Sign in to use this feature.

Years

Between: -

Subjects

remove_circle_outline
remove_circle_outline
remove_circle_outline
remove_circle_outline
remove_circle_outline
remove_circle_outline
remove_circle_outline
remove_circle_outline

Journals

Article Types

Countries / Regions

Search Results (47)

Search Parameters:
Keywords = heaving point-absorber

Order results
Result details
Results per page
Select all
Export citation of selected articles as:
23 pages, 7082 KB  
Article
Development of a Dual-Input Hybrid Wave–Current Ocean Energy System: Design, Fabrication, and Performance Evaluation
by Farooq Saeed, Tanvir M. Sayeed, Mohammed Abdul Hannan, Abdullah A. Baslamah, Aedh M. Alhassan, Turki K. Alarawi, Osama A. Alsaadi, Muhanad Y. Alharees and Sultan A. Alshehri
J. Mar. Sci. Eng. 2025, 13(8), 1435; https://doi.org/10.3390/jmse13081435 - 27 Jul 2025
Viewed by 1054
Abstract
This study presents the design, fabrication, and performance assessment of a novel, small-scale (30–70 W), hybrid ocean energy system that captures energy from wave-induced heave motion using a point-absorber buoy and from ocean currents via a vertical axis water turbine (VAWT). Key innovations [...] Read more.
This study presents the design, fabrication, and performance assessment of a novel, small-scale (30–70 W), hybrid ocean energy system that captures energy from wave-induced heave motion using a point-absorber buoy and from ocean currents via a vertical axis water turbine (VAWT). Key innovations include a custom designed and built dual-rotor generator that accepts independent mechanical input from both subsystems without requiring complex mechanical coupling and a bi-directional mechanical motion rectifier with an overdrive. Numerical simulations using ANSYS AQWA (2024R2) and QBLADE(2.0.4) guided the design optimization of the buoy and turbine, respectively. Wave resource assessment for the Khobar coastline, Saudi Arabia, was conducted using both historical data and field measurements. The prototype was designed and built using readily available 3D-printed components, ensuring cost-effective construction. This mechanically simple system was tested in both laboratory and outdoor conditions. Results showed reliable operation and stable power generation under simultaneous wave and current input. The performance is comparable to that of existing hybrid ocean wave–current energy converters that employ more complex flywheel or dual degree-of-freedom systems. This work provides a validated pathway for low-cost, compact, and modular hybrid ocean energy systems suited for remote coastal applications or distributed marine sensing platforms. Full article
(This article belongs to the Section Marine Energy)
Show Figures

Figure 1

27 pages, 14919 KB  
Article
A Super-Twisting Sliding-Mode Control Strategy for a Heaving Point Absorber Wave Energy Converter
by Zhongfeng Li, Lixian Wang, Lidong Wang, Xiaoping Liu, Zhongyi Wang and Lei Liu
J. Mar. Sci. Eng. 2025, 13(7), 1214; https://doi.org/10.3390/jmse13071214 - 23 Jun 2025
Viewed by 1002
Abstract
This paper proposes a super-twisting sliding-mode control (STSMC) strategy to enhance the efficiency and stability of a heaving point absorber wave energy converter (PAWEC) system equipped with a permanent magnet synchronous generator (PMSG). In particular, the STSMC is designed to address both generator-side [...] Read more.
This paper proposes a super-twisting sliding-mode control (STSMC) strategy to enhance the efficiency and stability of a heaving point absorber wave energy converter (PAWEC) system equipped with a permanent magnet synchronous generator (PMSG). In particular, the STSMC is designed to address both generator-side and grid-side control challenges by ensuring precise regulation under varying wave conditions. A dynamical model of the PAWEC is developed to describe system responses, while the power take-off (PTO) mechanism is tailored to maintain consistent generator speed and efficient energy conversion. Lyapunov stability theory is employed to verify the stability of the proposed controller. Simulation studies and tests on a small-scale experimental setup with a 500 W PAWEC model under regular and irregular waves demonstrate that STSMC improves generator speed regulation and power output by more than 30% compared to field-oriented control (FOC), nonlinear adaptive backstepping (NAB), and first-order sliding-mode control (FOSMC). The proposed approach also manages grid-side total harmonic distortion (THD) effectively, keeping it below 5%. These results indicate that STSMC can substantially improve the dynamic performance and energy efficiency of wave energy systems. Full article
(This article belongs to the Section Ocean Engineering)
Show Figures

