Sign in to use this feature.

Years

Between: -

Subjects

remove_circle_outline
remove_circle_outline
remove_circle_outline
remove_circle_outline
remove_circle_outline
remove_circle_outline
remove_circle_outline

Journals

Article Types

Countries / Regions

Search Results (18)

Search Parameters:
Keywords = grain vinegar

Order results
Result details
Results per page
Select all
Export citation of selected articles as:
15 pages, 6299 KB  
Article
Qualitative and Quantitative Metabolite Comparison of Grain, Persimmon, and Apple Vinegars with Antioxidant Activities
by Hyun-Ji Tak, Sowon Yang, So-Young Kim, Na-Rae Lee and Choong Hwan Lee
Antioxidants 2025, 14(8), 1029; https://doi.org/10.3390/antiox14081029 - 21 Aug 2025
Viewed by 1712
Abstract
Fermented vinegars have been highlighted globally for their health benefits. The benefits can differ according to the type of vinegar; therefore, we investigated the differences of 15 grain (GV), 10 persimmon (PV), and 14 apple vinegars (AV) using integrated non-targeted and targeted metabolome [...] Read more.
Fermented vinegars have been highlighted globally for their health benefits. The benefits can differ according to the type of vinegar; therefore, we investigated the differences of 15 grain (GV), 10 persimmon (PV), and 14 apple vinegars (AV) using integrated non-targeted and targeted metabolome analyses. We profiled non-volatile and volatile metabolites using gas chromatography time-of-flight mass spectrometry (GC-TOF-MS), ultra-high-performance liquid chromatography–orbitrap–tandem mass spectrometry, and headspace–solid-phase microextraction–GC-TOF-MS. Among the 132 identified metabolites, 73 non-volatile and 40 volatile metabolites showed significant differences across the three vinegar types. Amino acids, hydroxy fatty acids, phenolic compounds, aldehydes, pyrazines, and sulfides were abundant in GV. Some phenolic compounds, alcohols, and esters were abundant in PV, whereas carbohydrates, flavonoids, and terpenoids were abundant in AV, contributing to nutrients, tastes, and flavors. Bioactivity assays revealed that GV showed notable antioxidant activity, whereas PV and AV had the highest total phenolic and flavonoid contents, respectively. Through quantitative analysis, we revealed that acetic acid, propionic acid, butanoic acid, lactic acid, and alanine were major components in the three types of vinegar, although their composition was different in each vinegar. Our comprehensive qualitative and quantitative metabolite comparison provides insights into the differences among the three vinegar types, classified according to their raw materials. Full article
(This article belongs to the Section Natural and Synthetic Antioxidants)
Show Figures

Graphical abstract

17 pages, 1768 KB  
Article
Quality Status and Skin-Related Functional Properties of Traditional Korean Fermented Vinegars
by Hwan Hee Yu, So-Won Jang, Eungyeong Kim, Jong-Chan Kim and Mi Jang
Foods 2025, 14(15), 2728; https://doi.org/10.3390/foods14152728 - 4 Aug 2025
Cited by 1 | Viewed by 1447
Abstract
The correlation between fermented vinegar’s physicochemical properties and functional characteristics, particularly skin-related functionalities, remains unclear. We analyzed the quality of widely consumed Korean fermented vinegars, including grain and persimmon vinegars, and their correlation with skin-related functionalities to establish quality control criteria linked to [...] Read more.
The correlation between fermented vinegar’s physicochemical properties and functional characteristics, particularly skin-related functionalities, remains unclear. We analyzed the quality of widely consumed Korean fermented vinegars, including grain and persimmon vinegars, and their correlation with skin-related functionalities to establish quality control criteria linked to functional properties. Fifteen traditional Korean grain vinegars and fourteen persimmon vinegars were collected; distilled white vinegar was used as the control group. Grain vinegars showed 3.57–100.00% collagenase and 62.38–77.03% tyrosinase inhibition; persimmon vinegars showed 0.00–94.50% and 30.75–71.54%, respectively. To determine which quality characteristics are high in fermented vinegar with high skin-related functionality, a correlation analysis was conducted. In grain vinegar, total nitrogen and free amino acids were strongly associated with skin-related functionalities. In persimmon vinegar, organic acids, particularly lactic acid, were correlated with skin-related effects; thus, both demonstrated the importance of quality assessment. Insights into relationships between the composition and functional properties of fermented vinegar were gained. Specific quality markers for managing skin-related functionality of Korean fermented vinegar established a scientific basis for standardizing quality control, developing high-value functional vinegar products, and ensuring consistent product quality. Full article
Show Figures

