Sign in to use this feature.

Years

Between: -

Subjects

remove_circle_outline
remove_circle_outline
remove_circle_outline
remove_circle_outline
remove_circle_outline
remove_circle_outline
remove_circle_outline
remove_circle_outline
remove_circle_outline

Journals

remove_circle_outline
remove_circle_outline
remove_circle_outline
remove_circle_outline
remove_circle_outline
remove_circle_outline
remove_circle_outline
remove_circle_outline
remove_circle_outline

Article Types

Countries / Regions

remove_circle_outline
remove_circle_outline
remove_circle_outline
remove_circle_outline
remove_circle_outline
remove_circle_outline

Search Results (2,499)

Search Parameters:
Keywords = heating season

Order results
Result details
Results per page
Select all
Export citation of selected articles as:
20 pages, 2986 KB  
Article
Thermal Stratification in Solar Storage Tanks: Long-Term Modelling and Efficiency Analysis
by Barbara Król and Krzysztof Kupiec
Energies 2026, 19(3), 627; https://doi.org/10.3390/en19030627 (registering DOI) - 25 Jan 2026
Abstract
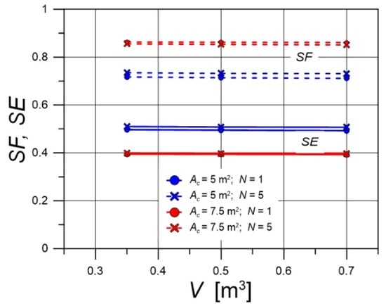
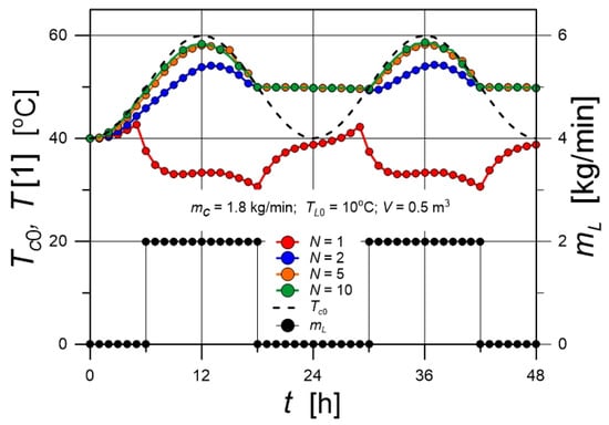
The storage tank plays a key role in solar thermal installations, as thermal stratification allows high temperatures to be maintained in the upper region while keeping the return temperature to the collectors low. This study analyses the influence of thermal stratification on short- [...] Read more.
The storage tank plays a key role in solar thermal installations, as thermal stratification allows high temperatures to be maintained in the upper region while keeping the return temperature to the collectors low. This study analyses the influence of thermal stratification on short- and long-term performance of solar domestic hot water systems using a multi-node storage tank model. An algorithm was developed to compute temperature profiles along the height of a storage tank operating under time-varying temperature and flow-rate conditions. Time courses of temperatures and heat fluxes in a solar domestic hot water system were determined. In addition, the seasonal variation in the optimal locations for supplying the tank with water from the solar collector was identified. Annual simulations were performed for the climate of Kraków (Poland) and the domestic hot water demand of a single-family household. The results show that the effect of the degree of stratification on solar fraction and solar efficiency is small. It was also demonstrated that the effect of thermal stratification within the tank on stabilizing the temperature of the produced water is more significant than the effect associated with increasing the tank volume. Full article
(This article belongs to the Special Issue Advances in the Design and Application of Solar Energy in Buildings)
Show Figures