Figure 1

20 pages, 1978 KB  
Article
Derivation and Experimental Validation of a Parameterized Nonlinear Froude–Krylov Force Model for Heaving-Point-Absorber Wave Energy Converters
by Houssein Yassin, Tania Demonte Gonzalez, Gordon Parker, Giorgio Bacelli and Carlos Michelen
Energies 2025, 18(11), 2968; https://doi.org/10.3390/en18112968 - 4 Jun 2025
Viewed by 700
Abstract
Wave energy converters (WECs) have gained significant attention as a promising renewable energy source. Optimal control strategies, crucial for maximizing energy extraction, have traditionally relied on linear models based on small motion assumptions. However, recent studies indicate that these models do not adequately [...] Read more.
Wave energy converters (WECs) have gained significant attention as a promising renewable energy source. Optimal control strategies, crucial for maximizing energy extraction, have traditionally relied on linear models based on small motion assumptions. However, recent studies indicate that these models do not adequately capture the complex dynamics of WECs, especially when large motions are introduced to enhance power absorption. The nonlinear Froude–Krylov (FK) forces, particularly in heaving-point-absorbers with varying cross-sectional areas, are acknowledged as key contributors to this discrepancy. While high-fidelity computational models are accurate, they are impractical for real-time control applications due to their complexity. This paper presents a parameterized approach for expressing nonlinear FK forces across a wide range of point-absorber buoy shapes inspired by implementing real-time, model-based control laws. The model was validated using measured force data for a stationary spherical buoy subjected to regular waves. The FK model was also compared to a closed-form buoyancy model, demonstrating a significant improvement, particularly with high-frequency waves. Incorporating a scattering model further enhanced force prediction, reducing error across the tested conditions. The outcomes of this work contribute to a more comprehensive understanding of FK forces across a broader range of buoy configurations, simplifying the calculation of the excitation force by adopting a parameterized algebraic model and extending this model to accommodate irregular wave conditions. Full article
(This article belongs to the Special Issue Wave Energy: Theory, Methods, and Applications)
Show Figures

Figure 1

16 pages, 525 KB  
Article
The Impacts of Power Take-Off Surviving Strategies on the Extreme Load Estimations of Wave Energy Converters
by Jian Tan, Yufeng Zhang, Avni Jain and George Lavidas
J. Mar. Sci. Eng. 2025, 13(5), 994; https://doi.org/10.3390/jmse13050994 - 21 May 2025
Cited by 1 | Viewed by 881
Abstract
The proper design of wave energy converters (WECs) is crucial for ensuring robustness in harsh wave climates without incurring the additional expense of unnecessary overdesign. The power take-off (PTO) mechanism, serving as a vital link between the moving body and the electric generator, [...] Read more.
The proper design of wave energy converters (WECs) is crucial for ensuring robustness in harsh wave climates without incurring the additional expense of unnecessary overdesign. The power take-off (PTO) mechanism, serving as a vital link between the moving body and the electric generator, is a key component in the design load analysis of WECs. However, the setting of PTO system parameters significantly impacts the dynamic behavior of the entire WEC system, leading to alterations in estimated loads. This work is dedicated to studying the influence of PTO control strategies on the identification of extreme loads of a heaving point absorber WEC. A nonlinear time-domain model is established to estimate the dynamic responses and loads of the WEC. Both PTO loads and end-stop loads under extreme conditions are examined, considering the wave climate of a realistic sea site. The results suggest that the PTO setting strategies significantly impact the extreme load exerted on both the PTO system and the end-stop system. Varying the PTO damping within a certain range could lead to a difference of 57% and 63% in short-term extreme loads for the PTO system and the end-stop system, respectively. Furthermore, the impacts of the PTO control strategy appear to be specific to each WEC component. The PTO parameters selected for reducing the extreme PTO loads might increase the extreme end-stop loads. A holistic examination is therefore recommended for estimating the extreme loads of WECs. Full article
(This article belongs to the Section Ocean Engineering)
Show Figures

