Sign in to use this feature.

Years

Between: -

Subjects

remove_circle_outline
remove_circle_outline
remove_circle_outline
remove_circle_outline
remove_circle_outline
remove_circle_outline
remove_circle_outline
remove_circle_outline

Journals

Article Types

Countries / Regions

Search Results (24)

Search Parameters:
Keywords = hafnium complex

Order results
Result details
Results per page
Select all
Export citation of selected articles as:
34 pages, 10465 KB  
Article
Metallogenic Mechanism of Decratonic Gold Deposit: Geochemical Evidence from Dongbaligou Gold Deposit and Its Ore-Forming Intrusions in Southern Jilin
by Jiuda Sun, Zhongyuan Xu, Xiaofei Yu, Kai Chen and Zhuoyi Wang
Minerals 2026, 16(3), 235; https://doi.org/10.3390/min16030235 - 26 Feb 2026
Viewed by 327
Abstract
This text systematically investigates the Laotudingzi monzogranite (a gold-hosting intrusion) and the Dongbaligou gold ore deposit in the Laoling gold ore belt through comprehensive geochronological, whole-rock geochemical (macroelement and microelement), strontium-neodymium-lead-hafnium isotopic and in situ sulfur-lead isotopic analysis of pyrite, combined with hydrogen-oxygen [...] Read more.
This text systematically investigates the Laotudingzi monzogranite (a gold-hosting intrusion) and the Dongbaligou gold ore deposit in the Laoling gold ore belt through comprehensive geochronological, whole-rock geochemical (macroelement and microelement), strontium-neodymium-lead-hafnium isotopic and in situ sulfur-lead isotopic analysis of pyrite, combined with hydrogen-oxygen isotopic studies of hydrothermal quartz. The results demonstrate a significant Early–Middle Jurassic magmatic-mineralization event in southern Jilin Province (Ji’nan). The gold mine is structurally controlled by detachment fractures within the Laoling metamorphic core complex, which developed in an extended environment. The metallogenic materials are primarily derived from adakitic magma, supporting a “decratonic-type” genetic model. By integrating geochronological, geochemical, and isotopic datasets from the ore-related intrusions and gold deposits, as well as fluid inclusion characteristics, we elucidate the metallogenic mechanism linking Jurassic gold mineralization to subduction-related cratonic destruction. The process involved lower crustal thickening induced by Paleo-Pacific Plate subduction, lithospheric destabilization via gravitational foundering and delamination, and syn-extensional magmatism that sourced ore-forming fluids during cratonic lithosphere thinning. This work establishes a genetic framework connecting plate subduction, lithospheric removal, and gold endowment in convergent margin settings. Full article
(This article belongs to the Section Mineral Geochemistry and Geochronology)
Show Figures

Figure 1

14 pages, 3594 KB  
Article
Selective Extraction of Zirconium from Sulfuric Acid Solutions at High Concentration with Trioctylamine (TOA)
by Shuo Tian, Jing Song, Hongqian Sun, Congcong Zhao, Zhiyu Zhang, Mingming Han and Tao Qi
Metals 2025, 15(5), 468; https://doi.org/10.3390/met15050468 - 22 Apr 2025
Cited by 1 | Viewed by 1143
Abstract
Zirconium (Zr) and hafnium (Hf) are very important in nuclear and high-temperature applications, but their similar physical and chemical properties bring great challenges to separation. The current extraction methods have defects, such as low efficiency at high metal concentration. In this article, a [...] Read more.
Zirconium (Zr) and hafnium (Hf) are very important in nuclear and high-temperature applications, but their similar physical and chemical properties bring great challenges to separation. The current extraction methods have defects, such as low efficiency at high metal concentration. In this article, a zirconium (Zr)/hafnium (Hf) solvent extractive separation from sulfuric acid solutions using trioctylamine (TOA) as the extractant was researched at room temperature. The aqueous solution is prepared using zirconium sulfate (containing Hf), and the concentration of metal ions (Zr4+ and Hf4+) was about 1.096 mol·L−1. The effects of the aqueous acidity, the concentration of TOA, the contacting time, and the organic to aqueous O/A ratio on the separation of Zr and Hf were investigated. It is observed that the Zr can be extracted in the organic phase selectively, and the optimal conditions were: TOA concentration of 40 vol%, organic to aqueous O/A ratio of 3, contacting time of 5 min. Under these conditions, the single-stage extraction rate of Zr is 61.23%, while the Hf is almost not extracted. The mechanism of Zr extraction by TOA was studied through the saturation capacity and slope methods. Based on the results, it is believed that the structure of the extracted complex may be [R3NH]2[Zr(SO4)3]. This study provides a new approach for the development of industrialized Zr-Hf separation. Full article
Show Figures