Figure 1

22 pages, 2785 KB  
Article
Intelligent Optimization of Ground-Source Heat Pump Systems Based on Gray-Box Modeling
by Kui Wang, Zijian Shuai and Ye Yao
Energies 2026, 19(3), 608; https://doi.org/10.3390/en19030608 (registering DOI) - 24 Jan 2026
Abstract
Ground-source heat pump (GSHP) systems are widely regarded as an energy-efficient solution for building heating and cooling. However, their actual performance in large commercial buildings is often limited by rigid control strategies, insufficient equipment coordination, and suboptimal load matching. In the Liuzhou Fengqing [...] Read more.
Ground-source heat pump (GSHP) systems are widely regarded as an energy-efficient solution for building heating and cooling. However, their actual performance in large commercial buildings is often limited by rigid control strategies, insufficient equipment coordination, and suboptimal load matching. In the Liuzhou Fengqing Port commercial complex, the seasonal coefficient of performance (SCOP) of the GSHP system remains at a relatively low level of 3.0–3.5 under conventional operation. To address these challenges, this study proposes a gray-box-model-based cooperative optimization and group control strategy for GSHP systems. A hybrid gray-box modeling approach (YFU model), integrating physical-mechanism modeling with data-driven parameter identification, is developed to characterize the energy consumption behavior of GSHP units and variable-frequency pumps. On this basis, a multi-equipment cooperative optimization framework is established to coordinate GSHP unit on/off scheduling, load allocation, and pump staging. In addition, continuous operational variables (e.g., chilled-water supply temperature and circulation flow rate) are globally optimized within a hierarchical control structure. The proposed strategy is validated through both simulation analysis and on-site field implementation, demonstrating significant improvements in system energy efficiency, with annual electricity savings of no less than 3.6 × 105 kWh and an increase in SCOP from approximately 3.2 to above 4.0. The results indicate that the proposed framework offers strong interpretability, robustness, and engineering applicability. It also provides a reusable technical paradigm for intelligent energy-saving retrofits of GSHP systems in large commercial buildings. Full article
(This article belongs to the Special Issue Energy Efficiency and Energy Saving in Buildings)
Show Figures

Figure 1

18 pages, 3099 KB  
Article
Direct Observation of the Developing Intra-Annual Density Fluctuation (IADF) for Scots Pine in Semiarid Siberian Belt Forest: External Stress Targets Cambium
by Yulia A. Kholdaenko, Natalia V. Karmanovskaya, Liliana V. Belokopytova, Dina F. Zhirnova, Nariman B. Mapitov, Eugene A. Vaganov and Elena A. Babushkina
Plants 2026, 15(3), 348; https://doi.org/10.3390/plants15030348 - 23 Jan 2026
Viewed by 19
Abstract
Long-term observations of the seasonal growth of Scots pine (Pinus sylvestris L.) tree rings in the arid conditions of the Khakass-Minusinsk Basin (southern Siberia) revealed that in 2024, trees had formed a tree ring with a typical intra-annual density fluctuation (IADF) in [...] Read more.
Long-term observations of the seasonal growth of Scots pine (Pinus sylvestris L.) tree rings in the arid conditions of the Khakass-Minusinsk Basin (southern Siberia) revealed that in 2024, trees had formed a tree ring with a typical intra-annual density fluctuation (IADF) in the transition wood. An analysis of the timing and causes of this wood structure anomaly was conducted using a combination of three approaches: (1) analyzing images of cross-sections of the forming tree ring throughout the season; (2) comparing the timing of anomalous cells’ differentiation with daily climate data; (3) comparing seasonal growth observations with calculated characteristics of the modeled growth rate and its derivatives: soil moisture and transpiration. We found that during the most severe heat wave and drought (from 22 June to 9 July), the last normal earlywood cells were yet expanding, IADF cells were being produced in the cambial zone, and the first of them began expansion, while normal cells began being produced again immediately after the subsiding of environmental stress. Apparently, low soil moisture and very high temperatures mainly impacted cells in the cambial zone, marking it as the primary target of external factors influencing tree-ring formation and structure, which is important for dendroclimatology and digital wood anatomy. This result is supported by both indirect and limited direct evidence from other sources. Full article
(This article belongs to the Special Issue Relationships Between Plant Phenology and Climate Factors)
Show Figures