Figure 1

17 pages, 410 KB  
Article
Pre-Design Selection of the Rated Power of a Heaving Point Absorber Wave Energy Converter
by Guilherme Moura Paredes, Alexandra Tokat and Torbjörn Thiringer
Oceans 2025, 6(1), 13; https://doi.org/10.3390/oceans6010013 - 3 Mar 2025
Viewed by 2168
Abstract
Wave energy converters (WECs) have significant potential for renewable energy generation, but early-stage design processes often require lengthy simulations. This study focuses on the pre-design selection of the rated power for a heaving point-absorber WEC. Addressing the gap in simplified methodologies, this study [...] Read more.
Wave energy converters (WECs) have significant potential for renewable energy generation, but early-stage design processes often require lengthy simulations. This study focuses on the pre-design selection of the rated power for a heaving point-absorber WEC. Addressing the gap in simplified methodologies, this study evaluates the wave energy resource, selects operational sea-states, and assesses device performance using time-domain simulations and linear potential flow theory. The results revealed that a WEC rated at 87% below peak power can capture 91% of the total available energy, achieving a balance between energy efficiency and cost-effectiveness. Furthermore, a simplified method to estimate rated power based on a constant ratio between mean and RMS power is proposed, offering significant potential for early-stage design applications. Future work should validate this approach across diverse WEC types and wave climates. Full article
(This article belongs to the Topic Control and Optimisation for Offshore Renewable Energy)
Show Figures

Figure 1

15 pages, 4219 KB  
Article
Geometry Optimisation of a Wave Energy Converter
by Susana Costa, Jorge Ferreira and Nelson Martins
Energies 2025, 18(1), 207; https://doi.org/10.3390/en18010207 - 6 Jan 2025
Cited by 1 | Viewed by 1337
Abstract
The geometry optimisation of a point-absorber wave energy converter, focusing on the increase in energy absorption derived from heave forces, was performed. The proposed procedure starts by developing an initial geometry, which is later evaluated in terms of hydrodynamics and optimised through an [...] Read more.
The geometry optimisation of a point-absorber wave energy converter, focusing on the increase in energy absorption derived from heave forces, was performed. The proposed procedure starts by developing an initial geometry, which is later evaluated in terms of hydrodynamics and optimised through an optimisation algorithm to tune the shape parameters that influence energy absorption, intending to obtain the optimal geometry. A deployment site on the Portuguese coast was defined to obtain information on the predominant waves to assess several sea states. NEMOH and WEC-Sim (both open-source software packages) were used to evaluate the interaction between the structure and the imposed wave conditions. The results extracted and analysed from this software included forces in the six degrees of freedom. Under extreme wave conditions, the highest increase in the relative capture width between the initial and final shapes was around 0.2, corresponding to an increase from 0.36 to 0.54, while under average wave conditions, the increase only reached a value of around 0.02, corresponding to an increase from 0.22 to 0.24, as calculated through the relative capture width values. Full article
(This article belongs to the Section A3: Wind, Wave and Tidal Energy)
Show Figures