Figure 1

15 pages, 5838 KB  
Article
Synthesis of Amido-Quinoline-Based Hafnium and Zirconium Complexes and Their Catalytic Properties for Ethylene/1-Octene Copolymerization
by Qiqi He, Ruijun Zhang, Junhua Li, Yuexin Hu, Yong Zheng and Jianhua Qian
Polymers 2025, 17(4), 449; https://doi.org/10.3390/polym17040449 - 8 Feb 2025
Viewed by 1216
Abstract
The development of polyolefin catalysts plays a pivotal role in driving advancements within the polyolefin industry. In this study, five ligands (L1–L5) and six Hf (Hf 1-5) and Zr (Zr-1) metal complexes with amido-quinoline-based ligands were successfully synthesized by a simple and efficient [...] Read more.
The development of polyolefin catalysts plays a pivotal role in driving advancements within the polyolefin industry. In this study, five ligands (L1–L5) and six Hf (Hf 1-5) and Zr (Zr-1) metal complexes with amido-quinoline-based ligands were successfully synthesized by a simple and efficient synthetic route. The new Hf (Hf 1-5) and Zr (Zr-1) complexes exhibit high thermal stability, moderate activity, and excellent 1-octene incorporation capability. As a result, they have been successfully utilized in high-temperature solution-phase polymerization to produce polyolefin elastomers (POEs). The electron-donating effect of the ligand was identified as a crucial factor contributing to the improved catalytic performance and comonomer incorporation capability. The steric effects of substituents on the ligand have little impact on the olefin copolymerization activity, molecular weight, and comonomer incorporation capability. The Hf-1 complex demonstrates outstanding copolymerization activity and comonomer incorporation (8.3 × 106 g polymer/(mol catalyst · h), 26 wt%), offering significant potential for large-scale operations and practical applications. Full article
(This article belongs to the Section Polymer Chemistry)
Show Figures

Figure 1

9 pages, 2261 KB  
Article
Cyclopentadienyl Amidinate Ligand Directing Effects in the Enantioselective Living Coordinative Chain Transfer Polymerization of 1,5-Hexadiene
by Cole M. Burrows, Peter Y. Zavalij and Lawrence R. Sita
Catalysts 2024, 14(12), 944; https://doi.org/10.3390/catal14120944 - 20 Dec 2024
Cited by 2 | Viewed by 1232
Abstract
The new chiral and configurationally stable cyclopentadienyl amidinate (CPAM) hafnium complexes, (RC, RHf)-2 and (SC, SHf)-3, have been obtained in enantio- and diastereomerically pure form. Upon activation with the borate [...] Read more.
The new chiral and configurationally stable cyclopentadienyl amidinate (CPAM) hafnium complexes, (RC, RHf)-2 and (SC, SHf)-3, have been obtained in enantio- and diastereomerically pure form. Upon activation with the borate co-initiator, [PhNHMe2][B(C6F5)4] (B1), 2 and 3 can serve as pre-initiators for the enantioselective living coordinative polymerization (LCP) and living coordinative chain transfer polymerization (LCCTP) of 1,5-hexadiene to provide optically active poly (methylene-1,3-cyclopentane) (PMCP) and end-group-functionalized PMCP (x-PMCP) in scalable quantities, respectively. 13C NMR stereochemical microstructural analyses reveal the role of ligand directing effects for the two-step propagation mechanism of 1,2-migratory insertion/ring-closing cyclization and structure/property relationships for these new PMCP and x-PMCP materials. Full article
(This article belongs to the Special Issue State-of-the-Art Polymerization Catalysis)
Show Figures