Figure 1

15 pages, 5176 KB  
Article
Source Apportionment of PM2.5 in Shandong Province, China, During 2017–2018 Winter Heating Season
by Yin Zheng, Fei Tian, Tao Ma, Yang Li, Wei Tang, Jing He, Yang Yu, Xiaohui Du, Zhongzhi Zhang and Fan Meng
Atmosphere 2026, 17(1), 112; https://doi.org/10.3390/atmos17010112 - 21 Jan 2026
Viewed by 44
Abstract
PM2.5 pollution has become one of the major environmental issues in Shandong Province in recent years. High concentrations of PM2.5 not only reduce atmospheric visibility but also induce respiratory and cardiovascular diseases, and significantly increase health risks. Source apportionment of PM [...] Read more.
PM2.5 pollution has become one of the major environmental issues in Shandong Province in recent years. High concentrations of PM2.5 not only reduce atmospheric visibility but also induce respiratory and cardiovascular diseases, and significantly increase health risks. Source apportionment of PM2.5 is important for policy makers to determine control strategies. This study analyzed regional and sectoral PM2.5 sources across 17 Shandong cities during the 2017–2018 winter heating season, which is selected because it is representative of severe air pollution with an average PM2.5 of 65.75 μg/m3 and hourly peak exceeding 250 μg/m3. This air pollution episode aligned with key control policies, where seven major cities implemented steel capacity reduction and coal-to-gas/electric heating, as a baseline for evaluating emission reduction effectiveness. The particulate matter source apportionment technology in the Comprehensive Air Quality Model with extensions (CAMx) was applied to simulate the source contributions to PM2.5 in 17 cities from different regions and sectors including industry, residence, transportation, and coal-burning power plants. The meteorological fields required for the CAMx model were generated using the Weather Research and Forecasting (WRF) model. The results showed that all cities besides Dezhou city in Shandong Province contributed PM2.5 locally, varying from 39% to 53%. The emissions from Hebei province have a large impact on the PM2.5 concentrations in Shandong Province. The non-local industrial and residential sources in Shandong Province accounted for the prominent proportion of local PM2.5 in all cities. The contribution of non-local industrial sources to PM2.5 in Heze City was up to 56.99%. As for Zibo City, the largest contribution of PM2.5 was from non-local residential sources, around 56%. Additionally, the local industrial and residential sources in Jinan and Rizhao cities had relatively more contributions to the local PM2.5 concentrations compared to the other cities in Shandong Province. Finally, the emission reduction effects were evaluated by applying different reduction ratios of local industrial and transportation sources, with decreases in PM2.5 concentrations ranging from 0.2 to 26 µg/m3 in each city. Full article
(This article belongs to the Section Air Quality)
Show Figures

Figure 1

25 pages, 3591 KB  
Article
Remote Sensing Monitoring of Summer Heat Waves–Urban Vegetation Interaction in Bucharest Metropolis
by Maria Zoran, Dan Savastru and Marina Tautan
Atmosphere 2026, 17(1), 109; https://doi.org/10.3390/atmos17010109 (registering DOI) - 21 Jan 2026
Viewed by 58
Abstract
Through a comprehensive analysis of urban vegetation summer seasonal and interannual patterns in the Bucharest metropolis in Romania, this study explored the response of urban vegetation to heat waves’ (HWs) impact in relation to multi-climatic parameters variability from a spatiotemporal perspective during 2000–2024, [...] Read more.
Through a comprehensive analysis of urban vegetation summer seasonal and interannual patterns in the Bucharest metropolis in Romania, this study explored the response of urban vegetation to heat waves’ (HWs) impact in relation to multi-climatic parameters variability from a spatiotemporal perspective during 2000–2024, with a focus on summer HWs periods (June–August), and particularly on the hottest summer 2024. Statistical correlation, regression, and linear trend analysis were applied to multiple long-term MODIS Terra/Aqua and MERRA-2 Reanalysis satellite and in situ climate data time series. To support the decline in urban vegetation during summer hot periods due to heat stress, this study found strong negative correlations between vegetation biophysical observables and urban thermal environment parameters at both the city center and metropolitan scales. In contrast, during the autumn–winter–spring seasons (September–May), positive correlations have been identified between vegetation biophysical observables and a few climate parameters, indicating their beneficial role for vegetation growth from 2000 to 2024. The recorded decreasing trend in evapotranspiration from 2000 to 2024 during summer HW periods in Bucharest’s metropolis was associated with a reduction in the evaporative cooling capacity of urban vegetation at high air temperatures, diminishing vegetation’s key function in mitigating urban heat stress. The slight decline in land surface albedo in the Bucharest metropolis due to increased urbanization may explain the enhanced air temperatures and the severity of HWs, as evidenced by 41 heat wave events (HWEs) and 222 heat wave days (HWDs) recorded during the summer (June–August) period from 2000 to 2024. During the severe 2024 summer heat wave episodes in the south-eastern part of Romania, a rise of 5.89 °C in the mean annual land surface temperature and a rise of 6.76 °C in the mean annual air temperature in the Bucharest metropolitan region were observed. The findings of this study provide a refined understanding of heat stress’s impact on urban vegetation, essential for developing effective mitigation strategies and prioritizing interventions in vulnerable areas. Full article
Show Figures

