Sign in to use this feature.

Years

Between: -

Subjects

remove_circle_outline
remove_circle_outline
remove_circle_outline
remove_circle_outline
remove_circle_outline
remove_circle_outline
remove_circle_outline
remove_circle_outline
remove_circle_outline

Journals

remove_circle_outline
remove_circle_outline
remove_circle_outline
remove_circle_outline
remove_circle_outline
remove_circle_outline
remove_circle_outline
remove_circle_outline
remove_circle_outline
remove_circle_outline
remove_circle_outline
remove_circle_outline
remove_circle_outline
remove_circle_outline
remove_circle_outline
remove_circle_outline
remove_circle_outline
remove_circle_outline
remove_circle_outline
remove_circle_outline
remove_circle_outline
remove_circle_outline
remove_circle_outline
remove_circle_outline
remove_circle_outline

Article Types

Countries / Regions

remove_circle_outline
remove_circle_outline
remove_circle_outline
remove_circle_outline
remove_circle_outline
remove_circle_outline
remove_circle_outline

Search Results (2,460)

Search Parameters:
Keywords = grooving

Order results
Result details
Results per page
Select all
Export citation of selected articles as:
17 pages, 18685 KB  
Article
Fabrication and Drag Reduction Performance of Bionic Surfaces Featuring Staggered Shield Scale Structures
by Xin Gu, Pan Cao, Xiuqin Bai and Yifeng Fu
Biomimetics 2026, 11(3), 209; https://doi.org/10.3390/biomimetics11030209 (registering DOI) - 14 Mar 2026
Abstract
To investigate the drag reduction mechanism of shark skin placoid scales and develop high-efficiency drag-reducing surfaces, this study designed and fabricated a biomimetic shark skin surface featuring staggered microscale groove structures. The fabrication process involved laser etching on silicon wafers to create a [...] Read more.
To investigate the drag reduction mechanism of shark skin placoid scales and develop high-efficiency drag-reducing surfaces, this study designed and fabricated a biomimetic shark skin surface featuring staggered microscale groove structures. The fabrication process involved laser etching on silicon wafers to create a placoid microstructure template, followed by polydimethylsiloxane (PDMS) replication to obtain biomimetic shark skin samples. Sedimentation experiments demonstrated that the biomimetic surface significantly reduced settling time compared to a smooth surface, achieving a drag reduction rate of 5.65%. Further computational fluid dynamics (CFD) simulations were conducted to analyze the near-wall flow characteristics around the biomimetic surface. The results revealed that the drag reduction mechanism primarily stems from the effective regulation of near-wall laminar flow by the micro-groove structures: a low-velocity fluid layer formed within the grooves reduces the near-wall velocity gradient, thereby decreasing frictional drag, while stable recirculation zones develop within the grooves, contributing to momentum redistribution and reduced energy dissipation. Additionally, the staggered arrangement of the grooves promotes a smoother pressure distribution along the flow direction, mitigating pressure drag by reducing the pressure differential between windward and leeward surfaces. The experimental and simulation results showed excellent agreement (simulated drag reduction rate: 5.08%), collectively verifying the feasibility and effectiveness of the proposed biomimetic placoid structure in achieving fluid drag reduction. Full article
(This article belongs to the Section Biomimetic Surfaces and Interfaces)
Show Figures

