Sign in to use this feature.

Years

Between: -

Subjects

remove_circle_outline
remove_circle_outline
remove_circle_outline
remove_circle_outline
remove_circle_outline
remove_circle_outline
remove_circle_outline
remove_circle_outline
remove_circle_outline

Journals

remove_circle_outline
remove_circle_outline
remove_circle_outline
remove_circle_outline
remove_circle_outline

Article Types

Countries / Regions

remove_circle_outline
remove_circle_outline
remove_circle_outline

Search Results (513)

Search Parameters:
Keywords = grey wolf optimizer (GWO) algorithm

Order results
Result details
Results per page
Select all
Export citation of selected articles as:
17 pages, 2452 KB  
Article
Daily Runoff Series Prediction Using GWO Optimization and Secondary Decomposition: A Case Study of the Xujiang River Basin
by Qingyan Li, Manxin Quan, Xuwen Ouyang, Shumin Zhou, Xiling Zhang and Xiangui Lan
Water 2026, 18(8), 946; https://doi.org/10.3390/w18080946 - 15 Apr 2026
Abstract
Runoff time series often exhibit nonlinear and fluctuating characteristics, and their complexity has further increased with the intensification of global climate change; high-precision daily-scale forecasting remains a core challenge in the field of hydrological forecasting. Addressing the shortcomings of existing methods in terms [...] Read more.
Runoff time series often exhibit nonlinear and fluctuating characteristics, and their complexity has further increased with the intensification of global climate change; high-precision daily-scale forecasting remains a core challenge in the field of hydrological forecasting. Addressing the shortcomings of existing methods in terms of runoff feature extraction capabilities and limited forecasting accuracy, this paper aims to improve the accuracy of daily runoff forecasting in small watersheds by constructing a hybrid forecasting model that integrates optimization algorithms, signal decomposition, and deep learning models. Specifically, the original runoff data is first preliminarily decomposed using a variational mode decomposition (VMD) method optimized by the grey wolf optimization (GWO) algorithm. The mode components obtained from the decomposition are evaluated using Fuzzy Entropy (FE), and the selected high-entropy components (IMFs) are then input into a second-order decomposition using an optimized Wavelet Transform (WT) to further extract latent features. After decomposition, the mode components are reassembled; second, a bidirectional long short-term memory (BiLSTM) model for daily runoff prediction is constructed for each subcomponent, and the model’s hyperparameters are optimized using an optimization algorithm; finally, the prediction results are reconstructed to obtain the final output. Case studies were conducted using three hydrological stations—Nanfeng, Baiquan, and Shaziling—in the Xujiang River basin of the Fuhe River. The experimental results indicate that by incorporating an optimization mechanism and a two-stage decomposition strategy, the proposed model achieved an NSE of over 0.95 at all three stations. Compared to the baseline BiLSTM model, the proposed model reduced the RMSE by 76.69%, 75.82%, and 65.92% at the three stations, respectively, and reduced the MAE by 64.77%, 73.54%, and 50.46%, and NSE increased by 27.82%, 40.06%, and 38.02%, respectively. This demonstrates that the model exhibits excellent reliability and superiority in daily-scale runoff forecasting for small watersheds. Full article
(This article belongs to the Section Hydrology)
Show Figures