Figure 1

25 pages, 55532 KB  
Article
Diurnal–Seasonal Contrast of Spatiotemporal Dynamic and the Key Determinants of Surface Urban Heat Islands Across China’s Humid and Arid Regions
by Chengyu Wang, Zihao Feng and Xuhong Wang
Sustainability 2026, 18(2), 1093; https://doi.org/10.3390/su18021093 - 21 Jan 2026
Viewed by 64
Abstract
Regional management of the urban thermal environment is essential for sustainable development. However, both the surface urban heat island (SUHI) spatiotemporal patterns and driving mechanisms across humid–arid regions remain uncertain. Therefore, 329 cities from various humid–arid regions were selected to investigate the interannual, [...] Read more.
Regional management of the urban thermal environment is essential for sustainable development. However, both the surface urban heat island (SUHI) spatiotemporal patterns and driving mechanisms across humid–arid regions remain uncertain. Therefore, 329 cities from various humid–arid regions were selected to investigate the interannual, seasonal, and diurnal distribution characteristics of SUHIs across regions. By constructing six-dimensional influencing factors and using CatBoost-SHAP and SEM methods, the contributions and action pathways of these factors to SUHIs were analyzed across humid–arid regions. The influence mechanisms, differences in feature importance, and similarities and discrepancies in action pathways were thoroughly examined. The findings are as follows: 1. During the day, higher SUHII values occur in humid and semihumid regions, exceeding those in arid and semiarid regions by 1.521 and 0.921, respectively. At night, arid and semiarid regions exhibit UHI effects (SUHII > 0). The SUHI distribution across humid–arid regions demonstrates seasonal variations. 2. ΔSA and ΔNDVI are stable dominant influencing factors across all regions. The contribution rank varies along the humid–arid region: Pollution factors are more important in arid and semiarid regions, whereas surface features and 2D/3D dominate in humid and semihumid regions at night. 3. SUHI regulation by influencing factors across humid–arid regions follows both similar paths and regional variations. This study reveals the SUHI distribution across humid–arid regions and provides reference data for regional thermal environment management. Full article
Show Figures

Figure 1

15 pages, 4237 KB  
Article
Stage-Wise Simulation for Operational Stability Evaluation of Seasonal Heat Storage in Abandoned Coal Mines
by Wenying Tang, Jiawei Tang, Qiang Guo, Haiqin Zhang, Changhao Feng, Xiaolin He, Zixu Hu and Xi Wu
Energies 2026, 19(2), 537; https://doi.org/10.3390/en19020537 - 21 Jan 2026
Viewed by 62
Abstract
The development of coal resources has created a large number of underground mined-out spaces, which can be utilized for cross-seasonal thermal storage through underground reservoirs to achieve seasonal heat storage. However, there is currently limited research on the cross-seasonal thermal storage capabilities and [...] Read more.
The development of coal resources has created a large number of underground mined-out spaces, which can be utilized for cross-seasonal thermal storage through underground reservoirs to achieve seasonal heat storage. However, there is currently limited research on the cross-seasonal thermal storage capabilities and thermal storage performance evaluation of coal mine underground reservoirs. This study aims to evaluate the operational stability and long-term performance of a Coal Mine Underground Reservoir Energy Storage System (CMUR-ESS) under realistic geological conditions of the Shendong Coalfield. A multi-physics coupling model, integrating thermal-fluid processes, was developed based on the actual structure of the No. 5-2 coal seam goaf in the Dalinta Mine. Numerical simulations were conducted over five annual cycles, each comprising injection, storage, production, and transition stages. Results demonstrate that the system achieves progressive thermal accumulation, with the volume fraction of water above 70 °C increasing from 75.0% in the first cycle to 88.9% by the fifth cycle at the end of the storage stage. Production temperatures also improved, with peak and final temperatures rising by 6.2% and 6.8%, respectively, after five cycles. The analysis confirms enhanced heat retention and reduced thermal loss over time, indicating robust long-term stability and sustainability of the CMUR-ESS for seasonal energy storage applications. The results of this study can provide a reference for the design and evaluation of CMUR-ESS. Full article
Show Figures