Figure 1

20 pages, 2991 KB  
Article
Advancing Defect Detection in Laser Welding: A Machine Learning Approach Based on Spatter Feature Analysis
by Gleb Solovev, Evgenii Klokov, Dmitrii Krasnov and Mikhail Sokolov
Sensors 2026, 26(6), 1825; https://doi.org/10.3390/s26061825 - 13 Mar 2026
Abstract
Full-penetration laser welding (FPLW) is increasingly adopted in manufacturing pipelines, yet its industrial scalability is constrained by in-process defect formation, particularly incomplete penetration. To address this, we propose a sensor-driven framework for non-destructive monitoring and automated defect detection that uses infrared (IR) thermography [...] Read more.
Full-penetration laser welding (FPLW) is increasingly adopted in manufacturing pipelines, yet its industrial scalability is constrained by in-process defect formation, particularly incomplete penetration. To address this, we propose a sensor-driven framework for non-destructive monitoring and automated defect detection that uses infrared (IR) thermography as the primary in situ sensing modality and applies deep learning to the acquired thermal signals. High-speed IR camera recordings were processed to track spatter and the weld zone, yielding a time series of physically interpretable spatiotemporal features (mean spatter area, mean spatter temperature, number of spatters, and mean welding zone temperature). Defect recognition is formulated as a multi-label classification problem targeting incomplete penetration, sagging, shrinkage groove, and linear misalignment, and multiple temporal models were evaluated on the same sensor-derived feature sequences. Experimental validation on 09G2S pipeline steel demonstrates that the proposed time series pipeline based on a hybrid CNN–transformer achieves a mean Average Precision (mAP) of 0.85 while preserving near-real-time inference on a CPU. The results indicate that IR thermography-based spatter dynamics provide actionable sensing signatures for automated defect prediction and can serve as a foundation for closed-loop quality control in industrial laser pipeline welding. Full article
(This article belongs to the Special Issue Sensing Technologies in Industrial Defect Detection)
Show Figures

Figure 1

21 pages, 7217 KB  
Article
Investigating Reinforcing and Cracking Resistance Behaviors of Waste Sweet Potato Vine Straw Fiber (WSVF) in Gel-like Base Asphalt
by Chenze Fang, Zhenxia Li, Yuanzhao Chen, Xu Guo, Hui Li, Naisheng Guo, Zongyuan Wu, Jingyu Yang and Tengteng Guo
Gels 2026, 12(3), 239; https://doi.org/10.3390/gels12030239 - 13 Mar 2026
Abstract
Waste sweet potato vine fiber (WSVF) effectively extends asphalt service life by enhancing cracking resistance in gel-like base asphalt matrices, yet its crack-resistant mechanism lacks mechanical characterization. This study proposes an analytical method for evaluating WSVF-modified asphalt’s crack-resistant behavior based on the principle [...] Read more.
Waste sweet potato vine fiber (WSVF) effectively extends asphalt service life by enhancing cracking resistance in gel-like base asphalt matrices, yet its crack-resistant mechanism lacks mechanical characterization. This study proposes an analytical method for evaluating WSVF-modified asphalt’s crack-resistant behavior based on the principle of mechanical energy balance. First, alkali-treated WSVF with a mass fraction of 1% was added into 70# gel-like base asphalt to prepare WSVF-modified asphalt. Lignin fiber (LF)-modified asphalt and 70# gel-like base asphalt were selected as control groups, and three types of time sweep and scanning electron microscopy tests were conducted. Then, the three-dimensional cracking volume model and damage kinetics model were established for analyzing the cracking response behavior, defining the asphalt damage variable and determining the cracking damage activation energy (Eacd). Finally, the Eacd was used to quantify the difficulty of the cracking damage process for the WSVF-modified asphalt. The reinforcement and cracking resistance mechanisms of WSVF in asphalt were analyzed by the Eacd and asphalt microstructure. The results show that the cracking volume response of WSVF-modified asphalt under cyclic loading presents three-stage nonlinear behaviors. The established fatigue damage kinetics model can accurately describe the fatigue damage evolution process of alkali-treated WSVF-modified asphalt. The Eacd values of WSVF-modified asphalt, LF-modified asphalt, and 70# gel-like base asphalt are 10.60 kJ·mol−1, 21.83 kJ·mol−1, and 29.74 kJ·mol−1, respectively. After alkali treatment, the WSVF surface exhibits grooves, demonstrating superior adsorption and storage capacity for asphalt. The WSVF can cross link through the bonding effect of asphalt and form a three-dimensional network framework structure, which can significantly increase the Eacd and provide strengthening and toughening effects on gel-like base asphalt. In summary, Eacd values are used as a mechanical indicator to quantitatively evaluate the fatigue cracking resistance of WSVF-modified asphalt. Full article
Show Figures

