Sign in to use this feature.

Years

Between: -

Subjects

remove_circle_outline
remove_circle_outline
remove_circle_outline
remove_circle_outline
remove_circle_outline
remove_circle_outline
remove_circle_outline
remove_circle_outline

Journals

Article Types

Countries / Regions

Search Results (12)

Search Parameters:
Keywords = granite extraction waste

Order results
Result details
Results per page
Select all
Export citation of selected articles as:
21 pages, 2917 KB  
Article
A Water Consumption Assessment in the Production of Marble, Granite, and Quartz-Based Composites Using Life Cycle Assessment: A Case Study in Bahia, Brazil
by José Oduque Nascimento de Jesus, Luciano José da Silva, Virginia Parente, Karla Patricia Oliveira Esquerre, Oz Sahin and Wanderbeg Correia de Araujo
Water 2025, 17(10), 1438; https://doi.org/10.3390/w17101438 - 10 May 2025
Cited by 1 | Viewed by 1749
Abstract
Given the relevance of sustainability, this study analyzed the impacts on water consumption in the production chain of ornamental stone pieces (marble and granite) and quartz-based composites. The goal was to compare the water demand throughout the process, from extraction to manufacturing, using [...] Read more.
Given the relevance of sustainability, this study analyzed the impacts on water consumption in the production chain of ornamental stone pieces (marble and granite) and quartz-based composites. The goal was to compare the water demand throughout the process, from extraction to manufacturing, using 1 m3 blocks as the unit of analysis. This study was conducted in Bahia, a state with significant ornamental stone production, located in a semi-arid region with limited water availability. The methodology included data collection from participating companies, combined with sectorial information and the Ecoinvent version 3.3 database, modeled using the SimaPro 8.0 software. The impact assessment was carried out using the AWaRE (Water Scarcity Footprint) and ReCiPe Endpoint methods, following the guidelines of Life Cycle Assessment (LCA), as per ABNT NBR ISO 14040 standards. The results showed that marble and granite have lower water demand and environmental impact in the categories of particulate matter, human toxicity, ecotoxicity, eutrophication, and acidification when compared to quartz composites. The highest environmental impact occurred during the processing stage, which requires a large amount of water and generates effluents, losses, and particulate matter. The results indicate that marble and granite demand less water and exhibit lower environmental impacts—across categories like particulate matter, human toxicity, ecotoxicity, eutrophication, and acidification—than quartz composites. Notably, the processing stage incurred the highest environmental burden due to its intensive water use and consequent generation of effluents, losses, and particulate matter. These findings highlight the necessity of efficient water management and the adoption of circular economy principles—including water reuse and waste valorization—to promote long-term sustainability in the ornamental stone industry. Full article
(This article belongs to the Section Water Use and Scarcity)
Show Figures

Figure 1

33 pages, 29644 KB  
Article
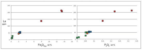
Gravity and Magnetic Separation for Concentrating Critical Raw Materials from Granite Quarry Waste: A Case Study from Buddusò (Sardinia, Italy)
by Antonello Aquilano, Elena Marrocchino and Carmela Vaccaro
Resources 2025, 14(2), 24; https://doi.org/10.3390/resources14020024 - 29 Jan 2025
Viewed by 2548
Abstract
The Critical Raw Materials Act (CRMA), enacted by the European Union (EU) in May 2024, represents a strategic framework that aims to address the growing demand for critical raw materials (CRMs) and reduce dependency on non-EU sources. The present study explores the potential [...] Read more.
The Critical Raw Materials Act (CRMA), enacted by the European Union (EU) in May 2024, represents a strategic framework that aims to address the growing demand for critical raw materials (CRMs) and reduce dependency on non-EU sources. The present study explores the potential of CRMs recovery from granite extractive waste (EW) at a granite quarry in Buddusò (Sardinia, Italy). A significant quantity of granite EW, stored in piles within designated disposal areas at the quarry under study, is estimated in terms of mass and volume using GISs and digital elevation models (DEMs). Analysis performed using a scanning electron microscope attached to an energy-dispersive spectrometer (SEM-EDS) reveals the presence of allanite, a rare-earth-bearing mineral with substantial light rare-earth elements (LREEs), which can potentially be exploited for LREEs recovery. A combined working process including gravity and magnetic separations yields CRMs-enriched fractions with concentrations of REEs, Sc, and Ga, reaching levels of potential economic interest for different industrial applications. Despite promising concentrations, limited knowledge of allanite processing represents significant challenges for CRMs recovery from this waste. Therefore, the present study was conducted to assess the efficiency of these gravity and magnetic separation methods in order to concentrate CRMs from granite EW. Economic evaluations, including potential market value estimates, suggest that CRMs recovery from granite EW can be very profitable under optimized processing conditions. Expanding studies to other quarries in the region can provide valuable insights into the feasibility of establishing a recycling hub, offering a sustainable supply chain solution for CRMs within the EU’s strategic framework. Full article
Show Figures

