Sign in to use this feature.

Years

Between: -

Subjects

remove_circle_outline
remove_circle_outline
remove_circle_outline
remove_circle_outline
remove_circle_outline
remove_circle_outline
remove_circle_outline
remove_circle_outline
remove_circle_outline

Journals

remove_circle_outline
remove_circle_outline
remove_circle_outline
remove_circle_outline
remove_circle_outline
remove_circle_outline
remove_circle_outline
remove_circle_outline
remove_circle_outline

Article Types

Countries / Regions

remove_circle_outline
remove_circle_outline
remove_circle_outline
remove_circle_outline
remove_circle_outline

Search Results (1,102)

Search Parameters:
Keywords = heat transfer problem

Order results
Result details
Results per page
Select all
Export citation of selected articles as:
21 pages, 1163 KB  
Article
Frictional Heating During Sliding of Two Layers Made of Different Materials
by Katarzyna Topczewska, Aleksander Yevtushenko and Przemysław Zamojski
Materials 2025, 18(22), 5088; https://doi.org/10.3390/ma18225088 - 9 Nov 2025
Viewed by 51
Abstract
The non-stationary heat problem of friction for two homogeneous layers with imperfect thermal contact and convective heat exchange on the free surfaces is considered. Assuming a constant specific power of friction, an exact solution of the formulated problem is obtained using the Laplace [...] Read more.
The non-stationary heat problem of friction for two homogeneous layers with imperfect thermal contact and convective heat exchange on the free surfaces is considered. Assuming a constant specific power of friction, an exact solution of the formulated problem is obtained using the Laplace integral transform. The solution is verified by checking the fulfillment of the boundary and initial conditions both in the transform space as well as in the space of the original. Particular solutions are also derived for some specific cases, namely, the perfect thermal contact of friction at large values of the contact heat transfer coefficient and the asymptotic solution at the initial time moments of the heating process. On the basis of developed solutions, numerical analysis was performed in dimensionless form. The influence of the thermal contact conductance, the convective cooling intensity, and the relative layer thickness on the temperature field is investigated. It was established that for Biot number Bi50 yields nearly equal surface temperatures. Full article
Show Figures

Figure 1

19 pages, 4518 KB  
Article
Simulation Study on Heat Transfer and Flow Performance of Pump-Driven Microchannel-Separated Heat Pipe System
by Yanzhong Huang, Linjun Si, Chenxuan Xu, Wenge Yu, Hongbo Gao and Chaoling Han
Energies 2025, 18(22), 5882; https://doi.org/10.3390/en18225882 - 8 Nov 2025
Viewed by 187
Abstract
The separable heat pipe, with its highly efficient heat transfer and flexible layout features, has become an innovative solution to the heat dissipation problem of batteries, especially suitable for the directional heat dissipation requirements of high-energy-density battery packs. However, most of the number–value [...] Read more.
The separable heat pipe, with its highly efficient heat transfer and flexible layout features, has become an innovative solution to the heat dissipation problem of batteries, especially suitable for the directional heat dissipation requirements of high-energy-density battery packs. However, most of the number–value models currently studied examine the flow of refrigerant working medium within the pump as an isentropic or isothermal process and are unable to effectively analyze the heat transfer characteristics of different internal regions. Based on the laws of energy conservation, momentum conservation, and mass conservation, this study establishes a steady-state mathematical model of the pump-driven microchannel-separated heat pipe. The influence of factors—such as the phase state change in the working medium inside the heat exchanger, the heat transfer flow mechanism, the liquid filling rate, the temperature difference, as well as the structural parameters of the microchannel heat exchanger on the steady-state heat transfer and flow performance of the pump-driven microchannel-separated heat pipe—were analyzed. It was found that the influence of liquid filling ratio on heat transfer quantity is reflected in the ratio of change in the sensible heat transfer and latent heat transfer. The sensible heat transfer ratio is higher when the liquid filling is too low or too high, and the two-phase heat transfer is higher when the liquid filling ratio is in the optimal range; the maximum heat transfer quantity can reach 3.79 KW. The decrease in heat transfer coefficient with tube length in the single-phase region is due to temperature and inlet effect, and the decrease in heat transfer coefficient in the two-phase region is due to the change in flow pattern and heat transfer mechanism. This technology has the advantages of long-distance heat transfer, which can adapt to the distributed heat dissipation needs of large-energy-storage power plants and help reduce the overall lifecycle cost. Full article
Show Figures