Figure 1

23 pages, 4782 KB  
Article
Development of Simplified Mechanical Model for Welding Deformation in Multi-Pass Welding
by Wenda Wang, Shintaro Maeda, Kazuki Ikushima and Masakazu Shibahara
J. Manuf. Mater. Process. 2026, 10(3), 96; https://doi.org/10.3390/jmmp10030096 - 12 Mar 2026
Viewed by 51
Abstract
This paper proposes a simplified mechanical model to estimate transverse shrinkage and angular distortion in multi-pass butt welding. The simplified mechanical model is first derived for an I-groove joint by representing the heated weld region with one-dimensional bar elements and by enforcing force [...] Read more.
This paper proposes a simplified mechanical model to estimate transverse shrinkage and angular distortion in multi-pass butt welding. The simplified mechanical model is first derived for an I-groove joint by representing the heated weld region with one-dimensional bar elements and by enforcing force equilibrium to obtain closed-form expressions for pass-by-pass deformation increments and cumulative deformation. For non-I-groove joints, the same simplified mechanical model is applied by updating the layer partition and geometric parameters for each pass based on the pass-wise high-temperature region; the inherent shrinkage of each pass is evaluated from the heat input and an equivalent heated-layer thickness. The simplified mechanical model is validated for V-groove multi-pass joints by comparison with thermo-elastic-plastic finite element (FE) analyses and available experimental data, and for X-groove multi-pass joints by comparison with thermo-elastic-plastic FE analyses. In addition, a parametric study on the V-groove angle (40°–70°) for SUS316L demonstrates that the model captures the increasing trend of final transverse shrinkage with groove angle without a pronounced degradation in prediction accuracy. The results show that the simplified mechanical model reproduces both deformation histories and final values with good accuracy while using only a small set of input parameters and negligible computational cost, making it useful for early-stage welding procedure planning and quick parameter studies. Full article
Show Figures

Figure 1

23 pages, 19318 KB  
Article
Single-Step Extrusion Printing of Microgrooved Annulus Fibrosus Scaffolds via Patterned Nozzles
by Nadine Kluser, Gion Ursin Alig, Christoph Sprecher, Xavier Woods, Sibylle Grad, Mauro Alini, Sonja Häckel, Christoph E. Albers, David Eglin, Rajkishen Narayanan and Andrea J. Vernengo
J. Funct. Biomater. 2026, 17(3), 140; https://doi.org/10.3390/jfb17030140 - 11 Mar 2026
Viewed by 148
Abstract
Intervertebral disk pathology, including disk herniation and degeneration, is a major contributor to chronic low back pain, and when conservative treatment fails, surgical management often involves discectomy-based procedures that leave residual annulus fibrosus (AF) defects associated with reherniation and progressive degeneration. These limitations [...] Read more.
Intervertebral disk pathology, including disk herniation and degeneration, is a major contributor to chronic low back pain, and when conservative treatment fails, surgical management often involves discectomy-based procedures that leave residual annulus fibrosus (AF) defects associated with reherniation and progressive degeneration. These limitations have motivated interest in regenerative strategies using biomaterial scaffolds; however, reproducing the hierarchical, angle-ply architecture of the AF remains challenging. Here, we present a single-step extrusion-based 3D-printing approach to fabricate polycaprolactone (PCL) scaffolds with aligned microscale surface grooves that promote AF-like organization. Patterned nozzles with circumferential peaks generated uniaxial concave microgrooves (10–17 µm wide) directly during printing, enabling formation of multilamellar angle-ply constructs. Human bone marrow-derived mesenchymal stem cells cultured on patterned scaffolds aligned longitudinally within concave grooves, forming end-to-end arrays that guided extracellular matrix deposition. Gene expression analysis showed that topographical cues governed cellular organization without significantly altering gene expression profiles, while TGF-β3 supplementation upregulated outer AF-associated markers, including COL1, COL12, SFRP2, MKX, MCAM, and SCX. TAGLN expression increased specifically on patterned scaffolds in the absence of TGF-β3, indicating an association between microgroove-guided cellular organization and TAGLN expression, warranting further investigation into potential tension-related mechanisms. This novel single-step extrusion-printing approach leverages custom nozzle geometry to impart concave microgrooves, facilitating scalable fabrication of multilamellar angle-ply scaffolds that induce aligned cellular organization and support potential applications in annulus fibrosus repair, as well as mechanobiological studies of anisotropic musculoskeletal tissues. Full article
Show Figures

