Sign in to use this feature.

Years

Between: -

Subjects

remove_circle_outline
remove_circle_outline
remove_circle_outline
remove_circle_outline

Journals

Article Types

Countries / Regions

Search Results (24)

Search Parameters:
Keywords = granule-bound starch synthase (GBSS)

Order results
Result details
Results per page
Select all
Export citation of selected articles as:
12 pages, 1235 KB  
Article
Manipulation of StPTST1 Affects Starch Content and Physicochemical Properties of Potato (Solanum tuberosum L.)
by Zhenming Shi, Xiaoyi Cao, Hongyuan Zhou, Ting Yu, Yi Shang, Jianfei Xu and Dongli Gao
Plants 2025, 14(21), 3351; https://doi.org/10.3390/plants14213351 - 31 Oct 2025
Viewed by 316
Abstract
Foods rich in amylose and resistant starch (RS) hold great potential for improving human health. Granule-bound starch synthase (GBSS) is a key enzyme for amylose biosynthesis and its interaction partner, PROTEIN TARGETING TO STARCH1 (PTST1), has been characterized. In this study, we generated [...] Read more.
Foods rich in amylose and resistant starch (RS) hold great potential for improving human health. Granule-bound starch synthase (GBSS) is a key enzyme for amylose biosynthesis and its interaction partner, PROTEIN TARGETING TO STARCH1 (PTST1), has been characterized. In this study, we generated overexpression and knockout transgenic plants of StPTST1 to investigate its effect on starch content and physicochemical properties. Aligning with the presence of carbohydrate-binding module in the protein, StPTST1 possesses starch-binding capacity. stptst1 knockout mutants showed a reduction in both total starch and amylose contents in tubers. Analysis of the pasting properties showed that peak viscosity (PV), trough viscosity (TV), breakdown viscosity (BV), final viscosity (FV), and setback viscosity (SV) were all increased in the mutants compared to that in the WT plants. Overexpression of StPTST1 led to an increase in the contents of amylose, RS, and total starch. Moreover, the proportion of short chains (0 < DP < 32) in amylopectin of StPTST1-overexpressing plants was reduced. These data demonstrated that both stptst1 mutants and StPTST1-overexpressing plants were altered in starch content and physicochemical properties. Elucidating the function of StPTST1 deepens our understanding of starch biosynthesis in potato and highlights its potential for enhancing potato nutritional quality. Full article
(This article belongs to the Section Plant Physiology and Metabolism)
Show Figures

Figure 1

19 pages, 1111 KB  
Article
Assessment of Rice Amylose Content and Grain Quality Through Marker-Assisted Selection
by Iris Pérez-Almeida, Oscar Navia-Pesantes and Roberto Celi-Herán
Int. J. Plant Biol. 2025, 16(2), 52; https://doi.org/10.3390/ijpb16020052 - 20 May 2025
Viewed by 2212
Abstract
Rice (Oryza sativa L.) is essential for global food security and sustains billions worldwide, emphasizing the need to improve production and quality. One key challenge in rice breeding is the inheritance and environmental sensitivity of amylose content, a starch component that influences [...] Read more.
Rice (Oryza sativa L.) is essential for global food security and sustains billions worldwide, emphasizing the need to improve production and quality. One key challenge in rice breeding is the inheritance and environmental sensitivity of amylose content, a starch component that influences the texture, water absorption, and firmness after cooking, which are crucial for market acceptance. While international markets prefer low-amylose varieties for their softness, intermediate- and high-amylose varieties are favored in Latin America for their firmness. The objective of this study was to develop a molecular quality assessment methodology that, combined with morphological and culinary evaluations, helps in the selection of rice varieties during the breeding process. First, ten Ecuadorian rice materials were evaluated for milling and culinary quality characteristics, revealing significant grain size, sterility, milling yield, cooking time, and texture variations. Amylose content (AC) is genetically regulated by the waxy gene and its allelic variants, affecting granule-bound starch synthase (GBSS) enzyme expression. Secondly, to classify rice varieties molecularly based on AC, the testing ten genotypes plus nine control varieties were analyzed using microsatellite (SSR) markers. The waxy molecular marker, combined with metaphor agarose gel electrophoresis (MAGE), proved effective for early-stage AC analysis, reducing variety selection costs and improving breeding efficiency. Additionally, a restriction enzyme protocol assay facilitated variety differentiation by selectively cleaving the waxy gene sequence at a specific single-nucleotide polymorphism (SNP) site, allowing for precise AC genetic classification. By integrating molecular techniques with traditional assessments, this study reveals that using marker-assisted selection in breeding programs, as well as supporting the identification and development of high-quality local rice varieties to meet market demands, improves production efficiency and optimizes the assessment of developing varieties under diverse environmental conditions. Full article
(This article belongs to the Section Plant Biochemistry and Genetics)
Show Figures