Figure 1

23 pages, 2532 KB  
Article
Identification of Ultra-Short Laser Parameters for a 3D Model of a Thin Metal Film Using the Lattice Boltzmann Method
by Adam Długosz and Anna Korczak
Materials 2025, 18(22), 5079; https://doi.org/10.3390/ma18225079 - 7 Nov 2025
Viewed by 128
Abstract
The paper uses the model of the coupled Boltzmann transport equations, numerically modeled using the lattice Boltzmann method, which describes the impact of an ultra-short laser on thin metal surfaces. The main reason for using this method is the need to create an [...] Read more.
The paper uses the model of the coupled Boltzmann transport equations, numerically modeled using the lattice Boltzmann method, which describes the impact of an ultra-short laser on thin metal surfaces. The main reason for using this method is the need to create an appropriate model on a very small scale, both in terms of space and time. In the present study, a three-dimensional model is used, for which, in the case of optimization or identification tasks, the characteristics of the obtained numerical solution are quite different from those of other numerical methods and models. The proposed and numerically implemented task of identifying parameters characterizing the laser pulse, such as the power of the stationary laser source, the laser-beam absorptivity coefficient, and the radius of the laser beam, appropriately illustrates the problem. The problem has also been solved for ideal deterministic (no noise) and randomly disturbed (with noise) values of measured temperatures. Three different optimization algorithms are used to solve the inverse task. Several variants of the identification tasks, differing in terms of the number of temperature measurement points, are solved. The results and effectiveness of the identification tasks are compared for the best solution, as well as the statistical measures. Full article
(This article belongs to the Section Materials Simulation and Design)
Show Figures

Figure 1

23 pages, 3667 KB  
Article
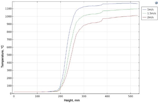
Modeling of Hydrodynamics of Agglomeration of Low-Grade Phosphorites in the Presence of Phosphate-Siliceous Shales and Oil Sludge
by Saltanat Tleuova, Zhunisbek Turishbekov, Ayaulym Tileuberdi, Dana Pazylova, Iskandarbek Iristaev, Mariyam Ulbekova and Nurila Sagindikova
ChemEngineering 2025, 9(6), 125; https://doi.org/10.3390/chemengineering9060125 - 7 Nov 2025
Viewed by 87
Abstract
The purpose of this study is to develop a multiphysical model of agglomeration of low-grade phosphorites with the addition of phosphate-siliceous shales and oil sludge. To achieve these tasks, a numerical approach was used in the COMSOL Multiphysics environment, based on solving the [...] Read more.
The purpose of this study is to develop a multiphysical model of agglomeration of low-grade phosphorites with the addition of phosphate-siliceous shales and oil sludge. To achieve these tasks, a numerical approach was used in the COMSOL Multiphysics environment, based on solving the related problems of heat transfer and hydrodynamics during heat treatment of the material. A laboratory vertical tubular furnace made of heat-resistant quartz glass with electric heating was used to study the effect of the temperature field and the velocity of gases on the degree of sintering and the dynamics of phosphorous agglomerate formation under various technological conditions. It has been established that the optimal temperature for the agglomeration process is a layer temperature of 950–1000 °C at a gas flow rate of 1.5–2 m/s, which ensures the formation of durable granules and minimizes sintering heterogeneity. The maximum sintering layer height of the test charge reaches 210–230 mm at pressures of 0.015–0.027 MPa. A comparison of the numerical simulation results with experimental data showed a good agreement, which confirms the practical significance of the proposed model for the design and optimization of industrial processes of agglomeration of phosphorous raw materials. Modern physical and chemical analyses have established the phase, microstructural, and element-by-element characteristics of the studied phosphate-siliceous shale and the product of agglomeration firing. The results of modeling the hydrodynamics of the charge agglomeration process can be recommended to increase the efficiency of processing phosphate-containing waste and reduce energy consumption. Full article
Show Figures

