Sign in to use this feature.

Years

Between: -

Subjects

remove_circle_outline
remove_circle_outline
remove_circle_outline
remove_circle_outline
remove_circle_outline
remove_circle_outline
remove_circle_outline
remove_circle_outline
remove_circle_outline

Journals

remove_circle_outline
remove_circle_outline
remove_circle_outline
remove_circle_outline
remove_circle_outline
remove_circle_outline

Article Types

Countries / Regions

remove_circle_outline
remove_circle_outline
remove_circle_outline

Search Results (807)

Search Parameters:
Keywords = headspace solid phase microextraction

Order results
Result details
Results per page
Select all
Export citation of selected articles as:
22 pages, 3186 KB  
Article
Comprehensive Analysis of Volatile Flavor Components in ‘Hujing Milu’ Peach from Different Regions Using HS-SPME-GC-MS and HS-GC-IMS
by Yiying Wang, Linshu Jiao, Yiran Gui, Wei Zhao, Lanlan Chen, Xiaolong Chen, Jian Chen, Yong Li, Lixiao Song and Xiangyang Yu
Foods 2026, 15(6), 1051; https://doi.org/10.3390/foods15061051 - 17 Mar 2026
Viewed by 130
Abstract
To explore the characteristic volatile compounds of ‘Hujing Milu’ peaches from different growing regions, headspace solid-phase microextraction coupled with gas chromatography–mass spectrometry (HS-SPME-GC-MS) and headspace gas chromatography–ion mobility spectrometry (HS-GC-IMS) were employed to analyze volatile components in samples from six production areas. A [...] Read more.
To explore the characteristic volatile compounds of ‘Hujing Milu’ peaches from different growing regions, headspace solid-phase microextraction coupled with gas chromatography–mass spectrometry (HS-SPME-GC-MS) and headspace gas chromatography–ion mobility spectrometry (HS-GC-IMS) were employed to analyze volatile components in samples from six production areas. A total of 73 and 56 volatile compounds were identified by HS-SPME-GC-MS and HS-GC-IMS, respectively. Quantitative analysis revealed that esters, aldehydes, and alcohols were the main contributors to the aroma profile, accounting for over 70% of the total relative content. Combined with chemometric analysis (VIP > 1 and OAV/ROAV > 1), 17 potential biomarkers were identified that can distinguish ‘Hujing Milu’ peaches from different regions, including ethyl acetate, hexanol, (E)-2-nonenal, and dihydro-β-ionone. Moreover, soil properties of these regions and their correlation with volatile compounds were analyzed to elucidate the formation mechanisms of characteristic aromas. The results showed that ethyl acetate exhibited a significant positive correlation with soil pH (r = 0.530, p < 0.05), whereas dihydro-β-ionone showed a significant positive correlation with soil organic matter (r = 0.587, p < 0.05) and available potassium (r = 0.830, p < 0.05). This study identified characteristic volatile compounds of ‘Hujing Milu’ peaches from different regions, providing a reliable technical basis for origin traceability and the enhancement of aroma quality in ‘Hujing Milu’ peaches. Full article
(This article belongs to the Section Food Quality and Safety)
Show Figures