Figure 1

19 pages, 10665 KB  
Article
Application of Different Image Processing Methods for Measuring Rock Fracture Structures under Various Confining Stresses
by Chenlu Song, Tao Li, He Li and Xiao Huang
Appl. Sci. 2024, 14(20), 9221; https://doi.org/10.3390/app14209221 - 11 Oct 2024
Viewed by 1621
Abstract
Fractures within granite may become channels for fluid flow and have a significant impact on the safety of waste storage. However, internal aperture variation under coupled conditions are usually difficult to grasp, and the inevitable differences between the measured data and the real [...] Read more.
Fractures within granite may become channels for fluid flow and have a significant impact on the safety of waste storage. However, internal aperture variation under coupled conditions are usually difficult to grasp, and the inevitable differences between the measured data and the real fracture structure will lead to erroneous permeability predictions. In this study, two different CT (Computed Tomography) image processing methods are adopted to grasp internal fractures. Several CT images are extracted from different positions of a rock sample under different confining stresses. Two critical factors, i.e., aperture and the contact area ratio value within a single granite fracture sample, are investigated. Results show that aperture difference occurs under these two image processing methods. The contact area ratio value under two image processing methods has less than 1% difference without confining stress. However, there is larger than ten times difference when the confining stress increases to 3.0 MPa. Moreover, the edge detection method has the capability to obtain a relatively accurate internal fracture structure when confining pressure is applied to the rock sample. The analysis results provide a better approach to understanding practical rock fracture variations under various conditions. Full article
Show Figures

Figure 1

24 pages, 8805 KB  
Article
Alternative Sources of Raw Materials for the Ceramic Industry through Granite Waste Recycling: A Case Study from Buddusò, Sardinia, Italy
by Carmela Vaccaro, Antonello Aquilano and Elena Marrocchino
Appl. Sci. 2024, 14(17), 7967; https://doi.org/10.3390/app14177967 - 6 Sep 2024
Cited by 1 | Viewed by 1914
Abstract
The sourcing of raw materials is becoming an increasingly concerning issue for the European Union, which is adopting a series of strategies aimed at mitigating the dependence on third countries for procurement. The supply of feldspars, for instance, which is significant within the [...] Read more.
The sourcing of raw materials is becoming an increasingly concerning issue for the European Union, which is adopting a series of strategies aimed at mitigating the dependence on third countries for procurement. The supply of feldspars, for instance, which is significant within the ceramic industry, raises concerns due to heavy reliance on third countries. Therefore, it is imperative to identify potential alternative sources for procurement, including the recycling of waste from the extraction of ornamental granite rocks enriched in such minerals. The Sardinia region in Italy, once a global leader in granite extraction, has now witnessed a significant reduction in production due to intense competition worldwide, resulting in severe economic repercussions. Additionally, traces of this period remain in the territory in the form of enormous quantities of extraction waste, defacing the landscape and posing potential environmental issues. This study is part of a broader research initiative aimed at identifying a physical process to concentrate rare earth element (REE) minerals from granite waste in a quarry located in Buddusò, Sardinia. The specific objective of this study is to analyze the whole rock composition, crushing powder, and the diamagnetic by-products generated by gravity and magnetic separations to identify potential applications for their use. Full article
(This article belongs to the Special Issue Research Progress in Waste Resource Utilization)
Show Figures

