RF-Characterization of HZO Thin Film Varactors
Abstract
:1. Introduction
2. Materials and Methods
3. RF Characterization
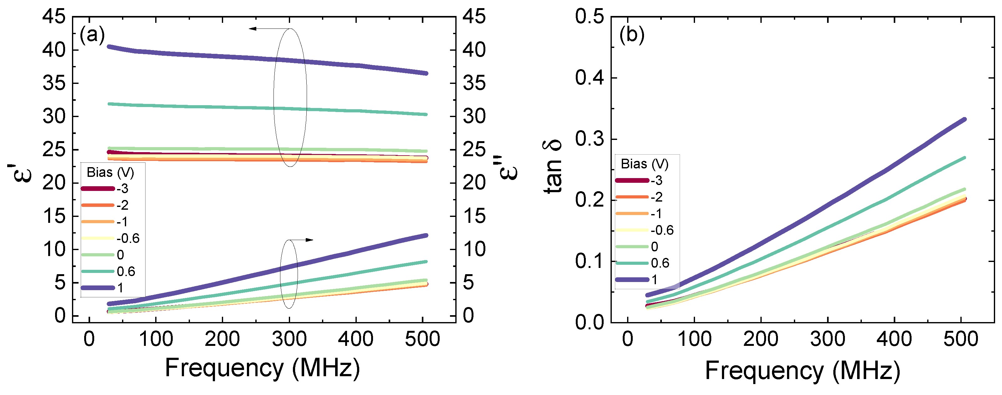
3.1. Complex Permittivity
3.2. C-V Characteristics and Tunability
4. Conclusions
Author Contributions
Funding
Institutional Review Board Statement
Informed Consent Statement
Data Availability Statement
Acknowledgments
Conflicts of Interest
Appendix A. Calculation of Complex Permittivity

Appendix B. Calculation of an Effective Permittivity for C-V Characteristics
References
- Böscke, T.S.; Müller, J.; Bräuhaus, D.; Schröder, U.; Böttger, U. Ferroelectricity in hafnium oxide thin films. Appl. Phys. Lett. 2011, 99, 102903. [Google Scholar] [CrossRef]
- Ali, T.; Polakowski, P.; Riedel, S.; Büttner, T.; Kämpfe, T.; Rudolph, M.; Pätzold, B.; Seidel, K.; Löhr, D.; Hoffmann, R. Silicon doped hafnium oxide (HSO) and hafnium zirconium oxide (HZO) based FeFET: A material relation to device physics. Appl. Phys. Lett. 2018, 112, 222903. [Google Scholar] [CrossRef]
- Ali, T.; Seidel, K.; Kuhnel, K.; Rudolph, M.; Czernohorsky, M.; Mertens, K.; Hoffmann, R.; Zimmermann, K.; Muhle, U.; Muller, J.; et al. A Novel Dual Ferroelectric Layer Based MFMFIS FeFET with Optimal Stack Tuning toward Low Power and High-Speed NVM for Neuromorphic Applications. In Proceedings of the 2020 IEEE Symposium on VLSI Technology, Honolulu, HI, USA, 16–19 June 2020; pp. 1–2. [Google Scholar] [CrossRef]
- Ali, T.; Mertens, K.; Kühnel, K.; Rudolph, M.; Oehler, S.; Lehninger, D.; Müller, F.; Revello, R.; Hoffmann, R.; Zimmermann, K.; et al. A FeFET with a novel MFMFIS gate stack: Towards energy-efficient and ultrafast NVMs for neuromorphic computing. Nanotechnology 2021, 32, 425201. [Google Scholar] [CrossRef] [PubMed]
- Lederer, M.; Kämpfe, T.; Ali, T.; Muller, F.; Olivo, R.; Hoffmann, R.; Laleni, N.; Seidel, K. Ferroelectric Field Effect Transistors as a Synapse for Neuromorphic Application. IEEE Trans. Electron Devices 2021, 68, 2295–2300. [Google Scholar] [CrossRef]
- Batra, R.; Huan, T.D.; Rossetti, G.A.; Ramprasad, R. Dopants Promoting Ferroelectricity in Hafnia: Insights from a comprehensive Chemical Space Exploration. Chem. Mater. 2017, 29, 9102–9109. [Google Scholar] [CrossRef]
- Müller, J.; Böscke, T.S.; Schröder, U.; Mueller, S.; Bräuhaus, D.; Böttger, U.; Frey, L.; Mikolajick, T. Ferroelectricity in Simple Binary ZrO2 and HfO2. Nano Lett. 2012, 12, 4318–4323. [Google Scholar] [CrossRef] [PubMed]
- Kim, S.J.; Narayan, D.; Lee, J.G.; Mohan, J.; Lee, J.S.; Lee, J.; Kim, H.S.; Byun, Y.C.; Lucero, A.T.; Young, C.D. Large ferroelectric polarization of TiN/Hf0.5Zr0.5O2/TiN capacitors due to stress-induced crystallization at low thermal budget. Appl. Phys. Lett. 2017, 111, 242901. [Google Scholar] [CrossRef]