Graphical abstract

23 pages, 3050 KB  
Article
Polyethylene Mulch Emissions Differentially Impact the Soil Metabolome and Microbial Community in Field Pea (Pisum sativum L.) Cultivation
by Emoke Dalma Kovacs, Nguyen Khoi Nghia and Melinda Haydee Kovacs
J. Xenobiot. 2026, 16(2), 49; https://doi.org/10.3390/jox16020049 - 15 Mar 2026
Viewed by 139
Abstract
Background and Objectives: Polyethylene (PE) mulching enhances crop productivity through microclimate optimization but introduces synthetic polymer-derived compounds into agricultural soils. Despite widespread use, biochemical and microbial impacts of PE mulch emissions remain poorly understood. This study investigated the impact of PE mulch emissions [...] Read more.
Background and Objectives: Polyethylene (PE) mulching enhances crop productivity through microclimate optimization but introduces synthetic polymer-derived compounds into agricultural soils. Despite widespread use, biochemical and microbial impacts of PE mulch emissions remain poorly understood. This study investigated the impact of PE mulch emissions on soil metabolomes and microbial communities during field pea (Pisum sativum L.) cultivation. Methods: A 75-day field experiment compared PE-mulched and non-mulched soils across five temporal sampling points (T0–T4). Headspace solid-phase microextraction coupled with gas chromatography–mass spectrometry was used to identify PE-derived organic compounds in mulched soils. Microbial community structure was assessed through the phospholipids derived fatty acids (PLFA) approach, whereas mass spectrometric untargeted metabolomics was used to characterize the soil biochemical profiles. Results: Analysis identified 18 PE-derived organic compounds (n-alkanes, phthalates, and additives) in the mulched soils. PE mulching significantly increased bacterial abundance (anaerobic bacteria, actinomycetes, and aerobic bacteria) but suppressed all functional fungal guilds, particularly saprotrophic fungi (30% reduction) and arbuscular mycorrhizal symbionts. PE-derived organic compounds were associated primarily with the first RDA axis (RDA1), which alone explained 44.6% of the metabolome variance. These compounds presented strong positive correlations with organic nitrogen compounds and lipids and negative correlations with benzenoids and nucleotides. Pathway analysis revealed perturbations in energy metabolism, lipid metabolism, and xenobiotic degradation pathways. Conclusions: PE mulch emissions differentially shift soil microbial communities and metabolic networks, with bacterial proliferation contrasting with fungal suppression. These findings highlight the complex trade-offs between agronomic benefits and soil biological impacts, emphasizing the need for sustainable mulching alternatives. Full article
Show Figures

Graphical abstract

20 pages, 1975 KB  
Article
The Impact of Varying Enzymatic Pretreatment Durations of Wheat Gluten on the Flavour Characteristics of High-Moisture Plant-Based Extrudates
by Xiaodong Li, Huihui Dai, Boning Mao, Hongzhou An, Yanhong Bai and Lovedeep Kaur
Foods 2026, 15(5), 912; https://doi.org/10.3390/foods15050912 - 6 Mar 2026
Viewed by 207
Abstract
This study examined the effects of varying enzymatic pretreatment durations (0–80 min) of wheat gluten on flavour characteristics of high-moisture plant-based extrudates (HMPEs). Through a comprehensive analysis involving sensory evaluation, electronic tongue, free amino acid (FAA) profiling, electronic nose, and headspace solid-phase microextraction-gas [...] Read more.
This study examined the effects of varying enzymatic pretreatment durations (0–80 min) of wheat gluten on flavour characteristics of high-moisture plant-based extrudates (HMPEs). Through a comprehensive analysis involving sensory evaluation, electronic tongue, free amino acid (FAA) profiling, electronic nose, and headspace solid-phase microextraction-gas chromatography-mass spectrometer (HS-SPME-GC-MS) analysis of volatile odour compounds, it was found that HMPEs with moderate enzymatic pretreatment (40 min) achieved the highest overall sensory score. Electronic tongue and FAA results confirmed a significant enhancement in umami and sweetness, while electronic nose effectively discriminated differences in odour profiles. Extending pretreatment durations gradually reduced beany off-flavours substances (hexanal reduced by up to 174.7 μg/kg) and encouraged the formation of meaty aroma compounds (furans and pyrazines). However, excessive pretreatment (>40 min) reduced acceptance due to burnt odour caused by the excessive accumulation of pyrazines, particularly 2,3-diethyl-5-methylpyrazine. Six key volatile odour compounds were identified by integrating the analysis of variable importance projection (VIP ≥ 1) and relative odour activity value (ROAV ≥ 1), offering a foundation for targeted flavour regulation in HMPEs. Full article
Show Figures