Figure 1

16 pages, 5274 KB  
Article
Nonlinear Model Predictive Control of Heaving Wave Energy Converter with Nonlinear Froude–Krylov Forces
by Tania Demonte Gonzalez, Enrico Anderlini, Houssein Yassin and Gordon Parker
Energies 2024, 17(20), 5112; https://doi.org/10.3390/en17205112 - 15 Oct 2024
Cited by 5 | Viewed by 1703
Abstract
Wave energy holds significant promise as a renewable energy source due to the consistent and predictable nature of ocean waves. However, optimizing wave energy devices is essential for achieving competitive viability in the energy market. This paper presents the application of a nonlinear [...] Read more.
Wave energy holds significant promise as a renewable energy source due to the consistent and predictable nature of ocean waves. However, optimizing wave energy devices is essential for achieving competitive viability in the energy market. This paper presents the application of a nonlinear model predictive controller (MPC) to enhance the energy extraction of a heaving point absorber. The wave energy converter (WEC) model accounts for the nonlinear dynamics and static Froude–Krylov forces, which are essential in accurately representing the system’s behavior. The nonlinear MPC is tested under irregular wave conditions within the power production region, where constraints on displacement and the power take-off (PTO) force are enforced to ensure the WEC’s safety while maximizing energy absorption. A comparison is made with a linear MPC, which uses a linear approximation of the Froude–Krylov forces. The study comprehensively compares power performance and computational costs between the linear and nonlinear MPC approaches. Both MPC variants determine the optimal PTO force to maximize energy absorption, utilizing (1) a linear WEC model (LMPC) for state predictions and (2) a nonlinear model (NLMPC) incorporating exact Froude–Krylov forces. Additionally, the study analyzes four controller configurations, varying the MPC prediction horizon and re-optimization time. The results indicate that, in general, the NLMPC achieves higher energy absorption than the LMPC. The nonlinear model also better adheres to system constraints, with the linear model showing some displacement violations. This paper further discusses the computational load and power generation implications of adjusting the prediction horizon and re-optimization time parameters in the NLMPC. Full article
(This article belongs to the Special Issue Wave Energy: Theory, Methods, and Applications)
Show Figures

Figure 1

19 pages, 5684 KB  
Article
Optimization of Submerged Breakwaters for Maximum Power of a Point-Absorber Wave Energy Converter Using Bragg Resonance
by Sanghwan Heo and Weoncheol Koo
J. Mar. Sci. Eng. 2024, 12(7), 1107; https://doi.org/10.3390/jmse12071107 - 29 Jun 2024
Cited by 2 | Viewed by 1478
Abstract
This study focused on optimizing the power generation of a heaving point-absorber wave energy converter (HPA-WEC) by integrating submerged breakwaters. An optimization analysis was conducted based on a framework developed in the authors’ previous work, aiming to maximize the capture width ratio (CWR) [...] Read more.
This study focused on optimizing the power generation of a heaving point-absorber wave energy converter (HPA-WEC) by integrating submerged breakwaters. An optimization analysis was conducted based on a framework developed in the authors’ previous work, aiming to maximize the capture width ratio (CWR) by inducing Bragg resonance. Numerical simulations were conducted using a two-dimensional frequency domain boundary element method (FD-BEM) under irregular wave conditions. Advanced particle swarm optimization (PSO) was used for the optimization, with design variables that included the power take-off (PTO) damping coefficient, spring constant, and position and shape of the submerged breakwaters. The results showed that the CWR almost doubled when two breakwaters were used compared with the case without breakwaters. The CWR significantly increased, even with only one breakwater installed behind the WEC. A coastal stability analysis showed that installing two breakwaters provided the best performance, reducing the transmitted wave energy by approximately 25%. Furthermore, the CWR reached its maximum when the distance between the breakwater endpoints equaled the wavelength of the peak wave frequency, indicating the occurrence of Bragg resonance. This study underscores the potential of submerged breakwaters in enhancing power generation and coastal stability in the design of HPA-WECs. Full article
(This article belongs to the Special Issue Dynamic Stability and Safety of Ships in Waves)
Show Figures