- Lehninger, D.; Olivo, R.; Ali, T.; Lederer, M.; Kämpfe, T.; Mart, C.; Biedermann, K.; Kühnel, K.; Roy, L.; Kalkani, M.; et al. Back–End–of–Line Compatible Low–Temperature Furnace Anneal for Ferroelectric Hafnium Zirconium Oxide Formation. Phys. Status Solidi A 2020, 217, 1900840. [Google Scholar] [CrossRef] [Green Version]
- Mart, C.; Abdulazhanov, S.; Czernohorsky, M.; Kampfe, T.; Lehninger, D.; Falidas, K.; Eslinger, S.; Kuhnel, K.; Oehler, S.; Rudolph, M.; et al. Energy Harvesting in the Back-End of Line with CMOS Compatible Ferroelectric Hafnium Oxide. In Proceedings of the 2020 IEEE International Electron Devices Meeting (IEDM), San Francisco, CA, USA, 12–18 December 2020; pp. 26.3.1–26.3.4. [Google Scholar] [CrossRef]
- Park, M.H.; Lee, Y.H.; Kim, H.J.; Schenk, T.; Lee, W.; Kim, K.D.; Fengler, F.P.G.; Mikolajick, T.; Schroeder, U.; Hwang, C.S. Surface and grain boundary energy as the key enabler of ferroelectricity in nanoscale hafnia-zirconia: A comparison of model and experiment. Nanoscale 2017, 9, 9973–9986. [Google Scholar] [CrossRef] [Green Version]
- Dragoman, M.; Modreanu, M.; Povey, I.M.; Iordanescu, S.; Aldrigo, M.; Romanitan, C.; Vasilache, D.; Dinescu, A.; Dragoman, D. Very large phase shift of microwave signals in a 6 nm HfxZr1-xO2 ferroelectric at ±3 V. Nanotechnology 2017, 28, 38LT04. [Google Scholar] [CrossRef]
- Dragoman, M.; Modreanu, M.; Povey, I.; Iordanescu, S.; Aldrigo, M.; Dinescu, A.; Vasilache, D.; Romanitan, C. 2.55 GHz miniaturised phased antenna array based on 7 nm-thick HfxZr1-xO2 ferroelectrics. Electron. Lett. 2018, 54, 469–470. [Google Scholar] [CrossRef]
- Dragoman, M.; Aldrigo, M.; Modreanu, M.; Dragoman, D. Extraordinary tunability of high-frequency devices using Hf0.3Zr0.7O2 ferroelectric at very low applied voltages. Appl. Phys. Lett. 2017, 110, 103104. [Google Scholar] [CrossRef] [Green Version]
- Dragoman, M.; Aldrigo, M.; Dragoman, D.; Iordanescu, S.; Dinescu, A.; Modreanu, M. HfO2—Based Ferroelectrics Applications in Nanoelectronics. Phys. Status Solidi (RRL) Rapid Res. Lett. 2021, 15, 2000521. [Google Scholar] [CrossRef]
- Aldrigo, M.; Dragoman, M.; Iordanescu, S.; Nastase, F.; Vulpe, S. Tunable Microwave Filters Using HfO2-Based Ferroelectrics. Nanomaterials 2020, 10, 2057. [Google Scholar] [CrossRef] [Green Version]
- Abdulazhanov, S.; Le, Q.H.; Huynh, D.K.; Wang, D.; Gerlach, G.; Kämpfe, T. A mmWave Phase Shifter Based on Ferroelectric Hafnium Zirconium Oxide Varactors. In Proceedings of the 2019 IEEE MTT-S International Microwave Workshop Series on Advanced Materials and Processes for RF and THz Applications (IMWS-AMP), Bochum, Germany, 16–18 July 2019; pp. 175–177. [Google Scholar] [CrossRef]