Graphical abstract

18 pages, 1441 KB  
Article
Fatty Acid Composition and Aromatic Profile of Krškopolje and Modern Pig Breeds Reared Under Organic and Conventional Systems
by Marjeta Mencin, Katja Babič, Lidija Strojnik, Zala Sel, Andrej Kastelic and Nives Ogrinc
Foods 2026, 15(5), 866; https://doi.org/10.3390/foods15050866 - 4 Mar 2026
Viewed by 273
Abstract
Slovenia preserves one autochthonous pig breed, the Krškopolje pig, whose meat has been reported to exhibit a favourable fatty acid profile compared with that of modern breeds. However, meat quality is not solely determined by genetics; the production system also influences it, as [...] Read more.
Slovenia preserves one autochthonous pig breed, the Krškopolje pig, whose meat has been reported to exhibit a favourable fatty acid profile compared with that of modern breeds. However, meat quality is not solely determined by genetics; the production system also influences it, as organic and conventional farming differ in feed composition, housing and outdoor access. This study aimed to compare the effects of pig breed (Krškopolje vs. modern) and production system (organic vs. conventional) on the fatty acid composition and volatile organic compound (VOC) profile of pork. Fatty acid composition was determined by GC-FID after methylation, and the VOCs profile was obtained using headspace solid-phase microextraction (HS-SPME) coupled with GC-MS. Results showed that Krškopolje meat had higher SFA and MUFA, while modern pig meat had higher PUFAs, particularly n-6, reflecting genetic and dietary influences. Modern breeds also showed greater fatty acid response to the rearing system than the Krškopolje breed. Several VOCs were unique to modern breed pigs, indicating breed-specific differences in lipid composition, amino acid metabolism, and microbial activity. Aldehydes were the dominant VOC class in both breeds, slightly higher in Krškopolje meat. OPLS-DA model revealed breed-related differences in VOCs, pinpointing compounds likely responsible for breed-specific aroma and flavour. Full article
Show Figures

Graphical abstract

16 pages, 3358 KB  
Article
The Volatile Signature: Tracking Ripening Dynamics to Ensure Goat Cheese Quality
by Giovanni Ferrara, Cristina Matarazzo, Maria Staiano, Sabato D’Auria and Rosaria Cozzolino
Sensors 2026, 26(5), 1583; https://doi.org/10.3390/s26051583 - 3 Mar 2026
Viewed by 314
Abstract
Cheese ripening involves a series of biochemical and microbiological transformations that directly affect the texture, aroma, flavor, and quality of the final product. This study aimed to characterize the volatile organic compounds (VOCs) produced during the ripening of goat cheese to find suitable [...] Read more.
Cheese ripening involves a series of biochemical and microbiological transformations that directly affect the texture, aroma, flavor, and quality of the final product. This study aimed to characterize the volatile organic compounds (VOCs) produced during the ripening of goat cheese to find suitable molecular markers for monitoring the maturation process. Headspace solid-phase microextraction coupled with gas chromatography-mass spectrometry (HS-SPME/GC–MS) was applied to samples collected at different ripening times (0, 30, 60, 90, 120, and 150 days). Overall, sixty-eight different VOCs were identified, including alcohols, esters, ketones, carboxylic acids, aldehydes, terpenes, sulfur compounds, and others. The total volatile content progressively increased up to 120 days and slightly decreased thereafter. This dynamic evolution reflected the interplay of proteolysis, lipolysis, and microbial metabolism occurring during the ripening process. Among the compounds, 2-butanone and 2-butanol appeared as promising volatile markers of the advanced ripening stages. These results offer new insights into goat cheese flavor development and support the design of a sensing approach for a first warning of the end of the cheese maturation process. Full article
(This article belongs to the Special Issue Sensors in 2026)
Show Figures

Graphical abstract

15 pages, 647 KB  
Article
Untargeted Sweat and Sebum Volatilomics by HS-SPME-GC/ToF-MS for the Identification of SARS-CoV-2-Associated Biomarkers
by Edoardo Longo, Emanuele Boselli, Giovanni Baldassarre, Emanuela Sozio, Lucrezia Zuccarelli, Carlo Tascini, Bruno Grassi and Stefano Cesco
Metabolites 2026, 16(3), 158; https://doi.org/10.3390/metabo16030158 - 27 Feb 2026
Viewed by 321
Abstract
Background/Objectives: The COVID-19 pandemic has emphasized the urgent need for non-invasive diagnostic strategies. While breath analysis has been widely investigated, sweat and sebum remain largely unexplored, despite being abundant, chemically diverse, and easily collected. This exploratory study presents a proof-of-concept workflow to [...] Read more.
Background/Objectives: The COVID-19 pandemic has emphasized the urgent need for non-invasive diagnostic strategies. While breath analysis has been widely investigated, sweat and sebum remain largely unexplored, despite being abundant, chemically diverse, and easily collected. This exploratory study presents a proof-of-concept workflow to evaluate their potential for infection biomarker discovery. Methods: Samples from 51 subjects were analyzed by headspace solid-phase microextraction coupled with gas chromatography and time-of-flight mass spectrometry (HS-SPME-GC/ToF-MS). Over 8000 untargeted volatile compounds were detected, reflecting the high complexity of these matrices. Results: Data refinement and chemometric modelling using principal component analysis (PCA) and partial least squares discriminant analysis (PLS-DA) revealed robust separation between SARS-CoV-2-positive Patients and Controls. Classification accuracies consistently exceeded 95%, demonstrating the robust discriminative performance of the approach. Among the detected volatiles, 2-methylbenzenemethanol acetate emerged as the most informative compound, representing a potential biomarker candidate. Conclusions: This work shows that the sweat and sebum volatilome can be exploited for clinical applications. The workflow integrates non-invasive sampling, comprehensive chromatographic profiling, and advanced statistical modelling, representing a methodological contribution to analytical chemistry. Beyond COVID-19, the strategy provides a potential framework for volatile organic compound (VOC)-based diagnostics across different diseases and supports future development of sensor technologies for translation into healthcare practice. Full article
Show Figures