Figure 1

17 pages, 2725 KB  
Article
An Experimental Study of Bubble Growth and Detachment Characteristics at an Orifice for an Electronic Atomizer
by Deji Sun, Jinyang Zhao, Huiwu Liu, Ying Zhang and Zhaoqing Ke
Processes 2025, 13(11), 3516; https://doi.org/10.3390/pr13113516 - 2 Nov 2025
Viewed by 179
Abstract
The formation of bubbles at an orifice is a key problem in gas–liquid two-phase flow. In the electronic atomizer, the bubble size and generation frequency formed at the gas exchange port are important factors affecting the heat and mass transfer efficiency and two-phase [...] Read more.
The formation of bubbles at an orifice is a key problem in gas–liquid two-phase flow. In the electronic atomizer, the bubble size and generation frequency formed at the gas exchange port are important factors affecting the heat and mass transfer efficiency and two-phase flow in the atomization process. Therefore, it is of great theoretical and practical significance to study the process of bubble growth and detachment at the orifice. In this work, the dynamic change in bubble volume during the periodic growth of the orifice is analyzed by visual experiments. The effects of outlet liquid flow rate, orifice parameter, and liquid properties on bubble detachment volume and detachment frequency are discussed. It is found that under different orifice diameters and outlet liquid flow rates, the bubble generation period can be divided into three forms: single-, double-, and triple-bubble periodicities based on the number of bubbles in the period. The detachment frequency and detachment volume of bubbles increase with the increase the in outlet flow rate. The change in liquid properties also affects the bubble growth and detachment characteristics. This work provides a theoretical basis for the design of an air exchange structure in an electronic atomizer. Full article
(This article belongs to the Special Issue Thermodynamics and Fluid Mechanics in Energy Systems)
Show Figures

Figure 1

28 pages, 7203 KB  
Article
Influence of Fin Spacing and Fin Height in Passive Heat Sinks: Numerical Analysis with Experimental Comparison
by Mateo Kirinčić, Tin Fadiga and Boris Delač
Appl. Sci. 2025, 15(21), 11410; https://doi.org/10.3390/app152111410 - 24 Oct 2025
Viewed by 335
Abstract
In this paper, heat dissipation through a passive vertical plate fin heat sink via natural convection was numerically investigated. The influence of two nondimensional geometric parameters, fin spacing-to-thickness ratio and fin height-to-spacing ratio, on the heat sink’s thermal performance was evaluated. A mathematical [...] Read more.
In this paper, heat dissipation through a passive vertical plate fin heat sink via natural convection was numerically investigated. The influence of two nondimensional geometric parameters, fin spacing-to-thickness ratio and fin height-to-spacing ratio, on the heat sink’s thermal performance was evaluated. A mathematical model describing the three-dimensional steady-state problem of buoyancy-driven flow and heat transfer was formulated. The solution was obtained numerically using the finite volume method in Ansys Fluent. The model and numerical procedure were validated by comparing the numerical predictions with measurements acquired on a constructed experimental apparatus. The heat sink thermal performance was assessed based on a series of performance metrics: heat dissipation rate, heat transfer coefficient, overall thermal resistance, and fin efficiency. Fin spacing-to-thickness ratio was varied between 1.86 and 4.8. Heat dissipation rate displayed a clear peak at a value of approximately 2.6, which coincided with a minimum in the overall thermal resistance. The heat transfer coefficient initially grew steadily, but at higher values of fin spacing-to-thickness ratio, it began to stagnate. Fin efficiency consistently decreased across the investigated range. Fin height-to-spacing ratio was varied between 1.11 and 7.78. The heat dissipation rate increased almost linearly across this range, but when the mass-specific heat dissipation rate was considered, it yielded diminishing returns. The heat transfer coefficient likewise exhibited a plateauing trend, while fin efficiency decreased steadily across the investigated range of fin height-to-spacing ratio. The obtained numerical results provide guidelines for geometry selection and can serve as a foundation for further analyses and optimizations of passive heat sinks’ thermal performance. Full article
(This article belongs to the Section Applied Thermal Engineering)
Show Figures