Graphical abstract

19 pages, 6696 KB  
Article
BaHf0.05Ti0.95O3 Ceramics from Sol–Gel and Solid-State Processes: Application to the Modelling of Piezoelectric Energy Harvesters
by Damien Brault, Philippe Boy, Franck Levassort, Guylaine Poulin-Vittrant, Claire Bantignies, Thien Hoang and Maxime Bavencoffe
Materials 2024, 17(7), 1508; https://doi.org/10.3390/ma17071508 - 26 Mar 2024
Viewed by 1754
Abstract
A typical piezoelectric energy harvester is a bimorph cantilever with two layers of piezoelectric material on both sides of a flexible substrate. Piezoelectric layers of lead-based materials, typically lead zirconate titanate, have been mainly used due to their outstanding piezoelectric properties. However, due [...] Read more.
A typical piezoelectric energy harvester is a bimorph cantilever with two layers of piezoelectric material on both sides of a flexible substrate. Piezoelectric layers of lead-based materials, typically lead zirconate titanate, have been mainly used due to their outstanding piezoelectric properties. However, due to lead toxicity and environmental problems, there is a need to replace them with environmentally benign materials. Here, our main efforts were focused on the preparation of hafnium-doped barium titanate (BaHfxTi1−xO3; BHT) sol–gel materials. The original process developed makes it possible to obtain a highly concentrated sol without strong organic complexing agents. Sol aging and concentration can be controlled to obtain a time-stable sol for a few months at room temperature, with desired viscosity and colloidal sizes. Densified bulk materials obtained from this optimized sol are compared with a solid-state synthesis, and both show good electromechanical properties: their thickness coupling factor kt values are around 53% and 47%, respectively, and their converse piezoelectric coefficient d33 values are around 420 and 330 pm/V, respectively. According to the electromechanical properties, the theoretical behavior in a bimorph configuration can be simulated to predict the resonance and anti-resonance frequencies and the corresponding output power values to help to design the final device. In the present case, the bimorph configuration based on BHT sol–gel material is designed to harvest ambient vibrations at low frequency (<200 Hz). It gives a maximum normalized volumetric power density of 0.03 µW/mm3/Hz/g2 at 154 Hz under an acceleration of 0.05 m/s2. Full article
(This article belongs to the Special Issue Piezoelectrics and Ferroelectrics for End Users)
Show Figures

Figure 1

16 pages, 6182 KB  
Article
The Extraction Mechanism of Zirconium and Hafnium in the MIBK-HSCN System
by Jing Xiong, Yang Li, Xiaomeng Zhang, Yong Wang, Yanlin Zhang and Tao Qi
Separations 2024, 11(4), 93; https://doi.org/10.3390/separations11040093 - 25 Mar 2024
Cited by 7 | Viewed by 4857
Abstract
The extraction of zirconium (Zr) and hafnium (Hf) in methyl isobutyl ketone (MIBK)—thiocyanic acid (HSCN) system has been widely used in the production of nuclear-grade zirconium and hafnium in industry, while the extraction mechanism was not adequately studied. In this study, the extraction [...] Read more.
The extraction of zirconium (Zr) and hafnium (Hf) in methyl isobutyl ketone (MIBK)—thiocyanic acid (HSCN) system has been widely used in the production of nuclear-grade zirconium and hafnium in industry, while the extraction mechanism was not adequately studied. In this study, the extraction and stripping equilibrium of Zr and Hf in the MIBK-HSCN system was studied. The results showed that elevated HCl concentration can increase the distribution ratio of SCN and decrease that of Zr/Hf in organic phase. In the stripping process, HCl concentration and the Organic/Aqueous (O/A) phase ratio played important roles. The mechanism of the extraction reaction was discussed by considering the stoichiometric relationship of possible reaction equations and corresponding equilibrium constants. The results indicated that SCN could be extracted into MIBK as HSCN·MIBK. Meanwhile, SCN could also be extracted into MIBK by complexing with metal (Zr or Hf). The molar ratios of MIBK to the complexes of Zr and Hf have been found to be 5.34 and 5.03, respectively. With the increase in the initial concentration of HCl in the aqueous phase, the complexation molar ratios of SCN to Zr and Hf increased first and then decreased, and so do the extraction equilibrium constants, which might be due to the extraction competition of HSCN and metal complexes. Full article
(This article belongs to the Section Purification Technology)
Show Figures