- Abdulazhanov, S.; Le, Q.H.; Huynh, D.K.; Wang, D.; Gerlach, G.; Kämpfe, T. A Tunable mmWave Band-Pass Filter Based on Ferroelectric Hafnium Zirconium Oxide Varactors. In Proceedings of the 2019 IEEE MTT-S International Microwave Workshop Series on Advanced Materials and Processes for RF and THz Applications (IMWS-AMP), Bochum, Germany, 16–18 July 2019; pp. 46–48. [Google Scholar] [CrossRef]
- Lee, B.; Moon, T.; Kim, T.G.; Choi, D.K.; Park, B. Dielectric relaxation of atomic-layer-deposited HfO2 thin films from 1 kHz to 5 GHz. Appl. Phys. Lett. 2005, 87, 012901. [Google Scholar] [CrossRef] [Green Version]
- Vo, T.T.; Lacrevaz, T.; Bermond, C.; Bertaud, T.; Flechet, B.; Farcy, A.; Morand, Y.; Blonkowski, S.; Torres, J.; Guigues, B. In situ microwave characterisation of medium-k HfO2 and high-k SrTiO3 dielectrics for metal–insulator–metal capacitors integrated in back-end of line of integrated circuits. IET Microwaves Antennas Propag. 2008, 2, 781–788. [Google Scholar] [CrossRef]
- Mannequin, C.; Gonon, P.; Vallée, C.; Bsiesy, A.; Grampeix, H.; Jousseaume, V. Dielectric relaxation in hafnium oxide: A study of transient currents and admittance spectroscopy in HfO2 metal-insulator-metal devices. J. Appl. Phys. 2011, 110, 104108. [Google Scholar] [CrossRef]
- Zhao, C.Z.; Taylor, S.; Werner, M.; Chalker, P.R.; Gaskell, J.M.; Jones, A.C. Frequency dispersion and dielectric relaxation of La2Hf2O7. J. Vac. Sci. Technol. B Microelectron. Nanometer Struct. Process. Meas. Phenom. 2009, 27, 333–337. [Google Scholar] [CrossRef]
- Zhao, C.; Zhao, C.Z.; Werner, M.; Taylor, S.; Chalker, P. Dielectric relaxation of high-k oxides. Nanoscale Res. Lett. 2013, 8, 456. [Google Scholar] [CrossRef] [Green Version]
- Esro, M.; Vourlias, G.; Somerton, C.; Milne, W.I.; Adamopoulos, G. High-Mobility ZnO Thin Film Transistors Based on Solution-processed Hafnium Oxide Gate Dielectrics. Adv. Funct. Mater. 2015, 25, 134–141. [Google Scholar] [CrossRef]
- Ma, Z.; Becker, A.J.; Polakos, P.; Huggins, H.; Pastalan, J.; Wu, H.; Watts, K.; Wong, Y.H.; Mankiewich, P. RF measurement technique for characterizing thin dielectric films. IEEE Trans. Electron Devices 1998, 45, 1811–1816. [Google Scholar]
- Sheng, S.; Wang, P.; Zhang, X.Y.; Ong, C.K. Characterization of microwave dielectric properties of ferroelectric parallel plate varactors. J. Phys. D Appl. Phys. 2008, 42, 015501. [Google Scholar] [CrossRef]