Figure 1

23 pages, 6280 KB  
Article
Comparative Analysis of Thermophysical Properties of Functional Epoxy Matrix Composites Reinforced with Glass or Carbon Fibers in the Context of Heat Transfer Anisotropy
by Andrzej J. Panas, Zbigniew Leciejewski, Judyta Sienkiewicz and Mirosław Nowakowski
Materials 2025, 18(21), 4838; https://doi.org/10.3390/ma18214838 - 22 Oct 2025
Viewed by 322
Abstract
The paper presents comprehensive and complementary studies of the thermophysical properties of functional composite structures. The term functional in this case means the study of the structure while maintaining its post-production imperfections, as opposed to the study of material samples prepared solely for [...] Read more.
The paper presents comprehensive and complementary studies of the thermophysical properties of functional composite structures. The term functional in this case means the study of the structure while maintaining its post-production imperfections, as opposed to the study of material samples prepared solely for this purpose. The paper presents the results of experimental studies, followed by an analysis of thermophysical properties characterizing heat accumulation and anisotropic heat transfer of two types of utility composites. Composites with an epoxy matrix and two types of reinforcement, glass and carbon fibers, were studied. The research program included micro- and macrostructural analysis and comprehensive thermogravimetric, microcalorimetric and thermal diffusivity measurements. In the studies of heat transfer phenomena, the directional dependence of properties was considered. Attention was focused on maintaining high temperature resolution of measurements, and the effect of repeated temperature exposure was also determined. The results of the research are the determined quantitative and qualitative characteristics, including the temperature dependence of a set of thermophysical properties of the tested materials. Key findings include higher thermal stability and a significant thermal anisotropy ratio in the graphite-reinforced polymer composite compared to the glass-reinforced polymer composite, which exhibited a lower onset decomposition temperature. The results offer crucial data for engineering calculations, structural analyses, and defining operational limits. Analysis of the results provides insight into possible design and operational problems of real structures in relation to model data. Full article
(This article belongs to the Section Advanced Composites)
Show Figures

Figure 1

21 pages, 3962 KB  
Article
Improving Thermal Performance of Solar Heating Systems
by Sebastian Pater and Krzysztof Kupiec
Appl. Sci. 2025, 15(20), 11118; https://doi.org/10.3390/app152011118 - 16 Oct 2025
Viewed by 443
Abstract
The solar energy reaching the immediate surroundings of a single-family house throughout the year is sufficient to repeatedly and fully cover its heating needs during the heating season in a temperate climate. Nevertheless, modern technology is not yet able to fully solve the [...] Read more.
The solar energy reaching the immediate surroundings of a single-family house throughout the year is sufficient to repeatedly and fully cover its heating needs during the heating season in a temperate climate. Nevertheless, modern technology is not yet able to fully solve the problem of thermal self-sufficiency in single-family houses. It is therefore advisable to seek solutions that improve the thermal efficiency of domestic solar installations. Efficient use of solar radiation heat accumulated during the summer months for heating requires the use of high-volume storage tanks. Another option is to discharge excess heat outside the system during the summer. This publication focuses on the latter solution. A model of the solar heating system for a residential building and pool with a storage tank powered by solar energy has been developed. Simulation calculations were performed, showing that the removal of excess heat is a beneficial solution, especially when this energy can be used to heat water in the pool. The calculations concerned the heating of a single-family house in a temperate climate. Lowering the temperature of the water in the storage tank reduces heat losses from the tank to the environment (ground), while supplying the solar collectors with lower-temperature fluid increases the driving force of the heat transfer process. Full article
(This article belongs to the Section Applied Thermal Engineering)
Show Figures

Figure 1

17 pages, 5096 KB  
Article
Numerical Simulation and Experimental Study on Picosecond Laser Polishing of 4H-SiC Wafer
by Yixiong Yan, Yuxuan Cheng, Sijia Chen, Yu Tang, Fan Zhang and Piaopiao Gao
Micromachines 2025, 16(10), 1163; https://doi.org/10.3390/mi16101163 - 14 Oct 2025
Viewed by 514
Abstract
4H-SiC wafers usually require polishing treatment after slicing to improve the surface quality. However, traditional polishing processes have problems such as low removal efficiency and easy surface damage, which affect the reliability of electronic devices. In this paper, picosecond laser polishing technology is [...] Read more.
4H-SiC wafers usually require polishing treatment after slicing to improve the surface quality. However, traditional polishing processes have problems such as low removal efficiency and easy surface damage, which affect the reliability of electronic devices. In this paper, picosecond laser polishing technology is used to study the 4H-SiC wafers after slicing. Numerical models of single-pulse ablation and moving heat source polishing were established to reveal the interaction mechanism between laser and material, including the dynamic evolution of free electron density and the remarkable spatiotemporal non-equilibrium heat transfer characteristics of the electron–lattice system. The sliced 4H-SiC surface with a roughness of 2265 nm was polished by a 1064 nm picosecond laser, and the influence of laser power and scanning speed on the surface quality was systematically studied. By collaboratively optimizing the polishing power and speed, the surface roughness of the sample can be significantly reduced to 207.33 nm (a decrease of 90.85%). The research results indicate that an ultrafast laser is suitable for the pretreatment process of sliced silicon carbide wafers, laying a foundation for further research in the future. This research has a certain research significance for promoting the development of ultrafast laser polishing technology for single crystal silicon carbide wafers and improving the performance and reliability of semiconductor devices. Full article
Show Figures