Graphical abstract

16 pages, 6475 KB  
Article
Effect of Domain Structure and Dielectric Interlayer on Switching Speed of Ferroelectric Hf0.5Zr0.5O2 Film
by Anastasia Chouprik, Ekaterina Savelyeva, Evgeny Korostylev, Ekaterina Kondratyuk, Sergey Zarubin, Nikita Sizykh, Maksim Zhuk, Andrei Zenkevich, Andrey M. Markeev, Oleg Kondratev and Sergey Yakunin
Nanomaterials 2023, 13(23), 3063; https://doi.org/10.3390/nano13233063 - 1 Dec 2023
Cited by 11 | Viewed by 3414
Abstract
The nanosecond speed of information writing and reading is recognized as one of the main advantages of next-generation non-volatile ferroelectric memory based on hafnium oxide thin films. However, the kinetics of polarization switching in this material have a complex nature, and despite the [...] Read more.
The nanosecond speed of information writing and reading is recognized as one of the main advantages of next-generation non-volatile ferroelectric memory based on hafnium oxide thin films. However, the kinetics of polarization switching in this material have a complex nature, and despite the high speed of internal switching, the real speed can deteriorate significantly due to various external reasons. In this work, we reveal that the domain structure and the dielectric layer formed at the electrode interface contribute significantly to the polarization switching speed of 10 nm thick Hf0.5Zr0.5O2 (HZO) film. The mechanism of speed degradation is related to the generation of charged defects in the film which accompany the formation of the interfacial dielectric layer during oxidization of the electrode. Such defects are pinning centers that prevent domain propagation upon polarization switching. To clarify this issue, we fabricate two types of similar W/HZO/TiN capacitor structures, differing only in the thickness of the electrode interlayer, and compare their ferroelectric (including local ferroelectric), dielectric, structural (including microstructural), chemical, and morphological properties, which are comprehensively investigated using several advanced techniques, in particular, hard X-ray photoelectron spectroscopy, high-resolution transmission electron microscopy, energy dispersive X-ray spectroscopy, X-ray diffraction, and electron beam induced current technique. Full article
Show Figures

Figure 1

14 pages, 3221 KB  
Article
Biogeochemical State of Salinized Irrigated Soils of Central Fergana (Uzbekistan, Central Asia)
by Avazbek Turdaliev, Kamoliddin Askarov, Evgeny Abakumov, Elyorbek Makhkamov, Gayratbek Rahmatullayev, Gaybullo Mamajonov, Avazbek Akhmadjonov and Akmal Axunov
Appl. Sci. 2023, 13(10), 6188; https://doi.org/10.3390/app13106188 - 18 May 2023
Cited by 8 | Viewed by 5187
Abstract
The Central Fergana region is one of the overpopulated regions of Central Asia, which includes parts of Uzbekistan, Kyrgyzstan, and Tajikistan. Here, in the dry subtropical climate are the most ancient, irrigated oases used for agriculture. Fergana valley is the key to the [...] Read more.
The Central Fergana region is one of the overpopulated regions of Central Asia, which includes parts of Uzbekistan, Kyrgyzstan, and Tajikistan. Here, in the dry subtropical climate are the most ancient, irrigated oases used for agriculture. Fergana valley is the key to the food security of the region as a whole. The article provides information on diversity and chemical composition of newly developed, new and old-irrigated Calcisols soils formed on alluvial and alluvial–prolluvial sediments. Soils are poor with organic matter (0.37–0.81% of organic carbon), with high nitrogen content (C/N ratio is 4.92–5.79), and with neutral (7.01–7.30) pH values. Data on the content and the ratio of the key components of soil salinity (Na2CO3, Ca(HCO3)2, CaSO4, MgSO4, Na2SO4, NaCl) and the bulk content of salts in soils under different irrigation regimes are presented. It was shown that Na2CO3 concentration is minimal in all the soils, and this salt presents only in ground waters (0.100–0.135 g L−1). Newly irrigated soils are characterized by higher content of salts than old irrigated soils. All the soils investigated are characterized by increasing salinity rate within the soil depth with the highest content of all salts in ground waters. This chloride–sulfate type of salinization is most pronounced in all the soils studied. Gypsum content in agricultural soils results in limited water and nutrient retention and the potential for dissolution, primarily in response to irrigation. The soils of the Fergana Valley are also subjected to polychemical pollution, so the content of trace elements in them was studied. Irrigated meadow-takyr and meadow-saz soils show low levels of environmental hazard, but irrigation results in accumulation of such trace elements as nickel (30 mg kg−1), arsenic (11.75 mg kg−1), bromine (5.00 mg kg−1), antimony (1.48 mg kg−1), cesium (5.00 mg kg−1), and hafnium (2.97 mg kg−1). Irrigation also affects the soil texture and thus increases fine particle percentages in the superficial soil horizons. Thus, the complex chemical characteristics of salinized soils are presented for numerous irrigated landscapes of the region. Full article
(This article belongs to the Section Ecology Science and Engineering)
Show Figures

