysis (HD) patients, yet adherence to oral nutritional supplements (ONSs) remains poorly understood. This study evaluated ONS adherence patterns, associated socio-demographic and psychological factors, and clinical outcomes over 24 months in chronic HD [...] Read more.
Background/Objectives: Protein-energy wasting (PEW) affects up to 75% of hemodialysis (HD) patients, yet adherence to oral nutritional supplements (ONSs) remains poorly understood. This study evaluated ONS adherence patterns, associated socio-demographic and psychological factors, and clinical outcomes over 24 months in chronic HD patients. Methods: A 24-month prospective study was conducted in 101 HD patients. Adherence was assessed using the 4-item Morisky Medication Adherence Scale (MMAS-4), and depressive symptoms with the Beck Depression Inventory (BDI). Nutritional status was evaluated using the Malnutrition–Inflammation Score (MIS) and anthropometric measurements. Laboratory markers were obtained. Individualized nutritional education was provided at each visit. Results: Regular ONS use was reported in 50.5% of patients. High adherence (MMAS-4 = 0) was observed in 36.6% of the cohort. Forgetfulness (45.3%) and adverse effects (34.4%) were the most common obstacles. Adherence was significantly associated with sex (p = 0.007), with men more frequently demonstrating low adherence. Education level showed a weak, but significant positive correlation with MMAS-4 score (Spearman’s ρ = 0.25, p = 0.018), indicating slightly lower adherence among more educated patients. MMAS-4 and BDI scores were positively correlated (Spearman’s ρ = 0.25, p = 0.04), indicating that greater depressive symptom burden was associated with lower adherence. Regular ONS users demonstrated improved nutritional status (lower MIS; 9 vs. 7, p < 0.001), higher hemoglobin (106 vs. 114 g/L, p = 0.03), and increased mid-upper arm circumference (MUAC; 26 vs. 28 cm, p = 0.02). Lean tissue mass was preserved over time (p = 0.009). However, individualized education had limited effect on patients with initially low adherence. Individualized nutritional education was associated with improved acceptance and implementation of recommendations. Over two years of follow-up, nutritional education was associated with preserved lean and fat tissue index (LTI, p = 0.009; FTI, p = 0.08), reductions in interdialytic weight gain, and significant improvements in MUAC, waist circumference, and scapular skinfold thickness (p = 0.03; p < 0.001; p = 0.02). Prealbumin and hemoglobin levels also increased significantly (p = 0.02; p = 0.04). However, education alone was insufficient for certain subgroups, particularly older patients and those initially classified as non-adherent. During follow-up, 17 patients died. Lower MUAC (OR = 2.97, 95% CI: 1.45–6.08) and triceps skinfold thickness (OR = 1.37, 95% CI: 1.12–1.68) were the strongest independent predictors of mortality. Conclusions: Adherence to ONSs remains suboptimal in HD patients. Individualized nutritional education was associated with improved adherence and nutritional status in some subgroups but may be insufficient in older or initially non-adherent patients. Simple anthropometric markers are strong mortality predictors and may offer practical value for routine monitoring. Full article
(This article belongs to the Special Issue Hemodialysis: Clinical Updates and Advances)
Show Figures