Figure 1

31 pages, 12185 KB  
Article
Artificial Neural Network-Based Heat Transfer Analysis of Sutterby Magnetohydrodynamic Nanofluid with Microorganism Effects
by Fateh Ali, Mujahid Islam, Farooq Ahmad, Muhammad Usman and Sana Ullah Asif
Magnetochemistry 2025, 11(10), 88; https://doi.org/10.3390/magnetochemistry11100088 - 10 Oct 2025
Viewed by 377
Abstract
Background: The study of non-Newtonian fluids in thin channels is crucial for advancing technologies in microfluidic systems and targeted industrial coating processes. Nanofluids, which exhibit enhanced thermal properties, are of particular interest. This paper investigates the complex flow and heat transfer characteristics of [...] Read more.
Background: The study of non-Newtonian fluids in thin channels is crucial for advancing technologies in microfluidic systems and targeted industrial coating processes. Nanofluids, which exhibit enhanced thermal properties, are of particular interest. This paper investigates the complex flow and heat transfer characteristics of a Sutterby nanofluid (SNF) within a thin channel, considering the combined effects of magnetohydrodynamics (MHD), Brownian motion, and bioconvection of microorganisms. Analyzing such systems is essential for optimizing design and performance in relevant engineering applications. Method: The governing non-linear partial differential equations (PDEs) for the flow, heat, concentration, and bioconvection are derived. Using lubrication theory and appropriate dimensionless variables, this system of PDEs is simplified into a more simplified system of ordinary differential equations (ODEs). The resulting nonlinear ODEs are solved numerically using the boundary value problem (BVP) Midrich method in Maple software to ensure accuracy. Furthermore, data for the Nusselt number, extracted from the numerical solutions, are used to train an artificial neural network (ANN) model based on the Levenberg–Marquardt algorithm. The performance and predictive capability of this ANN model are rigorously evaluated to confirm its robustness for capturing the system’s non-linear behavior. Results: The numerical solutions are analyzed to understand the variations in velocity, temperature, concentration, and microorganism profiles under the influence of various physical parameters. The results demonstrate that the non-Newtonian rheology of the Sutterby nanofluid is significantly influenced by Brownian motion, thermophoresis, bioconvection parameters, and magnetic field effects. The developed ANN model demonstrates strong predictive capability for the Nusselt number, validating its use for this complex system. These findings provide valuable insights for the design and optimization of microfluidic devices and specialized coating applications in industrial engineering. Full article
Show Figures

Figure 1

14 pages, 577 KB  
Article
The Effect of Random Roughness for Fully Developed Forced Flow in Square Microchannels
by Michele Celli, Leandro Alcoforado Sphaier, Gabriele Volpi, Antonio Barletta and Pedro Vayssière Brandão
Fluids 2025, 10(10), 261; https://doi.org/10.3390/fluids10100261 - 9 Oct 2025
Viewed by 426
Abstract
The role of wall roughness in heat and mass transfer for fully developed viscous flows in square microchannels is investigated here. Since the roughness, which is the key geometrical feature to be investigated, introduces high velocity gradients at the wall, the effect of [...] Read more.
The role of wall roughness in heat and mass transfer for fully developed viscous flows in square microchannels is investigated here. Since the roughness, which is the key geometrical feature to be investigated, introduces high velocity gradients at the wall, the effect of the viscous dissipation is considered. A fully developed flow in the forced convection regime is assumed. This assumption allows the two-dimensional treatment of the problem; thus, the velocity and temperature fields are simulated on the microchannel cross-section. The boundary roughness is modeled by randomly throwing points around the nominal square cross-section perimeter and by connecting those points to generate a simple polygon. This modification of the nominal square shape of the cross-section influences the velocity and temperature fields, which are computed by employing a finite element method solver. The heat and mass transfer is studied by calculating the Nusselt and the Poiseuille numbers as a function of roughness amplitude at the boundary. Each Nusselt and Poiseuille number is obtained by employing an averaging procedure over a sample of a thousand cases. Full article
(This article belongs to the Special Issue Physics and Applications of Microfluidics)
Show Figures