Figure 1

15 pages, 8819 KB  
Article
Investigation of the Effect of Supersonic Flow of Dissociated Nitrogen on ZrB2–HfB2–SiC Ceramics Doped with 10 vol.% Carbon Nanotubes
by Elizaveta P. Simonenko, Nikolay P. Simonenko, Anatoly F. Kolesnikov, Aleksey V. Chaplygin, Anton S. Lysenkov, Ilya A. Nagornov, Artem S. Mokrushin and Nikolay T. Kuznetsov
Materials 2022, 15(23), 8507; https://doi.org/10.3390/ma15238507 - 29 Nov 2022
Cited by 14 | Viewed by 2497
Abstract
The method of fabricating dense ultra-high temperature ceramic materials ZrB2–HfB2–SiC–CCNT was developed using a combination of sol-gel synthesis and reaction hot pressing approaches at 1800 °C. It was found that the introduction of multilayer nanotubes (10 vol.%) led [...] Read more.
The method of fabricating dense ultra-high temperature ceramic materials ZrB2–HfB2–SiC–CCNT was developed using a combination of sol-gel synthesis and reaction hot pressing approaches at 1800 °C. It was found that the introduction of multilayer nanotubes (10 vol.%) led to an increase in the consolidation efficiency of ceramics (at temperatures > 1600 °C). The obtained ZrB2–HfB2–SiC and ZrB2–HfB2–SiC–CCNT materials were characterized by a complex of physical and chemical analysis methods. A study of the effects on the modified sample ZrB2–HfB2–SiC–CCNT composition speed flow of partially dissociated nitrogen, using a high-frequency plasmatron, showed that, despite the relatively low temperature established on the surface (≤1585 °C), there was a significant change in the chemical composition and surface microstructure: in the near-surface layer, zirconium–hafnium carbonitride, amorphous boron nitride, and carbon were present. The latter caused changes in crucial characteristics such as the emission coefficient and surface catalyticity. Full article
(This article belongs to the Special Issue Dynamic Behavior of Ceramic Composites and Composite Structures)
Show Figures

Figure 1

24 pages, 4710 KB  
Article
Mono(imidazolin-2-iminato) Hafnium Complexes: Synthesis and Application in the Ring-Opening Polymerization of ε-Caprolactone and rac-Lactide
by Maxim Khononov, Heng Liu, Natalia Fridman, Matthias Tamm and Moris S. Eisen
Catalysts 2022, 12(10), 1201; https://doi.org/10.3390/catal12101201 - 9 Oct 2022
Cited by 3 | Viewed by 3548
Abstract
Mono-substituted imidazolinX-2-iminato hafnium(IV) complexes (X = iPr, tBu, Mesityl, Dipp) were synthesized and fully characterized, including solid-state X-ray diffraction analysis. When the X group is small (iPr), a dimeric structure is obtained. In all the monomeric complexes, [...] Read more.
Mono-substituted imidazolinX-2-iminato hafnium(IV) complexes (X = iPr, tBu, Mesityl, Dipp) were synthesized and fully characterized, including solid-state X-ray diffraction analysis. When the X group is small (iPr), a dimeric structure is obtained. In all the monomeric complexes, the Hf-N bond can be regarded as a double bond with similar electronic properties. The main difference among the monomeric complexes is the cone angle of the ligand, which induces varying steric hindrances around the metal center. When the monomeric complex of mono(bis(diisopropylphenyl)imidazolin-2-iminato) hafnium tribenzyl was reacted with three equivalents (equiv) of iPrOH, the benzyl groups were easily replaced, forming the corresponding tri-isopropoxide complex. However, when BnOH was used, dimeric complexes were obtained. When five equivalents of the corresponding alcohols (BnOH, iPrOH) were reacted with the monomeric complex, different dimeric complexes were obtained. Regardless of the high oxophilicity of the hafnium complexes, all complexes were active catalysts for the ring-opening polymerization (ROP) of ε-caprolactone. Dimeric complexes 5 and 6 were found to be the most active catalysts, enabling polymerization to occur in a living, immortal fashion, as well as the copolymerization of ε-caprolactone with rac-lactide, producing block copolymer PCL-b-LAC. The introduction of imidazolin-2-iminato ligands enables the tailoring of the oxophilicity of the complexes, allowing them to be active in catalytic processes with oxygen-containing substrates. Full article
(This article belongs to the Special Issue Catalysts for the Ring Opening Polymerization)
Show Figures