Figure 1

23 pages, 17850 KB  
Article
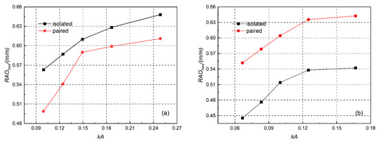
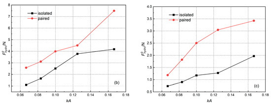
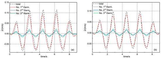
Experimental and CFD Assessment of Harmonic Characteristics of Point-Absorber Wave-Energy Converters with Nonlinear Power Take-Off System
by Yang Yi, Ke Sun, Yongqian Liu, Gang Ma, Chuankai Zhao, Fukang Zhang and Jianhua Zhang
J. Mar. Sci. Eng. 2023, 11(10), 1860; https://doi.org/10.3390/jmse11101860 - 25 Sep 2023
Cited by 6 | Viewed by 2151
Abstract
The wave-energy excitation of point absorbers is highly associated with their resonant movement, and harmonic characteristics are of increasing concern in affecting resonance. However, the commonly used linearized power take-off (PTO) systems underestimate the impact of harmonics. The purpose of this study is [...] Read more.
The wave-energy excitation of point absorbers is highly associated with their resonant movement, and harmonic characteristics are of increasing concern in affecting resonance. However, the commonly used linearized power take-off (PTO) systems underestimate the impact of harmonics. The purpose of this study is to address the knowledge gap in assessing the contribution of hydraulic PTO systems to higher harmonic wave loads and velocities. In the present work, higher harmonics in point-absorber wave-energy converters (PA-WECs) with hydraulic power take-off (PTO) systems are investigated through both experimental and computational fluid dynamics (CFD) methods. The fast Fourier transform is used to decompose the high-order harmonics. To account for the influence of nonlinear wave–wave interaction on harmonics, the isolated PA-WEC is used as a basis for comparison with the paired PA-WECs. The influence of wave steepness is also estimated at two resonance periods. Results indicate that the additional resonance of the paired PA-WECs may be attributed to the harmonic wave loads at longer wave periods. Harmonic wave loads of paired PA-WECs typically have a more substantial impact and increase more rapidly with increasing wave steepness compared to isolated PA-WECs. Furthermore, as the wave steepness increases, there are significant enhancements in both the harmonic wave loads and heaving velocity, which strongly correlate with the instantaneous maximum hydraulic power. Consequently, our study will contribute to enhancing the maximum power output in the design of future point absorber arrays. Full article
(This article belongs to the Section Ocean Engineering)
Show Figures

Figure 1

17 pages, 3846 KB  
Article
Optimal Design and Performance Analysis of a Hybrid System Combining a Semi-Submersible Wind Platform and Point Absorbers
by Binzhen Zhou, Jianjian Hu, Qi Zhang, Lei Wang, Fengmei Jing and Maurizio Collu
J. Mar. Sci. Eng. 2023, 11(6), 1190; https://doi.org/10.3390/jmse11061190 - 8 Jun 2023
Cited by 8 | Viewed by 2544
Abstract
Integrating point absorber wave energy converters (PAWECs) and an offshore floating wind platform provide a cost-effective way of joint wind and wave energy exploitation. However, the coupled dynamics of the complicated hybrid system and its influence on power performance are not well understood. [...] Read more.
Integrating point absorber wave energy converters (PAWECs) and an offshore floating wind platform provide a cost-effective way of joint wind and wave energy exploitation. However, the coupled dynamics of the complicated hybrid system and its influence on power performance are not well understood. Here, a frequency-domain-coupled hydrodynamics, considering the constraints and the power output through the relative motion between the PAWECs and the semi-submersible platform, is introduced to optimize the size, power take-off damping, and layout of the PAWECs. Results show that the annual wave power generation of a PAWEC can be improved by 30% using a 90° conical or a hemispherical bottom instead of a flat bottom. Additionally, while letting the PAWECs protrude out the sides of the triangular frame of the platform by a distance of 1.5 times the PAWEC radius, the total power generation can be improved by up to 18.2% without increasing the motion response of the platform. The PAWECs can reduce the resonant heave motion of the platform due to the power take-off damping force. This study provides a reference for the synergistic use of wave and wind energy. Full article
(This article belongs to the Topic Marine Renewable Energy, 2nd Edition)
Show Figures