Graphical abstract

33 pages, 6032 KB  
Article
Effects of Low-Temperature Stress During the Grain-Filling Stage on Carbon–Nitrogen Metabolism and Grain Yield Formation in Rice
by Huimiao Ma, Yan Jia, Weiqiang Wang, Jin Wang, Detang Zou, Jingguo Wang, Weibin Gong, Yiming Han, Yuxiang Dang, Jing Wang, Ziming Wang, Qianru Yuan, Yu Sun, Xiannan Zeng, Shiqi Zhang and Hongwei Zhao
Agronomy 2025, 15(2), 417; https://doi.org/10.3390/agronomy15020417 - 7 Feb 2025
Cited by 6 | Viewed by 1883
Abstract
Interactions between carbon and nitrogen metabolism are essential for balancing source–sink dynamics in plants. Frequent cold stress disrupts these metabolic processes in rice and reduces grain yield. Two rice cultivars (DN428: cold-tolerant; SJ10: cold-sensitive) were subjected to 19 °C low-temperature stress at full-heading [...] Read more.
Interactions between carbon and nitrogen metabolism are essential for balancing source–sink dynamics in plants. Frequent cold stress disrupts these metabolic processes in rice and reduces grain yield. Two rice cultivars (DN428: cold-tolerant; SJ10: cold-sensitive) were subjected to 19 °C low-temperature stress at full-heading for varying lengths of time to analyze the effects on leaf and grain metabolism. The objective was to track carbon–nitrogen flow and identify factors affecting grain yield. Low-temperature stress significantly reduced the activity of nitrate reductase (NR), glutamine synthetase (GS), glutamate synthase (GOGAT), glutamate dehydrogenase (GDH), glutamic oxaloacetic transaminase (GOT), and glutamic pyruvic transaminase (GPT), in functional leaves compared to the control. This reduction decreased nitrogen accumulation, inhibited chlorophyll synthesis, and slowed photosynthesis. To preserve intracellular osmotic balance and lessen the effects of low temperatures, sucrose, fructose, and total soluble sugar levels, as well as sucrose synthase (SS) and sucrose phosphate synthase (SPS) activities, surged in response to low-temperature stress. However, low-temperature stress significantly reduced the activity of adenosine diphosphate glucose pyrophosphorylase (AGPase), granule-bound starch synthase (GBSS), soluble starch synthase (SSS), and starch branching enzyme (SBE). At the same time, low-temperature stress reduced the area of vascular bundles and phloem, making it difficult to transport carbon and nitrogen metabolites to grains on time. The response of grains to low-temperature stress differs from that of leaves, with prolonged low-temperature exposure causing a gradual decrease in carbon and nitrogen metabolism-related enzyme activities and product accumulation within the grains. The insufficient synthesis of starch precursors and carbon skeletons results in significantly lower thousand-grain weight and seed-setting rates, ultimately contributing to grain yield loss. This decline was more pronounced in inferior grains compared to superior grains. Compared to SJ10, DN428 exhibited higher values across various indicators and smaller declines under low-temperature stress, suggesting enhanced cold-tolerance and a greater capacity to maintain grain yield stability. Full article
(This article belongs to the Section Water Use and Irrigation)
Show Figures

Graphical abstract

21 pages, 3802 KB  
Article
Grain Weight and Taste Quality in Japonica Rice Are Regulated by Starch Synthesis and Grain Filling Under Nitrogen–Phosphorus Interactions
by Hongfang Jiang, Yanze Zhao, Liqiang Chen, Xue Wan, Bingchun Yan, Yuzhuo Liu, Yuqi Liu, Wenzhong Zhang and Jiping Gao
Plants 2025, 14(3), 432; https://doi.org/10.3390/plants14030432 - 1 Feb 2025
Cited by 1 | Viewed by 1790
Abstract
To reveal the regulatory effects of nitrogen and phosphorus interactions on grain-filling- and starch-synthesis-related enzymes, and grain weight of superior grains (SGs) and inferior grains (IGs) and taste quality, the japonica rice cultivar Shennong 265 was grown under field conditions with three nitrogen [...] Read more.
To reveal the regulatory effects of nitrogen and phosphorus interactions on grain-filling- and starch-synthesis-related enzymes, and grain weight of superior grains (SGs) and inferior grains (IGs) and taste quality, the japonica rice cultivar Shennong 265 was grown under field conditions with three nitrogen levels (210, 178.5, and 147 kg N ha−1; N3, N2, and N1) and two phosphorus levels (105 and 73.5 kg P ha−1; P2 and P1). At the N3 level, the yield of P1 was significantly lower (by 19.26%) compared to P2; at the N2 and N1 levels, P1 yielded higher than P2, peaking at N2P1. Spikelets per panicle showed P2 exceeding P1 at the same nitrogen level, with the highest for both SGs and IGs observed at N2P2, followed by N2P1. Reductions in nitrogen and phosphorus decreased the grain-filling rate but prolonged the duration for grain-filling. N2P1 maintained grain weight by extending the grain-filling duration across the early, middle, and late stages of IGs, and the middle and late stages of SGs. Increased nitrogen enhanced the activities of soluble starch synthase (SSS) and starch branching enzyme (SBE), whereas increased phosphorus inhibited these activities in SGs but enhanced them in IGs. Reduced nitrogen and phosphorus fertilizer diminished ADP glucose pyrophosphorylase (AGPP) and granule-bound starch synthase (GBSS) activities in SGs and IGs, inhibiting amylose accumulation while enhancing taste value. Compared with N3P2, the taste value of N2P1 increased significantly by 6.93%, attributed to a higher amylopectin/amylose ratio. N2P1 (178.5 kg N ha−1 and 73.5 kg P ha−1) optimized enzyme activity, starch composition, and grain filling, balancing both yield and taste, and thus demonstrated an effective fertilization strategy for stable rice production. Full article
(This article belongs to the Collection New Trends in Plant Science in China)
Show Figures