Graphical abstract

12 pages, 1078 KB  
Article
Alloy Profusion, Spice Metals, and Resource Loss by Design
by Thomas E. Graedel and Alessio Miatto
Sustainability 2022, 14(13), 7535; https://doi.org/10.3390/su14137535 - 21 Jun 2022
Cited by 20 | Viewed by 5056
Abstract
One of the most unfortunate attributes of technology’s routine and widespread use of most of the elements in the periodic table is the abysmal functional recycling rates that result from the complexity of modern technology and the rudimentary technological state of the recycling [...] Read more.
One of the most unfortunate attributes of technology’s routine and widespread use of most of the elements in the periodic table is the abysmal functional recycling rates that result from the complexity of modern technology and the rudimentary technological state of the recycling industry. In this work, we demonstrate that the vast profusion of alloys, and the complexities and miniaturization of modern electronics, render functional recycling almost impossible. This situation is particularly true of “spice metals”: metals employed at very low concentrations to realize modest performance improvements in advanced alloys or complex electronics such as smartphones or laptops. Here, we present a formal definition of spice metals and explore the significant challenges that product design decisions impose on the recycling industry. We thereby identify nine spice metals: scandium (Sc), vanadium (V), gallium (Ga), arsenic (As), niobium (Nb), antimony (Sb), tellurium (Te), erbium (Er), and hafnium (Hf). These metals are considered fundamental for the properties they provide, yet they are rarely recycled. Their routine use poses severe problems for the implementation of closed material loops and the circular economy. Based on the data and discussions in this paper, we recommend that spice metals be employed only where their use will result in a highly significant improvement, and that product designers place a strong emphasis on enabling the functional recycling of these metals after their first use. Full article
Show Figures

Figure 1

9 pages, 2955 KB  
Article
RF-Characterization of HZO Thin Film Varactors
by Sukhrob Abdulazhanov, Quang Huy Le, Dang Khoa Huynh, Defu Wang, Maximilian Lederer, Ricardo Olivo, Konstantin Mertens, Jennifer Emara, Thomas Kämpfe and Gerald Gerlach
Crystals 2021, 11(8), 980; https://doi.org/10.3390/cryst11080980 - 18 Aug 2021
Cited by 8 | Viewed by 4710
Abstract
A microwave characterization at UHF band of a ferroelectric hafnium zirconium oxide metal-ferroelectric-metal (MFM) capacitors for varactor applications has been performed. By using an impedance reflectivity method, a complex dielectric permittivity was obtained at frequencies up to 500 MHz. Ferroelectric Hf0.5Zr [...] Read more.
A microwave characterization at UHF band of a ferroelectric hafnium zirconium oxide metal-ferroelectric-metal (MFM) capacitors for varactor applications has been performed. By using an impedance reflectivity method, a complex dielectric permittivity was obtained at frequencies up to 500 MHz. Ferroelectric Hf0.5Zr0.5O2 of 10 nm thickness has demonstrated a stable permittivity switching in the whole frequency range. A constant increase of the calculated dielectric loss is observed, which is shown to be an effect of electric field distribution on highly resistive titanium nitride (TiN) thin film electrodes. The C-V characteristics of a “butterfly” shape was also extracted, where the varactors exhibited a reduction of capacitance tunability from 18.6% at 10 MHz to 15.4% at 500 MHz. Full article
(This article belongs to the Special Issue Ferroelectrics Materials for Microwave Devices)
Show Figures