Figure 1

15 pages, 2184 KB  
Article
Psychobiotic Protection of Nutritional Supplements and Probiotics in Patients Undergoing Hemodialysis: A Randomized Trial
by Eric Climent, Francisco Hevilla, Marina Padial, Guillermina Barril-Cuadrado, María Blanca, Tamara Jiménez-Salcedo, Maria López-Picasso, Ángel Nogueira-Pérez and Gabriel Olveira
Nutrients 2025, 17(4), 652; https://doi.org/10.3390/nu17040652 - 12 Feb 2025
Cited by 4 | Viewed by 4051
Abstract
Background/Objectives: The prevalence of depression and anxiety symptoms is remarkably high in malnourished individuals undergoing hemodialysis. The goal of this project was to evaluate the impact of administering an oral nutritional supplement combined with a probiotic blend on the microbiota, intestinal permeability, and [...] Read more.
Background/Objectives: The prevalence of depression and anxiety symptoms is remarkably high in malnourished individuals undergoing hemodialysis. The goal of this project was to evaluate the impact of administering an oral nutritional supplement combined with a probiotic blend on the microbiota, intestinal permeability, and depression symptoms in malnourished hemodialysis patients. Methods: With this aim, a randomized trial was conducted with three parallel groups: a control group with individualized diet, a supplement–placebo (SU-PL) group with oral nutritional supplementation (ONS), and a supplement–probiotic (SU-PR) group with ONS in conjunction with a probiotic blend. Blood and fecal samples were collected at basal time, and at 3 and 6 months. Several blood biomarkers, like zonulin, lipopolysaccharide-binding protein (LBP), lipopolysaccharide (LPS), and brain-derived neurotrophic factor (BDNF), were measured, and the fecal microbiome was sequenced with the Illumina platform. The Hospital Anxiety and Depression Scale (HADS) was used for the estimation of depression (HADS-D) and anxiety (HADS-A) symptoms, along with the standardized mental health index SF12-MH from the general health questionnaire SF-12. Results: The results showed that patients who consumed the probiotic blend maintained the LPS levels from their baseline readings and decreased their BDNF levels compared to the SU-PL or control groups. Moreover, a significant decrease in HADS-D scores (less depressive symptoms) and an increase in SF12-MH scores (higher quality of life) were found in that group in comparison to the other groups. The intervention produced an impact on the microbiome population, where the SU-PR group had reduced Akkermansia abundance with respect to the other groups, while their Acidaminococcus abundance decreased and their Barnesiella abundance increased with respect to the SU-PL group. Conclusions: Overall, the results indicate that the probiotic with the nutritional supplement could reduce the intestinal permeability biomarkers and improve depressive symptoms and quality of life in malnourished hemodialysis patients. Full article
(This article belongs to the Special Issue Diet and Microbiota–Gut–Brain Axis: A Novel Nutritional Therapy)
Show Figures

Figure 1

16 pages, 2262 KB  
Article
Modulation of miR-29a and miR-29b Expression and Their Target Genes Related to Inflammation and Renal Fibrosis by an Oral Nutritional Supplement with Probiotics in Malnourished Hemodialysis Patients
by Corina Verónica Sasso, Said Lhamyani, Francisco Hevilla, Marina Padial, María Blanca, Guillermina Barril, Tamara Jiménez-Salcedo, Enrique Sanz Martínez, Ángel Nogueira, Ana María Lago-Sampedro and Gabriel Olveira
Int. J. Mol. Sci. 2024, 25(2), 1132; https://doi.org/10.3390/ijms25021132 - 17 Jan 2024
Cited by 9 | Viewed by 3948
Abstract
Malnutrition is prevalent in patients with chronic kidney disease (CKD), especially those on hemodialysis. Recently, our group described that a new oral nutritional supplement (ONS), specifically designed for malnourished (or at risk) hemodialysis patients with a “similar to the Mediterranean diet” pattern, improved [...] Read more.
Malnutrition is prevalent in patients with chronic kidney disease (CKD), especially those on hemodialysis. Recently, our group described that a new oral nutritional supplement (ONS), specifically designed for malnourished (or at risk) hemodialysis patients with a “similar to the Mediterranean diet” pattern, improved caloric-protein intake, nutritional status and biomarkers of inflammation and oxidation. Our aim in this study was to evaluate whether the new ONS, associated with probiotics or not, may produce changes in miRNA’s expression and its target genes in malnourished hemodialysis patients, compared to individualized diet recommendations. We performed a randomized, multicenter, parallel-group trial in malnourished hemodialysis patients with three groups (1: control (C) individualized diet (n = 11); 2: oral nutritional supplement (ONS) + placebo (ONS-PL) (n = 10); and 3: ONS + probiotics (ONS-PR) (n = 10)); the trial was open regarding the intake of ONS or individualized diet recommendations but double-blinded for the intake of probiotics. MiRNAs and gene expression levels were analyzed by RT-qPCR at baseline and after 3 and 6 months. We observed that the expression of miR-29a and miR-29b increased significantly in patients with ONS-PR at 3 months in comparison with baseline, stabilizing at the sixth month. Moreover, we observed differences between studied groups, where miR-29b expression levels were elevated in patients receiving ONS-PR compared to the control group in the third month. Regarding the gene expression levels, we observed a decrease in the ONS-PR group compared to the control group in the third month for RUNX2 and TNFα. TGFB1 expression was decreased in the ONS-PR group compared to baseline in the third month. PTEN gene expression was significantly elevated in the ONS-PR group at 3 months in comparison with baseline. LEPTIN expression was significantly increased in the ONS-PL group at the 3-month intervention compared to baseline. The new oral nutritional supplement associated with probiotics increases the expression levels of miR-29a and miR-29b after 3 months of intervention, modifying the expression of target genes with anti-inflammatory and anti-fibrotic actions. This study highlights the potential benefit of this oral nutritional supplement, especially associated with probiotics, in malnourished patients with chronic renal disease on hemodialysis. Full article
Show Figures