Figure 1

24 pages, 774 KB  
Article
Electrical Analogy Approach to Fractional Heat Conduction Models
by Slobodanka Galovic, Marica N. Popovic and Dalibor Chevizovich
Fractal Fract. 2025, 9(10), 653; https://doi.org/10.3390/fractalfract9100653 - 9 Oct 2025
Viewed by 473
Abstract
Fractional heat conduction models extend classical formulations by incorporating fractional differential operators that capture multiscale relaxation effects. In this work, we introduce an electrical analogy that represents the action of these operators via generalized longitudinal impedance and admittance elements, thereby clarifying their physical [...] Read more.
Fractional heat conduction models extend classical formulations by incorporating fractional differential operators that capture multiscale relaxation effects. In this work, we introduce an electrical analogy that represents the action of these operators via generalized longitudinal impedance and admittance elements, thereby clarifying their physical role in energy transfer: fractional derivatives account for the redistribution of heat accumulation and dissipation within micro-scale heterogeneous structures. This analogy unifies different classes of fractional models—diffusive, wave-like, and mixed—as well as distinct fractional operator types, including the Caputo and Atangana–Baleanu forms. It also provides a general computational methodology for solving heat conduction problems through the concept of thermal impedance, defined as the ratio of surface temperature variations (relative to ambient equilibrium) to the applied heat flux. The approach is illustrated for a semi-infinite sample, where different models and operators are shown to generate characteristic spectral patterns in thermal impedance. By linking these spectral signatures of microstructural relaxation to experimentally measurable quantities, the framework not only establishes a unified theoretical foundation but also offers a practical computational tool for identifying relaxation mechanisms through impedance analysis in microscale thermal transport. Full article
Show Figures

Figure 1

22 pages, 6518 KB  
Article
Impacts of Cooling Reduction Due to Spray Nozzle Clogging on Shell Formation in Continuous Casting of Steel
by Dianzhi Meng, Sai Bhuvanesh Nandipati, Armin K. Silaen, Yufeng Wang, Sunday Abraham, Dallas Brown and Chenn Zhou
Metals 2025, 15(10), 1107; https://doi.org/10.3390/met15101107 - 4 Oct 2025
Viewed by 418
Abstract
In steel continuous casting, the secondary cooling zone is usually equipped with air-mist nozzles. Spray nozzle clogging is a common problem that reduces cooling efficiency and affects product quality. This study uses a 3D CFD model to investigate its impact on heat transfer. [...] Read more.
In steel continuous casting, the secondary cooling zone is usually equipped with air-mist nozzles. Spray nozzle clogging is a common problem that reduces cooling efficiency and affects product quality. This study uses a 3D CFD model to investigate its impact on heat transfer. The model includes the full-size caster geometry and actual nozzle layout to analyze the effect of clogging on the cooling process. The solidification process is modeled using the enthalpy-porosity method. Spray cooling is defined through empirical HTC correlations on the slab surface. The study focuses on how nozzle clogging changes the surface temperature, cooling rate, and metallurgical length (ML). Simulation results show that clogging raises the local surface temperature by about 100 K and increases the ML. More clogged nozzles lead to a longer ML. Clogging near the meniscus has a stronger impact, showing that early-stage cooling plays an important role in solidification. Even a single clogged nozzle can increase the ML by 3.2%, highlighting the significant effect of nozzle clogging on the casting process. Full article
(This article belongs to the Section Computation and Simulation on Metals)
Show Figures