Figure 1

19 pages, 6602 KB  
Article
Identification of the Granule-Bound Starch Synthase (GBSS) Genes Involved in Amylose Biosynthesis in Tartary Buckwheat (Fagopyrum tataricum (L.) Gaertn.)
by Juan Huang, Fei Liu, Jieqiong Zhang, Bin Tang, Jiao Deng, Taoxiong Shi, Liwei Zhu, Hongyou Li and Qingfu Chen
Plants 2025, 14(2), 203; https://doi.org/10.3390/plants14020203 - 13 Jan 2025
Viewed by 1655
Abstract
Tartary buckwheat is a nutrient-rich pseudo-cereal whose starch contents, including amylose and amylopectin contents, and their properties hold significant importance for enhancing yield and quality. The granule-bound starch synthase (GBSS) is a key enzyme responsible for the synthesis of amylose, directly determining the [...] Read more.
Tartary buckwheat is a nutrient-rich pseudo-cereal whose starch contents, including amylose and amylopectin contents, and their properties hold significant importance for enhancing yield and quality. The granule-bound starch synthase (GBSS) is a key enzyme responsible for the synthesis of amylose, directly determining the amylose content and amylose-to-amylopectin ratio in crops. Although one has already been cloned, the GBSS genes at the genome-wide level have not yet been fully assessed and thoroughly analyzed in Tartary buckwheat. This study comprehensively analyzed the FtGBSSs in Tartary buckwheat. Based on the genome data of Tartary buckwheat, five FtGBSS genes, namely FtGBSS-1 to FtGBSS-5, were identified on three chromosomes, exhibiting about 1800 bp lengths in their CDSs and numerous exons and introns in gene structures. Amino acid analyses revealed high homology in ten GBSS proteins from Tartary buckwheat, rice, maize, and Arabidopsis thaliana, with a specific starch synthase catalytic domain and ten conserved motifs. The Tartary buckwheat GBSS proteins had a closer relationship with GBSS proteins from monocot based on evolutionary relationship analysis. Expression analyses suggested that the FtGBSS genes showed distinct tissue-specific expression patterns in Tartary buckwheat and rice-Tartary buckwheat. Among them, FtGBSS-1, FtGBSS-2, and FtGBSS-4 were higher expressed in the root, stem, or flower, suggesting that they have a role in the amylose synthesis of these tissues. Notably, FtGBSS-3 and FtGBSS-5 were more highly expressed in seeds than in other tissues, suggesting that they have a pivotal role in amylose synthesis of the seeds of Tartary buckwheat. Furthermore, the cis acting elements in the promoters of FtGBSSs and their binding transcription factors (TFs) were investigated. A protein–protein interaction network was constructed and co-expression was analyzed based on the gene expression patterns of the FtGBSSs, and the identified TFs, belonging to bZIP, ERF, bHLH, and MADS-box TF families, were identified within this network, and their expression patterns were significantly correlated to the expression patterns of two seed-specific FtGBSS genes (FtGBSS-3 and FtGBSS-5). Finally, FtGBSS1-5 was successfully transformed into rice through transgenic manipulation, and the FtGBSS1-5 overexpression lines showed an increase in amylose content accompanied by a reduction in amylopectin and total starch contents compared with WT. Overall, this research not only deepens our understanding of the molecular mechanisms of amylose synthesis in Tartary buckwheat, but also provides scientific insights for enhancing crop amylose content and quality through molecular breeding. Full article
(This article belongs to the Collection Crop Genomics and Breeding)
Show Figures