Figure 1

19 pages, 1329 KB  
Article
Urban Heat and Cooling Demand: Tree Canopy Targets for Equitable Energy Planning in Baltimore
by Chibuike Chiedozie Ibebuchi and Clement Nyamekye
Urban Sci. 2026, 10(1), 61; https://doi.org/10.3390/urbansci10010061 - 18 Jan 2026
Viewed by 167
Abstract
Urban heat and hardscapes increase cooling electricity demand, stressing power grids and disproportionately burdening deprived neighborhoods. While previous studies have documented the cooling benefits of urban tree canopy, most analyses remain at coarse spatial scales and do not isolate the canopy’s marginal effect [...] Read more.
Urban heat and hardscapes increase cooling electricity demand, stressing power grids and disproportionately burdening deprived neighborhoods. While previous studies have documented the cooling benefits of urban tree canopy, most analyses remain at coarse spatial scales and do not isolate the canopy’s marginal effect from built surfaces, limiting their utility for equitable neighborhood-level planning. We introduce a novel neighborhood-scale (census block-group, CBG) model to estimate cooling-season energy demand across Baltimore City and Baltimore County, Maryland. We quantify demand drivers and actionable tree-canopy targets while controlling for built surfaces. Correlation analysis shows demand increases with developed fraction and imperviousness, and decreases with tree canopy and other vegetated or water cover. Using an explainable monotone gradient-boosted tree model (SHAP) with controls for imperviousness and development, we isolate the canopy’s marginal effect. Demand reductions begin once the canopy exceeds ~11% in Baltimore City and ~23% in Baltimore County, with diminishing returns beyond ~18% (City) and ~24% (County). This flattening is strongest in highly impervious CBGs, while low-impervious county areas show renewed reductions at very high canopy (>55–60%), consistent with forest-dominated microclimates. Spatial hotspots cluster in Baltimore City and southern Baltimore County, where low canopy and high hardscapes coincide with elevated demand; 61% of City CBGs fall below the 18% threshold. We translate these findings into priority intervention tiers combining demand, hardscapes, jurisdiction-specific canopy thresholds, and an equity overlay, identifying 21% of City and 1.2% of County CBGs as high-priority targets for greening and energy-relief interventions. Full article
Show Figures

Figure 1

10 pages, 2128 KB  
Proceeding Paper
Artificial Neural Network Model for Predicting the Characteristics of a Solar Vacuum Tube System for Domestic Hot Water Heating
by Mariyana Sestrimska, Nikolay Komitov and Margarita Terziyska
Eng. Proc. 2026, 122(1), 10; https://doi.org/10.3390/engproc2026122010 - 15 Jan 2026
Viewed by 116
Abstract
The use of different energy sources for heating and year-round domestic water heating is driven by the European Union’s increasingly strict environmental and climate requirements. For this reason, consumers are seeking alternatives and show growing interest in implementing installations that utilize solar energy. [...] Read more.
The use of different energy sources for heating and year-round domestic water heating is driven by the European Union’s increasingly strict environmental and climate requirements. For this reason, consumers are seeking alternatives and show growing interest in implementing installations that utilize solar energy. Modern households typically employ at least two different energy sources for this purpose. In practice, these are hybrid installations that, depending on the season, can operate with one, two, or more energy sources. The system examined in this paper is of this type, comprising a pellet boiler, solar vacuum tubes, and electric heaters. Managing such a system is complex, and based on the conducted studies, process optimization can be pursued. This report presents an artificial neural network (ANN) model developed to predict the behavior of a real solar installation for domestic hot water heating during the summer season. This study aims, through the obtained model, to forecast the system’s performance during transitional periods such as autumn and spring, thereby enabling more efficient control. Full article
Show Figures