Figure 1

19 pages, 3225 KB  
Article
Metaheuristic Optimized Random Forest Regression with Streamlit Web Application for Predicting Jute Yarn Tenacity
by Nageshkumar T, Avijit Das, Sanjoy Debnath and D. B. Shakyawar
Textiles 2026, 6(2), 46; https://doi.org/10.3390/textiles6020046 - 14 Apr 2026
Abstract
Yarn tenacity is one of the vital quality parameters that determine the performance, fabric durability and end use suitability. The tenacity of yarn is largely influenced by the fibre characteristics used. The physical properties of jute fibres, including root content, defect, bundle strength, [...] Read more.
Yarn tenacity is one of the vital quality parameters that determine the performance, fabric durability and end use suitability. The tenacity of yarn is largely influenced by the fibre characteristics used. The physical properties of jute fibres, including root content, defect, bundle strength, and fineness, exert a significant influence on yarn tenacity. This study utilized metaheuristic optimized random forest regression (RFR) to predict jute yarn tenacity from fibre parameters. The hyperparameters of the RFR models were optimized using four metaheuristic algorithms: whale optimization algorithm (WOA), grey wolf optimization (GWO), beetle antennae search (BAS) and ant colony optimization (ACO). The model utilized a dataset comprising 414 experimental data with 70% data for training and 30% for testing the model, using input variables such as bundle strength (g/tex), defects (%), root content (%) and fineness (tex) to predict yarn tenacity (cN/tex). The developed models effectively predicted yarn tenacity. However, RFR–GWO achieved slightly better performance with R2 of 1.0 for training set and 0.96 for test set. Regarding execution time, RFR–GWO is the fastest requiring only 14.25 s. SHAP analysis revealed that bundle strength and root content of jute fibre are the most influential factors, whereas defect and fineness exert the least influence on model’s prediction. The best model RFR–GWO was deployed into an interactive Streamlit web application, offering an intuitive and user-friendly platform for the real-time estimation of yarn tenacity. Full article
Show Figures

Figure 1

13 pages, 550 KB  
Article
A GWO-Based Optimization for mmWave Integrated Sensing and Communications in IoT Systems
by AN Soumana Hamadou, Shengzhi Du, Thomas O. Olwal and Barend J. Van Wyk
Telecom 2026, 7(2), 44; https://doi.org/10.3390/telecom7020044 - 14 Apr 2026
Abstract
The next generations of wireless networks will use more intensively shared spectrum and hardware resources. This leads to huge demand for integrated sensing and communication (ISAC) technology. Additionally, the integration of millimeter-wave (mmWave) spectrum can improve the sensing capabilities and communication rates of [...] Read more.
The next generations of wireless networks will use more intensively shared spectrum and hardware resources. This leads to huge demand for integrated sensing and communication (ISAC) technology. Additionally, the integration of millimeter-wave (mmWave) spectrum can improve the sensing capabilities and communication rates of ISAC systems. This development is of great significance to the internet of things (IoT), as it is essential for intelligent operations and decision-making to have accurate surround sensing and device communication. This study presents a novel methodology for beamforming design in mmWave ISAC base stations within IoT systems, utilizing a grey wolf optimizer (GWO) to optimize the total communication rate and effective sensing power. Also, this work is mostly focused on simulation and heuristic optimization methods. The analyses conducted indicate that the suggested GWO-based optimization achieves a sum rate of up to 22.7 bit/s/Hz and a sensing power of 65.8 dBm when the base station (BS) is equipped with 8 antennas, in comparison to the results from the particle swarm optimization (PSO)-based and genetic algorithm (GA)-based schemes. Full article
Show Figures

Figure 1

18 pages, 7966 KB  
Article
Computational Design and Analysis of a High-Isolation 5G MIMO Antenna Using a Binary GWO-Optimized Pixelated Metasurface
by Mehmet Ülgü, Muharrem Karaaslan, Ahmet Atcı, Lulu Wang and Olcay Altıntaş
Electronics 2026, 15(8), 1625; https://doi.org/10.3390/electronics15081625 - 14 Apr 2026
Abstract
Compact 5G millimeter-wave (mm-Wave) multiple-input multiple-output (MIMO) systems face a serious challenge as high isolation is required for high spectral efficiency. This paper presents a novel computational design framework for enhancing the isolation of a two-port ultra-wideband (UWB) MIMO antenna, specifically targeting the [...] Read more.
Compact 5G millimeter-wave (mm-Wave) multiple-input multiple-output (MIMO) systems face a serious challenge as high isolation is required for high spectral efficiency. This paper presents a novel computational design framework for enhancing the isolation of a two-port ultra-wideband (UWB) MIMO antenna, specifically targeting the 5G n257 band (26.5–29.5 GHz). A pixelated metasurface is presented and optimized with the help of a binary-coded Grey Wolf Optimizer (B-GWO) algorithm through a MATLAB-Computer Simulation Technology (CST) co-simulation interface, which is used in contrast to some conventional decoupling structures. A Geometric Mirror Symmetry method is used to accelerate the optimization process, which halves the number of optimization variables and significantly reduces the computational load. Crucially, this symmetry is also a fundamental requirement to ensure that the reflection coefficients (S11, S22) of the antennas remain identical. The proposed design achieves isolation levels better than 20 dB across the entire target band, reaching a peak isolation of 32.58 dB at 28.67 GHz, while maintaining reflection coefficients (S11, S22) below 10 dB. The MIMO diversity performance is comprehensively validated with an Envelope Correlation Coefficient (ECC) <0.005, a Diversity Gain (DG) of 9.99 dB, and a Total Active Reflection Coefficient (TARC) <10 dB. Moreover, the suppression of surface waves enhances the realized gain to 4.51 dBi, providing a 0.57 dB improvement over the reference antenna. In addition, an equivalent passive RLC circuit model is constructed to observe the physical process of the pixelated surface, which shows the optimized structure as a band stop filter at the coupling frequency. The high correlation of the Equivalent Circuit Model and full-wave simulation outcomes confirms that the suggested design procedure is a strong verification alternative to physical fabrication. Full article
(This article belongs to the Section Microwave and Wireless Communications)
Show Figures