Figure 1

25 pages, 2375 KB  
Article
Analysis of Sushi Rice: Preparation Techniques, Physicochemical Properties and Quality Attributes
by Wondyfraw Tadele Wonbebo, Piotr Kulawik, Andrzej Szymkowiak and Eskindir Endalew Tadesse
Appl. Sci. 2025, 15(12), 6540; https://doi.org/10.3390/app15126540 - 10 Jun 2025
Viewed by 3924
Abstract
This study explores the multifaceted aspects of sushi rice preparation, including the washing, soaking, and cooking processes and their impact on the texture, microbial, colour, and sensory properties of rice. Selenio rice, a premium short-grain rice of the Japonica variety, was analyzed for [...] Read more.
This study explores the multifaceted aspects of sushi rice preparation, including the washing, soaking, and cooking processes and their impact on the texture, microbial, colour, and sensory properties of rice. Selenio rice, a premium short-grain rice of the Japonica variety, was analyzed for variations in amylose content and viscosity profiles. The study highlights how the rice’s compositional characteristics, particularly the amylose-to-amylopectin ratio, influence gelatinisation and cooling behaviour. The study examined washing duration, water-to-rice ratios, soaking times, and seasoning effects on product quality. The results demonstrated that washing rice for 230 s was optimal for the nigiri-forming process, while extending soaking beyond 3 min provided no additional water absorption benefits. Water temperature during soaking (10–50 °C) had minimal impact on water absorption. The addition of a vinegar mix reduced the pH to below 4.5, improving shelf life and sensory properties. During storage, textural profile analysis revealed that hardness and chewiness increased while adhesiveness decreased across all samples, with lower water-to-rice ratios resulting in firmer rice that maintained structural integrity better during storage. Sensory evaluation showed declining scores for odour, taste, texture, and overall acceptability over the 10-day storage period, though colour and appearance were less affected. Microbial loads remained relatively low across all samples during storage, and rice colour showed minimal changes over time. These findings contribute significantly to optimizing sushi rice production processes, ensuring consistent quality and desirable textural attributes throughout storage while advancing the broader fields of rice research and culinary science. Full article
Show Figures

Figure 1

15 pages, 507 KB  
Article
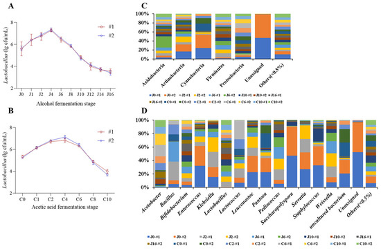
Microbial Community and Functional Analysis of Regionally Produced Traditional Korean Grain Vinegar
by Su Jeong Lee, Sun Hee Kim, Hee-Min Gwon and Jinju Park
Microorganisms 2025, 13(6), 1308; https://doi.org/10.3390/microorganisms13061308 - 4 Jun 2025
Viewed by 1126
Abstract
This study investigated changes in microbial communities and functional components during the fermentation of traditional Korean grain vinegars collected from various regions as well as the correlations among these components. Microbial community analysis revealed that Lactobacillus acetotolerans was the dominant microorganism, while Acetobacter [...] Read more.
This study investigated changes in microbial communities and functional components during the fermentation of traditional Korean grain vinegars collected from various regions as well as the correlations among these components. Microbial community analysis revealed that Lactobacillus acetotolerans was the dominant microorganism, while Acetobacter pasteurianus numbers gradually increased during fermentation, playing a key role in acetic acid production. L. acetotolerans, known to thrive in acidic environments, contributed to increasing the acidity of the vinegar and enhanced its preservative properties. The rise in the levels of organic acids, particularly acetic acid, was influenced by the activity of these microorganisms. Additionally, the production of free amino acids, such as alanine, was influenced by interactions between the fermentation medium and microbial communities, significantly contributing to the vinegar’s sweetness. Volatile flavor compounds exhibited considerable diversity due to changes in microbial communities driven by raw-material differences. In particular, five-grain vinegar (YO) tended to generate more complex and intense flavor compounds, with uniformly elevated levels of aldehydes, acids, and ketones. These findings suggest that raw-material selection and fermentation conditions significantly influence the flavor and functional properties of grain vinegars, providing valuable foundational data for improving vinegar production processes to enhance flavor and functionality. Full article
Show Figures