Figure 1

19 pages, 6148 KB  
Article
A Statistical Analysis for Optimisation of a Hybrid BBDB-PA in Mantanani Island, Sabah
by Muhamad Aiman Jalani, Mohd Rashdan Saad, Mohamad Faizal Abdullah, Mohd Azzeri Md Naiem, Mohd Norsyarizad Razali, Noh Zainal Abidin and Mohd Rosdzimin Abdul Rahman
J. Mar. Sci. Eng. 2023, 11(2), 386; https://doi.org/10.3390/jmse11020386 - 9 Feb 2023
Cited by 6 | Viewed by 2255
Abstract
The hybrid form of wave energy converter (WEC) is a recent advancement in research concerning harvesting energy from the ocean. This study investigates the effect of size and position of the point absorber integrated with a backward bent duct buoy. The aim of [...] Read more.
The hybrid form of wave energy converter (WEC) is a recent advancement in research concerning harvesting energy from the ocean. This study investigates the effect of size and position of the point absorber integrated with a backward bent duct buoy. The aim of this optimisation is to maximise the WEC-absorbed power and heave response amplitude operators (RAO) at a specific sea site. The optimisation process was applied based on the data collected over a one-year period about sea characteristics for a nearshore region of the Mantanani Island. We present a methodology for optimising the Hybrid BBDB-PA based on a statistical analysis and the hydrodynamics of the system in the frequency and time domain. We used the ANSYS/AQWA software for the hydrodynamic diffraction analysis, and the design of experiments method was applied through the statistical software to determine the optimised parameters. We found that the diameter and gap length between PA and BBDB were found to significantly influence two characteristics, namely, heave RAO and maximum power absorption of PA. This observation shows that the PA size was directly proportional to the performance because a higher diameter has more contact with the ocean’s wet surface area with the ocean and absorbed higher wave energy. Moreover, the gap length between the PA and BBDB was directly correlated with a wavelength, which followed the theoretical value for peak-to-trough length, where the maximum wave height occurs. Despite the condition parameter, we discovered that the WEC position and arrangement were responsible for the highest value of the power, regardless of the PA position used in the experiment. The results of this research provide recommendations for optimising the ocean energy harvesting in order to fully utilise ocean space for energy. Full article
(This article belongs to the Section Ocean Engineering)
Show Figures

Figure 1

16 pages, 6917 KB  
Article
Research on Size Optimization of Wave Energy Converters Based on a Floating Wind-Wave Combined Power Generation Platform
by Xianxiong Zhang, Bin Li, Zhenwei Hu, Jiang Deng, Panpan Xiao and Mingsheng Chen
Energies 2022, 15(22), 8681; https://doi.org/10.3390/en15228681 - 18 Nov 2022
Cited by 25 | Viewed by 3050
Abstract
Wind energy and wave energy often co-exist in offshore waters, which have the potential and development advantages of combined utilization. Therefore, the combined utilization of wind and waves has become a research hotspot in the field of marine renewable energy. Against this background, [...] Read more.
Wind energy and wave energy often co-exist in offshore waters, which have the potential and development advantages of combined utilization. Therefore, the combined utilization of wind and waves has become a research hotspot in the field of marine renewable energy. Against this background, this study analyses a novel integrated wind-wave power generation platform combining a semi-submersible floating wind turbine foundation and a point absorber wave energy converter (WEC), with emphasis on the size optimization of the WEC. Based on the engineering toolset software ANSYS-AQWA, numerical simulation is carried out to study the influence of different point absorber sizes on the hydrodynamic characteristics and wave energy conversion efficiency of the integrated power generation platform. The well-proven CFD software STAR CCM+ is used to modify the heaving viscosity damping of the point absorber to study the influence of fluid viscosity on the response of the point absorber. Based on this, the multi-body coupled time-domain model of the integrated power generation platform is established, and the performance of the integrated power generation platform is evaluated from two aspects, including the motion characteristics and wave energy conversion efficiency, which provides an important reference for the design and optimization of the floating wind-wave power generation platform. Full article
(This article belongs to the Special Issue Wind and Wave Energy Resource Assessment and Combined Utilization)
Show Figures