Graphical abstract

12 pages, 982 KB  
Article
Integrating Diagnostic Tools for Early Recognition of Rumenitis in a Neonatal Calf
by Tolulope Grace Ogundipe, Gianfranco Militerno, Riccardo Rinnovati, Raffaele Scarpellini, Talita Bordoni, Arcangelo Gentile, Berihu Gebrekidan Teklehaymanot, Cinzia Benazzi and Marilena Bolcato
Animals 2026, 16(6), 870; https://doi.org/10.3390/ani16060870 - 11 Mar 2026
Viewed by 148
Abstract
Rumenitis is an inflammatory condition of the rumen, typically seen in adult cattle managed on high-energy diets. In calves, it is uncommon and often linked to ruminal drinking due to esophageal groove dysfunction. Early diagnosis is challenging due to nonspecific clinical signs. A [...] Read more.
Rumenitis is an inflammatory condition of the rumen, typically seen in adult cattle managed on high-energy diets. In calves, it is uncommon and often linked to ruminal drinking due to esophageal groove dysfunction. Early diagnosis is challenging due to nonspecific clinical signs. A one-month-old male Limousin calf was presented with persistent non-fetid fluid regurgitation, rhythmic mastication, inappetence, and progressive neurological signs. Clinical examination revealed signs of dehydration and neurological dysfunction. Laboratory evaluation demonstrated metabolic acidosis (pH 7.16), hyperkalemia, and elevated serum urea. Endoscopy identified diffuse mucosal hyperemia, erosions, and fluid accumulation in the rumen. Symptomatic and supportive therapy was initiated; however, the calf died spontaneously. Necropsy was therefore performed, and rumen samples were collected for histological and microbiological investigations. Histopathological analysis confirmed acute suppurative rumenitis. The microbiological culture of rumen and reticulum samples yielded mixed bacterial flora, including Escherichia coli and Proteus mirabilis. The fungal culture isolated Penicillium spp., Mucoraceae, Geotrichium spp., and Aspergillus fumigatus. This case details the value of integrating clinical examination, blood gas analysis, endoscopy, histopathology, and microbiology in diagnosing rumenitis in young calves. Although Limousin calves are not considered predisposed, management and feeding practices may play a critical role in disease onset. Rumenitis should be considered in calves presenting persistent regurgitation and neurological signs. Early, minimally invasive diagnostics such as endoscopy can improve diagnostic accuracy and inform timely clinical decision-making. Full article
(This article belongs to the Section Veterinary Clinical Studies)
Show Figures

Figure 1

23 pages, 2254 KB  
Article
Tribological Performance of CAM-Processed Interim Dental Restoration Materials: Effects of 3D Printing, Milling, and Post-Processing on Wear and Surface Topography
by Liliana Porojan, Roxana Diana Vasiliu, Flavia Roxana Bejan, Mihaela Ioanela Gherban, Diana Utu and Anamaria Matichescu
J. Funct. Biomater. 2026, 17(3), 136; https://doi.org/10.3390/jfb17030136 - 10 Mar 2026
Viewed by 164
Abstract
In order to provide clinically significant evidence on the long-term functional performance of CAD/CAM provisional materials, especially 3D-printed and milled resins, accurate tribologically in vitro wear tests that integrate wear parameters and surface topography analysis are necessary. The goal of the study was [...] Read more.
In order to provide clinically significant evidence on the long-term functional performance of CAD/CAM provisional materials, especially 3D-printed and milled resins, accurate tribologically in vitro wear tests that integrate wear parameters and surface topography analysis are necessary. The goal of the study was to assess the wear resistance of several CAM-obtained dental crown materials and the relationship between wear and the manufacturing process, distinctive postprocessing, microhardness, microroughness, and surface topography. A standardized ball-on-flat tribological protocol was applied to (n = 70) CAD/CAM-fabricated PMMA specimens (four 3D-printed groups with distinct post-processing protocols (Optiprint) and three milled materials (TelioCAD, Shaded PMMA, Copra Temp Symphony)) to quantify wear parameters micro- and nanoroughness (Ra, Rz, Sa, Sy), and Vickers microhardness, followed by comprehensive statistical analysis (t-tests, Pearson correlations) to elucidate material- and process-dependent differences in wear behaviour. Nanoroughness was carried using atomic force microscopy evaluation. Wear testing showed that most materials, particularly the 3D-printed groups, developed limited wear, whereas the milled materials evolved toward groove-dominated wear topographies. Wear statistics showed that the printed resins consistently had an advantage, meaning that the degree and rate of wear are significantly influenced by the manufacturing process. Hardness has a central role in governing the wear performance of interim resin materials, while nanoroughness acts as a secondary factor. Optimised post-processing of printed materials, particularly a prolonged post-curing period, yields a beneficial combination of low wear and specific topography, thereby providing a significant clinical advantage. Full article
(This article belongs to the Section Dental Biomaterials)
Show Figures