Figure 1

17 pages, 4544 KB  
Article
Increasing Phosphorus Application Level Alleviated Adverse Effects of Low-Temperature Stress on Antioxidant Metabolism and Carbohydrate Metabolism in Tobacco Seedlings
by Wenzheng Xu, Qiaozhen Liu, Youhua Wang and Zhaohui Wu
Agronomy 2024, 14(12), 2902; https://doi.org/10.3390/agronomy14122902 - 5 Dec 2024
Cited by 3 | Viewed by 1139
Abstract
Low temperature, as a major abiotic stress, impacts the formation of high-quality tobacco seedlings. It is urgent to take appropriate measures to improve the low-temperature tolerance of tobacco seedlings. A hydroponics experiment was conducted with a tobacco cv. Y2001 under 25 °C [...] Read more.
Low temperature, as a major abiotic stress, impacts the formation of high-quality tobacco seedlings. It is urgent to take appropriate measures to improve the low-temperature tolerance of tobacco seedlings. A hydroponics experiment was conducted with a tobacco cv. Y2001 under 25 °C (control temperature) and 10 °C (low-temperature stress). Three phosphorus (P) levels including the traditional P concentration (2 mM PO43−) and higher P levels (3 mM PO43− and 4 mM PO43−) were applied to investigate their effects on antioxidant metabolism and carbohydrate metabolism in low-temperature-stressed tobacco seedlings. The results showed that the low temperature decreased plant height, stem diameter, and biomass of shoots and roots, while the higher P levels promoted plant height and shoot biomass of low-temperature-stressed tobacco seedlings compared to the traditional P level. The leaf net photosynthetic rate (AN) was decreased by the low temperature, while the AN of low-temperature-stressed tobacco leaves was increased by 38.6–61.3% for the higher P levels than the traditional P level. Higher O2 and H2O2 were observed in tobacco leaves exposed to low-temperature stress, damaging the AN, although the low temperature upregulated the expression of encoding superoxide dismutase (NtSOD), peroxidase (NtPOD), and catalase (NtCAT). However, compared with the traditional P level, the higher P levels further upregulated the expression of NtSOD and NtCAT in low-temperature-stressed tobacco leaves to accelerate O2 and H2O2 removal. Higher leaf sucrose content was detected since the low temperature significantly downregulated the expression of NtSuSy, NtCWINV, and NtNINV encoding sucrose synthase, the cell wall, and alkaline invertases, respectively, inhibiting sucrose hydrolysis. Compared with the traditional P level, higher P levels downregulated the expression of NtCWINV in low-temperature-stressed tobacco leaves, further promoting leaf sucrose content. The low temperature downregulated the expression of NtAGP encoding ADP-glucose pyrophosphorylase, NtSSS encoding soluble starch synthase, and NtGBSS encoding granule-bound starch synthase, thereby restricting starch biosynthesis. Additionally, the low temperature upregulated the expression of α-amylase and β-amylase, accelerating starch hydrolysis. These led to a lower starch content in low-temperature-stressed tobacco leaves. The higher P levels further upregulated the expression of α-amylase in low-temperature-stressed tobacco leaves than the traditional P level, further lowering the starch content. Moreover, the leaf soluble sugar content was higher under the low temperature than the control temperature, which helped the tobacco plants resist low-temperature stress. And higher P levels further promoted the soluble sugar content in low-temperature-stressed tobacco leaves compared with the traditional P level, further improving tobacco seedlings’ low-temperature tolerance. Therefore, these results indicated that increasing the P application level can alleviate the adverse impacts of cold stress on antioxidant metabolism and carbohydrate metabolism in tobacco seedlings. Full article
Show Figures

Figure 1

14 pages, 4894 KB  
Article
Preparation of Polyclonal Antibodies to Barley Granule-Bound Amylopectin Synthase Ia and Their Application in the Characterization of Interacting Proteins
by Qiyan Zhou, Boai Xi, Noman Shoaib, Yan Gao, Zhenbin Cheng, Rizwan Ali Kumbhar, Zongyun Feng, Yajie Liu, Hui Zhao and Guowu Yu
Agronomy 2024, 14(9), 2058; https://doi.org/10.3390/agronomy14092058 - 9 Sep 2024
Cited by 1 | Viewed by 1450
Abstract
The production of amylose is facilitated by granule-bound starch synthase (GBSS). Despite its importance, the specific protein interactions involving barley grain-bound starch synthase Ia (HvGBSSIa) remain poorly understood. To elucidate this, we engineered a pET-32a-HvGBSSIa prokaryotic expression vector for specific expression in E. [...] Read more.
The production of amylose is facilitated by granule-bound starch synthase (GBSS). Despite its importance, the specific protein interactions involving barley grain-bound starch synthase Ia (HvGBSSIa) remain poorly understood. To elucidate this, we engineered a pET-32a-HvGBSSIa prokaryotic expression vector for specific expression in E. coli Rosetta cells. A rabbit anti-HvGBSSIa polyclonal antibody was generated and employed to enrich HvGBSSIa-binding proteins from barley grains through immunoprecipitation. The isolated complexes were then resolved through SDS-PAGE, and the constituent proteins were identified using mass spectrometry coupled with database searches. Our results confirmed the successful preparation of a highly specific polyclonal antibody against HvGBSSI. Furthermore, differential expression of HvGBSSIa was assessed across various barley tissues and developmental stages of the grain, revealing peak expression at 25 days post-flowering. Proteins interacting with HvGBSSIa, including sucrose synthase and starch branching enzyme, were identified through co-immunoprecipitation. This study lays the groundwork for further detailed analyses of the HvGBSSIa protein complex in barley. Full article
Show Figures