Figure 1

28 pages, 3982 KB  
Article
Assessment and Numerical Modeling of the Thermophysical Efficiency of Newly Developed Adaptive Building Envelopes Under Variable Climatic Impacts
by Nurlan Zhangabay, Arukhan Oner, Ulzhan Ibraimova, Mohamad Nasir Mohamad Ibrahim, Timur Tursunkululy and Akmaral Utelbayeva
Buildings 2026, 16(2), 366; https://doi.org/10.3390/buildings16020366 - 15 Jan 2026
Viewed by 159
Abstract
The relevance of this study is driven by the increasing requirements for the energy efficiency and indoor comfort of residential and public buildings, particularly in regions with extreme climatic conditions characterized by substantial daily and seasonal temperature fluctuations. Effective management of heat transfer [...] Read more.
The relevance of this study is driven by the increasing requirements for the energy efficiency and indoor comfort of residential and public buildings, particularly in regions with extreme climatic conditions characterized by substantial daily and seasonal temperature fluctuations. Effective management of heat transfer through building envelopes has become a key factor in reducing energy consumption and improving indoor comfort. This paper presents the results of an experimental–numerical investigation of the thermal behavior of an adaptive exterior wall system with a controllable air cavity. Steady-state and transient simulations were performed for three envelope configurations: a baseline design, a design with vertical air channels, and an adaptive configuration equipped with adjustable openings. Quantitative analysis showed that during the winter period, the adaptive configuration increases the interior surface temperature by 1.5–2.3 °C compared to the baseline design, resulting in a 12–18% reduction in the specific heat flux through the wall. In the summer period, the temperature of the exterior cladding decreases by 3–5 °C relative to the baseline, which reduces heat gains by 8–14% and lowers the cooling load. Additional analysis of temperature fields demonstrated that the presence of vertical air channels has a limited effect during winter: temperature differences at the surfaces do not exceed 1 °C. A similar pattern is observed in warm periods; however, due to controlled air circulation, the adaptive configuration provides an improved thermal regime. The results confirm the effectiveness of the adaptive wall system under the climatic conditions of southern Kazakhstan, characterized by high solar radiation and large diurnal temperature variations. The practical significance of the study lies in the potential application of adaptive façades to enhance the energy efficiency of buildings during both winter and summer seasons. Full article
(This article belongs to the Section Building Energy, Physics, Environment, and Systems)
Show Figures

Figure 1

13 pages, 2499 KB  
Article
Urban and Rural Shortwave Irradiance: Phoenix, Arizona, USA
by Anthony Brazel and Roger Tomalty
Atmosphere 2026, 17(1), 77; https://doi.org/10.3390/atmos17010077 - 14 Jan 2026
Viewed by 159
Abstract
The Phoenix Metropolitan Area (PMA) is situated in the Sonoran Desert of Central Arizona, USA. The PMA is a focus of ongoing climate change and urban heat island research. This paper addresses differences in the receipt of shortwave irradiance (global radiation) between the [...] Read more.
The Phoenix Metropolitan Area (PMA) is situated in the Sonoran Desert of Central Arizona, USA. The PMA is a focus of ongoing climate change and urban heat island research. This paper addresses differences in the receipt of shortwave irradiance (global radiation) between the city and its surroundings. Several weather networks (e.g., AZ Met, an Arizona agricultural network) and air quality monitoring sites allow for the determination of shortwave irradiance between urban and rural locales, as well as a preliminary relation to seasonal patterns of suspended particulates. Particulate matter 10 μm and smaller (PM10) ranges from ca. 10 µg/m3 to 30 µg/m3 from winter to summer in rural areas, whereas in the metropolitan area, PM10 often exceeds 40 µg/m3 year-round. On average, urban transmissivity (T) of shortwave irradiance is lower than rural values by 1% in summer to over 5% in winter, like other urban studies evaluating effects on irradiance. Percentage differences between a site on a local mountain and the valley floor (about 400 m difference) range from 1% in summer to 5% in winter, in sync with seasonal mixing height changes and vertical mixing of particulates. Full article
(This article belongs to the Special Issue Urban Heat Islands, Global Warming and Effects)
Show Figures