Figure 1

34 pages, 6742 KB  
Article
Multi-Objective Optimization of U-Drill Chip-Groove Structural Parameters Based on GA–BP and NSGA-II Algorithms
by Zhipeng Jiang, Yao Liang, Xiangwei Liu, Xianli Liu, Guohua Zheng and Yuxin Jia
Coatings 2026, 16(3), 346; https://doi.org/10.3390/coatings16030346 - 10 Mar 2026
Viewed by 129
Abstract
To address the poor cutting stability and deterioration of hole quality caused by the inherent trade-off between chip evacuation performance and drill-body stiffness in U-drilling, a multi-objective optimization framework was established. The design variables were the core thicknesses L1 and L2 [...] Read more.
To address the poor cutting stability and deterioration of hole quality caused by the inherent trade-off between chip evacuation performance and drill-body stiffness in U-drilling, a multi-objective optimization framework was established. The design variables were the core thicknesses L1 and L2 of the inner and outer chip flutes, the inner and outer offset angles θ1 and θ2, and the inner and outer helix angles β1 and β2. The objectives were to maximize the chip evacuation force and minimize the drill-body strain (which serves as an equivalent indicator of maximizing drill-body stiffness). The chip evacuation force was rapidly evaluated using a mechanistic chip evacuation force model derived from mechanism-based analysis. The drill-body strain was efficiently predicted using a GA–BP neural-network surrogate model. An NSGA-II algorithm combined with the entropy-weighted TOPSIS method was employed to solve the optimization problem, yielding the optimal parameter combination for the U-drill chip-flute geometry. The results show that drilling experiments on 42CrMo under the optimal structural parameter combination reduced the cutting forces in the x, y, and z directions by approximately 11.2%, 13.1%, and 11.8%, respectively. The root-mean-square acceleration in the x and y-directions decreased by about 17.3% and 22.9%, respectively. These improvements effectively enhanced the hole-wall surface roughness and hole diameter accuracy, and further improved chip evacuation smoothness and cutting stability of the U-drill. Full article
(This article belongs to the Special Issue Cutting Performance of Coated Tools)
Show Figures

Figure 1

13 pages, 1600 KB  
Article
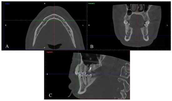
3D Assessment of Mandibular Buccal Shelf Geometry for Optimal Micro-Implant Placement Site in Portuguese Individuals: A Retrospective Cone-Beam Computed Tomography Study
by Joana Borga, Iman Bugaighis, Luis Proença, François Durand Pereira, Helder Nunes Costa and Pedro Mariano Pereira
Appl. Sci. 2026, 16(6), 2631; https://doi.org/10.3390/app16062631 - 10 Mar 2026
Viewed by 167
Abstract
Objectives: To determine the most favourable Micro-Implant (MI) insertion site along the mandibular buccal shelf (MBS), using Cone Beam Computed Tomography (CBCT). Methods: This retrospective study assessed CBCT scans from 90 Portuguese patients (32 males and 58 females, aged 14 to 40 years). [...] Read more.
Objectives: To determine the most favourable Micro-Implant (MI) insertion site along the mandibular buccal shelf (MBS), using Cone Beam Computed Tomography (CBCT). Methods: This retrospective study assessed CBCT scans from 90 Portuguese patients (32 males and 58 females, aged 14 to 40 years). Paired MBS sites were determined. Comparative and correlation analyses were performed at p < 0.05. Results: A significant increase in MBS width was observed from the mesial to the distal direction (p < 0.001). Conversely, both the MBS steepness and cortical bone thickness significantly decreased from mesial to distal (p < 0.001). Significant negative correlation was also found between age and cortical bone thickness adjacent to the distobuccal cusp and distal tangent of both mandibular second molars (r ≤ −0.373, p ≤ 0.007). Furthermore, significant asymmetric differences were identified between the right and left MBS steepness as well as in the paired cortical bone thickness at the mesiobuccal cusp, buccal groove, and distobuccal cusp of the mandibular second molar (p ≤ 0.016). Conclusions: The results indicate that although there are sufficient MBS width and cortical bone thickness, vestibular to the mandibular second molar for MI insertion, the sites towards the distal root of the mandibular second molar are more favourable when considering MBS steepness. These findings are consistent for both sexes and apply to young and old individuals. Full article
Show Figures