Graphical abstract

17 pages, 4656 KB  
Article
Performance of Different Fibers in the Extraction Parameters of Volatile Compounds Present in Alecrim-Do-Campo (Baccharis dracunculifolia)
by Lucas Silveira Garcia, Talvane Coelho, Afonso Henrique de Oliveira Júnior, Ana Luiza Santos Vieira, Mauro Ramalho Silva, Eduardo José Azevedo Corrêa, Ana Cardoso Clemente Filha Ferreira de Paula, André Mundombe Sinela, Delfina Fernandes Hlashwayo, Eric Marsalha Garcia, Hosane Aparecida Taroco and Júlio Onesio-Ferreira Melo
Metabolites 2026, 16(3), 149; https://doi.org/10.3390/metabo16030149 - 24 Feb 2026
Viewed by 295
Abstract
Background: Alecrim-do-campo (Baccharis dracunculifolia) is a species of agroindustrial and medicinal relevance that has attracted increasing interest in recent years due to its distinctive chemical profile rich in bioactive compounds. In this context, the present study evaluated the efficiency of different [...] Read more.
Background: Alecrim-do-campo (Baccharis dracunculifolia) is a species of agroindustrial and medicinal relevance that has attracted increasing interest in recent years due to its distinctive chemical profile rich in bioactive compounds. In this context, the present study evaluated the efficiency of different extraction conditions for volatile compounds in alecrim-do-campo, aiming to contribute to the traceability of products that use this species as a source of metabolites. Methods: A 23 factorial design was employed to assess the best conditions for extracting volatiles by headspace solid-phase microextraction (HS-SPME), using three different semipolar fibers (PDMS/DVB, DVB/CAR/PDMS and CAR/PDMS). Regarding the effect of the variation factors to which the samples were subjected, only the extraction time (min) had a significant effect on compound extraction using the CAR/PDMS fiber. Results: In total, 79 volatile compounds were detected using the three fibers, with CAR/PDMS (43 compounds) and DVB/CAR/PDMS (44 compounds) showing the highest diversity. The nature of this study is important for the industry because it optimizes the search for quality parameters in plant-derived products. Full article
Show Figures

Figure 1

18 pages, 2809 KB  
Article
Impact of Co-Fermentation with Bifidobacterium animalis subsp. lactis IU100 and Type III Resistant Starch on the Aroma Profile of Fermented Milk
by Qingyue Li, Zhi Zhao, Yixuan Li, Zhenghong Wang, Meilun An, Yao Hu, Ran Wang, Hao Zhang, Ke Xu, Qinggang Luan, Siyuan Liu and Xiaoxia Li
Foods 2026, 15(4), 756; https://doi.org/10.3390/foods15040756 - 19 Feb 2026
Viewed by 397
Abstract
The addition of Bifidobacterium animalis subsp. lactis and prebiotics to fermented milk can enhance its flavor and sensory properties; however, research on the effects of their combined supplementation on flavor profiles remains limited. This study investigated the impact of simultaneously adding B. lactis [...] Read more.
The addition of Bifidobacterium animalis subsp. lactis and prebiotics to fermented milk can enhance its flavor and sensory properties; however, research on the effects of their combined supplementation on flavor profiles remains limited. This study investigated the impact of simultaneously adding B. lactis IU100 and resistant starch type III (RS3) to fermented milk on flavor and texture. The results showed that co-supplementation shortened the fermentation time by 1 h. It also increased hardness by 28.8%, springiness by 1.14 mm, and water holding capacity by 12.45%, accompanied by the formation of a more continuous and dense gel network. Headspace solid-phase microextraction coupled with gas chromatography–mass spectrometry (HS-SPME-GC-MS) combined with odor activity value analysis indicated the enrichment of 115 key aromatic compounds, among which ethyl caprylate, ethyl n-butyrate, 1-octanol, and 2,3-heptanedione were identified as representative flavor compounds associated with fruity and creamy notes. KEGG pathway analysis revealed that 24 differential metabolites were predominantly enriched in purine metabolism and amino acid-related pathways. Within these pathways, coordinated enzymatic reactions convert α-keto acids and fatty acid metabolites into key flavor esters and catalyze the formation of volatile alcohols from amino acids and aromatic fatty acid precursors. Overall, this combined strategy effectively optimized fermentation efficiency, texture, and flavor through the targeted reprogramming of microbial metabolic flux. Full article
Show Figures