Figure 1

17 pages, 3945 KB  
Article
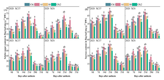
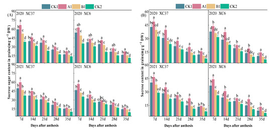
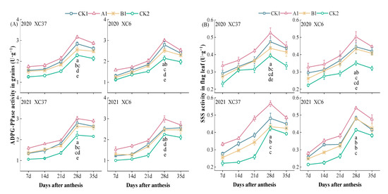
Effects of Root Trace Nitrogen Reduction in Arid Areas on Sucrose–Starch Metabolism of Flag Leaves and Grains and Yield of Drip-Irrigated Spring Wheat
by Yilin Ma, Haiqi Wang, Jianguo Liu, Rongrong Wang and Ziqiang Che
Agronomy 2024, 14(2), 312; https://doi.org/10.3390/agronomy14020312 - 31 Jan 2024
Cited by 3 | Viewed by 1724
Abstract
To investigate the effect of nitrogen (N) application on the carbon metabolism and yield of flag leaves and grains of spring wheat under drip irrigation in Xinjiang, a split-zone design was adopted from 2020 to 2021, with strong-gluten wheat, Xinchun 37 (XC37), and [...] Read more.
To investigate the effect of nitrogen (N) application on the carbon metabolism and yield of flag leaves and grains of spring wheat under drip irrigation in Xinjiang, a split-zone design was adopted from 2020 to 2021, with strong-gluten wheat, Xinchun 37 (XC37), and medium-gluten wheat, Xinchun 6 (XC 6), as the main zones and different nitrogen application rates as the sub-zones. Four nitrogen application rates of 0, 210, 255, and 300 kg·ha−1 (CK2, B1, A1, and CK1, respectively) were set to analyze and compare the nitrogen response of key enzyme activity, soluble sugar, and sucrose and starch content in flag leaves and grains to control yield formation. The results showed that with the increase in nitrogen application, the activities of sucrose phosphate synthase (SPS) and sucrose synthase (SS) in flag leaves; the activities of SS, adenosine diphosphate glucose pyrophosphorylase (ADPG-PPase), soluble starch synthase (SSS), granule-bound starch synthase (GBSS), and starch branching enzyme (SBE) in grains; the contents of soluble sugar and sucrose in the flag leaves; and the yield, all first increased and then decreased. There is a significant difference between A1 (255 kg·ha−1) and the CK1 (300 kg·ha−1), B1 (210 kg·ha−1), and CK2 (0 kg·ha−1) treatments under the above indicators, with increases of 8–158%, 9–155%, 8–53%, 5–63%, 3–86%, 3–57%, 9–79%, 9–197%, and 9–113%, as well as higher levels of amylose, amylopectin, and total starch content than other treatments by 2–30%, 11–84%, and 8–63%, respectively. Correlation and stepwise regression analyses indicated highly a significant positive correlation between the yield and soluble sugar and sucrose of flag leaves and grains, as well as their key enzymes and starch. Among them, soluble sugar in grains, amylopectin, and sucrose in grains have the greatest impact on the yield of XC37, determining 85% of its yield. SSS, soluble sugars in grains, amylopectin, and SBE have the greatest impact on the yield of XC 6, determining 80% of its yield. The starch showed a highly significant positive correlation with ADPG-PPase, SSS, GBSS, and SBE. There was a significant interaction effect between the nitrogen application rate and variety, with better performance observed in Xinchun 37 compared to Xinchun 6. Under drip irrigation conditions in arid areas, a nitrogen application of 255 kg·ha−1 can effectively regulate the metabolism of sucrose to starch in the flag leaves and grains of spring wheat, which is conducive to the accumulation of starch in grains and the formation of yield. Full article
(This article belongs to the Section Plant-Crop Biology and Biochemistry)
Show Figures

Figure 1

15 pages, 2661 KB  
Article
Effects of Post-Anthesis Irrigation on the Activity of Starch Synthesis-Related Enzymes and Wheat Grain Quality under Different Nitrogen Conditions
by Lang Xin, Yuanyuan Fu, Shoutian Ma, Caixia Li, Hongbo Wang, Yang Gao and Xingpeng Wang
Plants 2023, 12(24), 4086; https://doi.org/10.3390/plants12244086 - 6 Dec 2023
Cited by 11 | Viewed by 1846
Abstract
To develop optimal management strategies for water and nitrogen fertilizer application in winter wheat cultivation, we conducted a potted experiment to investigate the effects of different irrigation levels and nitrogen fertilizer treatments on the activity of starch synthesis-related enzymes and the grain quality [...] Read more.
To develop optimal management strategies for water and nitrogen fertilizer application in winter wheat cultivation, we conducted a potted experiment to investigate the effects of different irrigation levels and nitrogen fertilizer treatments on the activity of starch synthesis-related enzymes and the grain quality of winter wheat. The potted experiment consisted of three irrigation levels, with the lower limits set at 50–55% (I0), 60–65% (I1), and 70–75% (I2) of the field capacity. In addition, four levels of nitrogen fertilizer were applied, denoted as N0 (0 kg N hm−2), N1 (120 kg N hm−2), N2 (240 kg N hm−2), and N3 (300 kg N hm−2), respectively. The results revealed the significant impacts of irrigation and nitrogen treatments on the activities of key starch-related enzymes, including adenosine diphosphoglucose pyrophosphrylase (ADPG-PPase), soluble starch synthase (SSS), granule-bound starch synthase (GBSS), and starch branching enzymes (SBE) in wheat grains. These treatments also influenced the starch content, amylopectin content, and, ultimately, wheat yield. In summary, our findings suggest that maintaining irrigation at a lower limit of 60% to 65% of the field capacity and applying nitrogen fertilizer at a rate of 240 kg hm−2 is beneficial for achieving both high yield and high quality in winter wheat cultivation. Full article
(This article belongs to the Special Issue Strategies to Improve Water-Use Efficiency in Plant Production)
Show Figures