Figure 1

33 pages, 970 KB  
Article
A Modular Adaptive Hybrid Metaheuristic Based on Distributed Population Evolution for 2D Irregular Packing Problems
by Shuo Liu, Fu Zhao and Yanjue Gong
Mathematics 2026, 14(8), 1301; https://doi.org/10.3390/math14081301 - 13 Apr 2026
Abstract
This paper addresses the NP-hard 2D irregular packing problem with non-convex geometric constraints. We propose a distributed hybrid metaheuristic based on an island population structure, integrating a genetic algorithm (GA), particle swarm optimization (PSO), simulated annealing (SA), and a grey wolf optimizer (GWO), [...] Read more.
This paper addresses the NP-hard 2D irregular packing problem with non-convex geometric constraints. We propose a distributed hybrid metaheuristic based on an island population structure, integrating a genetic algorithm (GA), particle swarm optimization (PSO), simulated annealing (SA), and a grey wolf optimizer (GWO), with a novel Modular Adaptive Optimization Module (MAOM). The passivity and stability of the MAOM are rigorously proven via a Lyapunov energy function. The convergence rate of the island model is proven to be O(Tmax/K), demonstrating linear speedup. Extensive experiments on 11 benchmark datasets show that the proposed algorithm achieves material utilization ranging from 61.73% to 79.42% with excellent stability (CV<0.03). Statistical tests confirm significant improvements over traditional metaheuristics (p<0.05). This work provides a theoretically grounded and practically effective approach for 2D irregular nesting. Full article
19 pages, 15598 KB  
Article
Heuristic Algorithm Optimization of CNN–BiLSTM–Attention for Reference Crop Evapotranspiration Forecasting Under Limited Meteorological Data Availability
by Yongping Gao, Tonglin Fu, Mingzhu He, Fengzhen Yang and Xiaojun Li
Atmosphere 2026, 17(4), 382; https://doi.org/10.3390/atmos17040382 - 9 Apr 2026
Viewed by 197
Abstract
Accurate prediction of reference evapotranspiration (ET0) using integrated deep learning approaches with limited meteorological data is highly significant for efficient water resource utilization and management in arid regions. Nevertheless, parameter optimization is frequently overlooked in current research, leading to unsatisfactory estimation [...] Read more.
Accurate prediction of reference evapotranspiration (ET0) using integrated deep learning approaches with limited meteorological data is highly significant for efficient water resource utilization and management in arid regions. Nevertheless, parameter optimization is frequently overlooked in current research, leading to unsatisfactory estimation accuracy that cannot meet practical application requirements. To overcome this limitation, a CNN–BiLSTM–attention hybrid model is constructed by combining the powerful feature-extraction capability of CNN and excellent sequence-processing performance of BiLSTM, followed by the integration of an attention mechanism. Five metaheuristic algorithms, namely the osprey optimization algorithm (OOA), grey wolf optimization (GWO), whale optimization algorithm (WOA), particle swarm optimization (PSO), and northern goshawk optimization (NGO), are adopted to optimize the key parameters of the proposed model. The developed hybrid models are then applied to ET0 estimation in Linze County, China. The results demonstrate that the error indices of these models vary within the ranges of MAPE [14.28%, 14.48%], MAE [0.4270, 0.4482], RMSE [0.5596, 0.5844], and NMSE [0.0490, 0.0577]. Overall, the OOA–CNN–BiLSTM–attention model exhibited the most robust and consistent estimation performance across multiple evaluation metrics among the investigated models. Full article
(This article belongs to the Section Biometeorology and Bioclimatology)
Show Figures