Figure 1

18 pages, 1237 KB  
Review
Effect of Curcumin Consumption on Inflammation and Oxidative Stress in Patients on Hemodialysis: A Literature Review
by Javiera D’andurain, Vanessa López, Migdalia Arazo-Rusindo, Caterina Tiscornia, Valeria Aicardi, Layla Simón and María Salomé Mariotti-Celis
Nutrients 2023, 15(10), 2239; https://doi.org/10.3390/nu15102239 - 9 May 2023
Cited by 22 | Viewed by 6415
Abstract
Advanced chronic kidney disease (CKD) stages lead to exacerbated inflammation and oxidative stress. Patients with CKD in stage 5 need renal hemodialysis (HD) to remove toxins and waste products. However, this renal replacement therapy is inefficient in controlling inflammation. Regular curcumin consumption has [...] Read more.
Advanced chronic kidney disease (CKD) stages lead to exacerbated inflammation and oxidative stress. Patients with CKD in stage 5 need renal hemodialysis (HD) to remove toxins and waste products. However, this renal replacement therapy is inefficient in controlling inflammation. Regular curcumin consumption has been shown to reduce inflammation and oxidative stress in subjects with chronic pathologies, suggesting that the daily intake of curcumin may alleviate these conditions in HD patients. This review analyzes the available scientific evidence regarding the effect of curcumin intake on oxidative stress and inflammation in HD patients, focusing on the mechanisms and consequences of HD and curcumin consumption. The inclusion of curcumin as a dietary therapeutic supplement in HD patients has shown to control the inflammation status. However, the optimal dose and oral vehicle for curcumin administration are yet to be determined. It is important to consider studies on curcumin bioaccessibility to design effective oral administration vehicles. This information will contribute to the achievement of future nutritional interventions that validate the efficacy of curcumin supplementation as part of diet therapy in HD. Full article
(This article belongs to the Special Issue Nutrition and Metabolism in Kidney Diseases)
Show Figures