Figure 1

18 pages, 4778 KB  
Article
Comparative Analysis of Volatile Compounds and Characterization of Key Flavor Compounds in Cinnamomum cassia Barks of Different Cultivars
by Jing Chen, Libing Long, Ying Zhu, Liujun Chen, Linshuang Li, Ding Huang, Ruhong Ming, Rongshao Huang, Jian Xiao and Shaochang Yao
Foods 2026, 15(4), 723; https://doi.org/10.3390/foods15040723 - 15 Feb 2026
Viewed by 381
Abstract
Consumer demand is growing for traceable, high-quality Cinnamomum cassia with defined sensory attributes. However, research linking cultivar morphology to these specific flavor signatures remains scarce. This study elucidated the relationships between phenotypic traits, volatile constituents, and key aroma characteristics of three C. cassia [...] Read more.
Consumer demand is growing for traceable, high-quality Cinnamomum cassia with defined sensory attributes. However, research linking cultivar morphology to these specific flavor signatures remains scarce. This study elucidated the relationships between phenotypic traits, volatile constituents, and key aroma characteristics of three C. cassia cultivars (Xijiang [XJ], Dongxing [DX], and Qinghua [QH]) using phenotypic evaluation, headspace solid-phase microextraction–gas chromatography–mass spectrometry (HS-SPME-GC-MS), and a combination of relative odor activity value and principal component analysis (rOAV-PCA). XJ exhibited an intensely spicy aroma, attributable to its high trans-cinnamaldehyde content (718.76 ± 60.08 mg/g). In contrast, DX showed the highest δ-cadinene level (44.86 ± 4.48 mg/g) and a complex spicy–woody–sweet profile, shaped by sesquiterpenes such as α-humulene, α-copaene, caryophyllene, and β-caryophyllene. QH displayed both a high volatile oil yield (2.57 ± 0.28%) and a distinct herbal–woody character, primarily contributed by δ-cadinene and α-muurolene. This study constructed an integrated phenotype–chemistry–sensory map for C. cassia cultivars, facilitating cultivar discrimination, supporting flavor quality management, and enabling marker-assisted breeding for desirable aroma profiles. Full article
Show Figures