Figure 1

34 pages, 5480 KB  
Article
Metaheuristic Optimization of Treated Sewage Wastewater Quality Parameters with Natural Coagulants
by Joseph K. Bwapwa and Jean G. Mukuna
Water 2026, 18(8), 885; https://doi.org/10.3390/w18080885 - 8 Apr 2026
Viewed by 238
Abstract
This study presents a comprehensive multi-objective optimization of sewage wastewater treatment using bio-based coagulants, guided by the Grey Wolf Optimizer (GWO) and its multi-objective variant (MOGWO). Experimental coagulation data, employing Citrullus lanatus and Cucumis melo as natural coagulants, were modeled using multivariate regression [...] Read more.
This study presents a comprehensive multi-objective optimization of sewage wastewater treatment using bio-based coagulants, guided by the Grey Wolf Optimizer (GWO) and its multi-objective variant (MOGWO). Experimental coagulation data, employing Citrullus lanatus and Cucumis melo as natural coagulants, were modeled using multivariate regression techniques, yielding high coefficients of determination (R2 > 0.95) across key water quality parameters. The optimization process targeted maximal reductions in turbidity, total suspended solids (TSS), biochemical oxygen demand (BOD), and chemical oxygen demand (COD) through strategic manipulation of pH and coagulant dosage. The single-objective GWO achieved significant outcomes, including a 96.68% turbidity reduction at pH 5 and 50 mg/L dosage. The MOGWO algorithm identified Pareto-optimal solutions, such as a 94.2% turbidity reduction at pH 5 and 72 mg/L dosage, and a balanced BOD reduction of 52.7% at pH 7. The predictive models indicated that optimal treatment conditions could reduce chemical usage by up to 90% compared to conventional coagulants, resulting in potential cost savings of up to 30%. Moreover, the algorithms demonstrated rapid convergence, averaging 200 iterations, highlighting their computational efficiency and robustness. These findings illustrate that integrating bio-based coagulants with advanced optimization techniques can achieve high treatment efficiency while reducing chemical inputs, thus directly supporting environmental sustainability by minimizing sludge and secondary pollution. In this situation, the wastewater treatment plant will focus on resource-recovery systems with less or no waste at the end of the treatment process. This approach aligns with circular economy principles by promoting eco-friendly, cost-effective wastewater treatment solutions suitable for resource-limited settings. The study offers a forward-looking pathway for environmentally responsible wastewater management practices that significantly reduce chemical dependency and contribute to pollution mitigation efforts. Full article
(This article belongs to the Section Wastewater Treatment and Reuse)
Show Figures