Figure 1

19 pages, 1587 KB  
Article
Determinants of Spatial Variation in Vulnerability to Extreme Temperatures in Austria from 1970 to 2020
by Hanns Moshammer, Martin Jury, Hans-Peter Hutter and Peter Wallner
Climate 2026, 14(1), 16; https://doi.org/10.3390/cli14010016 - 13 Jan 2026
Viewed by 145
Abstract
Vulnerability to heat and cold is influenced by many characteristics. This study analyzed determinants of vulnerability at the district level in the whole of Austria. Daily deaths (1970–2020) and daily temperatures per district were entered into time series models using negative binomial General [...] Read more.
Vulnerability to heat and cold is influenced by many characteristics. This study analyzed determinants of vulnerability at the district level in the whole of Austria. Daily deaths (1970–2020) and daily temperatures per district were entered into time series models using negative binomial General Additive Models controlling for long-term and seasonal trends and for the day of the week. District-wise effect estimates of 111 districts in total were entered into linear meta-regression models seeking determinants of inter-district variation in heat and cold vulnerability. Generally, temperature effects on the daily number of deaths were highly significant in all districts, with higher death rates occurring when the same-day temperature exceeded a clear threshold and higher death rates with declining temperature averaged over the previous 14 days, in that case not showing any clear threshold effect. A higher heat vulnerability was observed for more densely populated areas, especially for the city of Vienna, for districts with a higher percentage of singles, of homeless people, of unemployed, and of migrants. Surprisingly, a higher percentage of outdoor workers seemed to be protective. Higher cold vulnerability was found for an increasingly autochthonous population, for districts with a higher employment rate, with more commuters, more agricultural workers, and more green spaces. Full article
(This article belongs to the Section Weather, Events and Impacts)
Show Figures

Graphical abstract

26 pages, 5049 KB  
Article
Spatiotemporal Dynamics and Drivers of Potential Winter Ice Resources in China (1990–2020) Using Multi-Source Remote Sensing and Machine Learning
by Donghui Shi
Remote Sens. 2026, 18(2), 250; https://doi.org/10.3390/rs18020250 - 13 Jan 2026
Viewed by 198
Abstract
River and lake ice are sensitive indicators of climate change and important components of hydrological and ecological systems in cold regions. In this study, we develop a simple and transferable “surface water + land surface temperature (LST)” framework on Google Earth Engine to [...] Read more.
River and lake ice are sensitive indicators of climate change and important components of hydrological and ecological systems in cold regions. In this study, we develop a simple and transferable “surface water + land surface temperature (LST)” framework on Google Earth Engine to map potential winter ice area across China from 1990 to 2020. The framework enables consistent, large-scale, long-term monitoring without relying on complex remote sensing models or region-specific thresholds. Our results show that, despite a pronounced northwestward shift in the freezing-zone boundary, more than 400 km in the Northeast Plain and about 13 km per year along the eastern coast, the total ice-covered area increased by approximately 1.1% per year. At the same time, the average ice season became slightly shorter. This indicates asynchronous spatial and temporal responses of potential winter ice to warming. We identify a persistent “Northwest–Northeast dual-core” spatial pattern with strong positive spatial autocorrelation, characterized by increasing ice cover in Tibet, Qinghai, Xinjiang, Inner Mongolia, and Northeast China, and decreasing ice cover mainly in Beijing and Yunnan, where intense urbanization and low-latitude warming dominate. Random Forest modeling further shows that water area fraction, nighttime lights, built-up area, altitude, and water–heat indices are the main controls on potential winter ice. These findings highlight the combined influence of hydrological and thermal conditions and urbanization in reshaping potential winter ice patterns under climate change. Full article
Show Figures