Figure 1

19 pages, 3676 KB  
Article
Degradation Dynamics and Pathways of Unsymmetrical Dimethylhydrazine (UDMH) Across Contrasting Soil Matrices: Insights from Controlled Incubation Experiments
by Juan Du, Xianghong Ren, Yizhi Zeng, Yuan Liu, Jing Dong, Shuai Yang, Jinfeng Shi, Biaobing Liu and Youbao Chen
Toxics 2026, 14(2), 169; https://doi.org/10.3390/toxics14020169 - 12 Feb 2026
Viewed by 525
Abstract
Unsymmetrical dimethylhydrazine (UDMH) serves as a high-performance liquid rocket propellant extensively utilized in the global aerospace industry, and its environmental release and leakage (particularly into soil systems) pose severe risks to ecological integrity and human health. As one of the few studies to [...] Read more.
Unsymmetrical dimethylhydrazine (UDMH) serves as a high-performance liquid rocket propellant extensively utilized in the global aerospace industry, and its environmental release and leakage (particularly into soil systems) pose severe risks to ecological integrity and human health. As one of the few studies to quantitatively correlate soil physicochemical properties with UDMH degradation kinetics and pathway partitioning using controlled incubation experiments, this work aims to reveal the environmental hazards of UDMH in soil and provide a theoretical basis for subsequent remediation. The temporal degradation dynamics of UDMH in three comparative soil matrices (yellow-brown soil, red soil and black soil) were explored, correlations between soil physicochemical characteristics and UDMH degradation behavior were clarified, and UDMH degradation pathways were quantified. Headspace solid–phase microextraction (HS–SPME) was adopted as the pretreatment method, and gas chromatography–mass spectrometry (GC–MS) was used to identify UDMH and its transformation products (TPs) in soil incubation. From the GC–MS chromatogram, UDMH and its TPs—formaldehyde dimethylhydrazone (FDMH), acetaldehyde dimethylhydrazone (ADMH) and 1,1,4,4-tetramethyltetrazene (TMT)—were identified in the three soil matrices. UDMH underwent rapid degradation within the first 7 days of incubation, with degradation rates reaching 66.03%, 67.51% and 73.13% in yellow-brown soil (YS), red soil (RS) and black soil (BS), respectively. Degradation was most rapid in BS, followed by YS and RS. UDMH degraded completely and was undetectable within 30 days of soil incubation in the present study. Correlation analysis of soil physicochemical properties and UDMH degradation behavior revealed a significant influence of these edaphic properties on UDMH degradation dynamics across the tested soil matrices. The analysis of UDMH degradation pathways, including volatilization, photodegradation, microbiological degradation, and others (oxidation and self-degradation, etc.) demonstrated that other pathways (including catalytic transformation, induced transformation or unidentified biotic–abiotic coupled processes) acted as the dominant pathway governing its degradation (accounting for 68.75%). This study provides important insights and theoretical basis for unraveling the environmental fate of UDMH and remediating UDMH-contaminated soils. Full article
(This article belongs to the Section Toxicity Reduction and Environmental Remediation)
Show Figures

Graphical abstract

27 pages, 393 KB  
Review
Commonly Used Analytical Tools and Methods for the Discrimination of Honey Types Based on Volatile Organic Compound Profiles
by Gulzhan Khamitova, Simone Angeloni, Lazzat Karasholakova and Giovanni Caprioli
Molecules 2026, 31(4), 638; https://doi.org/10.3390/molecules31040638 - 12 Feb 2026
Viewed by 511
Abstract
Honey is a complex natural product with nutritional and therapeutic properties that depend on the diversity of its chemical composition, which includes volatile organic compounds (VOCs). VOCs in honey are key indicators of its botanical and geographical origin, as well as its quality [...] Read more.
Honey is a complex natural product with nutritional and therapeutic properties that depend on the diversity of its chemical composition, which includes volatile organic compounds (VOCs). VOCs in honey are key indicators of its botanical and geographical origin, as well as its quality and authenticity. This review provides a comprehensive overview of the analytical instruments and methods used for the identification and quantification of VOCs in different types of honey. Techniques such as headspace solid-phase microextraction (HS-SPME) are used for VOC extraction, and gas chromatography coupled with mass spectrometry (GC-MS) and electronic nose (e-nose) systems for honey analyses, as well as their advantages, limitations, and applications and challenges related to VOC analysis, such as for different types of honeys, their aroma profile, compound variability, and data interpretation, are also discussed. By summarizing recent advancements in analytical methodologies, this review provides an overview of the analysis of VOCs for authentication and research purposes in honey production and processing. Full article
(This article belongs to the Special Issue New Perspectives on Analytical Methods in Food Products)
Show Figures