Figure 1

30 pages, 2535 KB  
Article
Optimizing the Permutation Flowshop Scheduling Problem with an Improved Sparrow Search Algorithm
by Maria Tsiftsoglou, Yannis Marinakis and Magdalene Marinaki
Algorithms 2026, 19(4), 283; https://doi.org/10.3390/a19040283 - 6 Apr 2026
Viewed by 264
Abstract
The Sparrow Search Algorithm (SSA) is a novel optimization method inspired by sparrows’ foraging and anti-predator behavior. It mimics their exploration and exploitation strategies to find near-optimal solutions for various optimization problems. This paper presents the first application of SSA to the widely [...] Read more.
The Sparrow Search Algorithm (SSA) is a novel optimization method inspired by sparrows’ foraging and anti-predator behavior. It mimics their exploration and exploitation strategies to find near-optimal solutions for various optimization problems. This paper presents the first application of SSA to the widely recognized Permutation Flowshop Scheduling Problem (PFSP) with the makespan criterion as the optimization target. Our study aims to assess the effectiveness and robustness of this cutting-edge metaheuristic through computational experiments and statistical analysis. The proposed SSA is a hybrid variant that incorporates the Variable Neighborhood Search (VNS) algorithm along with a Path Relinking Strategy. The effectiveness of the proposed method is evaluated through computational experiments on PFSP benchmark instances. The performance of the hybrid SSA is compared against several well-established swarm-intelligence metaheuristics, namely Grey Wolf Optimizer (GWO), Whale Optimization Algorithm (WOA), Tuna Swarm Optimization Algorithm (TSO), Particle Swarm Optimization Algorithm (PSO), Firefly Algorithm (FA), Bat Algorithm (BA), and the Artificial Bee Colony (ABC). To ensure fair comparison, all methods are implemented within the same computational framework as the hybrid SSA. The experimental results show that the proposed hybrid SSA achieves the lowest average mean error compared with the competing methods in solving the PFSP. The results were further validated through a comprehensive non-parametric statistical analysis using Friedman, Aligned Friedman, and Quade tests, followed by post-hoc analysis with p-adjusted values, as well as Kruskal–Wallis and Wilcoxon post-hoc tests. Full article
Show Figures

Figure 1

29 pages, 5479 KB  
Article
Hybrid Machine Learning for Optimal Design of Piezoelectric Diaphragm Energy Harvesters Using Modified Grey Wolf Optimization
by Nitin Yadav, Govind Vashishtha, Sumika Chauhan and Rajesh Kumar
Symmetry 2026, 18(4), 608; https://doi.org/10.3390/sym18040608 - 3 Apr 2026
Viewed by 220
Abstract
This study addresses the critical need for sustainable energy by optimizing diaphragm-type piezoelectric elements for efficient waste vibration energy harvesting. Traditional experimental optimization of complex, non-linear design parameters including applied load, tapper diameter, and support structures is often resource-intensive and time-consuming. To overcome [...] Read more.
This study addresses the critical need for sustainable energy by optimizing diaphragm-type piezoelectric elements for efficient waste vibration energy harvesting. Traditional experimental optimization of complex, non-linear design parameters including applied load, tapper diameter, and support structures is often resource-intensive and time-consuming. To overcome these limitations, we developed a novel hybrid machine learning framework that seamlessly integrates an Artificial Neural Network (ANN) with a Modified Grey Wolf Optimization (mGWO) algorithm. The ANN was rigorously trained on experimental data using Bayesian Regularization, establishing itself as a robust and high-fidelity surrogate model capable of accurately predicting voltage output based on diverse input parameters, evidenced by an R-value close to 1. This predictive model subsequently served as the fitness function for the mGWO algorithm, which incorporated a non-linear control parameter to efficiently explore the multi-dimensional design space and effectively balance exploration with exploitation. The framework successfully identified the optimal configuration for maximizing voltage output, predicting a theoretical maximum of approximately 70.67 V. This optimal setup notably involved a high applied load of 100 N, the 6CA multi-pointed tapper configuration, and the three-support boundary condition, which is consistent with the experimentally validated results. The computational findings demonstrated excellent agreement with empirical results while providing significantly higher resolution for design insights. This validated, predictive tool offers a substantial advancement for the future scaling and design optimization of piezoelectric energy harvesters, minimizing the need for extensive physical prototyping and ensuring efficient stress transfer without mechanical failure. Full article
(This article belongs to the Special Issue Symmetries in Machine Learning and Artificial Intelligence)
Show Figures