Figure 1

17 pages, 3291 KB  
Article
Geochemical Behavior of Lanthanides and Actinides in an Old Uranium Mine, Portugal
by Andrés Cardenas, Maria I. Dias, Catarina Diamantino, Edgar Carvalho, Dulce Russo and Rosa Marques
Geosciences 2023, 13(6), 168; https://doi.org/10.3390/geosciences13060168 - 6 Jun 2023
Cited by 3 | Viewed by 2730
Abstract
New insights about the geochemical behavior of actinides and lanthanides in an old uranium mine are provided for the first time in this work. Fifteen samples (water, soil, and sediments) were collected inside and outside the Quinta do Bispo old mine (Portugal) in [...] Read more.
New insights about the geochemical behavior of actinides and lanthanides in an old uranium mine are provided for the first time in this work. Fifteen samples (water, soil, and sediments) were collected inside and outside the Quinta do Bispo old mine (Portugal) in order to better understand the lanthanide and actinide behavior in the soil–water system. The chemical and mineralogical composition was obtained via ICP-MS, INAA, and XRD. The water sample from the open pit exhibits a higher U and REE dissolved concentration when compared to the other water samples. A positive Eu anomaly is found in this sample. The soil samples collected inside the mine area, including mine waste rocks and the minesoils surrounding the open pit, show uranium mineral phases, higher U contents, an enrichment of LREE relative to HREE, and a lower Th/U. This heterogeneity may be due to the open pit extraction and ore processes, as well as the percolation and water infiltration through the waste rock piles. Soils from outside the mine area have a similar mineralogical and chemical composition, despite their different geological context, which could be related to the influence of the granitic geological unit during the alluvial unit deposition. The sediments have similar REE patterns, negative Eu anomaly, and a high (La/Yb)N. Full article
Show Figures

Figure 1

19 pages, 32575 KB  
Article
Experimental and Numerical Investigation of the Flow Behaviour of Fractured Granite under Extreme Temperature and Pressure Conditions
by Wanniarachchige Gnamani Pabasara Kumari and Pathegama Gamage Ranjith
Sustainability 2022, 14(14), 8587; https://doi.org/10.3390/su14148587 - 13 Jul 2022
Cited by 13 | Viewed by 3251
Abstract
As a result of negligible connected porosity—and thus, minimal matrix permeability—the fluid-transport characteristics of crystalline rocks are strongly influenced by the fractures at all scales. Understanding the flow behaviour of fractured rock under extreme stress and temperature conditions is essential for safe and [...] Read more.
As a result of negligible connected porosity—and thus, minimal matrix permeability—the fluid-transport characteristics of crystalline rocks are strongly influenced by the fractures at all scales. Understanding the flow behaviour of fractured rock under extreme stress and temperature conditions is essential for safe and effective deep geo-engineering applications, such as deep geothermal recovery, geological nuclear waste disposal, oil and gas extraction, geological storage and deep mining operations. Therefore, this study aims to investigate the flow characteristics of mechanically fractured Australian Strathbogie granite under a wide range of stress (confining pressures 1–80 MPa) and temperature conditions (20 °C to 350 °C). The study utilised a sophisticated high-temperature, high-pressure tri-axial setup capable of simulating extreme geological conditions, followed by a numerical simulation. According to the experimental results, a linear increment in the steady-state flow rate was observed, with increased injection pressure for the experimental conditions considered. Therefore, linear laminar Darcy flow was considered, and the fracture permeability was calculated using the cubic law. It was found that stress and temperature strongly depend on the flow of fluid through fractures. The steady-state flow rate decreased exponentially with the increase in normal stress, showcasing fracture shrinkage with an increment in effective stress. With regard to permeability through the fractures, increasing temperature was found to cause an initial reduction in fracture permeability due to an increased interlock effect (induced by thermal overclosure), followed by increments because of the thermally induced damage. Furthermore, the increasing temperature caused significant non-linear increments in the fluid flow rates due to the associated viscosity and density reduction in water. Considering the laboratory-scale flow-through exercises, a fully coupled numerical model that can predict hydro–thermo–mechanical variations in the reservoir rocks was developed using the COMSOL Multiphysics simulator. The developed model was calibrated, utilising the temperature- and pressure-dependent properties of granite rocks and fluid (water); was validated against the experimental results; and was used to predict the permeability, pressure development and strain of rock samples under extreme conditions, which were difficult to achieve in the laboratory. Full article
Show Figures