Graphical abstract

24 pages, 4606 KB  
Article
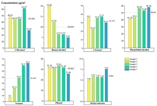
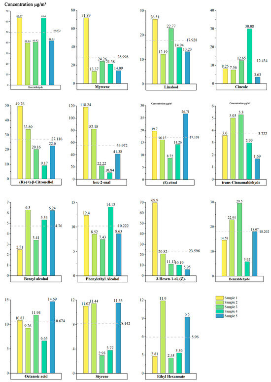
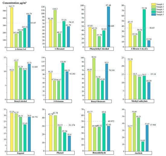
Characteristics of BVOCs from Fragrant Flowering Trees and Their Emission Along Urban Roadsides in Shanghai, China
by Xi Wang, Yin Wu, Yanting Zhang, Ruiqing Yang, Mengwei Fang, Benyao Wang, Yali Zhang and Meixian Wang
Atmosphere 2026, 17(2), 176; https://doi.org/10.3390/atmos17020176 - 8 Feb 2026
Viewed by 332
Abstract
Flowering street trees provide ecological services and health benefits to humans. In this study, three commonly used flowering street trees, Paulownia tomentosa (Thunb.) Steud., Melia azedarach L., and Magnolia grandiflora L., were selected for analysis of floral volatiles during different flowering stages along [...] Read more.
Flowering street trees provide ecological services and health benefits to humans. In this study, three commonly used flowering street trees, Paulownia tomentosa (Thunb.) Steud., Melia azedarach L., and Magnolia grandiflora L., were selected for analysis of floral volatiles during different flowering stages along roadsides in Shanghai, China. Headspace sampling solid-phase microextraction (HS–SPME) coupled with gas chromatography–mass spectrometry (GC–MS) was used to identify volatiles from different floral samples. Simultaneously, selected-ion flow-tube mass spectrometry (SIFT–MS) was employed to detect biogenic volatile organic compounds (BVOCs) in roadside air samples. The results indicated that (1) P. tomentosa volatiles consisted predominantly of alcohols and phenolic ethers, M. azedarach volatiles consisted primarily of alcohols and aldehydes, and M. grandiflora volatiles consisted mainly of terpenes. (2) Air samples from P. tomentosa and M. azedarach were dominated by alcohols, whereas air samples from M. grandiflora were dominated by terpenes and aldehydes. The ozone formation potential (OFP) of some VOCs fluctuated throughout the flowering period. (3) Antibacterial and antioxidant volatiles released from the flowers of all species, such as eugenol, have demonstrated health-promoting effects in essential oils. The results of this study provide a foundation for optimizing the selection and planting of flowering street trees in urban roadside areas that will enhance ecological services and public health benefits. Full article
(This article belongs to the Section Air Quality and Health)
Show Figures

Figure 1

37 pages, 2615 KB  
Article
Integrated Molecular Informatics and Sensory-Omics Study of Core Trace Components and Microbial Communities in Sauce-Aroma High-Temperature Daqu from Chishui River Basin
by Dandan Song, Lulu Song, Xian Zhong, Yashuai Wu, Yuchao Zhang and Liang Yang
Foods 2026, 15(3), 599; https://doi.org/10.3390/foods15030599 - 6 Feb 2026
Viewed by 421
Abstract
Flavor-relevant trace volatiles and microbial communities were examined in six sauce-aroma high-temperature Daqu samples. Headspace solid-phase microextraction coupled with gas chromatography–mass spectrometry (HS-SPME-GC-MS) quantified 210 trace volatile compounds across 14 chemical classes. Orthogonal partial least squares discriminant analysis (OPLS-DA) with variable importance in [...] Read more.
Flavor-relevant trace volatiles and microbial communities were examined in six sauce-aroma high-temperature Daqu samples. Headspace solid-phase microextraction coupled with gas chromatography–mass spectrometry (HS-SPME-GC-MS) quantified 210 trace volatile compounds across 14 chemical classes. Orthogonal partial least squares discriminant analysis (OPLS-DA) with variable importance in projection (VIP) screening was integrated with sensory scoring, correlation analysis, and molecular docking to an olfactory receptor model. Volatile profiles showed clear stratification in total abundance. Pyrazines dominated the high-total group. Tetramethylpyrazine served as a major driver. Sensory evaluation indicated that aroma explained overall quality best. (E)-2-pentenal and dimethyl trisulfide showed significant positive associations with aroma and overall scores. In the olfactory receptor, the polar residue module that provides directional constraints for Daqu odor activation was formed by Ser75, Ser92, Ser152, Ser258, Thr74, Thr76, Thr98, Thr200, Gln99, and Glu94. The hydrogen-bond or charge network was further reinforced by Arg150, Arg262, Asn194, His180, His261, Asp182, and Gln181. The core discriminant set comprised acetic acid, hexanoic acid, (E)-2-pentenal, nonanal, decanal, dimethyl trisulfide, trans-3-methyl-2-n-propylthiophane, 2-hexanone oxime, ethyl linoleate, propylene glycol, 2-ethenyl-6-methylpyrazine, 4-methylquinazoline, 5-methyl-2-phenyl-2-hexenal, and 1,2,3,4-tetramethoxybenzene. Sequencing revealed higher bacterial diversity than fungal. Bacillus and Kroppenstedtia were dominant bacterial genera. Aspergillus, Paecilomyces, Monascus, and Penicillium were major fungal genera. Correlation patterns suggested that Bacillus and Monascus were positively linked to acetic acid and 1,2,3,4-tetramethoxybenzene. Together, these results connected chemical fingerprints, sensory performance, receptor-level plausibility, and microbial ecology. Concrete targets are provided for quality control of high-temperature Daqu. Full article
(This article belongs to the Special Issue Sensory Detection and Analysis in Food Industry)
Show Figures