Figure 1

20 pages, 3124 KB  
Article
Research and Application of Assembled SC Coal Gangue External Wallboard
by Yajie Yan, Jisen Yang, Jinhui Wu, Le Yang, Qiang Zhao and Peipeng Wang
Buildings 2025, 15(19), 3545; https://doi.org/10.3390/buildings15193545 - 2 Oct 2025
Viewed by 345
Abstract
Given that the stock of coal gangue is increasing annually, and especially considering the problem of resource utilization after the spontaneous combustion of coal gangue accumulations with large thickness, the post-spontaneous combustion of coal gangue (SC coal gangue) from Yangquan, Shanxi, was selected [...] Read more.
Given that the stock of coal gangue is increasing annually, and especially considering the problem of resource utilization after the spontaneous combustion of coal gangue accumulations with large thickness, the post-spontaneous combustion of coal gangue (SC coal gangue) from Yangquan, Shanxi, was selected as a research object. After crushing and screening, SC coal gangue was used as a coarse and fine aggregate, and through concrete mix design and a trial mix of concrete and mix ratio adjustment, concrete of strength grade C20 was obtained. Through experiments, the strength, elastic modulus, frost resistance, carbonation depth and other performance indicators of the concrete were measured. Using the SC coal gangue concrete, a 20 mm thick SC coal gangue panel was designed and manufactured. Through experimental tests, the bearing capacity, hanging force, impact resistance, impermeability and other properties of the board met the requirements of the relevant standards for building wallboard. For the SC coal gangue panel composite rock wool, its heat transfer coefficient decreased by 34.0%, air sound insulation was 45 dB, and the self-weight of the external wallboard was reduced by 37.5%, so the related performance was better than the requirements of the current standard. The research results have been successfully applied to an office building project in Shanxi, China. Using SC coal gangue to make the external wallboard of the building, the reduction and recycling of solid waste are realized. In addition, the production of wall panels has been industrialized, thereby improving the construction efficiency. Full article
(This article belongs to the Section Building Structures)
Show Figures

Figure 1

27 pages, 4212 KB  
Article
Artificial Neural Network Modeling of Darcy–Forchheimer Nanofluid Flow over a Porous Riga Plate: Insights into Brownian Motion, Thermal Radiation, and Activation Energy Effects on Heat Transfer
by Zafar Abbas, Aljethi Reem Abdullah, Muhammad Fawad Malik and Syed Asif Ali Shah
Symmetry 2025, 17(9), 1582; https://doi.org/10.3390/sym17091582 - 22 Sep 2025
Viewed by 481
Abstract
Nanotechnology has become a transformative field in modern science and engineering, offering innovative approaches to enhance conventional thermal and fluid systems. Heat and mass transfer phenomena, particularly fluid motion across various geometries, play a crucial role in industrial and engineering processes. The inclusion [...] Read more.
Nanotechnology has become a transformative field in modern science and engineering, offering innovative approaches to enhance conventional thermal and fluid systems. Heat and mass transfer phenomena, particularly fluid motion across various geometries, play a crucial role in industrial and engineering processes. The inclusion of nanoparticles in base fluids significantly improves thermal conductivity and enables advanced phase-change technologies. The current work examines Powell–Eyring nanofluid’s heat transmission properties on a stretched Riga plate, considering the effects of magnetic fields, porosity, Darcy–Forchheimer flow, thermal radiation, and activation energy. Using the proper similarity transformations, the pertinent governing boundary-layer equations are converted into a set of ordinary differential equations (ODEs), which are then solved using the boundary value problem fourth-order collocation (BVP4C) technique in the MATLAB program. Tables and graphs are used to display the outcomes. Due to their significance in the industrial domain, the Nusselt number and skin friction are also evaluated. The velocity of the nanofluid is shown to decline with a boost in the Hartmann number, porosity, and Darcy–Forchheimer parameter values. Moreover, its energy curves are increased by boosting the values of thermal radiation and the Biot number. A stronger Hartmann number M decelerates the flow (thickening the momentum boundary layer), whereas increasing the Riga forcing parameter Q can locally enhance the near-wall velocity due to wall-parallel Lorentz forcing. Visual comparisons and numerical simulations are used to validate the results, confirming the durability and reliability of the suggested approach. By using a systematic design technique that includes training, testing, and validation, the fluid dynamics problem is solved. The model’s performance and generalization across many circumstances are assessed. In this work, an artificial neural network (ANN) architecture comprising two hidden layers is employed. The model is trained with the Levenberg–Marquardt scheme on reliable numerical datasets, enabling enhanced prediction capability and computational efficiency. The ANN demonstrates exceptional accuracy, with regression coefficients R1.0 and the best validation mean squared errors of 8.52×1010, 7.91×109, and 1.59×108 for the Powell–Eyring, heat radiation, and thermophoresis models, respectively. The ANN-predicted velocity, temperature, and concentration profiles show good agreement with numerical findings, with only minor differences in insignificant areas, establishing the ANN as a credible surrogate for quick parametric assessment and refinement in magnetohydrodynamic (MHD) nanofluid heat transfer systems. Full article
(This article belongs to the Special Issue Computational Mathematics and Its Applications in Numerical Analysis)
Show Figures

Figure 1

Back to TopTop