Figure 1

12 pages, 1940 KB  
Article
Synthesis and Grafted NH2-Al/MCM-41 with Amine Functional Groups as Humidity Control Material from Silicon Carbide Sludge and Granite Sludge
by Ya-Wen Lin, Wei-Hao Lee, Kae-Long Lin and Bo-Yi Kuo
Processes 2021, 9(12), 2107; https://doi.org/10.3390/pr9122107 - 24 Nov 2021
Cited by 4 | Viewed by 2253
Abstract
Mesoporous Al/MCM-41 was synthesized by extracting silicon carbide sludge and granite sludge as the sources of silicon and aluminum. Different concentrations of aminosilane (2.5, 5, 7.5 vol.%) were used to reflux the grafted NH2-Al/MCM-41 with amine functional groups (NH2-Al/MCM-41). [...] Read more.
Mesoporous Al/MCM-41 was synthesized by extracting silicon carbide sludge and granite sludge as the sources of silicon and aluminum. Different concentrations of aminosilane (2.5, 5, 7.5 vol.%) were used to reflux the grafted NH2-Al/MCM-41 with amine functional groups (NH2-Al/MCM-41). The physical and chemical characteristics were analyzed. The results confirmed that silicon carbide sludge and granite sludge can effectively synthesize Al/MCM-41 with low cost and environmental protection. Reflow grafted amine functional groups can effectively improve the surface properties of NH2-Al/MCM-41. The moisture adsorption and desorption capacity of grafted NH2-Al/MCM-41 with amine functional groups was also studied. Based on moisture adsorption and desorption capacity, the surface properties of NH2-Al/MCM-41 were studied. When 5 vol.% of NH2-Al/MCM-41 amine functional groups is added, the moisture adsorption and desorption capacity is best. When the relative humidity = 95%, the equilibrium moisture content is 39.4 kg/kg, which complies with the standard of Japanese Industrial Standard (JIS A 1475). Therefore, the use of waste derived from the industry to replace expensive commercial materials was simple and environmentally friendly, and the grafted NH2-Al/MCM-41 with amine functional groups can be utilized in multiple applications, particularly as moisture regulation materials in building engineering. Full article
(This article belongs to the Special Issue Advances in Solid Waste Treatment and Design)
Show Figures

Figure 1

23 pages, 9658 KB  
Article
Study of Copper Leaching from Mining Waste in Acidic Media, at Ambient Temperature and Atmospheric Pressure
by Juan María Terrones-Saeta, Jorge Suárez-Macías, Francisco Javier Linares del Río and Francisco Antonio Corpas-Iglesias
Minerals 2020, 10(10), 873; https://doi.org/10.3390/min10100873 - 1 Oct 2020
Cited by 13 | Viewed by 5369
Abstract
Mining activity produces a series of wastes that must be treated to avoid environmental pollution. In addition, some of these mining wastes still contain metallic elements that are interesting for their extraction with new less expensive techniques and that can work with low [...] Read more.
Mining activity produces a series of wastes that must be treated to avoid environmental pollution. In addition, some of these mining wastes still contain metallic elements that are interesting for their extraction with new less expensive techniques and that can work with low mineral grades, such as hydrometallurgy. This study evaluates the suitability of Copper recovery in mining wastes, coming from waste dump, with a high percentage of metal oxides and granite. This recovery is carried out through leaching in 0.05, 0.10, 0.15 and 0.20 molar Sulphuric Acid solutions, at ambient temperature and atmospheric pressure. The exposure of the waste to the solution was made for 96 h, taking measurements of the leaching and evaluating the increase in Copper concentration every 24 h. The results reflected a good Copper recovery rate with concentrations up to 1.9 g/L. The best results were obtained for the 0.20 molar Sulphuric Acid solutions, producing a stability in the Copper concentration after 72 h. Other elements in smaller proportion as the Zinc were also recovered. Therefore, a process of recovery of Copper was obtained with a robust, versatile and economic technique in mining residues that currently represent an environmental pollution. Full article
Show Figures