Figure 1

30 pages, 4118 KB  
Review
Lactic Acid Bacteria in Vinegar Fermentation: Diversity, Functionality and Health Benefits
by Elahesadat Hosseini, Zenebe Tadesse Tsegay, Slim Smaoui and Theodoros Varzakas
Foods 2025, 14(4), 698; https://doi.org/10.3390/foods14040698 - 18 Feb 2025
Cited by 9 | Viewed by 10626
Abstract
Vinegar, frequently distilled by solid fermentation or liquid processes, was generated through the synergistic effect of a microbial community in open or semi-open environments. Based on the studied raw materials, researchers distributed the vinegar into three classes: grain, fruit and animal, with lactic [...] Read more.
Vinegar, frequently distilled by solid fermentation or liquid processes, was generated through the synergistic effect of a microbial community in open or semi-open environments. Based on the studied raw materials, researchers distributed the vinegar into three classes: grain, fruit and animal, with lactic acid bacteria (LAB) playing a pivotal role in their fermentation and contributing significantly to their functional and sensory qualities. Typically, the natural maturation of fresh vinegar necessitates a long period and vast space, engendering a reduced efficiency. To accelerate the vinegar aging process, some physical methods, viz. micro-oxygenation, ozone, ultrasound, microwave, gamma rays, infrared, electric fields and high pressure, have been developed. Produced or enriched by LAB, key bioactive vinegar components are organic acids, phenolic compounds, melanoidins, and tetramethylpyrazine. These active compounds have antibacterial, antioxidant, anti-inflammatory functions; aid in the regulation of liver protection metabolism and glucose control; and have blood pressure, anti-tumor, anti-fatigue and metabolic regulatory effects. The review explores advancements in vinegar production, including modernized fermentation processes and optimized aging techniques, which enhance these beneficial compounds and ensure product consistency and safety. By examining the LAB variety strains and the bioactive profiles of different vinegar types, this study highlights vinegar’s value beyond a culinary product, as a potential therapeutic agent in human nutrition and health. The findings underscore vinegar’s relevance not only in dietary and preventive healthcare but also as a potential functional food ingredient. Further research is needed to explore the mechanisms of action through which LAB contribute to the development of several new healthy vinegars. Full article
Show Figures