Figure 1

26 pages, 19685 KB  
Article
UAV NDVI-Based Vigor Zoning Predicts PR-Protein Accumulation and Protein Instability in Chardonnay and Sauvignon Blanc Wines
by Adrián Vera-Esmeraldas, Mauricio Galleguillos, Mariela Labbé, Alejandro Cáceres-Mella, Francisco Rojo and Fernando Salazar
Plants 2026, 15(2), 243; https://doi.org/10.3390/plants15020243 - 13 Jan 2026
Viewed by 232
Abstract
Protein instability in white wines is mainly caused by pathogenesis-related (PR) proteins that survive winemaking and can form haze in bottle. Because PR-protein synthesis is modulated by vine stress, this study evaluated whether unmanned aerial vehicle (UAV) multispectral imagery and NDVI-based vigor zoning [...] Read more.
Protein instability in white wines is mainly caused by pathogenesis-related (PR) proteins that survive winemaking and can form haze in bottle. Because PR-protein synthesis is modulated by vine stress, this study evaluated whether unmanned aerial vehicle (UAV) multispectral imagery and NDVI-based vigor zoning can be used as early predictors of protein instability in commercial Chardonnay and Sauvignon Blanc wines. High-resolution multispectral images were acquired over two seasons (2023–2024) in two vineyards, and three vigor zones (high, medium, low) were delineated from the NDVI at the individual vine scale. A total of 180 georeferenced vines were sampled, and musts were analyzed for thaumatin-like proteins and chitinases via RP-HPLC. Separate microvinifications were carried out for each vigor zone and cultivar, and the resulting wines were evaluated for protein instability (heat test) and bentonite requirements. Low-vigor vines consistently produced musts with higher PR-protein concentrations, greater turbidity after heating, and higher bentonite demand than high-vigor vines, with stronger effects in Sauvignon Blanc. These vigor-dependent patterns were stable across vintages, despite contrasting seasonal conditions. Linear discriminant analysis using NDVI, PR-protein content, turbidity, and bentonite dosage correctly separated vigor classes. Overall, UAV NDVI–based vigor zoning provided a robust, non-destructive tool for identifying vineyard zones with increased risk of protein instability. This approach supports precision enology by enabling site-specific stabilization strategies that reduce overtreatment with bentonite and preserve white wine quality. Full article
Show Figures

Figure 1

21 pages, 4447 KB  
Article
Numerical Investigation of a Multi-Year Sand-Based Thermal Energy Storage System for Building Space Heating Application
by Sandeep Bandarwadkar and Tadas Zdankus
Buildings 2026, 16(2), 321; https://doi.org/10.3390/buildings16020321 - 12 Jan 2026
Viewed by 134
Abstract
Residential space heating in Northern Europe requires long-duration thermal storage to align summer solar gains with winter heating demand. This study investigates a compact sand-based seasonal thermal energy storage integrated with flat-plate solar collectors for an A+ class single-family house in Kaunas, Lithuania. [...] Read more.
Residential space heating in Northern Europe requires long-duration thermal storage to align summer solar gains with winter heating demand. This study investigates a compact sand-based seasonal thermal energy storage integrated with flat-plate solar collectors for an A+ class single-family house in Kaunas, Lithuania. An iterative co-design couples collector sizing with the seasonal charging target and a 3D COMSOL Multiphysics model of a 300 m3 sand-filled, phenolic foam-insulated system, with a 1D conjugate model of a copper pipe heat-exchanger network. The system was charged from March to September and discharged from October to February under measured-weather boundary conditions across three consecutive annual cycles. During the first year, the storage supplied the entire winter heating demand, though 35.2% of the input energy was lost through conduction, resulting in an end-of-cycle average sand temperature slightly below the initial state. In subsequent years, both the peak sand temperature and the residual end-of-cycle temperature increased by 3.7 °C and 3.2 °C, respectively, by the third year, indicating cumulative thermal recovery and improved retention. Meanwhile, the peak conductive losses rate decreased by 98 W, and cumulative annual losses decreased by 781.4 kWh in the third year, with an average annual reduction of 4.15%. These results highlight the progressive self-conditioning of the surrounding soil and demonstrate that a low-cost, sand-based storage system can sustain a complete seasonal heating supply with declining losses, offering a robust and scalable approach for residential building heating applications. Full article
(This article belongs to the Section Building Energy, Physics, Environment, and Systems)
Show Figures

Figure 1

Back to TopTop