Figure 1

22 pages, 1796 KB  
Article
Untargeted Metabolomics and Multivariate Data Processing to Reveal SARS-CoV-2 Specific VOCs for Canine Biodetection
by Diego Pardina Aizpitarte, Eider Larrañaga, Ugo Mayor, Ainhoa Isla, Jose Manuel Amigo and Luis Bartolomé
Chemosensors 2026, 14(2), 35; https://doi.org/10.3390/chemosensors14020035 - 2 Feb 2026
Viewed by 595
Abstract
The exceptional olfactory capabilities of trained detection dogs demonstrate high potential for identifying infectious diseases. However, safe and standardized canine training requires specific chemical targets rather than infectious biological samples. This study presents an analytical proof-of-concept combining untargeted metabolomics and machine learning (ML) [...] Read more.
The exceptional olfactory capabilities of trained detection dogs demonstrate high potential for identifying infectious diseases. However, safe and standardized canine training requires specific chemical targets rather than infectious biological samples. This study presents an analytical proof-of-concept combining untargeted metabolomics and machine learning (ML) to decode the specific odor profile of SARS-CoV-2 infection. Using headspace solid-phase microextraction gas chromatography coupled with time-of-flight mass spectrometry (HS-SPME-GC/MS-ToF), axillary sweat samples from 76 individuals (SARS-CoV-2 positive and negative) were analyzed. Data preprocessing and dimensionality reduction were performed to feed a Partial Least Squares-Discriminant Analysis (PLS-DA) model. The optimized model achieved an overall accuracy of 79%, with a specificity of 89% and sensitivity of 70% in external validation, identifying a specific panel of Volatile Organic Compounds (VOCs) as discriminant biomarkers. The optimized model achieved robust classification performance, effectively distinguishing infected individuals from healthy controls based solely on their volatilome. Six VOCs were found to be consistently presented in COVID-19-positive individuals. These compounds were proposed as candidate odor signatures for constructing artificial training aids to standardize and accelerate the training of detection dogs. This study establishes a framework where machine learning-driven metabolomic profiling directly informs biological sensor training, offering a novel synergy between ML and biological intelligence in disease detection. This study establishes a scalable computational framework to translate biological samples into chemical data, providing the scientific basis for designing safe, synthetic K9 training aids for future infectious disease outbreaks without the biosafety risks associated with handling live pathogens. Full article
Show Figures

Figure 1

13 pages, 661 KB  
Article
A Preliminary Investigation into the Influence of Low-Intensity Natural Mid-Infrared and Far-Infrared/Near-Microwave Emissions on the Aroma and Flavor of a Young Dry Red Wine
by Sanghoon Lee, Changgook Lee, Hyunhee Jeong, Sejun Kim, Eok Kyun Lee and Alan J. Buglass
ChemEngineering 2026, 10(2), 18; https://doi.org/10.3390/chemengineering10020018 - 29 Jan 2026
Viewed by 382
Abstract
Brief treatment of a bottled young dry red wine with low-intensity natural emissions in the mid-infrared and far-infrared/near-microwave regions of the electromagnetic spectrum resulted in moderate changes in the concentrations of certain odorants in the wine headspace (vapor), as shown by headspace–solid-phase microextraction–gas [...] Read more.
Brief treatment of a bottled young dry red wine with low-intensity natural emissions in the mid-infrared and far-infrared/near-microwave regions of the electromagnetic spectrum resulted in moderate changes in the concentrations of certain odorants in the wine headspace (vapor), as shown by headspace–solid-phase microextraction–gas chromatography/mass spectrometry (HS-SPME-GC/MS). The headspace levels of certain long-chain ethyl carboxylate esters and methyl salicylate were somewhat enhanced, whereas those of certain aromatic monohydric alcohols, a succinate ester, and oak lactone were somewhat depleted. A tentative explanation of these results is offered whereby waveform treatment results in general re-organization of non-covalent associations of both odorant (volatile) and non-volatile components in wine, leading to the preferential extra release of certain odorants into the headspace (vapor phase) and preferential increased trapping of certain other odorants in wine (liquid phase). Full article
Show Figures

Figure 1

Back to TopTop