Figure 1

18 pages, 2848 KB  
Article
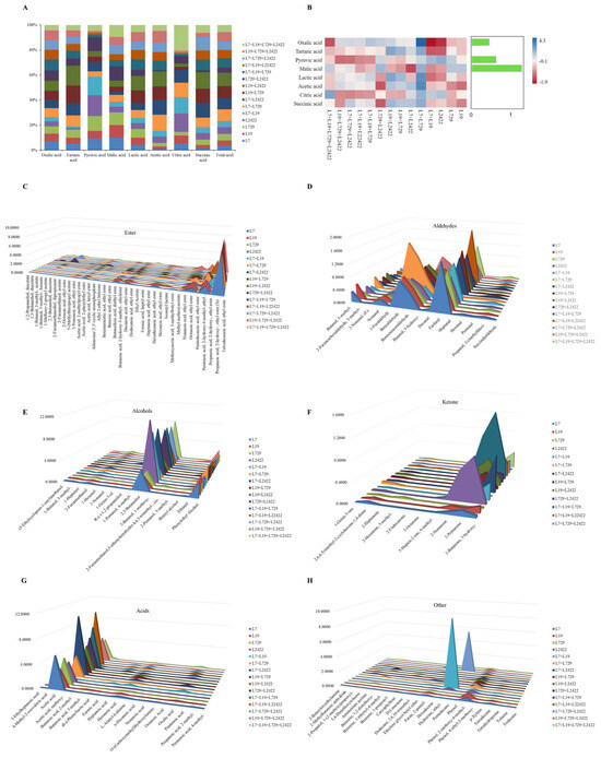
Comparative Study on the Fermentation Characteristics of Selective Lactic Acid Bacteria in Shanxi Aged Vinegar: Pure Culture Versus Co-Culture
by Qi Li, Yujing Zhang, Chaomin Wang, Xiaoyu Zhang, Ruteng Wei, Yunlong Li, Qiqiong Li and Nv Xu
Foods 2024, 13(21), 3374; https://doi.org/10.3390/foods13213374 - 23 Oct 2024
Cited by 4 | Viewed by 3058
Abstract
The diversity of the microbial community structure plays a crucial role in the flavor and nutritional value of Shanxi aged vinegar in fermentation. Illumina Miseq high-throughput sequencing identified thirteen bacterial genera, with Lactobacillales (44.89%) and Acetobacter (21.04%) being the predominant species. Meanwhile, the [...] Read more.
The diversity of the microbial community structure plays a crucial role in the flavor and nutritional value of Shanxi aged vinegar in fermentation. Illumina Miseq high-throughput sequencing identified thirteen bacterial genera, with Lactobacillales (44.89%) and Acetobacter (21.04%) being the predominant species. Meanwhile, the fermentation characteristics of selected lactic acid bacteria strains isolated from Shanxi aged vinegar were studied in different media. The results showed that the biomass, and physical and chemical indices, as well as flavor compounds of the four strains of lactic acid bacteria in the simulated vinegar fermented grains medium were superior to those in barley and pea medium and sorghum juice medium. The bacterial interaction was conducted to investigate the effects on growth, the physicochemical indices, and flavor substances in order to determine the optimal combination. Furthermore, the interaction between pure cultures and co-cultures of lactic acid bacteria in a simulated vinegar culture medium was investigated, with a focus on the impact of this interaction on strain growth, fermentation characteristics, and flavor compound production. Compared with the pure culture, when strains L7 and L729 were co-inoculated, the reducing sugar content was 0.31 ± 0.01 g/100 g, total acid content was 3.02 ± 0.06 g/100 g, acetoin content was 2.41 ± 0.07 g/100 g, and total organic acid content was 3.77 ± 0.17 g/100 g. In terms of flavor compounds, the combined culture system exhibited higher levels of esters, aldehydes, and acids compared to pure cultures or other co-culture systems. This study revealed the fermentation characteristics of selected lactic acid strains in Shanxi aged vinegar under different conditions and their interaction in simulated vinegar fermentation media, which could provide theoretical support for the safety and health evaluation of aged vinegar. Full article
(This article belongs to the Section Food Biotechnology)
Show Figures

Figure 1

23 pages, 874 KB  
Article
Enrichment of Whole-Grain Breads with Food-Grade Extracted Apple Pomace Bioactives Enhanced Their Anti-Inflammatory, Antithrombotic and Anti-Oxidant Functional Properties
by Alexandros Tsoupras, Donal Moran, Katie Shiels, Sushanta Kumar Saha, Ibrahim M. Abu-Reidah, Raymond H. Thomas and Shane Redfern
Antioxidants 2024, 13(2), 225; https://doi.org/10.3390/antiox13020225 - 11 Feb 2024
Cited by 16 | Viewed by 4220
Abstract
Apple pomace (AP) is a bio-waste product of apples that is co-produced as a by-product during apples’ processing for making apple-based products, mainly apple juice, cider and vinegar. AP is a rich source of several bioactives that can be valorized as ingredients for [...] Read more.
Apple pomace (AP) is a bio-waste product of apples that is co-produced as a by-product during apples’ processing for making apple-based products, mainly apple juice, cider and vinegar. AP is a rich source of several bioactives that can be valorized as ingredients for developing novel functional foods, supplements and nutraceuticals. Within the present study, food-grade extracts from AP with different tannin contents were found to contain bioactive polar lipids (PLs), phenolics and carotenoids with strong anti-oxidant, antithrombotic and anti-inflammatory properties. The extract from the low-in-tannins AP showed stronger anti-inflammatory potency in human platelets against the potent thrombo-inflammatory mediator platelet-activating factor (PAF), while it also exhibited considerable anti-platelet effects against the standard platelet agonist, adenosine diphosphate (ADP). The infusion of 0.5–1.0 g of this bioactive AP extract as functional ingredients for whole-grain bread-making resulted in the production of novel bio-functional bread products with stronger anti-oxidant, antithrombotic and anti-inflammatory potency against both PAF and ADP in human platelets, compared to the standard non-infused control breads. Structural analysis by LCMS showed that the PL-bioactives from all these sources (AP and the bio-functional breads) are rich in bioactive unsaturated fatty acids (UFA), especially in the omega-9 oleic acid (OA; 18:1n9), the omega-3 alpha linolenic acid (ALA; 18:n3) and the omega-6 linoleic acid (LA; 18:2n6), which further supports their strong anti-inflammatory and antithrombotic properties. All food-grade extracted AP including that infused with AP-bioactives novel functional breads showed higher hydrophilic, lipophilic and total phenolic content, as well as total carotenoid content, and subsequently stronger antioxidant capacity. These results showed the potential of appropriately valorizing AP-extracts in developing novel bio-functional bakery products, as well as in other health-promoting applications. Nevertheless, more studies are needed to fully elucidate and/or validate the anti-inflammatory, antithrombotic and antioxidant potential of novel bio-functional products across the food and cosmetic sectors when infused with these AP bioactives. Full article
Show Figures