Figure 1

27 pages, 33208 KB  
Article
Experimental Modelling of an Isolated WECfarm Real-Time Controllable Heaving Point Absorber Wave Energy Converter
by Timothy Vervaet, Vasiliki Stratigaki, Francesco Ferri, Louis De Beule, Hendrik Claerbout, Bono De Witte, Marc Vantorre and Peter Troch
J. Mar. Sci. Eng. 2022, 10(10), 1480; https://doi.org/10.3390/jmse10101480 - 11 Oct 2022
Cited by 12 | Viewed by 3449
Abstract
To offer point absorber wave energy converters (WECs) as a bankable product on the marine renewable energy market, multiple WECs will be installed together in an array configuration. The wave energy community (research and industrial) has identified the urgent need for available realistic [...] Read more.
To offer point absorber wave energy converters (WECs) as a bankable product on the marine renewable energy market, multiple WECs will be installed together in an array configuration. The wave energy community (research and industrial) has identified the urgent need for available realistic and reliable data on WEC array tests in order to perform a better WEC array optimization approach and in order to validate recently developed (non-linear) numerical models. The ‘WECfarm’ project is initiated to cover this scientific gap on necessary experimental data. The ‘WECfarm’ experimental setup consists of an array of five generic heaving point-absorber WECs. The WECs are equipped with a permanent magnet synchronous motor (PMSM), addressing the need for WEC array tests with an accurate and actively controllable power take-off (PTO). The WEC array control and data acquisition are realized with a Speedgoat Performance real-time target machine, offering the possibility to implement advanced WEC array control strategies in the MATLAB-Simulink environment. The presented article describes the experimental setup, the performed tests and the results of the test campaign using a single, isolated ‘WECfarm’ WEC in April 2021 at the wave basin of Aalborg University (AAU), Denmark. A Coulomb and viscous friction model is determined to partly compensate for the drivetrain (motor, gearbox, rack and pinion) friction. A system identification (SID) approach is adopted considering the WEC system to be composed of two single input single output (SISO) models, the radiation and the excitation model. Radiation tests yield the intrinsic impedance. Excitation tests yield the excitation frequency response function. Adopting an impedance matching approach, the control parameters for the resistive and reactive controller are determined from the complex conjugate of the intrinsic impedance. Both controllers are tested for a selection of regular wave conditions. The performed experimental test campaign using an isolated ‘WECfarm’ WEC allows a full evaluation of the WEC design prior to extending the setup to five WECs. Within the ‘WECfarm’ project, an experimental campaign with a five-WEC array in the Coastal and Ocean Basin (COB) in Ostend, Belgium, is under preparation. Full article
(This article belongs to the Special Issue Offshore Renewables for a Transition to a Low Carbon Society)
Show Figures