Figure 1

19 pages, 1268 KB  
Article
Development of Ceramic Materials for the Manufacture of Bricks with Stone Cutting Sludge from Granite
by Juan María Terrones-Saeta, Jorge Suárez-Macías, Francisco Antonio Corpas-Iglesias, Valentyn Korobiichuk and Volodymyr Shamrai
Minerals 2020, 10(7), 621; https://doi.org/10.3390/min10070621 - 10 Jul 2020
Cited by 15 | Viewed by 6329
Abstract
The manufacture of bricks for building purposes consumes large quantities of virgin materials, such as clay. On the other hand, the ornamental stone processing industry produces a huge amount of stone cutting sludge in its process. Therefore, this study presents the development of [...] Read more.
The manufacture of bricks for building purposes consumes large quantities of virgin materials, such as clay. On the other hand, the ornamental stone processing industry produces a huge amount of stone cutting sludge in its process. Therefore, this study presents the development of ceramic materials for the manufacture of bricks with stone cutting sludges, more specifically from granite. For this purpose, the physical properties of the stone cutting sludge and the chemical composition were mainly analyzed. Subsequently, different groups of ceramic samples were conformed and sintered with various combinations of clay and of stone cutting sludges. The conformed samples were evaluated with different physical tests and with the compressive strength test. The addition of stone cutting sludges to the ceramics reflected the creation of a material with lower density and higher porosity. The compressive strength of the different groups reflected a maximum allowable percentage of stone cutting sludges incorporation of 70%. Therefore, ceramic materials were developed with stone cutting sludges, developing a sustainable, lighter material with acceptable mechanical and physical characteristics. Avoiding the deposition of a polluting waste in a landfill and at the same time avoiding the extraction of new virgin materials. Full article
(This article belongs to the Special Issue Reutilization and Valorization of Mine Waste)
Show Figures

Figure 1

24 pages, 8277 KB  
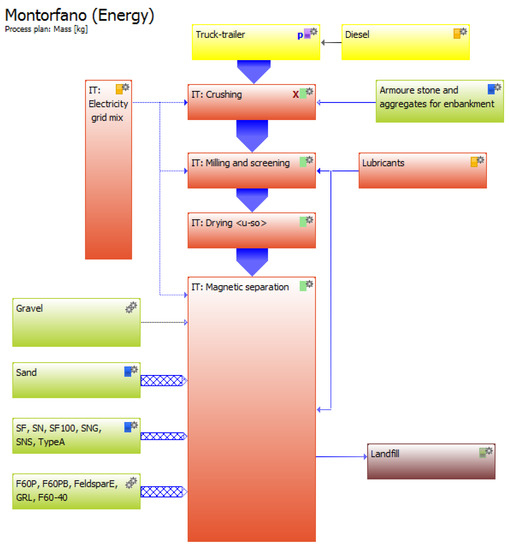
Article
Towards Sustainable Mining: Exploiting Raw Materials from Extractive Waste Facilities
by Giovanna Antonella Dino, Alessandro Cavallo, Piergiorgio Rossetti, Ernő Garamvölgyi, Renáta Sándor and Frederic Coulon
Sustainability 2020, 12(6), 2383; https://doi.org/10.3390/su12062383 - 18 Mar 2020
Cited by 30 | Viewed by 5791
Abstract
The focus of the present research is on the exploitation of extractive waste to recover raw materials, considering the technological and economic factors, together with the environmental impacts, associated with extractive waste quarrying and dressing activities. The present study, based on a case [...] Read more.
The focus of the present research is on the exploitation of extractive waste to recover raw materials, considering the technological and economic factors, together with the environmental impacts, associated with extractive waste quarrying and dressing activities. The present study, based on a case history from Northern Italy (Montorfano and Baveno granite quarrying area), was intended to validate the presented interdisciplinary approach for evaluating economic and environmental impacts associated with extractive waste facility exploitation (from granite waste to products for the ceramic industry and by-products for the building industry). A shared methodology was applied to determine extractive waste characteristics (geochemistry, petrography, and mineralogy), waste volume (geophysical, topographic, and morphologic 3D characterization) and potential exploitable products and by-products. Meanwhile, a Life Cycle Assessment (LCA) was applied to determine the environmental impacts associated with the extraction and processing phases. Full article
(This article belongs to the Section Environmental Sustainability and Applications)
Show Figures