Figure 1

18 pages, 867 KB  
Communication
Recent Advances in the Nutritional Screening, Assessment, and Treatment of Japanese Patients on Hemodialysis
by Junko Ishida and Akihiko Kato
J. Clin. Med. 2023, 12(6), 2113; https://doi.org/10.3390/jcm12062113 - 8 Mar 2023
Cited by 7 | Viewed by 6425
Abstract
Patients on hemodialysis (HD) have a higher rate of protein-energy wasting (PEW) due to lower dietary intake of energy and protein (particularly on dialysis days) and greater loss of many nutrients in the dialysate effluent than other patients. The most well-known method of [...] Read more.
Patients on hemodialysis (HD) have a higher rate of protein-energy wasting (PEW) due to lower dietary intake of energy and protein (particularly on dialysis days) and greater loss of many nutrients in the dialysate effluent than other patients. The most well-known method of nutritional screening is the subjective global assessment. Moreover, the Global Leadership Initiative on MalnutIrition has developed the first internationally standardized method for diagnosing malnutrition; however, its use in patients on HD has not been established. In contrast, the nutritional risk index for Japanese patients on HD has recently been developed as a screening tool for malnutrition in patients on HD, based on the modified PEW criteria. These tools are beneficial for screening nutritional disorders, enabling registered dietitians to assess patients’ dietary intake on dialysis and non-dialysis days and provide advice on dietary intake, especially immediately after dialysis cessation. Oral supplementation with enteral nutrients containing whey protein may also be administered when needed. In patients that experience adverse effects from oral supplementation, intradialytic parenteral nutrition (IDPN) should be combined with moderate dietary intake because IDPN alone cannot provide sufficient nutrition. Full article
(This article belongs to the Special Issue Clinical Application of Hemodialysis and Its Adverse Effects)
Show Figures

Figure 1

19 pages, 2362 KB  
Systematic Review
Demand for Water-Soluble Vitamins in a Group of Patients with CKD versus Interventions and Supplementation—A Systematic Review
by Karolina Kędzierska-Kapuza, Urszula Szczuko, Hanna Stolińska, Dimitra Rafailia Bakaloudi, Waldemar Wierzba and Małgorzata Szczuko
Nutrients 2023, 15(4), 860; https://doi.org/10.3390/nu15040860 - 8 Feb 2023
Cited by 20 | Viewed by 14646
Abstract
Background: Increasingly, chronic kidney disease (CKD) is becoming an inevitable consequence of obesity, metabolic syndrome, and diabetes. As the disease progresses, and through dialysis, the need for and loss of water-soluble vitamins both increase. This review article looks at the benefits and possible [...] Read more.
Background: Increasingly, chronic kidney disease (CKD) is becoming an inevitable consequence of obesity, metabolic syndrome, and diabetes. As the disease progresses, and through dialysis, the need for and loss of water-soluble vitamins both increase. This review article looks at the benefits and possible risks of supplementing these vitamins with the treatment of CKD. Methods: Data in the PubMed and Embase databases were analyzed. The keywords “chronic kidney disease”, in various combinations, are associated with thiamin, riboflavin, pyridoxine, pantothenic acid, folates, niacin, cobalamin, and vitamin C. This review focuses on the possible use of water-soluble vitamin supplementation to improve pharmacological responses and the overall clinical condition of patients. Results: The mechanism of supportive supplementation is based on reducing oxidative stress, covering the increased demand and losses resulting from the treatment method. In the initial period of failure (G2-G3a), it does not require intervention, but later, especially in the case of inadequate nutrition, the inclusion of supplementation with folate and cobalamin may bring benefits. Such supplementation seems to be a necessity in patients with stage G4 or G5 (uremia). Conversely, the inclusion of additional B6 supplementation to reduce CV risk may be considered. At stage 3b and beyond (stages 4–5), the inclusion of niacin at a dose of 400–1000 mg, depending on the patient’s tolerance, is required to lower the phosphate level. The inclusion of supplementation with thiamine and other water-soluble vitamins, especially in peritoneal dialysis and hemodialysis patients, is necessary for reducing dialysis losses. Allowing hemodialysis patients to take low doses of oral vitamin C effectively reduces erythropoietin dose requirements and improves anemia in functional iron-deficient patients. However, it should be considered that doses of B vitamins that are several times higher than the recommended dietary allowance of consumption may exacerbate left ventricular diastolic dysfunction in CKD patients. Conclusions: Taking into account the research conducted so far, it seems that the use of vitamin supplementation in CKD patients may have a positive impact on the treatment process and maintaining a disease-free condition. Full article
(This article belongs to the Special Issue Nutritional Problems of Children and Adults in Chronic Kidney Disease)
Show Figures