Figure 1

19 pages, 9500 KB  
Article
Coupled Dynamic Analysis of a Bottom-Fixed Elastic Platform with Wave Energy Converters in Random Waves
by Sanghwan Heo, Weoncheol Koo and Moo-Hyun Kim
Appl. Sci. 2022, 12(15), 7915; https://doi.org/10.3390/app12157915 - 7 Aug 2022
Viewed by 2190
Abstract
A Wavestar-type Wave Energy Converter (WEC) on an elastic foundation structure was investigated using an author-developed coupled dynamic analysis computer program. The program included an elastic foundation structure composed of beam elements, a multi-body dynamics model of the entire system, a hydrodynamics model [...] Read more.
A Wavestar-type Wave Energy Converter (WEC) on an elastic foundation structure was investigated using an author-developed coupled dynamic analysis computer program. The program included an elastic foundation structure composed of beam elements, a multi-body dynamics model of the entire system, a hydrodynamics model of the dual-buoy, and fully coupled dynamics considering the interaction between the structure and WECs. The selected WEC models a heaving-point-absorber (HPA), one of the oscillating body systems which causes rotational motions of a connecting rod attached to the foundation structure. A rotational-damper-type hydraulic power take-off (PTO) system on the foundation structure produced electricity. The bottom-fixed foundation structure was modeled by three-dimensional beam elements, and the entire system, including HPA, was analyzed by multi-body dynamics. Random wave data at Buan, a nearshore region of Korea, collected by the Korea Meteorological Administration (KMA), was used as a demonstration study using the developed computer programs. Through the case study, the displacement and stress of the foundation structure were increased significantly by the dynamic coupling effects with the WECs, which underscores that the coupled dynamic analysis is essential for a reliable performance evaluation and the design of such a system. Full article
(This article belongs to the Special Issue Numerical Study on Wave Energy Converters)
Show Figures

Figure 1

31 pages, 26478 KB  
Article
Experimental Modelling of Point-Absorber Wave Energy Converter Arrays: A Comprehensive Review, Identification of Research Gaps and Design of the WECfarm Setup
by Timothy Vervaet, Vasiliki Stratigaki, Brecht De Backer, Kurt Stockman, Marc Vantorre and Peter Troch
J. Mar. Sci. Eng. 2022, 10(8), 1062; https://doi.org/10.3390/jmse10081062 - 2 Aug 2022
Cited by 22 | Viewed by 6675
Abstract
Commercial wave energy exploitation will be realised by placing multiple wave energy converters (WECs) in an array configuration. A point-absorber WEC consists of a floating or submerged body to capture wave energy from different wave directions. This point-absorber WEC acts as an efficient [...] Read more.
Commercial wave energy exploitation will be realised by placing multiple wave energy converters (WECs) in an array configuration. A point-absorber WEC consists of a floating or submerged body to capture wave energy from different wave directions. This point-absorber WEC acts as an efficient wave absorber that is also an efficient wave generator. Optimising the WEC array layout to obtain constructive interference within the WEC array is theoretically beneficial, whereas for wind farms, it is only important to avoid destructive interference within an array of wind turbines due to wake effects. Moreover, the WEC array layout should be optimised simultaneously with the applied control strategy. This article provides a literature review on the state of the art in physical modelling of point-absorber WEC arrays and the identification of research gaps. To cover the scientific gap of experimental data necessary for the validation of recently developed (nonlinear) numerical models for WEC arrays, Ghent University has introduced the “WECfarm” project. The identified research gaps are translated into design requirements for the “WECfarm” WEC array setup and test matrix. This article presents the design of the “WECfarm” experimental setup, consisting of an array of five generic heaving point-absorber WECs. The WECs are equipped with a permanent magnet synchronous motor (PMSM), addressing the need for WEC array tests with an accurate and actively controllable power take-off (PTO). The WEC array control and data acquisition are realised with a Speedgoat Performance real-time target machine, offering the possibility to implement advanced WEC array control strategies in the MATLAB-Simulink model. Wave basin testing includes long- and short-crested waves and extreme wave conditions, representing real sea conditions. Within the “WECfarm” project, two experimental campaigns were performed at the Aalborg University wave basin: (a) a testing of the first WEC in April 2021 and (b) a testing of a two-WEC array in February 2022. An experimental campaign with a five-WEC array is under preparation at the moment of writing. Full article
(This article belongs to the Special Issue Offshore Renewables for a Transition to a Low Carbon Society)
Show Figures

Figure 1

Back to TopTop