Graphical abstract

25 pages, 1598 KB  
Article
Wood Vinegar Promotes Soil Health and the Productivity of Cowpea
by Edwin K. Akley, Peter A. Y. Ampim, Eric Obeng, Sophia Sanyare, Mawuli Yevu, Eric Owusu Danquah, Ophelia Asirifi Amoako, Theophilus K. Tengey, Justice K. Avedzi, Vincent K. Avornyo, Abdul Fatawu Neindow and Abdul Fatawu Seidu
Agronomy 2023, 13(10), 2497; https://doi.org/10.3390/agronomy13102497 - 28 Sep 2023
Cited by 13 | Viewed by 5706
Abstract
Wood vinegar (WV) is a biostimulant and a biopesticide that contains pyroligneous acid and is used as a crop growth enhancer and biocontrol agent, but insufficient information exists on WV’s effects on soil quality and cowpea production in Ghana. A field study (2 [...] Read more.
Wood vinegar (WV) is a biostimulant and a biopesticide that contains pyroligneous acid and is used as a crop growth enhancer and biocontrol agent, but insufficient information exists on WV’s effects on soil quality and cowpea production in Ghana. A field study (2 years) was conducted to determine the appropriate method of applying WV for soil health and cowpea production, and to determine the economic benefits of WV. Assessments were on nodulation, shoot biomass, yield, value–cost ratio, soil enzymes, soil respiration, microbial biomass nitrogen (MBN), permanganate-oxidizable carbon (POXC), mineralizable C, soil pH, available nitrogen and phosphorus. Results revealed soil drenching and foliar application are efficient methods of applying WV to achieve greater shoot dry matter, nodulation and grain yield of cowpea. Economically, soil drenching, followed by foliar application, generated better economic returns than the control. Adding WV to cowpea using soil drenching and foliar application improved soil health indicators. Soil enzymes and MBN were enhanced by WV applied foliarly and through soil drenching. Soil drenching with WV produced greater POXC and mineralizable C compared to the other treatments. Conclusively, WV applied foliarly and through soil drenching improved soil health, nodulation and yields of cowpea, and enhanced profitability. Full article
Show Figures

Figure 1

18 pages, 2856 KB  
Article
Microbiome and Volatile Metabolic Profile of Acetic Acid Fermentation Using Multiple Starters for Traditional Grain Vinegar
by Haram Kong, Sun Hee Kim, Woo-Soo Jeong, So-Young Kim and Soo-Hwan Yeo
Fermentation 2023, 9(5), 423; https://doi.org/10.3390/fermentation9050423 - 27 Apr 2023
Cited by 7 | Viewed by 5412
Abstract
Traditional grain vinegar is fermented using multiple acetic acid bacteria (AAB) at various temperatures. A single AAB showed high acid-producing ability at 30 °C with a 5% alcohol concentration and an initial pH adjusted to 4.0. Multiple AAB were similar to a single [...] Read more.
Traditional grain vinegar is fermented using multiple acetic acid bacteria (AAB) at various temperatures. A single AAB showed high acid-producing ability at 30 °C with a 5% alcohol concentration and an initial pH adjusted to 4.0. Multiple AAB were similar to a single AAB; however, the optimal initial pH was 3.0. Acid production ability according to the type of AAB was higher in multiple AAB than in single AAB. That is, using multiple AAB helped increase the titratable acidity of traditional grain vinegar. In addition, increasing the titratable acidity and content of volatile flavor compounds was advantageous when two, rather than four, AAB types were mixed and used. The titratable acidity was high at medium temperatures (30 °C); however, volatile flavor compounds increased at low temperatures (20 °C) under multiple AAB. A 16S rDNA-based microbiome taxonomic profiling analysis identified differences in beta diversity due to multiple AAB and fermentation temperatures. In particular, beta diversity analysis revealed a specific pattern when a mixture of Acetobacter ascedens GV–8 and Acetobacter pasteurianus GV–22 was fermented at a low temperature (20 °C). Therefore, we propose the application of multiple AAB with acidic and flavor-producing properties in traditional grain vinegar. Full article
(This article belongs to the Special Issue Fermentation and Bioactive Metabolites 4.0)
Show Figures