Figure 1

24 pages, 3530 KB  
Article
Investigation of Spiral-Groove Dry Gas Seal Performance Using an Experimental Data-Driven Kriging Surrogate Model
by Jiashu Yu, Xuexing Ding, Jinlin Chen and Jianping Yu
Lubricants 2026, 14(3), 119; https://doi.org/10.3390/lubricants14030119 - 9 Mar 2026
Viewed by 117
Abstract
Spiral-groove dry gas seals are widely used in turbomachinery. However, high-fidelity numerical simulations remain challenging because the gas film is micron-scale and features high shear and pronounced boundary-layer effects, while experimental studies are often expensive due to the large design space and tight [...] Read more.
Spiral-groove dry gas seals are widely used in turbomachinery. However, high-fidelity numerical simulations remain challenging because the gas film is micron-scale and features high shear and pronounced boundary-layer effects, while experimental studies are often expensive due to the large design space and tight machining tolerances. To address these issues, this study integrates a Kriging surrogate model with surrogate-based optimization (SBO) to systematically identify the key structural and operating parameters governing seal performance. The results quantify the individual effects of key geometric parameters, providing practical guidance for spiral-groove seal design and optimization. The Kriging model captures the nonlinear relationships between performance and design variables and shows good generalization, with a maximum residual standard deviation of 2.78 and all others below 1.0. Sobol analysis reveals that structural parameters dominate performance: groove depth and width exhibit total-effect indices of approximately 0.74 and 0.56, respectively, while rotational speed is the most influential operating parameter (≈0.75). Among eight structural variables, groove depth is the most critical, increasing leakage by more than 200% as it rises from 5 to 8 μm, followed by spiral angle and groove number; all remaining parameters each contribute less than 10%. Full article
Show Figures

Figure 1

21 pages, 3553 KB  
Article
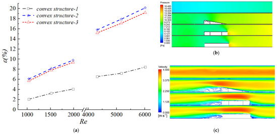
Synergistic Effects of Biomimetic Structures on Heat Transfer Enhancement and Flow Resistance Reduction
by Kaichen Wang, Yan Shi, Junjie Chen and Yuchi Dai
Biomimetics 2026, 11(3), 198; https://doi.org/10.3390/biomimetics11030198 - 9 Mar 2026
Viewed by 165
Abstract
This study numerically investigated the thermal performance of a rectangular channel incorporating scale-inspired biomimetic protrusion structures with micro-grooves on their surfaces. A three-dimensional numerical model was established and validated against experimental data under identical geometric parameters and boundary conditions, demonstrating good agreement in [...] Read more.
This study numerically investigated the thermal performance of a rectangular channel incorporating scale-inspired biomimetic protrusion structures with micro-grooves on their surfaces. A three-dimensional numerical model was established and validated against experimental data under identical geometric parameters and boundary conditions, demonstrating good agreement in terms of outlet temperature and pressure drop over a wide range of Reynolds numbers. The effects of groove depth on friction factor, Colburn factor, and overall performance evaluation criterion (PEC) were systematically analyzed to elucidate the underlying flow and heat transfer mechanisms. The results indicated that the introduction of biomimetic grooves significantly modified the flow structure and thermal boundary layer development, thereby enhancing fluid mixing and heat transfer. However, excessive groove depth intensified flow separation and pressure loss, leading to performance deterioration. An optimal groove depth of 0.6 mm (approximately 40% of the fin height) was identified, which achieved the best balance between heat transfer enhancement and flow resistance. The findings provide theoretical guidance for the biomimetic surface design of high-efficiency heat exchangers. Full article
(This article belongs to the Section Biomimetics of Materials and Structures)
Show Figures