Figure 1

16 pages, 1457 KB  
Article
Effects of 6-Benzyladenine (6-BA) on the Filling Process of Maize Grains Placed at Different Ear Positions under High Planting Density
by Tao Yu, Yuning Xin and Peng Liu
Plants 2023, 12(20), 3590; https://doi.org/10.3390/plants12203590 - 16 Oct 2023
Cited by 10 | Viewed by 2254
Abstract
Increasing grain weight under dense planting conditions can further improve maize yield. 6-BA is known to be involved in regulating grain development and influencing grain weight. Maize grain development is closely linked to starch accumulation and hormone levels. In this work, the effects [...] Read more.
Increasing grain weight under dense planting conditions can further improve maize yield. 6-BA is known to be involved in regulating grain development and influencing grain weight. Maize grain development is closely linked to starch accumulation and hormone levels. In this work, the effects of applying 6-BA at the flowering stage under high density on the grain filling characteristics, starch content, starch synthesis critical enzyme activity, and endogenous hormones levels of maize grains (including inferior grains (IGs) and superior grains (SGs)) of two high-yielding summer maize varieties widely cultivated in China were investigated. The findings indicated that applying 6-BA significantly improved maize yield compared to the control, mainly as a result of increased grain weight due to a faster grain filling rate. Additionally, the activities of enzymes associated with starch synthesis, including sucrose synthase (SuSy), ADP-glucose pyrophosphorylase (AGPase), granule-bound starch synthase (GBSS), soluble starch synthase (SSS), and starch branching enzyme (SBE), were all increased following 6-BA application, thus facilitating starch accumulation in the grains. Applying 6-BA also increased the zeatin riboside (ZR), indole-3-acetic acid (IAA), and abscisic acid (ABA) levels, and reduced the gibberellin (GA3) level in the grains, which further improved grain filling. It is worth noting that IG had a poorer filling process than SG, possibly due to the low activities of critical enzymes for starch synthesis and imbalanced endogenous hormones levels. However, IG responded more strongly to exogenous 6-BA than SG. It appears that applying 6-BA is beneficial in improving filling characteristics, promoting starch accumulation by enhancing the activities of critical enzymes for starch synthesis, and altering endogenous hormones levels in the grains, thus improving grain filling and increasing the final grain weight and yield of maize grown under crowded conditions. These results provide theoretical and technical support for the further utilization of exogenous hormones in high-density maize production. Full article
(This article belongs to the Section Crop Physiology and Crop Production)
Show Figures

Figure 1

15 pages, 2749 KB  
Article
Unveiling the Impact of Different Nitrogen Fertilizer Levels on Rice’s Eating Quality through Metabolite Evaluation
by Nianbing Zhou, Yanhong Zhang, Tong Sun, Jinyan Zhu, Jinlong Hu and Qiangqiang Xiong
Agronomy 2023, 13(8), 2123; https://doi.org/10.3390/agronomy13082123 - 13 Aug 2023
Cited by 4 | Viewed by 1956
Abstract
We investigated the variations in metabolites associated with the quality of rice consumption when exposed to varying nitrogen fertilizer levels, as well as the regulatory role of pivotal metabolites within metabolic pathways. This research employed Hongyang 5 as the subject of experimentation, examining [...] Read more.
We investigated the variations in metabolites associated with the quality of rice consumption when exposed to varying nitrogen fertilizer levels, as well as the regulatory role of pivotal metabolites within metabolic pathways. This research employed Hongyang 5 as the subject of experimentation, examining the metabolites of Hongyang 5 at three different nitrogen levels using non-targeted metabonomic analysis. The findings indicated that the overall assessment of the eating quality/palatability (CEQ) and amylose contents (AC) of Low nitrogen (D1: 180 kg·ha−1) was notably greater than that of Medium nitrogen (D2: 270 kg·ha−1) and High nitrogen (D3: 315 kg·ha−1). Conversely, the amylopectin (APC), total starch (SC), and protein contents (AP) of D1 were remarkably lower than those observed in D2 and D3. The starch debranching enzyme (DBE) and granule-bound starch synthetase (GBSS) of D1 were remarkably higher than those of D2 and D3. The soluble starch synthase (SSS) of D1 was the lowest. The ADP-glucose pyro-phosphorylase (AGP) and starch branching enzyme (SBE) of D3 were remarkably higher than that of D1 and D2. We identified 76 differential metabolites (DMs) between D1 and D2 (20 up-regulated and 56 down-regulated). A total of 88 DMs were identified between D3 and D1 (42 up-regulated and 46 down-regulated). A total of 57 DMs were identified between D3 and D2. Most of the DMs related to rice-eating quality were involved in the lipid metabolic pathway and amino acid metabolic pathway. The essential metabolites within the metabolic pathway are classified as lipid metabolites and are (13(S)-hydroperoxylinolenic acid, PGB2, 3-phosphocholine, 7-epijasmonic acid, 20-carboxyleukotriene B4 and 11-dehydro-thromboxane B2), amino acid metabolites (4-guanidinobutanoic acid, (3R, 5S)-1-pyrroline-3-hydroxy-5-carboxylic acid, citric acid, (S)-2-Acetolactate, L-glutamine, L-2, 4-aminobutyric acid and putrescine). These key metabolites may be affected by nitrogen fertilizer conditions and play critical regulatory roles in the metabolic pathway, resulting in differences in rice eating quality. Full article
(This article belongs to the Section Farming Sustainability)
Show Figures