Figure 1

38 pages, 4985 KB  
Review
Fermented Foods of Korea and Their Functionalities
by Su-Jin Jung, Soo-Wan Chae and Dong-Hwa Shin
Fermentation 2022, 8(11), 645; https://doi.org/10.3390/fermentation8110645 - 15 Nov 2022
Cited by 31 | Viewed by 29704
Abstract
Fermented foods are loved and enjoyed worldwide and are part of a tradition in several regions of the world. Koreans have traditionally had a healthy diet since people in this region have followed a fermented-foods diet for at least 5000 years. Fermented-product footprints [...] Read more.
Fermented foods are loved and enjoyed worldwide and are part of a tradition in several regions of the world. Koreans have traditionally had a healthy diet since people in this region have followed a fermented-foods diet for at least 5000 years. Fermented-product footprints are evolving beyond boundaries and taking the lead in the world of food. Fermented foods, such as jang (fermented soybean products), kimchi (fermented vegetables), jeotgal (fermented fish), and vinegar (liquor with grain and fruit fermentation), are prominent fermented foods in the Korean culture. These four major fermented foods have been passed down through the generations and define Korean cuisine. However, scientific advancements in the fermentation process have increased productivity rates and facilitated global exports. Recently, Korean kimchi and jang have garnered significant attention due to their nutritional and health-beneficial properties. The health benefits of various Korean fermented foods have been consistently supported by both preclinical and clinical research. Korean fermented foods effectively reduce the risk of cardiovascular and chronic metabolic diseases, such as immune regulation, memory improvement, obesity, diabetes, and high blood pressure. Additionally, kimchi is known to prevent and improve multiple metabolic diseases, including irritable bowel syndrome (IBS), and improve beneficial intestinal bacteria. These functional health benefits may reflect the synergistic effect between raw materials and various physiologically active substances produced during fermentation. Thus, fermented foods all over the world not only enrich our dining table with taste, aroma, and nutrition, but also the microorganisms involved in fermentation and metabolites of various fermentations have a profound effect on human health. This article describes the production and physiological functions of Korean fermented foods, which are anticipated to play a significant role in the wellness of the world’s population in the coming decades. Full article
(This article belongs to the Special Issue Food Fermentation for Better Nutrition, Health and Sustainability)
Show Figures

Figure 1

16 pages, 3434 KB  
Article
Microbiome Analysis of Traditional Grain Vinegar Produced under Different Fermentation Conditions in Various Regions in Korea
by Haram Kong, Sun-Hee Kim, Woo-Soo Jeong, So-Young Kim and Soo-Hwan Yeo
Foods 2022, 11(22), 3573; https://doi.org/10.3390/foods11223573 - 10 Nov 2022
Cited by 16 | Viewed by 3225
Abstract
The fermentation of traditional vinegar is a spontaneous and complex process that involves interactions among various microorganisms. Here, we used a microbiome approach to determine the effects of networks, such as fermentation temperature, location, physicochemical and sensory characteristics, and bacterial profile, within traditional [...] Read more.
The fermentation of traditional vinegar is a spontaneous and complex process that involves interactions among various microorganisms. Here, we used a microbiome approach to determine the effects of networks, such as fermentation temperature, location, physicochemical and sensory characteristics, and bacterial profile, within traditional grain vinegar samples collected from various regions of Korea. Acetic acid and lactic acid were identified as the major metabolites of grain vinegar, and sourness and umami were determined as taste fingerprints that could distinguish between vinegar samples. Acetobacter ghanensis and Lactobacillus acetotolerans were the predominant bacterial species, and the functional composition of the microbiota revealed that the nucleotide biosynthesis pathway was the most enriched. These results reveal that vinegar samples fermented outdoors are more similar to each other than vinegar samples fermented at 30 °C, when comparing the distance matrix for comprehending bacterial networks among samples. This study may help obtain high-quality vinegar through optimized fermentation conditions by suggesting differences in sensory characteristics according to the fermentation environment. Full article
(This article belongs to the Section Food Microbiology)
Show Figures