Figure 1

20 pages, 4699 KB  
Article
Influence of Chip Breaker Geometric Shape on the Cutting Performance of Cermet Tools
by Shuwen Yu, Zengmin Shi, Chengui Deng-Li, Junwen Gao and Lei Dai
Eng 2026, 7(3), 125; https://doi.org/10.3390/eng7030125 - 9 Mar 2026
Viewed by 92
Abstract
Ti(C,N)-based cermet turning inserts with two distinct chip breaker groove structures were employed to investigate the influence of chip breaker geometry on cutting performance. Chip removal performance and wear resistance of the inserts were evaluated according to chip morphology. The results reveal that, [...] Read more.
Ti(C,N)-based cermet turning inserts with two distinct chip breaker groove structures were employed to investigate the influence of chip breaker geometry on cutting performance. Chip removal performance and wear resistance of the inserts were evaluated according to chip morphology. The results reveal that, compared with inserts with the V-type groove, those with the SF-type groove exhibit superior chip removal capability and enhanced flank wear resistance. Based on two key parameters of the equivalent groove width and initial chip curl radius, an oblique cutting model was proposed for turning inserts with three-dimensionally complex grooves. The model incorporates the coupled effects of chip breaker geometry, workpiece material properties, inserts material properties and cutting process parameters. By controlling chip morphology, the proposed model effectively realizes the improvement and rational optimization of cutting performance, providing a theoretical basis for the design and optimization of complex groove turning inserts. Full article
(This article belongs to the Section Materials Engineering)
Show Figures

Figure 1

23 pages, 3963 KB  
Article
Non-Circular Section Machining of Glass by Lathe-Type Electrochemical Discharge Machine with Force-Controlled Tool Electrode Holder
by Katsushi Furutani and Toshiki Irie
Machines 2026, 14(3), 308; https://doi.org/10.3390/machines14030308 - 9 Mar 2026
Viewed by 152
Abstract
Electrochemical discharge machining (ECDM) with low machining reaction forces is useful for machining hard and brittle materials, which are required in precision equipment. Lathe-type ECD machines have been proposed to machine axisymmetric shapes while reducing cracks caused by thermal expansion, and they are [...] Read more.
Electrochemical discharge machining (ECDM) with low machining reaction forces is useful for machining hard and brittle materials, which are required in precision equipment. Lathe-type ECD machines have been proposed to machine axisymmetric shapes while reducing cracks caused by thermal expansion, and they are suitable for thin workpiece machining due to the small reaction force. This paper demonstrates the micromachining of non-circular cross-sections using a lathe-type ECD machine equipped with an improved force-controlled tool electrode holder. The tool electrode holder combining a voice coil motor (VCM) with leaf springs arranged in parallel was built. This holder achieves both flexibility in the longitudinal direction of the tool electrode and high rigidity in the lateral direction. The relationship between the VCM current, tool electrode shift within the tool electrode holder, and thrust force was approximated using a polynomial. Consequently, this device allows for the stable, small contact force required in micromachining. An on-machine shape measurement method was also carried out by combining the tool electrode shift with the motion of an XZ stage. As a demonstration for non-circular cross-section machining, a square cross-section was grooved from a cylindrical glass rod. The removal and measurement processes were alternately repeated to achieve precision. During ECDM, the on/off of the DC power supply for ECDM was synchronized with the rotation of the workpiece. The measurement results indicated some dimensional errors, including bulging at the middle of sides and excessive removal at corners. The bulging was mainly caused by drift due to thermal expansion of the stage, as well as tool electrode wear. Since the tool electrode comes into close proximity to with the machined surface, the discharge from the side surface of the tool electrode caused excessive removal at the corners. Full article
Show Figures