Figure 1

19 pages, 6993 KB  
Article
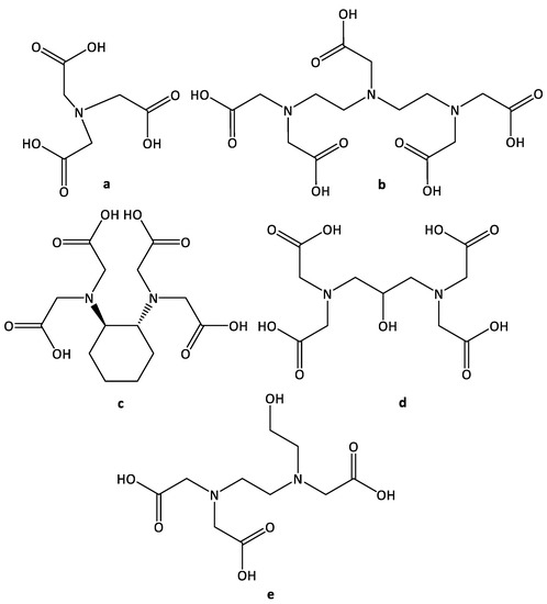
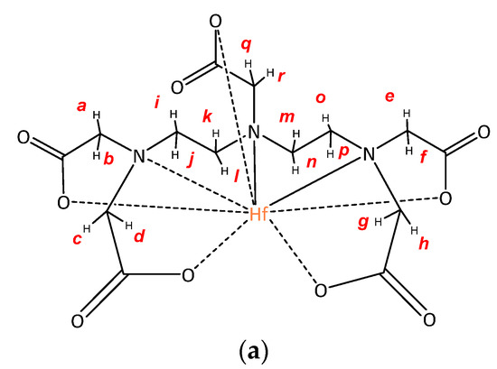
Synthesis of Hafnium(IV) Polyaminoacetates
by Alexandra T. Shulyak, Evgeniy O. Bortnikov, Alexey S. Kubasov, Nikita A. Selivanov, Alexey A. Lipengolts, Andrey P. Zhdanov, Alexander Yu. Bykov, Konstantin Yu. Zhizhin and Nikolai T. Kuznetsov
Molecules 2021, 26(12), 3725; https://doi.org/10.3390/molecules26123725 - 18 Jun 2021
Cited by 2 | Viewed by 3584
Abstract
The interaction of hafnium(IV) salts (oxide-dichloride, chloride, and bromide) with nitrilotriacetic acid (NTA), diethylenetriamminepentaacetic acid (DTPA), 1,2-diaminocyclohexanetetraacetic acid (CDTA), 1,3-dipropylmino-2-hydroxy N,N,N′,N′-tetraacetic acid (dpta), and N-(2-hydroxyethyl)ethylenediamine triacetic acid (HEDTA) has been studied. The corresponding complexes Na [...] Read more.
The interaction of hafnium(IV) salts (oxide-dichloride, chloride, and bromide) with nitrilotriacetic acid (NTA), diethylenetriamminepentaacetic acid (DTPA), 1,2-diaminocyclohexanetetraacetic acid (CDTA), 1,3-dipropylmino-2-hydroxy N,N,N′,N′-tetraacetic acid (dpta), and N-(2-hydroxyethyl)ethylenediamine triacetic acid (HEDTA) has been studied. The corresponding complexes Na2[Hf(NTA)2]·3H2O (1), Na[HfDTPA]·3H2O (2), [HfCDTA(H2O)2] (3), and Na[Hf2(dpta)2]·7.5H2O·0.5C2H5OH (4) have been isolated and characterized and their structures have been determined by single crystal X-ray diffraction. Biological studies of [HfCDTA(H2O)2] have shown that in 5% glucose solution this complex has low toxicity and good contrasting ability. Full article
Show Figures