Figure 1

22 pages, 5539 KB  
Article
Artificial Neural Network-Based PID Parameter Estimation Using Black Kite Algorithm Hyperparameter Optimization for DC Motor Speed Control
by Yılmaz Seryar Arıkuşu
Biomimetics 2026, 11(4), 242; https://doi.org/10.3390/biomimetics11040242 - 3 Apr 2026
Viewed by 286
Abstract
This paper proposes a Black Kite Algorithm (BKA)-based hyperparameter optimization method for Artificial Neural Network (ANN) training, mitigating local minimum issues associated with conventional training techniques. The resulting BKA-ANN model is then employed to estimate PID controller parameters for DC motor speed regulation. [...] Read more.
This paper proposes a Black Kite Algorithm (BKA)-based hyperparameter optimization method for Artificial Neural Network (ANN) training, mitigating local minimum issues associated with conventional training techniques. The resulting BKA-ANN model is then employed to estimate PID controller parameters for DC motor speed regulation. A large-scale dataset of 100,000 samples was generated via MATLAB simulation, with reference speed and load torque stochastically varied, and optimal PID parameters determined by minimizing the ITAE criterion for each operating condition. The optimized controller was evaluated under various operating conditions including transient response, frequency domain analysis (phase margin and bandwidth), parametric robustness, and load disturbance suppression, along with control effort and energy consumption assessments. The proposed BKA-ANN approach was benchmarked against nine algorithms: hybrid atom search optimization-simulated annealing (hASO-SA), harris hawks optimization (HHO), Henry gas solubility optimization with opposition-based learning (OBL/HGSO), atom search optimization (ASO), henry gas solubility op-timization (HGSO), stochastic fractal search(SFS), grey wolf optimization (GWO), sine–cosine algorithm (SCA), and Standard ANN. Simulation results indicate that BKA-ANN achieves stable performance across all tested scenarios, with minimal oscillation and competitive settling time compared to the evaluated algorithms. Full article
(This article belongs to the Section Biological Optimisation and Management)
Show Figures

Figure 1

26 pages, 3282 KB  
Article
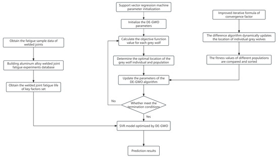
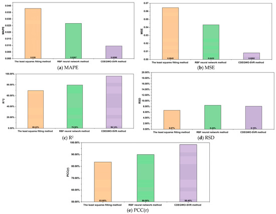
Fatigue Life Prediction of Aluminum Alloy Welded Joints Based on CDEGWO-SVR
by Shanyu Jin and Li Zou
Appl. Sci. 2026, 16(7), 3309; https://doi.org/10.3390/app16073309 - 29 Mar 2026
Viewed by 251
Abstract
To address the uncertainty in fatigue life prediction of welded joints under small-sample conditions, this study proposes a prediction model based on support vector regression (SVR) enhanced by an improved Grey Wolf Optimizer (GWO). First, a CDE-GWO algorithm is developed by optimizing the [...] Read more.
To address the uncertainty in fatigue life prediction of welded joints under small-sample conditions, this study proposes a prediction model based on support vector regression (SVR) enhanced by an improved Grey Wolf Optimizer (GWO). First, a CDE-GWO algorithm is developed by optimizing the convergence factor and integrating differential evolution (DE) to enhance population search ability; its effectiveness is verified via benchmark functions. Subsequently, a CDEGWO-SVR model is constructed and validated against SVR, GWO-SVR, DE-SVR, and DEGWO-SVR using UCI datasets, demonstrating superior fitting accuracy and lower error. Finally, the model is applied to aluminum welded joint fatigue data. Comparative analysis with radial basis function (RBF) neural networks and least squares S-N curve fitting across five evaluation metrics indicates that the proposed model achieves better performance in MSE, MAPE, R2, and CC, with competitive RSD. Experimental results confirm that the CDEGWO-SVR model possesses stable and higher prediction precision, offering an effective solution for fatigue life prediction involving small samples and multiple uncertainty factors. Full article
(This article belongs to the Section Computing and Artificial Intelligence)
Show Figures