Graphical abstract

13 pages, 2558 KB  
Article
Genomic and Transcriptional Characteristics of Strain Rum-meliibacillus sp. TYF-LIM-RU47 with an Aptitude of Directly Producing Acetoin from Lignocellulose
by Guoyang Feng, Xiaojun Fan, Yanna Liang, Chen Li, Junde Xing and Yongji He
Fermentation 2022, 8(8), 414; https://doi.org/10.3390/fermentation8080414 - 22 Aug 2022
Cited by 5 | Viewed by 2782
Abstract
Rummeliibacillus sp. TYF-LIM-RU47, isolated from the fermentation substrate of grain vinegar, could produce acetoin using a variety of carbon sources, including pentose, hexose and lignocellulose. The draft genome of TYF-LIM-RU47 was constructed and the genomic information revealed that TYF-LIM-RU47 contains genes related to [...] Read more.
Rummeliibacillus sp. TYF-LIM-RU47, isolated from the fermentation substrate of grain vinegar, could produce acetoin using a variety of carbon sources, including pentose, hexose and lignocellulose. The draft genome of TYF-LIM-RU47 was constructed and the genomic information revealed that TYF-LIM-RU47 contains genes related to starch and sucrose metabolism, pyruvate metabolism, the oxidative phosphorylation metabolic pathway and lignocellulosic metabolism. The acetoin anabolic pathway of TYF-LIM-RU47 has been deduced from the sequencing results, and acetoin is produced from α-acetolactate via decarboxylation and diacetyl reductase catalytic steps. The results of quantitative real-time PCR tests showed that the synthesis and degradation of acetoin had a dynamic balance in acetoin metabolism, and the transcription of the α-acetolactate synthase gene might exist to the extent of feedback regulation. This study can help researchers to better understand the bioinformation of thermophilic-lignocellulosic bacteria and the mechanisms of the acetoin biosynthesis pathway. Full article
Show Figures

Figure 1

18 pages, 2025 KB  
Article
Germination and Growth Performance of Water-Saving and Drought-Resistant Rice Enhanced by Seed Treatment with Wood Vinegar and Biochar under Dry Direct-Seeded System
by Kangkang Zhang, Zaid Khan, Jiahuan Liu, Tao Luo, Kunmiao Zhu, Liyong Hu, Junguo Bi and Lijun Luo
Agronomy 2022, 12(5), 1223; https://doi.org/10.3390/agronomy12051223 - 19 May 2022
Cited by 32 | Viewed by 6038
Abstract
Dry direct-seeded rice (dry-DSR) is an efficient, resource-saving and environmentally friendly cropping system. The employment of water-saving and drought-resistant rice (WDR) for dry direct-seeding can better meet the needs of dry-direct seeding systems. However, the decline in seedling emergence rate and poor seedling [...] Read more.
Dry direct-seeded rice (dry-DSR) is an efficient, resource-saving and environmentally friendly cropping system. The employment of water-saving and drought-resistant rice (WDR) for dry direct-seeding can better meet the needs of dry-direct seeding systems. However, the decline in seedling emergence rate and poor seedling growth are the main bottlenecks under current direct-seeded rice production. Seed treatment is a sustainable and effective technique to overcome these issues. Therefore, growth chamber and field experiments were conducted to assess the impact of poplar wood vinegar (WV) priming and rice straw biochar (BC) coating on emergence, establishment, growth, physio-biochemical events, and ultimate yield. We treated the seeds of WDR viz., Hanyou 73 with WV, BC, and co-treatment WV + BC. The results showed that seed priming with 1:50 WV concentration and coating with 20% BC content was the optimal ratio for promoting germination and seedling growth. The field evaluation indicated that individual WV and BC markedly promoted the final emergence by 58% and 31%, respectively, while co-treatment WV + BC increased by 67%. Likewise, WV and BC significantly enhanced total seedling biomass by 26% and 10%, respectively, and the respective enhancement of WV + BC was 31%. For ultimate yield, WV and BC produced 12% and 19% higher grain yield, respectively, whereas WV + BC yielded 20%. The above results revealed that WV and WV + BC were the most effective treatment. Our findings may provide new avenues for advancing pre-sowing seed treatments facilitating the stand establishment and grain yield of dry direct-seeded rice. Full article
(This article belongs to the Special Issue Effective Methods for Improving Seed Germination and Seed Quality)
Show Figures