Figure 1

17 pages, 3168 KB  
Article
Effects of Irrigation and Fertilization Management on Yield and Quality of Rice and the Establishment of a Quality Evaluation System
by Jiazhen Hu, Shuna Zhang, Shihong Yang, Jiaoyan Zhou, Zewei Jiang, Suting Qi and Yi Xu
Agronomy 2023, 13(8), 2034; https://doi.org/10.3390/agronomy13082034 - 31 Jul 2023
Cited by 8 | Viewed by 2685
Abstract
Yield and rice quality indicators of crops are a direct reflection of the rational irrigation and fertilizer strategy. However, the effects of controlled irrigation (CI) combined with the split application of fertilization managements (straw returning, organic fertilizer, and conventional fertilizer) on rice quality [...] Read more.
Yield and rice quality indicators of crops are a direct reflection of the rational irrigation and fertilizer strategy. However, the effects of controlled irrigation (CI) combined with the split application of fertilization managements (straw returning, organic fertilizer, and conventional fertilizer) on rice quality are not clear in southeast China. This study aims at exploring the effects of three fertilization managements applied under CI or flooding irrigation on rice yield, quality, enzyme activity, and soluble sugar content including 43 indicators, to determine the optimal comprehensive evaluation model, management, and representative indexes. The results showed that compared with CF (CI + conventional fertilizer), CS (CI + straw returning) significantly increased yield (27.65%), irrigation water use efficiency (6.20%), chalky grain rate (9.67%), chalkiness (1.83%), protein content (4.29%), and amylose content (0.33%), indicating that CS improved yield and milling quality but decreased cooking and appearance quality. This was mainly because CS promoted the activities of alpha-amylase, ADPG (ADP-glucose pyrophosphorylase), and GBSS (granule-bound starch synthase) and reduced the soluble sugar content in rice. Grey relational degree analysis (GRD), the entropy method (ETM), and TOPSIS (the technique for order preference by similarity to an ideal solution) were used to comprehensively evaluate the rice quality and determined that CS treatments could synergistically improve yield and rice quality. The five indexes (adhesive strength, HPV, ADPG, soluble sugar (leaf), yield) and TOPSIS model can be used as the best indexes and model to evaluate the rice quality. These results could provide scientific management and evaluate practices for high-yield and high-quality rice cultivation, which may be promising for a cleaner production strategy. Full article
(This article belongs to the Section Water Use and Irrigation)
Show Figures

Figure 1

18 pages, 4634 KB  
Article
Efficient Accumulation of Amylopectin and Its Molecular Mechanism in the Submerged Duckweed Mutant
by Yu Liu, Ruiting Yan, Zonghao Li, Shusheng Fan, Chuantong Li, Ruikang Yu, Huaqing Liu, Yingzhen Kong, Haimei Li, Xianfeng Tang and Gongke Zhou
Int. J. Mol. Sci. 2023, 24(3), 2934; https://doi.org/10.3390/ijms24032934 - 2 Feb 2023
Cited by 5 | Viewed by 3105
Abstract
Large-scale use of fossil fuels has brought about increasingly serious problems of environmental pollution, development and utilization of renewable energy is one of the effective solutions. Duckweed has the advantages of fast growth, high starch content and no occupation of arable land, so [...] Read more.
Large-scale use of fossil fuels has brought about increasingly serious problems of environmental pollution, development and utilization of renewable energy is one of the effective solutions. Duckweed has the advantages of fast growth, high starch content and no occupation of arable land, so it is a promising starchy energy plant. A new submerged duckweed mutant (sub-1) with abundant starch accumulation was obtained, whose content of amylopectin accounts for 84.04% of the starch granules. Compared with the wild type (Lemna aequinoctialis), the branching degree of starch in sub-1 mutant was significantly increased by 19.6%. Chain length DP 6–12, DP 25–36 and DP > 36 of amylopectin significantly decreased, while chain length DP 13–24 significantly increased. Average chain length of wild-type and sub-1 mutant starches were greater than DP 22. Moreover, the crystal structure and physical properties of starch have changed markedly in sub-1 mutant. For example, the starch crystallinity of sub-1 mutant was only 8.94%, while that of wild-type was 22.3%. Compared with wild type, water solubility of starch was significantly reduced by 29.42%, whereas swelling power significantly increased by 97.07% in sub-1 mutant. In order to further analyze the molecular mechanism of efficient accumulation of amylopectin in sub-1 mutant, metabolome and transcriptome were performed. The results showed that glucose accumulated in sub-1 mutant, then degradation of starch to glucose mainly depends on α-amylase. At night, the down-regulated β-amylase gene resulted in the inhibition of starch degradation. The starch and sucrose metabolism pathways were significantly enriched. Up-regulated expression of SUS, AGPase2, AGPase3, PYG, GPI and GYS provide sufficient substrate for starch synthesis in sub-1 mutant. From the 0H to 16H light treatment, granule-bound starch synthase (GBSS1) gene was inhibited, on the contrary, the starch branching enzyme (SBE) gene was induced. Differential expression of GBSS1 and SBE may be an important reason for the decrease ratio of amylose/amylopectin in sub-1 mutant. Taken together, our results indicated that the sub-1 mutant can accumulate the amylopectin efficiently, potentially through altering the differential expression of AGPase, GBSS1, SBE, and BAM. This study also provides theoretical guidance for creating crop germplasm with high amylopectin by means of synthetic biology in the future. Full article
(This article belongs to the Special Issue Functional Genomics of Energy Crops)
Show Figures