Graphical abstract

9 pages, 1168 KB  
Article
Synthesis of Ethylene/1-Octene Copolymers with Ultrahigh Molecular Weights by Zr and Hf Complexes Bearing Bidentate NN Ligands with the Camphyl Linker
by Chunyu Feng, Qingqiang Gou, Shaofeng Liu, Rong Gao and Zhibo Li
Catalysts 2021, 11(2), 276; https://doi.org/10.3390/catal11020276 - 18 Feb 2021
Cited by 12 | Viewed by 3777
Abstract
Ultrahigh molecular weight polyethylene (UHMWPE) is a class of high-performance engineering plastics, exhibiting a unique set of properties and applications. Although many advances have been achieved in recent years, the synthesis of UHMWPE is still a great challenge. In this contribution, a series [...] Read more.
Ultrahigh molecular weight polyethylene (UHMWPE) is a class of high-performance engineering plastics, exhibiting a unique set of properties and applications. Although many advances have been achieved in recent years, the synthesis of UHMWPE is still a great challenge. In this contribution, a series of zirconium and hafnium complexes, [2,6-(R1)2-4-R2-C6H2-N-C(camphyl)=C(camphyl)-N-2,6-(R1)2-4-R2-C6H2]MMe2(THF) (1-Zr: R1 = Me, R2 = H, M = Zr; 2-Zr: R1 = Me, R2 = Me, M = Zr; 1-Hf: R1 = Me, R2 = H, M = Hf; 2-Hf: R1 = Me, R2 = Me, M = Hf), bearing bidentate NN ligands with the bulky camphyl backbone were synthesized by the stoichiometric reactions of α-diimine ligands with MMe4 (M = Hf or Zr). All Zr and Hf metal complexes were analyzed using 1H and 13C NMR spectroscopy, and the molecular structures of complexes 1-Zr and 1-Hf were determined by single-crystal X-ray diffraction, revealing that the original α-diimine ligand was selectively reduced into the ene-diamido form and generated an 1,3-diaza-2-metallocyclopentene ring in the metal complexes. Zr complexes 1-Zr and 2-Zr showed moderate activity (up to 388 kg(PE)·mol−1(M)·h−1), poor copolymerization ability, but unprecedented molecular weight capability toward ethylene/1-octene copolymerization. Therefore, copolymers with ultrahigh molecular weights (>600 or 337 × 104 g∙mol−1) were successfully synthesized by 1-Zr or 2-Zr, respectively, with the borate cocatalyst [Ph3C][B(C6F5)4]. Surprisingly, Hf complexes 1-Hf and 2-Hf showed negligible activity under otherwise identical conditions, revealing the great influence of metal centers on catalytic performances. Full article
(This article belongs to the Special Issue Catalysis in Plastics for the 21st Century)
Show Figures

Figure 1

19 pages, 17099 KB  
Article
Spectroelectrochemical Properties and Catalytic Activity in Cyclohexane Oxidation of the Hybrid Zr/Hf-Phthalocyaninate-Capped Nickel(II) and Iron(II) tris-Pyridineoximates and Their Precursors
by Yan Z. Voloshin, Semyon V. Dudkin, Svetlana A. Belova, Daniel Gherca, Dumitru Samohvalov, Corina-Mihaela Manta, Maria-Andreea Lungan, Samuel M. Meier-Menches, Peter Rapta, Denisa Darvasiová, Michal Malček, Armando J. L. Pombeiro, Luísa M. D. R. S. Martins and Vladimir B. Arion
Molecules 2021, 26(2), 336; https://doi.org/10.3390/molecules26020336 - 11 Jan 2021
Cited by 10 | Viewed by 4566
Abstract
The in situ spectroelectrochemical cyclic voltammetric studies of the antimony-monocapped nickel(II) and iron(II) tris-pyridineoximates with a labile triethylantimony cross-linking group and Zr(IV)/Hf(IV) phthalocyaninate complexes were performed in order to understand the nature of the redox events in the molecules of heterodinuclear zirconium(IV) and [...] Read more.
The in situ spectroelectrochemical cyclic voltammetric studies of the antimony-monocapped nickel(II) and iron(II) tris-pyridineoximates with a labile triethylantimony cross-linking group and Zr(IV)/Hf(IV) phthalocyaninate complexes were performed in order to understand the nature of the redox events in the molecules of heterodinuclear zirconium(IV) and hafnium(IV) phthalocyaninate-capped derivatives. Electronic structures of their 1e-oxidized and 1e-electron-reduced forms were experimentally studied by electron paramagnetic resonance (EPR) spectroscopy and UV−vis−near-IR spectroelectrochemical experiments and supported by density functional theory (DFT) calculations. The investigated hybrid molecular systems that combine a transition metal (pseudo)clathrochelate and a Zr/Hf-phthalocyaninate moiety exhibit quite rich redox activity both in the cathodic and in the anodic region. These binuclear compounds and their precursors were tested as potential catalysts in oxidation reactions of cyclohexane and the results are discussed. Full article
(This article belongs to the Special Issue Recent Advances in Modern Inorganic Chemistry)
Show Figures

Figure 1

Back to TopTop