Figure 1

15 pages, 9544 KB  
Article
The Potential Use of Oyster Shell Waste in New Value-Added By-Product
by Thamyres H. Silva, Joana Mesquita-Guimarães, Bruno Henriques, Filipe S. Silva and Márcio C. Fredel
Resources 2019, 8(1), 13; https://doi.org/10.3390/resources8010013 - 5 Jan 2019
Cited by 144 | Viewed by 38483
Abstract
Calcium carbonate is one of the most used raw materials in various industries, such as construction materials, food supplement, pharmaceutics, animal feed, plastic production, and others. Calcium carbonate can derive from marine wastes, like crustaceans and bivalve’s shells. The worldwide demand for new [...] Read more.
Calcium carbonate is one of the most used raw materials in various industries, such as construction materials, food supplement, pharmaceutics, animal feed, plastic production, and others. Calcium carbonate can derive from marine wastes, like crustaceans and bivalve’s shells. The worldwide demand for new sources of food has increased exponentially, and following that tendency, the mariculture—especially the oyster culture—has been increasingly resorting to farming techniques. In 2016, 438 billion tons of oysters were produced. The majority of the shells were unduly discarded, presenting a public health problem. This article offers a solution based on the reuse and recycling of oyster shell residues in the production region of Florianópolis, SC, Brazil. The presented solution is an oyster shell by-product developed by a local company which produces artificial stone. The main component of the artificial stone is a composite material made of oyster shells incorporated in a polymeric resin. The mechanical properties, such as its flexural strength, hardness, Weibull modulus, and fracture analysis, were held in the artificial stone. The mechanical results of the new artificial stone were compared with other natural stones, such as granite and marble, and other commercial artificial stones. This material owns suitable mechanical properties for table tops and workbenches. Using this product as an artificial stone represents an innovation in the development of a new product and adds commercial value to local waste. This product is an excellent example of a circular economy for local producers who care about the environment, and it encourages the reduction of extraction of natural stone, such as granite and marble. Full article
Show Figures

Graphical abstract

20 pages, 8791 KB  
Article
Laser-Assisted Removal of Graffiti from Granite: Advantages of the Simultaneous Use of Two Wavelengths
by José Santiago Pozo-Antonio, Athanasia Papanikolaou, Kristalia Melessanaki, Teresa Rivas and Paraskevi Pouli
Coatings 2018, 8(4), 124; https://doi.org/10.3390/coatings8040124 - 28 Mar 2018
Cited by 31 | Viewed by 8932
Abstract
Currently, removal of graffiti from stone monuments is a particularly challenging task. Lasers, being highly controllable and precise tools with minimal chemical waste, offer a key solution in this respect and a significant amount of research has been dedicated to this subject. Studies [...] Read more.
Currently, removal of graffiti from stone monuments is a particularly challenging task. Lasers, being highly controllable and precise tools with minimal chemical waste, offer a key solution in this respect and a significant amount of research has been dedicated to this subject. Studies related to the laser cleaning of carbonate stones (such as limestone and marble) reported the extraction of the graffiti layer, although minimal damage to the substrate can be also detected. Recently, research efforts have been focused on the cleaning of granite, which is a complex stone due to its grained and polymineralic texture. Tests involving different wavelengths indicated that the effectiveness of the cleaning procedure is highly dependent on two components: The composition of the binding medium of the graffiti and the fissure system of the granite. In that direction, the aim of this paper is to investigate and to compare the cleaning effectiveness of two wavelengths emitted from a nanosecond (ns) Q-Switched Nd:YAG laser system (IR at 1064 nm and UV at 355 nm), as well as their simultaneous application at different energy density ratios FIR/FUV. The effectiveness of this combined methodology has been shown in several other cases; i.e., for the removal of pollution crusts from carbonate stones (marble). For this study, three different in composition graffiti paints (blue, black, and silver) were applied on a fine-grained granite originating from the NW Iberian Peninsula. Prior to the irradiation tests, the damage thresholds of the granite, as well as the extraction thresholds of the graffiti, were determined. Then, several tests involving a variety of parameters (fluence value, number of pulses, etc.) were performed and the most satisfactory irradiation conditions from each individual wavelength as well as their combination were compared, based on graffiti extraction level and any damage induced on the granite forming minerals. The analytical techniques used for the evaluation were stereomicroscopy, color measurements in CIELAB and CIELCH color spaces, Fourier transform infrared spectroscopy (FTIR), scanning electron microscopy with energy dispersive X-ray spectroscopy (SEM-EDS) and confocal microscopy. The experiments indicated the superiority of the combined laser cleaning regarding blue and black graffiti extraction. Full article
(This article belongs to the Special Issue Communications from TechnoHeritage 2017)
Show Figures

Graphical abstract

Back to TopTop