Figure 1

14 pages, 678 KB  
Article
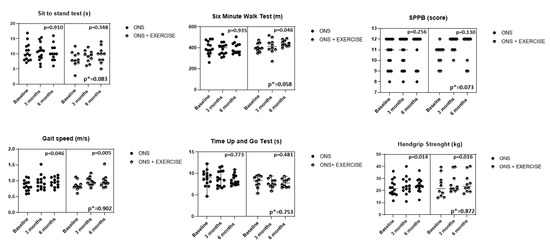
Effect of Intradialytic Oral Nutritional Supplementation with or without Exercise Improves Muscle Mass Quality and Physical Function in Hemodialysis Patients: A Pilot Study
by Geovana Martin-Alemañy, Monserrat Perez-Navarro, Kenneth R. Wilund, Gloria García-Villalobos, Irma Gómez-Guerrero, Guillermo Cantú-Quintanilla, Miguel Angel Reyes-Caldelas, Angeles Espinosa-Cuevas, Galileo Escobedo, Mara Medeiros, Paul N. Bennett and Rafael Valdez-Ortiz
Nutrients 2022, 14(14), 2946; https://doi.org/10.3390/nu14142946 - 19 Jul 2022
Cited by 22 | Viewed by 5820
Abstract
Background: Oral nutritional supplementation (ONS) with or without exercise (EX) could improve muscle mass (MM) in chronic kidney disease. Methods: Patients were randomized into two groups: (1) ONS and (2) ONS + EX. Thigh muscle area (cm2) and intramuscular lipid content [...] Read more.
Background: Oral nutritional supplementation (ONS) with or without exercise (EX) could improve muscle mass (MM) in chronic kidney disease. Methods: Patients were randomized into two groups: (1) ONS and (2) ONS + EX. Thigh muscle area (cm2) and intramuscular lipid content via attenuation were evaluated at baseline and 6 months with computed tomography (CT) to measure MM quantity and quality. Physical function was measured by six-minute walk test (6 MWT), gait speed, handgrip strength (HGS), and Time Up and Go test (TUG) at baseline and 3 and 6 months. Results: The ONS group (n= 14) showed statistically significant improvement in gait speed and HGS; ONS + EX group (n = 10) showed differences in gait speed, in 6 MWT, and HGS. In the ANOVA (3 times × 2 groups), no differences were observed between groups. Greater effect sizes in favor to ONS + EX group were observed in the 6 MWT (d = 1.02) and TUG test (d = 0.63). Muscle quality at six months revealed a significant trend in favor of the EX-group (p = 0.054). Conclusions: Both groups had improved physical function, and greater effect sizes were seen in the ONS + EX group for the 6 MWT and TUG test. Neither MM quantity or quality was improved in either group. Full article
(This article belongs to the Section Sports Nutrition)
Show Figures

Graphical abstract

29 pages, 1185 KB  
Review
Uremic Sarcopenia and Its Possible Nutritional Approach
by Annalisa Noce, Giulia Marrone, Eleonora Ottaviani, Cristina Guerriero, Francesca Di Daniele, Anna Pietroboni Zaitseva and Nicola Di Daniele
Nutrients 2021, 13(1), 147; https://doi.org/10.3390/nu13010147 - 4 Jan 2021
Cited by 72 | Viewed by 12980
Abstract
Uremic sarcopenia is a frequent condition present in chronic kidney disease (CKD) patients and is characterized by reduced muscle mass, muscle strength and physical performance. Uremic sarcopenia is related to an increased risk of hospitalization and all-causes mortality. This pathological condition is caused [...] Read more.
Uremic sarcopenia is a frequent condition present in chronic kidney disease (CKD) patients and is characterized by reduced muscle mass, muscle strength and physical performance. Uremic sarcopenia is related to an increased risk of hospitalization and all-causes mortality. This pathological condition is caused not only by advanced age but also by others factors typical of CKD patients such as metabolic acidosis, hemodialysis therapy, low-grade inflammatory status and inadequate protein-energy intake. Currently, treatments available to ameliorate uremic sarcopenia include nutritional therapy (oral nutritional supplement, inter/intradialytic parenteral nutrition, enteral nutrition, high protein and fiber diet and percutaneous endoscopic gastrectomy) and a personalized program of physical activity. The aim of this review is to analyze the possible benefits induced by nutritional therapy alone or in combination with a personalized program of physical activity, on onset and/or progression of uremic sarcopenia. Full article
Show Figures