Figure 1

25 pages, 2223 KB  
Article
Co-Optimizing Microgrid Economy, Environment and Reliability: A Comparative Study for PSO-GWO and Meta-Heuristic Optimization Algorithms
by Wen-Chang Tsai
World Electr. Veh. J. 2026, 17(4), 180; https://doi.org/10.3390/wevj17040180 - 28 Mar 2026
Viewed by 402
Abstract
This study focuses on optimizing hybrid photovoltaic (PV)–wind–lithium-ion battery systems, aiming to balance lifecycle cost (LCC) minimization and power supply reliability (measured by loss of power supply probability, LPSP). A multi-algorithm optimization framework was constructed to compare the performance of Particle Swarm Optimization [...] Read more.
This study focuses on optimizing hybrid photovoltaic (PV)–wind–lithium-ion battery systems, aiming to balance lifecycle cost (LCC) minimization and power supply reliability (measured by loss of power supply probability, LPSP). A multi-algorithm optimization framework was constructed to compare the performance of Particle Swarm Optimization (PSO), Moth–Flame Optimization (MFO), Grey Wolf Optimization (GWO), and Hybrid Optimizer of PSO and GWO Merits (PSO-GWO) for off-grid power supply; additionally, a PSO-GWO was proposed to address multi-objective demands of economy, environment, and reliability for remote grid-connected power supply. Combined with system architecture design, energy management strategies, and component availability analysis, the PSO-GWO reduced 25-year LCC to $2.024 million, LPSP to 0.05, and cost of energy (COE) to $0.06254/kWh. PSO-GWO further optimized carbon emissions (CEs, operational carbon emissions only) to 2750 tons/year (14.1% lower than PSO) while maintaining LCC at $1.981 million and LPSP at 0.01. Thirty independent runs of each algorithm were conducted for statistical validation, and sensitivity analysis verified the algorithms’ robustness to PV efficiency, battery cost, wind speed fluctuations, battery price volatility, and carbon tax changes. The study also expanded the analysis to multiple climatic scenarios, providing an economical, reliable, low-carbon solution with strong generalizability. Full article
(This article belongs to the Section Charging Infrastructure and Grid Integration)
Show Figures

Figure 1

21 pages, 19856 KB  
Article
An Adaptive-Weight Physics-Informed Neural Network Optimized by Grey Wolf Optimizer for Lithium-Ion Battery State of Health Estimation
by Runtong Wang, Jiakang Shen, Shupeng Liu and Hailin Rong
Batteries 2026, 12(4), 115; https://doi.org/10.3390/batteries12040115 - 26 Mar 2026
Cited by 1 | Viewed by 467
Abstract
Reliable estimation of the State of Health (SOH) in lithium-ion batteries is critical to battery system security and dependability. However, existing Physics-Informed Neural Networks (PINNs) have drawbacks like single-feature physical constraints, rigid fixed-weight fusion of multi-feature constraints and insufficient time-series degradation modeling. To [...] Read more.
Reliable estimation of the State of Health (SOH) in lithium-ion batteries is critical to battery system security and dependability. However, existing Physics-Informed Neural Networks (PINNs) have drawbacks like single-feature physical constraints, rigid fixed-weight fusion of multi-feature constraints and insufficient time-series degradation modeling. To solve these problems, this study proposes an Adaptive-Weight PINN (AW-PINN) optimized by the Grey Wolf Optimizer (GWO) algorithm, which features a dual-LSTM parallel structure and takes incremental capacity peaks and charged capacity as dual physical constraints. A weight generator LSTM adaptively learns weights for monotonicity losses without manual intervention, and GWO globally optimizes physical loss weights to balance data fitting accuracy and prediction physical consistency. Validated on LiCoO2, NCA, and NCM batteries from CALCE and Tongji University datasets via comparative, ablation, and small-sample experiments, AW-PINN shows superior predictive performance (average RMSE = 0.0076; MAE = 0.0065; MAPE = 0.0072), robustness, and generalization. It integrates battery degradation physics with deep learning, retaining strong fitting capability while enabling physical interpretability. Full article
Show Figures