- Tierno, D.; Dekkers, M.; Wittendorp, P.; Sun, X.; Bayer, S.C.; King, S.T.; van Elshocht, S.; Heyns, M.; Radu, I.P.; Adelmann, C. Microwave characterization of ba-substituted PZT and ZnO thin films. IEEE Trans. Ultrason. Ferroelectr. Freq. Control 2018, 65, 881–888. [Google Scholar] [CrossRef] [PubMed]
- Gevorgian, S. Ferroelectrics in Microwave Devices, Circuits and Systems: Physics, Modeling, Fabrication and Measurements; Springer Science & Business Media: Berlin/Heidelberg, Germany, 2009. [Google Scholar]
- Si, M.; Lyu, X.; Ye, P.D. Ferroelectric Polarization Switching of Hafnium Zirconium Oxide in a Ferroelectric/Dielectric Stack. ACS Appl. Electron. Mater. 2019, 1, 745–751. [Google Scholar] [CrossRef] [Green Version]





| Ref. | Material | Tanneal | d (nm) | fmin (MHz) | ’(fmin) | tan (fmin) | fmax (MHz) | ’(fmax) | tan (fmax) |
|---|---|---|---|---|---|---|---|---|---|
| [19] | HfO2 | 500 °C | 10 | 16 | 0.013 | 5000 | 15 | 0.013 | |
| [20] | HfO2 | - | 10 | 90 | 19 | 0.01 | 20,000 | 21 | 0.07 |
| [22] | La2Hf2O7 | 900 °C | 18 | 2 × | 15 | 0.01 | 2 | 14 | 0.2 |
| [23] | Ce0.63Hf0.37O2 | 900 °C | 56–98 | 32 | - | 1 | 25 | - | |
| [24] | HfO2 | 400 °C | 104 | 2 × | 18.8 | 0.01 | 10 | 1.88 | 150 |
| [29] | HZO | 500 °C | 30 | 17.5 | - | 1 | 15 | - | |
| [15] | HZO | - | 6 | 1000 | 9.8 | 0.09 | 14,000 | 7 | 0.02 |
| Our work | HZO | 400 °C | 10 | 10 | 24.6 | 0.027 | 500 | 23.8 | 0.2 |
Publisher’s Note: MDPI stays neutral with regard to jurisdictional claims in published maps and institutional affiliations. |
© 2021 by the authors. Licensee MDPI, Basel, Switzerland. This article is an open access article distributed under the terms and conditions of the Creative Commons Attribution (CC BY) license (https://creativecommons.org/licenses/by/4.0/).
Share and Cite
Abdulazhanov, S.; Le, Q.H.; Huynh, D.K.; Wang, D.; Lederer, M.; Olivo, R.; Mertens, K.; Emara, J.; Kämpfe, T.; Gerlach, G. RF-Characterization of HZO Thin Film Varactors. Crystals 2021, 11, 980. https://doi.org/10.3390/cryst11080980
Abdulazhanov S, Le QH, Huynh DK, Wang D, Lederer M, Olivo R, Mertens K, Emara J, Kämpfe T, Gerlach G. RF-Characterization of HZO Thin Film Varactors. Crystals. 2021; 11(8):980. https://doi.org/10.3390/cryst11080980
Chicago/Turabian StyleAbdulazhanov, Sukhrob, Quang Huy Le, Dang Khoa Huynh, Defu Wang, Maximilian Lederer, Ricardo Olivo, Konstantin Mertens, Jennifer Emara, Thomas Kämpfe, and Gerald Gerlach. 2021. "RF-Characterization of HZO Thin Film Varactors" Crystals 11, no. 8: 980. https://doi.org/10.3390/cryst11080980
APA StyleAbdulazhanov, S., Le, Q. H., Huynh, D. K., Wang, D., Lederer, M., Olivo, R., Mertens, K., Emara, J., Kämpfe, T., & Gerlach, G. (2021). RF-Characterization of HZO Thin Film Varactors. Crystals, 11(8), 980. https://doi.org/10.3390/cryst11080980