Figure 1

18 pages, 354 KB  
Review
Hemodialysis—Nutritional Flaws in Diagnosis and Prescriptions. Could Amino Acid Losses Be the Sharpest “Sword of Damocles”?
by Piergiorgio Bolasco
Nutrients 2020, 12(6), 1773; https://doi.org/10.3390/nu12061773 - 14 Jun 2020
Cited by 17 | Viewed by 5817
Abstract
This review aims to highlight the strengths and weaknesses emerging from diagnostic evaluations and prescriptions in an intent to prevent progression over time of malnutrition and/or protein-energy wasting (PEW) in hemodialysis (HD) patients. In particular, indications of the most effective pathway to follow [...] Read more.
This review aims to highlight the strengths and weaknesses emerging from diagnostic evaluations and prescriptions in an intent to prevent progression over time of malnutrition and/or protein-energy wasting (PEW) in hemodialysis (HD) patients. In particular, indications of the most effective pathway to follow in diagnosing a state of malnutrition are provided based on a range of appropriate chemical-clinical, anthropometric and instrumental analyses and monitoring of the nutritional status of HD patients. Finally, based on the findings of recent studies, therapeutic options to be adopted for the purpose of preventing or slowing down malnutrition have been reviewed, with particular focus on protein-calorie intake, the role of oral and/or intravenous supplements and efficacy of some classes of amino acids. A new determining factor that may lead inexorably to PEW in hemodialysis patients is represented by severe amino acid loss during hemodialysis sessions, for which mandatory compensation should be introduced. Full article
(This article belongs to the Special Issue Dietary Assessment in Human Health and Disease)
13 pages, 637 KB  
Article
Cholecalciferol Additively Reduces Serum Parathyroid Hormone Levels in Severe Secondary Hyperparathyroidism Treated with Calcitriol and Cinacalcet among Hemodialysis Patients
by Cai-Mei Zheng, Chia-Chao Wu, Chi-Feng Hung, Min-Tser Liao, Jia-Fwu Shyu, Yung-Ho Hsu, Chien-Lin Lu, Yuan-Hung Wang, Jing-Quan Zheng, Tian-Jong Chang, Yuh-Feng Lin and Kuo-Cheng Lu
Nutrients 2018, 10(2), 196; https://doi.org/10.3390/nu10020196 - 10 Feb 2018
Cited by 15 | Viewed by 7099
Abstract
We evaluated the improvement of intact parathyroid hormone (iPTH) levels and bone parameters by supplementing nutritional vitamin D (cholecalciferol) to combined calcimimetic (cinacalcet) and active vitamin D analog (calcitriol) among severe secondary hyperparathyroidism (SHPT) hemodialysis (HD) patients. A randomized, controlled open-label study was [...] Read more.
We evaluated the improvement of intact parathyroid hormone (iPTH) levels and bone parameters by supplementing nutritional vitamin D (cholecalciferol) to combined calcimimetic (cinacalcet) and active vitamin D analog (calcitriol) among severe secondary hyperparathyroidism (SHPT) hemodialysis (HD) patients. A randomized, controlled open-label study was undertaken in 60 HD patients with serum iPTH > 1000 pg/mL or persistently high iPTH ≥ 600 pg/mL even after >3 months of calcitriol (3 μg/week). The study group received oral cholecalciferol (5000 IU/ day) and the control group received a placebo. All patients received fixed dose cinacalcet (30 mg/day, orally) and calcitriol. Calcitriol was reduced if iPTH ≤ 300 pg/mL and cinacalcet was withdrawn if serum iPTH was persistently low (iPTH ≤ 300 pg/mL) for 4 weeks after the reduction of calcitriol. A significantly lower iPTH level was noted from the 20th week in the study group compared to the placebo group, and the target iPTH ≤ 300 pg/mL was achieved at the 24th week in the study group. Most patients achieved serum 25-(OH)D3 ≥ 30 ng/mL in the study group. Nearly 40% of study patients gained >10% improvement in femoral neck (FN) bone mineral density (BMD). We conclude that cholecalciferol additively reduced serum iPTH levels, improved 25-(OH)D3 levels and improved FN BMD when used together with cinacalcet/calcitriol in severe SHPT HD patients. Full article
Show Figures