Figure 1

17 pages, 2179 KB  
Article
Machine Learning-Assisted Analysis of Fracture Energy in Externally Bonded Reinforcement on Groove Bond Strength Prediction
by Bahareh Mehdizadeh, Pouyan Fakharian, Younes Nouri, Mohammad Afrazi and Bijan Samali
Buildings 2026, 16(5), 1070; https://doi.org/10.3390/buildings16051070 - 8 Mar 2026
Viewed by 125
Abstract
The tensile capacity of a connection is predicted through the use of established models, among which the bond behavior between CFRP layers and concrete is always considered. In structures reinforced with CFRP, the prediction of the bond force between concrete and CFRP is [...] Read more.
The tensile capacity of a connection is predicted through the use of established models, among which the bond behavior between CFRP layers and concrete is always considered. In structures reinforced with CFRP, the prediction of the bond force between concrete and CFRP is essential, as the connection must be designed to withstand the required tensile capacity. An underestimation can lead to inefficient design, while an overestimation risks premature debonding failure, potentially compromising structural safety and serviceability. In recent applications, the bond force between concrete and CFRP has been increased through the use of the Externally Bonded Reinforcement on Groove (EBROG) method. However, due to the structural complexity introduced by the grooved interface, accurate prediction of its bond strength remains challenging, and conventional analytical models may not fully capture the underlying nonlinear interactions. In this technique, CFRP layers are placed into grooves to enhance the interaction among the adhesive, concrete, and CFRP. However, due to the structural complexity of this connection, accurate prediction of its bond force is challenging and requires the application of artificial intelligence methods. This study develops a machine learning (ML) framework to predict the bond strength of the EBROG technique. Four ML models, Support Vector Machine (SVM), Gaussian Process Regression (GPR), Decision Tree, and XGBoost, were implemented, and their hyperparameters were optimized via Bayesian optimization. The models were evaluated using multiple statistical metrics, with the XGBoost algorithm demonstrating superior predictive performance, achieving an R2 of 0.987 and an RMSE of 0.522 kN. This represents an improvement of approximately 5.6% in R2 and a reduction of over 53% in RMSE compared to the existing analytical model. SHAP analysis provided interpretable, data-driven insights, revealing that fracture energy is the predominant factor governing bond strength and elucidating nonlinear interactions between key design parameters. This ML-fracture mechanics framework not only offers superior prediction but also advances the mechanistic understanding of the EBROG bond behavior. Full article
(This article belongs to the Section Building Structures)
Show Figures

Figure 1

14 pages, 15162 KB  
Article
Periostracum Formation in Sepia officinalis and Loligo vulgaris and Homology with Other Molluscs
by Ernesto Ruiz-Villaespesa, Antonio G. Checa, Cristina Lucena-Serrano and Carmen Salas
Animals 2026, 16(5), 841; https://doi.org/10.3390/ani16050841 - 7 Mar 2026
Viewed by 191
Abstract
The periostracum is the outermost shell layer and the first produced during shell formation in molluscs. This organic layer isolates the extrapallial space from the external environment and provides a scaffold for subsequent calcification. In cephalopods with an internal shell, some organic shell [...] Read more.
The periostracum is the outermost shell layer and the first produced during shell formation in molluscs. This organic layer isolates the extrapallial space from the external environment and provides a scaffold for subsequent calcification. In cephalopods with an internal shell, some organic shell structures are putatively homologous to the periostracum of other molluscan groups. However, neither their detailed structure nor their mode of formation has been described, leaving the extent of this homology unresolved. To address this issue, we investigated the morphology and formation of the organic layer of the dorsal shield and the gladius in embryos of the cuttlefish Sepia officinalis Linnaeus, 1758, and the squid Loligo vulgaris Lamarck, 1798, respectively, using light microscopy and transmission electron microscopy. In both species, the periostracum forms within a periostracal groove located along the lateral and anterior margins of the shell sac. As in other molluscs, secretions from columnar cells at the bottom of the groove produce a dense layer, while a translucent layer is subsequently added beneath it through secretions from cuboidal cells. The main difference is the absence of both a pellicle and of the specialized glandular cells that typically secrete it at the bottom of the periostracal groove. Full article
(This article belongs to the Special Issue Recent Advances in Cephalopod Biology Research)
Show Figures

Figure 1

Back to TopTop