Figure 1

15 pages, 2531 KB  
Article
Genome-Wide Survey and Functional Verification of the NAC Transcription Factor Family in Wild Emmer Wheat
by Fangyi Gong, Tian Zhang, Zhe Wang, Tiangang Qi, Yusen Lu, Yuhang Liu, Shuhong Zhao, Ruiqing Liu, Rui Yi, Jingshu He, Bin Tu, Tao Zhang, Lianquan Zhang, Ming Hao, Youliang Zheng, Dengcai Liu, Lin Huang and Bihua Wu
Int. J. Mol. Sci. 2022, 23(19), 11598; https://doi.org/10.3390/ijms231911598 - 30 Sep 2022
Cited by 3 | Viewed by 2783
Abstract
The NAC transcription factor (TF) family is one of the largest TF families in plants, which has been widely reported in rice, maize and common wheat. However, the significance of the NAC TF family in wild emmer wheat (Triticum turgidum ssp. dicoccoides [...] Read more.
The NAC transcription factor (TF) family is one of the largest TF families in plants, which has been widely reported in rice, maize and common wheat. However, the significance of the NAC TF family in wild emmer wheat (Triticum turgidum ssp. dicoccoides) is not yet well understood. In this study, a genome-wide investigation of NAC genes was conducted in the wild emmer genome and 249 NAC family members (TdNACs) were identified. The results showed that all of these genes contained NAM/NAC-conserved domains and most of them were predicted to be located on the nucleus. Phylogenetic analysis showed that these 249 TdNACs can be classified into seven clades, which are likely to be involved in the regulation of grain protein content, starch synthesis and response to biotic and abiotic stresses. Expression pattern analysis revealed that TdNACs were highly expressed in different wheat tissues such as grain, root, leaves and shoots. We found that TdNAC8470 was phylogenetically close to NAC genes that regulate either grain protein or starch accumulation. Overexpression of TdNAC8470 in rice showed increased grain starch concentration but decreased grain Fe, Zn and Mn contents compared with wild-type plants. Protein interaction analysis indicated that TdNAC8470 might interact with granule-bound starch synthase 1 (TdGBSS1) to regulate grain starch accumulation. Our work provides a comprehensive understanding of the NAC TFs family in wild emmer wheat and establishes the way for future functional analysis and genetic improvement of increasing grain starch content in wheat. Full article
(This article belongs to the Special Issue Advances in Breeding and Genetics of Wheat Crops)
Show Figures

Figure 1

11 pages, 4769 KB  
Article
Genome-Wide Association Study (GWAS) Reveals an SNP Associated with Waxy Trait and Development of a Functional Marker for Predicting Waxy Maize (Zea mays L. var. ceratina)
by Vinitchan Ruanjaichon, Khin Kyawt Yin, Burin Thunnom, Kanogporn Khammona, Khundej Suriharn, Sakunkan Simla, Chalong Kerdsri, Wanchana Aesomnuk, Arweewut Yongsuwan, Naraporn Chaomueang, Nay Nay Oo, Jintana Unartngam, Siwaret Arikit, Samart Wanchana and Theerayut Toojinda
Agronomy 2022, 12(10), 2289; https://doi.org/10.3390/agronomy12102289 - 23 Sep 2022
Cited by 5 | Viewed by 4294
Abstract
Waxy maize (Zea mays L. var. ceratina) is a special type of maize characterized by a sticky texture when cooked, due to high amylopectin content in the endosperm. Waxy maize is popular in China and Southeast Asia for fresh consumption. Breeding strategies [...] Read more.
Waxy maize (Zea mays L. var. ceratina) is a special type of maize characterized by a sticky texture when cooked, due to high amylopectin content in the endosperm. Waxy maize is popular in China and Southeast Asia for fresh consumption. Breeding strategies have been used to improve the quality of waxy maize, including hybrid breeding by crossing super sweet maize and waxy maize. However, the lack of a marker has limited the efficiency of breeding for the waxy trait, especially because the waxy allele is recessive. In this study, we conducted a genome-wide association study (GWAS) in an association panel consisting of 213 inbred lines and recombinant inbred lines (RILs) of field maize and waxy maize to identify loci associated with the waxy kernel phenotype. The genotypic data were 155,768 SNPs derived from the high-density 600 K maize genotyping array for single-nucleotide polymorphisms (SNPs). The GWAS results identified the qWx9 locus on chromosome 9 (25.06–25.18 Mb) associated with the trait. Based on the most significantly associated SNP (AX-90613979, −log10(P) = 6.8)), which was located on Wx1, a MassArray marker was developed and validated in a panel of 139 maize lines containing waxy maize and sweet maize with different amylose content. The newly developed marker had a significant association with amylose content (R2 value of 0.81, p < 0.001) and clearly distinguished between waxy maize and sweet maize lines that had different amylose content. This marker will be useful for maize breeding programs for the waxy trait, as well as for breeding programs for hybrid maize combining the sweetness and waxy traits. The gene-based SNP markers could aid breeders by eliminating the costs and time required to perform lengthy field trials and help to accelerate sweet maize and waxy maize breeding programs. Full article
(This article belongs to the Topic Plant Breeding, Genetics and Genomics)
Show Figures

Figure 1

Back to TopTop