Figure 1

20 pages, 4404 KB  
Technical Note
Prediction and Applicability Analysis of Multi-Type Monitoring Data for Metro Foundation Pits Based on VMD-GWO-CNN Model
by Qitao Pei, Xiaomin Liu, Shaobo Chai, Chao Meng, Zhihua Gao and Juehao Huang
Buildings 2026, 16(6), 1141; https://doi.org/10.3390/buildings16061141 - 13 Mar 2026
Viewed by 231
Abstract
Current methods for predicting deep excavation deformation suffer from insufficient accuracy and limited generalization capability. Moreover, the applicability of these methods to different types of monitoring data also requires in-depth analysis. To address this, a machine learning-based prediction model, i.e., the VMD-GWO-CNN model, [...] Read more.
Current methods for predicting deep excavation deformation suffer from insufficient accuracy and limited generalization capability. Moreover, the applicability of these methods to different types of monitoring data also requires in-depth analysis. To address this, a machine learning-based prediction model, i.e., the VMD-GWO-CNN model, integrating Variational Mode Decomposition (VMD), the Grey Wolf Optimizer (GWO), and the Convolutional Neural Network (CNN), is proposed to predict various types of monitoring data. The GWO algorithm optimizes both the key parameters of VMD and the hyperparameters of the CNN. The optimized CNN model predicts each subsequence decomposed by VMD, and the final prediction is obtained by superimposing these results. Furthermore, the prediction performance of the proposed model is evaluated against the LSTM, CNN, and GWO-CNN models using four metrics (RMSE, MAE, MAPE, R2). The results indicate that all four algorithms possess effective predictive capability for the monitoring data, in which the VMD-GWO-CNN model demonstrates the best performance across all metrics. Specifically, its RMSE for surface settlement prediction is reduced by 59.2%, 34.1%, and 33.0% compared to the LSTM, CNN, and GWO-CNN models, respectively. Moreover, the VMD-GWO-CNN model exhibits strong predictive performance for deformation in slope engineering and subgrade engineering, demonstrating its good applicability across different geotechnical engineering. The findings provide a scientific basis for safe excavation construction and contribute to efficient and rapid execution of foundation pit projects. Full article
Show Figures

Figure 1

27 pages, 648 KB  
Article
Synergistic Evolutionary Optimization with Reinforcement Learning for Multi-Objective Energy-Efficient Hybrid Flow Shop Scheduling
by Yuchen Liu, Ting Shu, Xuesong Yin and Jinsong Xia
Axioms 2026, 15(3), 193; https://doi.org/10.3390/axioms15030193 - 6 Mar 2026
Viewed by 512
Abstract
The Energy-Efficient Hybrid Flow Shop Scheduling Problem poses a significant multi-objective optimization challenge, necessitating the simultaneous minimization of conflicting objectives: Total Tardiness, Total Energy Cost, and Carbon Trading Cost. The Non-dominated Sorting Genetic Algorithm II (NSGA-II) is a classic algorithm in the field [...] Read more.
The Energy-Efficient Hybrid Flow Shop Scheduling Problem poses a significant multi-objective optimization challenge, necessitating the simultaneous minimization of conflicting objectives: Total Tardiness, Total Energy Cost, and Carbon Trading Cost. The Non-dominated Sorting Genetic Algorithm II (NSGA-II) is a classic algorithm in the field of multi-objective optimization. However, this algorithm frequently lacks the adaptive capability required to navigate high-dimensional solution spaces, often trapping the search in local optima, particularly when constrained by practical energy states of heterogeneous machines. To address these complexities, this study proposes a hybrid algorithm, named QGN, integrating Q-learning, the Grey Wolf Optimizer (GWO), and the NSGA-II. Specifically, QGN algorithm integrates NSGA-II for robust diversity maintenance with GWO for high-precision intensification. Unlike static hybrid methods, QGN employs a Q-learning agent as an adaptive controller to dynamically balance global exploration and local refinement, providing a theoretically grounded response to the rugged search landscape created by machine heterogeneity. Comprehensive experimental validation across diverse production scenarios confirms that QGN significantly outperforms baselines, including NSGA-II, Jaya, and Multi-Objective Evolutionary Algorithm based on Decomposition (MOEA/D), as well as the state-of-the-art Q-learning- and GVNS-driven NSGA-II (QVNS) algorithm, in terms of both convergence and diversity. The results indicate that the proposed algorithm yields superior solution dominance, generates a substantially larger set of non-dominated solutions, and maintains a more uniform distribution along the Pareto front. Full article
(This article belongs to the Section Mathematical Analysis)
Show Figures

Figure 1

Back to TopTop