Figure 1

16 pages, 1996 KB  
Article
The VITAH Trial—Vitamin D Supplementation and Cardiac Autonomic Tone in Patients with End-Stage Kidney Disease on Hemodialysis: A Blinded, Randomized Controlled Trial
by Michelle C. Mann, Derek V. Exner, Brenda R. Hemmelgarn, David A. Hanley, Tanvir C. Turin, Jennifer M. MacRae, David C. Wheeler, Darlene Y. Sola, Sharanya Ramesh and Sofia B. Ahmed
Nutrients 2016, 8(10), 608; https://doi.org/10.3390/nu8100608 - 28 Sep 2016
Cited by 11 | Viewed by 6123
Abstract
End-stage kidney disease (ESKD) patients are at increased cardiovascular risk. Vitamin D deficiency is associated with depressed heart rate variability (HRV), a risk factor depicting poor cardiac autonomic tone and risk of cardiovascular death. Vitamin D deficiency and depressed HRV are highly prevalent [...] Read more.
End-stage kidney disease (ESKD) patients are at increased cardiovascular risk. Vitamin D deficiency is associated with depressed heart rate variability (HRV), a risk factor depicting poor cardiac autonomic tone and risk of cardiovascular death. Vitamin D deficiency and depressed HRV are highly prevalent in the ESKD population. We aimed to determine the effects of oral vitamin D supplementation on HRV ((low frequency (LF) to high frequency (HF) spectral ratio (LF:HF)) in ESKD patients on hemodialysis. Fifty-six subjects with ESKD requiring hemodialysis were recruited from January 2013–March 2015 and randomized 1:1 to either conventional (0.25 mcg alfacalcidol plus placebo 3×/week) or intensive (0.25 mcg alfacalcidol 3×/week plus 50,000 international units (IU) ergocalciferol 1×/week) vitamin D for six weeks. The primary outcome was the change in LF:HF. There was no difference in LF:HF from baseline to six weeks for either vitamin D treatment (conventional: p = 0.9 vs. baseline; intensive: p = 0.07 vs. baseline). However, participants who remained vitamin D-deficient (25-hydroxyvitamin D < 20 ng/mL) after treatment demonstrated an increase in LF:HF (conventional: n = 13, ∆LF:HF: 0.20 ± 0.06, p < 0.001 vs. insufficient and sufficient vitamin D groups; intensive: n = 8: ∆LF:HF: 0.15 ± 0.06, p < 0.001 vs. sufficient vitamin D group). Overall, six weeks of conventional or intensive vitamin D only augmented LF:HF in ESKD subjects who remained vitamin D-deficient after treatment. Our findings potentially suggest that while activated vitamin D, with or without additional nutritional vitamin D, does not appear to improve cardiac autonomic tone in hemodialysis patients with insufficient or sufficient baseline vitamin D levels, supplementation in patients with severe vitamin D deficiency may improve cardiac autonomic tone in this higher risk sub-population of ESKD. Trial Registration: ClinicalTrials.gov, NCT01774812. Full article
(This article belongs to the Special Issue Vitamin D: Current Issues and New Perspectives)
Show Figures

Figure 1

Back to TopTop