Figure 1

14 pages, 6001 KB  
Article
Comprehensive Metabolomic Comparison of Five Cereal Vinegars Using Non-Targeted and Chemical Isotope Labeling LC-MS Analysis
by Zhihua Li, Chi Zhao, Ling Dong, Yu Huan, Miwa Yoshimoto, Yongqing Zhu, Ipputa Tada, Xiaohang Wang, Shuang Zhao, Fengju Zhang, Liang Li and Masanori Arita
Metabolites 2022, 12(5), 427; https://doi.org/10.3390/metabo12050427 - 10 May 2022
Cited by 17 | Viewed by 3903
Abstract
Vinegar is used as an acidic condiment and preservative worldwide. In Asia, various black vinegars are made from different combinations of grains, such as Sichuan bran vinegar (SBV), Shanxi aged vinegar (SAV), Zhenjiang aromatic vinegar (ZAV), and Fujian Monascus vinegar (FMV) in China [...] Read more.
Vinegar is used as an acidic condiment and preservative worldwide. In Asia, various black vinegars are made from different combinations of grains, such as Sichuan bran vinegar (SBV), Shanxi aged vinegar (SAV), Zhenjiang aromatic vinegar (ZAV), and Fujian Monascus vinegar (FMV) in China and Ehime black vinegar in Japan (JBV). Understanding the chemical compositions of different vinegars can provide information about nutritional values and the quality of the taste. This study investigated the vinegar metabolome using a combination of GC-MS, conventional LC-MS, and chemical isotope labeling LC-MS. Different types of vinegar contained different metabolites and concentrations. Amino acids and organic acids were found to be the main components. Tetrahydroharman-3-carboxylic acid and harmalan were identified first in vinegar. Various diketopiperazines and linear dipeptides contributing to different taste effects were also detected first in vinegar. Dipeptides, 3-phenyllactic acid, and tyrosine were found to be potential metabolic markers for differentiating vinegars. The differently expressed pathway between Chinese and Japanese vinegar was tryptophan metabolism, while the main difference within Chinese vinegars was aminoacyl-tRNA biosynthesis metabolism. These results not only give insights into the metabolites in famous types of cereal vinegar but also provide valuable knowledge for making vinegar with desirable health characteristics. Full article
(This article belongs to the Section Food Metabolomics)
Show Figures

Graphical abstract

18 pages, 7792 KB  
Article
Effects of Apple Vinegar Addition on Aerobic Deterioration of Fermented High Moisture Maize Using Infrared Thermography as an Indicator
by Aylin Agma Okur, Kerem Gozluklu, Ersen Okur, Berrin Okuyucu, Fisun Koc and Mehmet Levent Ozduven
Sensors 2022, 22(3), 771; https://doi.org/10.3390/s22030771 - 20 Jan 2022
Cited by 8 | Viewed by 2764
Abstract
This study was carried out to determine the effects of apple vinegar and sodium diacetate addition on the aerobic stability of fermented high moisture maize grain (HMM) silage after opening. In the study, the effect of three different levels (0%, 0.5% and 1%) [...] Read more.
This study was carried out to determine the effects of apple vinegar and sodium diacetate addition on the aerobic stability of fermented high moisture maize grain (HMM) silage after opening. In the study, the effect of three different levels (0%, 0.5% and 1%) of apple vinegar (AV) and sodium diacetate (SDA) supplementation to fermented HMM at two different storage conditions (27–29 °C, 48% Humidity; 35–37 °C, 26% Humidity) were investigated. The material of the study was fermented rolled maize grain with 62% moisture content stored for about 120 days. Silage samples were subjected to aerobic stability test with three replicates for each treatment group. Wendee and microbiological analyses were made at 0, 2, 4, 7, and 12 days. Meanwhile, samples were displayed in the T200 IR brand thermal camera. According to the thermogram results, 1% SDA addition positively affected HMM silages at the second and fourth days of aerobic stability at both storage conditions (p < 0.05). Aerobic stability and infrared thermography analysis indicated that 1% AV, 0.5%, and 1% SDA additions to HMM silages had promising effects. Due to our results, we concluded that thermal camera images might be used as an alternative quality indicator for silages in laboratory conditions. Full article
(This article belongs to the Special Issue Robotics and Sensors Technology in Agriculture)
Show Figures

Figure 1

Back to TopTop